Submitted:
15 January 2025
Posted:
16 January 2025
You are already at the latest version
Abstract
Keywords:
1. Introduction
2. Logarithmic Derivative and a Generalized Decay Constant
3. Examples
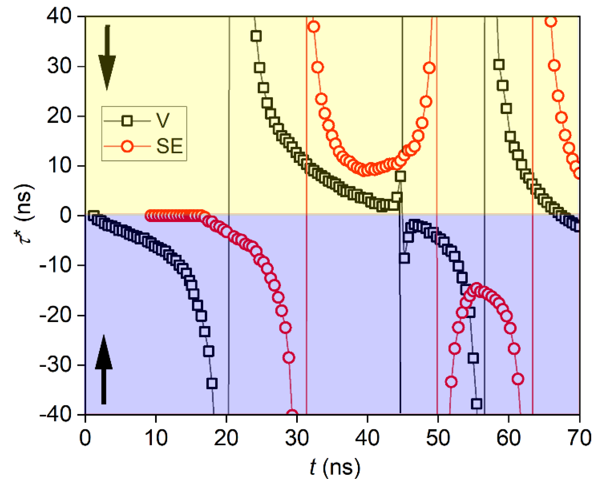
3.1. Time-Dependent Spontaneous Emission of Molecular Nitrogen
3.2. Nonlinear Order of Multiphoton Processes
3.3. Separation of Overlapping Spectral Peaks
4. Conclusions
Author Contributions
Funding
Institutional Review Board Statement
Informed Consent Statement
Data Availability Statement
Acknowledgments
Conflicts of Interest
References
- Collier, G.L.; Singleton, F. Infra-red analysis by the derivative method, J. Appl. Chem. 1956, 6, 495–510. [Google Scholar] [CrossRef]
- Dehghani, H.; Leblond, F.; Pogue, B.W.; Chauchard, F. Application of spectral derivative data in visible and near-infrared spectroscopy. Phys. Med. Biol. 2010, 55, 3381–3399. [Google Scholar] [CrossRef]
- Vandermeer, J. How populations grow: the exponential and logistic equations, Nature Education Knowledge 2010, 3(1):15. https://www.nature.com/scitable/knowledge/library/how-populations-grow-the-exponential-and-logistic-13240157/.
- Delfini, L.; Lepri, S.; Livi, R.; Politi, A. Self-consistent mode-coupling approach to one-dimensional heat transport, Phys. Rev. E 2006, 73, 060201. [CrossRef]
- Wübbenhorst, M.; van Turnhout, J. Analysis of complex dielectric spectra. I. One-dimensional derivative techniques and three-dimensional modelling, J. Non-Cryst. Solids 2002, 305, 40–49. https://www.sciencedirect.com/science/artcle/pii/S0022309302010864?via%3Dihub.
- Haspel, H.; Kukovecz, Á.; Kóny, Z.; Kiricsi, I. Numerical differentiation methods for the logarithmic derivative technique used in dielectric spectroscopy, Processing and Application of Ceramics 2010, 4, 87–93. https://iopscience.iop.org/article/10.1088/0957-0233/14/9/401/pdf.
- Kaatze, U. Logarithmic derivative complex permittivity spectrometry, Meas. Sci. Technol. 2003, 14, N55–N58. https://iopscience.iop.org/article/10.1088/0957-0233/14/9/401/pdf.
- Jurelo, A.R.; Menegotto, R.; Costa, de Andrade, A.V.C.; Junior, P.R.; da Cruz, G.K.; Lopes, C.S.; dos Santos, M.; de Sousa, W.T.B. Analysis of fluctuation conductivity of polycrystalline Er1-xPrxBa2Cu3O7-δ superconductors, Brazil. J. Phys. 2009, 39, 667–672. https://www.sbfisica.org.br/bjp/files/v39_667.pdf.
- Siems, U.; Kreuter, C.; Erbe, A.; Schwierz, N.; Sengupta, S.; Leiderer, P.; Nielaba, P. Non-monotonic crossover from single-file to regular diffusion in micro-channels, Sci. Rep. 2015, 1, srep01015. [CrossRef]
- Swain, P.S.; Stevenson, K.; Leary, A.; Montano-Gutierrez, L.F.; Clark, I.B.N.; Vogel, J.; Pilizota, T. Inferring time derivatives including cell growth rates using Gaussian processes, Nature Commun. 2016, 7, 13766. [CrossRef]
- Jarosiński, Ł.; Pawlak, J.; Al-Ani, S.K.J. Inverse logarithmic derivative method for determining the energy gap and the type of electron transitions as an alternative to the Tauc method, Opt. Mat. 2019, 88, 667–673. [CrossRef]
- Manolopulos, D.E. An improved log derivative method for inelastic scattering, J. Chem. Phys. 1986, 85, 6425–6429. [CrossRef]
- Li, B.Q. A logarithmic derivative lemma in several complex variables and its applications, Trans. Amer. Math. Soc. 2011, 363, 6257–6267. [CrossRef]
- Yousif, H.A.; Melka, R. Bessel function of the first kind with complex argument, Comput. Phys. Commun. 1997, 106, 199–206. [CrossRef]
- Fisher, R.A. On the mathematical foundations of theoretical statistics, Philosophical Transactions of the Royal Society A 1922, 222, 309–368. [CrossRef]
- Cox, D.R.; Hinkley, D.V. Theoretical Statistics (Chapman & Hall, 1974). [CrossRef]
- Frieden, B.R. Fisher information as the basis for diffraction optics, Opt. Lett. 1989, 14, 199–201. [CrossRef]
- Yang, F.; Nair, R.; Tsang, M.; Simon, Ch.; Lvovsky, A.I. Fisher information for far-field linear optical superresolution via homodyne or heterodyne detection in a higher-order local oscillator mode, Phys. Rev. A 2017, 96, 063829. [CrossRef]
- Chao, J.; Ward, E.S.; Ober, R.J. Fisher information theory for parameter estimation in single molecule microscopy: tutorial, J. Opt. Soc. Am A 2016, 33, B36–B57. [CrossRef]
- Kohn, W. Variational methods in nuclear collision problems, Phys. Rev. 1948, 74, 1763–1772. [CrossRef]
- Gonze, X.; Käckell, P.; Scheffler, M. Ghost states for separable, norm-conserving, ab initio pseudopotentials, Phys. Rev. B 1990, 41, 12264–12267. https://pure.mpg.de/rest/items/item_3323179/component/file_3513871/content.
- P. J. Schreier and L. L. Scharf, Statistical signal processing of complex-valued data – the theory of improper and noncircular signals, (Cambridge University Press, 2010), pp. 162–164. [CrossRef]
- Tsuda, K.; Kawanabe, M.; Müller, K.-R. Clustering with the Fisher Score, 16th Ann. Conf. on Neural Information Processing Systems (NIPS), Oct. 2003, paper 2292; in: Becker, S.; Thrun, S.; Obermayer, K. (Eds.), Advances in Neural Information Processing Systems 15, 729-736 (MIT Press, Cambridge, USA). https://papers.nips.cc/paper/2292-clustering-with-the-fisher-score.pdf.
- DeNoyer, L. K.; Dodd, J.G. (Eds.) Smoothing and derivatives in Spectroscopy. Handbook of Vibrational Spectroscopy (John Wiley & Sons, 2006).
- Chechile, R.A. Bayesian statistics for experimental scientists – a general introduction using distribution-free methods (MIT Press, Cambridge, 2020). https://mitpress.mit.edu/9780262044585/bayesian-statistics-for-experimental-scientists/.
- Heard, H.G. Ultra-violet gas laser at room temperature, Nature 1963, No. 4907, 667. https://www.nature.com/articles/200667a0.
- Stong, C.L. An unusual kind of gas laser that puts out pulses in the ultraviolet, Sci. Am. 1974, 230, 122–127. https://www.jstor.org/stable/24950104.
- Bergmann, A.; Jansen, S.; Christoffel, S.; Zimmermann, A.; Busch, K.; Hofmann, R. A low-cost setup for microstructuring experiments using a homemade UV laser, Am. J. Phys. 2012, 80, 260–265. [CrossRef]
- G. Herzberg, Molecular Spectra and Molecular Structure. I. Spectra of Diatomic Molecules (Van Nostrand, Princeton, 1950). https://www.scirp.org/reference/referencespapers?referenceid=2333128.
- Subhash, N.; Kartha, S.C.; Sathianandan, K. New vibrational bands in nitrogen laser emission spectra, Appl. Opt. 1983, 22, 3612–3617. [CrossRef]
- Luo, Q.; Liu, W.; Chin, S.L. Lasing action in air induced by ultra-fast laser filamentation, Appl. Phys. B 2003, 76, 337–340. [CrossRef]
- Bergé, L.; Skupin, S.; Nuter, R.; Kasparian; Wolf, J.-P. Ultrashort filaments of light in weakly Ionized, optically transparent media, Rep. Prog. Phys. 2007, 70, 1633–1713. https://iopscience.iop.org/article/10.1088/0034-4885/70/10/R03.
- Dogariu, A.; Michael, J.B.; Scully, M.O.; Miles, R.B. High-gain backward lasing in air, Science 2022, 331, 442–445. https://www.science.org/doi/10.1126/science.1199492. [CrossRef]
- Kartashov, D.; Ališauskas, S.; Andriukaitis, G.; Pugžlys, A.; Schneider, M.; Zheltikov, A.; Chin, S.L.; Baltuška, A. Free-space nitrogen gas laser driven by a femtosecond filament, Phys. Rev. A 2012, 86, 033831. [CrossRef]
- Steinmeyer, G. A breakthrough for remote lasing in air, Physics 2014, 7, 129 (Viewpoint). [CrossRef]
- López, S.; Garcia, A.; Rueda, D.; Oliva, E. 3D modeling of cavity-free lasing in nitrogen plasma filaments, Opt. Express 2023, 31, 8479–8493. [CrossRef]
- Kosareva, O.G.; Andreeva, V.A.; Shipilo, D.E.; Savel’ev, A.B.; Shkurinov, A.P.; Kandidov, V.P.; Makarov, V.A. Terahertz and mid-infrared radiation from femtosecond filaments in gases, in: K. Yamanouchi (Ed.), Progress in photon science - basics and applications, Springer Series in Chemical Physics Vol. 115 (Springer, 2017), pp. 35–43. [CrossRef]
- Rodriguez, M.; Sauerbrey, R.; Wille, H.; Wöste, L.; Fujii, T.; André, Y.-B.; Mysyrowicz, A.; Klingbeil, L.; Rethmeier, K.; Kalkner, W.; Kasparian, J.; Salmon, E.; Yu, J.; Wolf, J.-P. Triggering and guiding megavolt discharges by use of laser-induced ionized filaments, Opt. Lett. 2002, 27, 772–774. [CrossRef]
- Vrba, P.; Vrbová, M.; Bobrova, N.A.; Sasorov, P.V. Modelling of a nitrogen x-ray laser pumped by capillary discharge, Centr. Europ. J. Physics (CEJP) 2005, 3, 564–580. [CrossRef]
- Xu, H.L.; Azarm, A.; Bernhardt, J.; Kamali, Y., Chin, S.L. The mechanism of nitrogen fluorescence inside a femtosecond laser filament in air, Chemical Physics 2009, 360, 171–175. [CrossRef]
- Yao, J.; Xie, H.; Zeng, B.; Chu, W.; Li, G.; Ni, J.; Zhang, H.; Jing, C.; Zhang, C.; Xu, H.; Cheng, Y.; Xu, Z. Gain dynamics of a free-space nitrogen laser pumped by circularly polarized femtosecond laser pulses, Opt. Express 2014, 22, 19005–19013. [CrossRef]
- Kossyi, I.A.; Kostinsky, A. Yu.; Matveyev, A.A.; Silakov, V.P. Kinetic scheme of the non-equilibrium discharge in nitrogen-oxygen mixtures, Plasma Sources Sci. Technol. 1992, 1, 207–220. [CrossRef]
- Fons, J.T.; Schappe, R.S.; Lin, C.C. Electron-impact excitation of the second positive band system (C3Πu-->B3Πg) and the C3Πu electronic state of the nitrogen molecule, Phys. Rev. A 1996, 53, 2239–2247. [CrossRef]
- Persephonis, P.; V. Giannetas, A. Ioannou, J. Parthenios, and C. Georgiades, The time dependent resistance and inductance of the electric discharges in pulsed gas lasers, IEEE J. Quant. Electron. 1995, 31, 1779–1784. [CrossRef]
- Silva, A.V.; Tsui, K.H.; Pimentel, N.P.; Massone, C.A. Plasma electronics in pulsed nitrogen lasers, IEEE J. Quant. Electron. 1992, 28, 1937–1940. https://ieeexplore.ieee.org/document/144487.
- Panchenko, A.N.; Tarasenko, V.F.; Lomaev, M.I.; Panchenko, N.A.; Suslov, A.I. Efficient N2 laser pumped by nanosecond diffuse discharge, Opt. Commun. 2019, 430, 210–218. [CrossRef]
- Castro, M.P.P.; Fellows, C.E.; Massone, C.A. Simultaneous emission of seven bands in the N2 2+ system by current confinement and discharge channel plasma inductance reduction, Opt. Commun. 1993, 102, 53–58. [CrossRef]
- Rogowski, W.; Steinhaus, W. Die Messung der magnetischen Spannung. (Messung des Linienintegrals der magnetischen Feldstärke.), Archiv für Elektrotechnik 1912, 1, 141–150. [CrossRef]
- Grunwald, R.; Hertz, J.H. Über die Kleinsignalgewinnmessung nach Ladenburg-Levy (About the small signal gain measurement after Ladenburg and Levy), Ann. Phys. 1986, 498, 201–212. [CrossRef]
- Lademann, J.; König, R.; Kudryavtsev, Yu.; Albrecht, H.; Fritsch, G.; Grunwald, R.; Winkelmann, G. Ein einfacher Excimerlaser mit automatischer Vorionisation (A simple excimer laser with automatic pre-ionization), Exp. Technik d. Phys. 1984, 32, 235–246.
- Grunwald, R. Untersuchungen der spontanen Emission eines diffusen N2-laser-Plasmas (Investigations of the spontaneous emission of a diffuse N2-laser plasma), (Diploma Thesis, Humboldt University Berlin, 1982, in German).
- Grunwald, R.; Hertz, J.H. Messungen der spontanen Emission an einem diffusen N2-Laserplasma (Measurements of the spontaneous emission of a diffuse N2-laser plasma), Proceedings of 6th Conference Physik und Technik des Plasmas, Leipzig, July 5–8, 1982, 133.
- Becker, K.H.; Engels, H.; Tatarczyk, T. Lifetime measurements of the C3πu state of nitrogen by laser-induced fluorescence, Chem. Phys. Lett. 1977, 51, 111–115. [CrossRef]
- Shemansky, D.E.; Broadfoot, A.L. Excitation of N2 and N2+ systems by electrons–I Absolute transition probabilities, J. Quant. Spectrosc. Radiat. Transfer. 1971, 11, 1385–1400. [CrossRef]
- Lofthus, A.; Krupenie, P.H. The spectrum of molecular nitrogen, J. Phys. Chem. Ref. Data 1977, 6, 113–307. [CrossRef]
- Valk, F.; Aints, M.; Paris, P.; Plank, T.; Maksimov, J.; Tamm, A. Measurement of collisional quenching rate of nitrogen states N2(C3πu, v = 0) and (B2, v = 0), J. Phys. D: Appl. Phys. 2010, 43, 385202. https://hal.science/hal-00569712v1/document. [CrossRef]
- Strak, P.; Koronski, K.; Sakowski, K.; Sobczak, K.; Borysiuk, J.; Korona, K.P.; Suchocki, A.; Monroy, E.; Krukowski, S.; Kaminska, A. Exact method of determination of the recombination mode from time resolved photoluminescence data, arXiv:1709.05249v4 (2017). [CrossRef]
- Eberly, J.H. Extended two-level theory of the exponential index of multiphoton processes, Phys. Rev. Lett. 1979, 42 1049–1052. [CrossRef]
- Allen, L.; McMahon, D. The exponential index of multiphoton processes in two-photon absorption, J. Phys. B: At. Mol. Phys. 1983, 16, L721–L725. [CrossRef]
- Persistent Lines of Neutral Molybdenum ( Mo I ), Basic Atomic Spectroscopic Data, National Institute of Standards and Technology (NIST). https://physics.nist.gov/PhysRefData/Handbook/Tables/molybdenumtable3_a.htm, downloaded Oct. 23, 2024.
- Grunwald, R. Experimentelle Untersuchungen zur XeCl-Laser-induzierten stoßfreien UV-Mehrphotonendissoziation ausgewählter organischer und metallorgansicher Moleküle (Experimental investigations of the XeCl-laser induced collision-free UV multiphoton dissociation of selected organic and metal-organic molecules), PhD Thesis, Humboldt University Berlin (1986) (in German).
- Pilcher, G.; Ware, M.J.; Pittam, D.A. The thermodynamic properties of chromium, molybdenum and tungsten hexacarbonyls in the gaseous state, J. Less-Common Met. 1975, 42, 223. [CrossRef]
- Tyndall, G.W.; Jackson, R.L. Single-photon and multiphoton dissociation of molybdenum hexacarbonyl at 248 nm, J. Phys. Chem. 1991, 95, 687–693. [CrossRef]
- Radloff, W.; Hohmann, H.; Ritze, H.-H.; Paul, R. Excimer laser photolysis of molybdenum hexacarbonyl with buffer gas, Appl. Phys. B 1989, 49, 301–305. [CrossRef]
- Lenz, K.; Grunwald, R.; Weigmann, H.-J. Laser assisted deposition of carbon and polymer layers, Proceedings of the 5th International Conference on Lasers and Their Applications (ILA 5), October 28 – November 1, 1985, Dresden, Germany, 208.
- Grunwald, R.; Hertz, J.H. Nachweis eines optischen Gewinns nach UV-Mehrphotonen-Dissoziation von Molybden-Hexacarbonyl (Detection of an optical gain after UV-multiphoton dissociation of molybdenum hexacarbonyl), Ann. Phys. 1986, 7, Folge 43, No. 6-8, 499–504 (in German). https://onlinelibrary.wiley.com/doi/pdf/10.1002/andp.19864980611.
- Grunwald, R. Intensity dependent geometry of multiple photon dissociation zones, Proceedings of Lasers ’88 conference, Plovdiv, Bulgaria, Oct. 10.-14. 1988, 91–92.
- Grunwald, R. Verfahren und Anordnung zur Leistungsmessung von Laserstrahlung (Method and arrangement for measuring laser power), Patent application documents D-WP G 01 J/ 290 907 6, published Sept. 16, 1987.
- McWilliam, I.G. Derivative spectroscopy and its application to the analysis of unresolved bands, Anal. Chem. 1969, 41, 674–676. [CrossRef]
- Grushka, E.; Monacelli, G.C. Slope analysis for recognition and characterization of strongly overlapped chromatographic peaks, Anal. Chem. 1972, 44, 484–489. [CrossRef]
- Vandeginste, B.G.M.; De Galan, L. Critical evaluation of curve fitting in infrared spectrometry, Anal. Chem. 47, 2124–2134 (1975). https://opg.optica.org/as/abstract.cfm?uri=as-50-10-1235.
- Fleissner, G.; Hage, W.; Hallbrucker, A.; Mayer, E. Improved curve resolution of highly overlapping bands by comparison of fourth-derivative curves, Appl. Spectrosc. 1996, 50, 1235–1245. [CrossRef]
- J. R. Morrey, On Determining spectral peak positions from composite spectra with a digital computer, Anal. Chem. 1968, 40, 905–914. [CrossRef]
- Maddams, W.F.; Mead, W.L. The measurement of derivative i.r. spectra —I. Background studies, Spectrochim. Acta 1982, 38A, 437– 444. [CrossRef]
- Hawkes, S.; Maddams, W.F.; Mead, W.L.; Southon, M.J. The measurement of derivative i.r. spectra —II. Experimental measurements, Spectrochim. Acta 1982, 38A, 445–457. https://api.semanticscholar.org/CorpusID:95135060.
- Holler, F.; Burns, D.H.; Callis, J.B. Direct use of second derivatives in curve-fitting procedures, Appl. Spectrosc. 1989, 43, 877–882. [CrossRef]
- Griffiths, T.R.; King, K.; Hubbard, H.V.S.A.; Schwing-Weill, M.J.; Meullemeestre, J. Some aspects of the scope and limitations of derivative spectroscopy, Anal. Chim. Acta 1982, 143, 163–176. [CrossRef]
- Chen, L.; Garland, M. Computationally efficient curve-fitting procedure for large two-dimensional experimental infrared spectroscopic arrays using the Pearson VII model, Appl. Spectrosc. 2003, 57, 323–330. [CrossRef]
- A. Fernández-González, J. M. Montejo-Bernardo, Natural Logarithm Derivative Method: A novel and easy methodology for finding maximums in overlapping experimental peaks, Spectrochimica Acta Part A 2009, 74, 714–718. [CrossRef]
- Goldston, D. A.; Gonek, S. M.; Montgomery, H. L. Mean values of the logarithmic derivative of the Riemann zeta-function with applications to primes in short intervals, J. Reine Angew. Math. 2001, 537, 105–126 . [CrossRef]
- Farkas, H. M.; Godin, Y. Logarithmic derivatives of theta functions, Israel J. Math. 2005, 148, 253–265 . [CrossRef]
- Yamagata, K. Maximum logarithmic derivative bound on quantum state estimation as a dual of the Holevo bound, J. Math. Phys. 2021, 62, 062203. https://api.semanticscholar.org/CorpusID:235417320. [CrossRef]









Disclaimer/Publisher’s Note: The statements, opinions and data contained in all publications are solely those of the individual author(s) and contributor(s) and not of MDPI and/or the editor(s). MDPI and/or the editor(s) disclaim responsibility for any injury to people or property resulting from any ideas, methods, instructions or products referred to in the content. |
© 2025 by the author. Licensee MDPI, Basel, Switzerland. This article is an open access article distributed under the terms and conditions of the Creative Commons Attribution (CC BY) license (http://creativecommons.org/licenses/by/4.0/).
