Submitted:
14 January 2025
Posted:
15 January 2025
You are already at the latest version
Abstract
Keywords:
1. Introduction
- Physical modelling of both the system geometry and the material parameters
- Forward search tasks concerning the calculation of spectrophotometric quantities only, no inverse problems
- Specific effects arising from violations of the model assumptions in practice.
2. Basic Model Assumptions in Conventional Thin Film Optics
2.1. System Geometry
- We assume stratified media only. Consequently, the optical properties of the media shall depend on one coordinate (here the z-coordinate, compare Figure 1) only. The optical parameters describing the materials may exhibit a discontinuous z-dependence, and in this case, the discontinuities in the optical parameters describe what we will further call interfaces. The interfaces are perpendicular to the z-axis.
- Consequently, the model system extends to infinity along the x- and y-axes.
- We further assume optical isotropy of all media. In addition, any magnetic response is neglected in our model.
- The semispace above the stratified medium is filled with a homogenous medium, called the incidence medium. As a postulate, light propagation in the incidence medium should be free of damping. On its bottom, the stratified medium faces a semispace filled with a further homogeneous medium, called the exit medium.
- It is assumed, that a plane monochromatic electromagnetic wave is incident (from the incidence medium) on the stratified medium. In this case, an incident wavevector may be unambiguously defined. On this basis, an incidence angle may be introduced, which is zero for the particular case of normal incidence.
- At oblique light incidence, the wavevector of the incident wave and the z-axis allow defining an incidence plane.
- We further assume a three-wave scenario. That means, that the incident wave gives rise to the generation of two other plane waves, propagating either in the exit medium (the transmitted wave), or in the incidence medium (the reflected wave).
- The materials are described in terms of linear optical constants only. As a consequence, reflectances and transmittances may be introduced that do not depend on the light intensity.
2.2. Material Description
2.2.1. Dispersion Models
2.2.2. Commonly Used Dispersion Models
2.2.3. Kramers-Kronig Consistency
3. Model Violations
3.1. General
3.2. Geometry
3.2.1. Restricted Beam Dimensions
3.2.2. Polarization Leakage
3.2.3. Rough Surfaces
3.2.4. Coherence
3.2. Materials
3.2.1. Optically Anisotropic Materials
3.2.2. Time-Dependent Material Properties
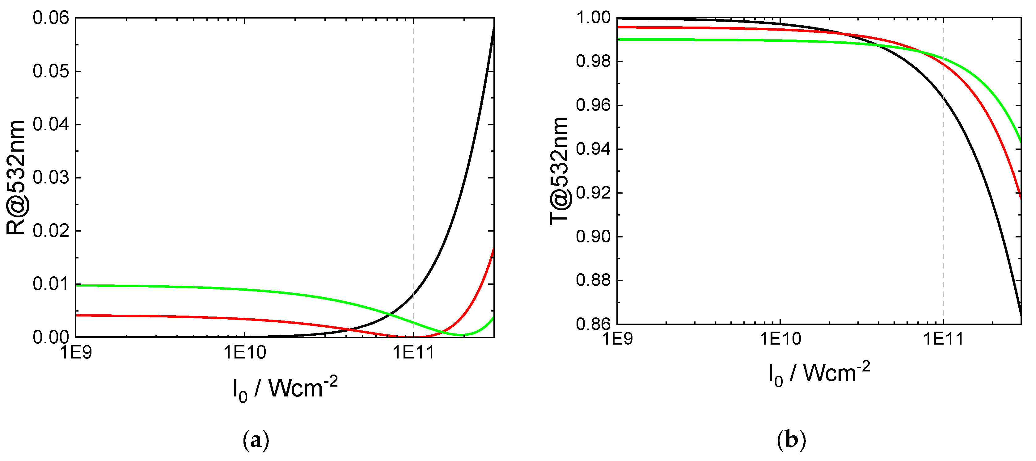
3.2.3. Non-Linear Response
3.2.4. Thickness-Dependent Optical Constants
4. Summary and Challenges
- They enable the user of commercial optical film calculation software to critically evaluate the practical value of a calculation result
- They enable the practitioner to understand the reason for discrepancies between the promised and measured performance of purchased thin film optical components.
- They define important topics for the design of university courses on applied thin film spectroscopy.
Author Contributions
Funding
Institutional Review Board Statement
Informed Consent Statement
Data Availability Statement
Conflicts of Interest
References
- Film Wizard. Available online: https://sci-soft.com/product/film-wizard (accessed on 18 December 2024).
- FilmStar. Available online: https://ftgsoftware.com (accessed on 18 December 2024).
- Essential Macleod. Available online: https://www.thinfilmcenter.com/essential.php (accessed on 18.12.2024).
- OptiLayer. Available online: https://optilayer.com (accessed on 18 December 2024).
- OTF Studio. Available online: https://otfstudio.com (accessed on 18 December 2024).
- Tikhonravov, A.V. Some theoretical aspects of thin-film optics and their applications. Appl. Opt. 1993, 32, 5417–5426. [Google Scholar] [CrossRef]
- Thelen, A. Design of Optical Interference Coatings. McGraw-Hill Book Company, 1989.
- Macleod, H. A. Thin-film optical filters. Adam Hilger Ltd. Bristol, 1986.
- Furman, S.A. and Tikhonravov, A.V. Basics of Optics of Multilayer Systems, 1992. [Google Scholar]
- Stenzel, O. The physics of thin film optical spectra: an introduction. 3rd ed.; Springer, 2024.
- Harbecke, B. Coherent and incoherent reflection and transmission of multilayer structures. Appl. Phys. B 1986, 39, 165–170. [Google Scholar] [CrossRef]
- Landau, D. and Lifshitz, E.M. Electrodynamics of continuous media, 1960. [Google Scholar]
- Yu, P.Y. and Cardona, M. Fundamentals of Semiconductors: Physics and Material Properties, 2010. [Google Scholar]
- Gross, R. and Marx, A. Festkörperphysik, 2014. [Google Scholar]
- Kittel, C. Introduction to Solid State Physics. John Wiley and Sons, Inc. New York London Sydney Toronto, 1971.
- Stenzel, O. Optical Coatings: Material aspects in theory and practice. Springer, 2014.
- Brendel, R.; Bormann, D. An infrared dielectric function model for amorphous solids. J. Appl. Phys. 1992, 71, 1–6. [Google Scholar] [CrossRef]
- Wilbrandt, S.; Stenzel, O. Empirical extension to the multioscillator model: The beta-distributed oscillator model. Appl. Opt. 2017, 56, 9892–9899. [Google Scholar] [CrossRef]
- Stenzel, O.; Wilbrandt, S. Beta-distributed oscillator model as an empirical extension to the Lorentzian oscillator model: physical interpretation of the β_do model parameters. Appl. Opt. 2019, 58, 9318–9325. [Google Scholar] [CrossRef]
- Jellison, G.E.; Modine, F.A. Parameterization of the optical functions of amorphous materials in the interband region. Appl. Phys. Lett. 1996, 69, 371–373. [Google Scholar] [CrossRef]
- Jellison, G.E. Spectroscopic ellipsometry data analysis: measured versus calculated quantities. Thin Solid Films.
- Ferlauto, A.; Ferreira, G.; Pearce, J.M.; Wronski, C.; Collins, R.; Deng, X.; Ganguly, G. Analytical model for the optical functions of amorphous semiconductors from the near-infrared to ultraviolet: Applications in thin film photovoltaics. J. Appl. Phys. 2424. [Google Scholar]
- Forouhi, R.A.; Bloomer, I. Optical dispersion relations for amorphous semiconductors and amorphous dielectrics. Phys. Rev. B Condens. Matter, 7018. [Google Scholar]
- Franta, D.; Nečas, D. and Ohlídal, I. Universal dispersion model for characterization of optical thin films over a wide spectral range: application to hafnia. Appl. Opt. 9108. [Google Scholar]
- Franta, D.; Vohánka, J.; Čermák, M. Universal Dispersion Model for Characterization of Thin Films Over Wide Spectral Range. In: Stenzel, O., Ohlídal, M. (eds) Optical Characterization of Thin Solid Films. Springer Series in Surface Sciences, vol 64. Springer Cham., 2018.
- Born, M. and Wolf, E. Principles of Optics, 1968. [Google Scholar]
- Grosse, P. Freie Elektronen in Festkörpern. Springer-Verlag Berlin Heidelberg New York, 1979.
- Stenzel, O.; Wilbrandt, S.; Friedrich, K. and Kaiser, N. Realistische Modellierung der NIR/VIS/UV-optischen Konstanten dünner optischer Schichten im Rahmen des Oszillatormodells. Vakuum in Forschung und Praxis.
- Stenzel, O. Light-Matter Interaction: A Crash Course for students of Optics, Photonics and Material Science, Springer, 2022.
- Tauc, J.; Grigorovici, R.; Vancu, A. Optical properties and electronic structure of amorphous germanium. Phys. Status Solidi (b) 1966, 15, 627–637. [Google Scholar] [CrossRef]
- Zallen, R. Jan Tauc and the optical properties of crystalline and amorphous semiconductors, Journ. Non-Cryst. Sol. 1992, 141, vii–viii.
- Mott, N.F. and Davis, E.A. Electronic Processes in Non-Crystalline Materials. 1979. [Google Scholar]
- Janicki, V. Design and optical characterization of hybrid thin film systems. PhD Thesis, Faculty of Science, University of Zagreb, 2007. [Google Scholar]
- Franta, D.; Nečas, D.; Zajíčková, L.; Ohlídal, I.; Stuchlík, J. and Chvostová, D. Application of sum rule to the dispersion model of hydrogenated amorphous silicon. Thin Solid Films 2013, 539, 233–244. [Google Scholar] [CrossRef]
- Cody, G.D. In: Pankove, J.I. (Ed.) Semiconductors and Semimetals, Vol. 21B, Academic, Orlando, FL, 1984, p. 1.
- Orosco, J.; Coimbra, C.F.M. On a causal dispersion model for the optical properties of metals. Appl. Opt. 2018, 57, 5333–5347. [Google Scholar] [CrossRef]
- Campi, D.; Coriasso, C. Relationships between optical properties and band parameters in amorphous tetrahedrally bonded materials. Mater. Lett. 1988, 7, 134–137. [Google Scholar] [CrossRef]
- Campi, D.; Coriasso, C. Prediction of optical properties of amorphous tetrahedrally bounded materials. J. Appl. Phys. 1988, 64, 4128–4134. [Google Scholar] [CrossRef]
- Franta, D.; Čermák, M.; Vohánka, J.; Ohlídal, I. Dispersion models describing interband electronic transitions combining Tauc’s law and Lorentz model. Thin Solid Film. 2017, 631, 12–22. [Google Scholar] [CrossRef]
- Franta, D.; Nečas, D.; Zajíčková, L. Application of Thomas–Reiche–Kuhn sum rule to construction of advanced dispersion models. Thin Solid Films 2013, 534, 432–441. [Google Scholar] [CrossRef]
- Finkenrath, H. The Moss rule and the influence of doping on the optical dielectric constant of semiconductors - I, Infrared phys. 1988, 28, 327–332.
- Goos, F.; Hänchen, H. Ein neuer und fundamentaler Versuch zur Totalreflexion. Ann. Phys. 1947, 436, 333–346. [Google Scholar] [CrossRef]
- Artmann, K. Berechnung der Seitenversetzung des totalreflektierten Strahles. Ann. Phys. 1948, 437, 87–102. [Google Scholar]
- Fuqua, P.D.; Brames, B.; Barrie, J.D.; DeSain, J.D. and Hendricks, W. Observation of lateral shifts in coatings for dichroic beamsplitters. In Optical Interference Coatings, OSA Technical Digest, Optica Publishing Group, 2019 poster TE.8.
- Lai, H.M.; Chan, S.W. Large and negative Goos–Hänchen shift near the Brewster dip on reflection from weakly absorbing media. Opt. Lett. 2002, 27, 680–682. [Google Scholar] [CrossRef] [PubMed]
- Wang, L.G.; Chen, H. and Zhu, S.Y. Large negative Goos-Hänchen shift from a weakly absorbing dielectric slab. Opt. Lett. 2005, 30, 2936–2938. [Google Scholar] [CrossRef] [PubMed]
- Wild, W.J.; Giles, C.L. Goos-Hänchen shifts from absorbing media. Phys. Rev. A 1982, 25, 2099–2101. [Google Scholar]
- Merano, M.; Aiello, A.; ’t Hooft, G.W.; van Exter, M.P.; Eliel, E.R.; Woerdman, J.P. Observation of Goos-Hänchen shifts in metallic reflection. Opt. Express 2007, 15, 15928–15934. [Google Scholar] [CrossRef] [PubMed]
- Leung, P.T.; Chen, C.W. and Chiang, H.-P. Large negative Goos–Hänchen shift at metal surfaces. Opt. Commun. 2007, 276, 206–208. [Google Scholar] [CrossRef]
- Hendrix, K.D.; Carniglia, C.K. Path of a beam of light through an optical coating. Appl. Opt. 2006, 45, 2410–2421. [Google Scholar] [CrossRef]
- Gerken, M.; Miller, D.A.B. Multilayer thin-film coatings for optical communication systems. Optical Interference Coatings, 2004. [Google Scholar]
- Gerken, M.; Miller, D.A.B. Multilayer thin-film structures with high spatial dispersion. Appl. Opt. 2003, 42, 1330–1345. [Google Scholar] [CrossRef]
- Macleod, A. 2009.
- Pezzaniti, J.L.; Chipman, R.A. Angular dependence of polarizing beam-splitter cubes. Appl. Opt. 1994, 33, 1916–1929. [Google Scholar] [CrossRef] [PubMed]
- Li, L.; Dobrowolski, J.A. High-performance thin-film polarizing beam splitter operating at angles greater than the critical angle. Appl. Opt. 2000, 39, 2754–2771. [Google Scholar] [CrossRef] [PubMed]
- Tikhonravov, A.V.; Trubetskov, M.K.; Tikhonravov, A.A. and Duparré, A. Effects of interface roughness on the spectral properties of thin films and multilayers. Appl. Opt. 2003, 42, 5140–5148. [Google Scholar] [CrossRef]
- Aspnes, D.E.; Theeten, J.B. and Hottier, F. Investigation of effective-medium models of microscopic surface roughness by spectroscopic ellipsometry. Phys. Rev. B, 3292. [Google Scholar]
- Qiyuan, J.; Tang, J.; Wu, S.; Jian, Y.; Tan, Z. and Zhang, W. Reflectance and transmittance model for multilayer optical coatings with roughness at oblique incidence. Thin Solid Films 2015, 592 Part B, 305–311. [Google Scholar] [CrossRef]
- Rice, S.O. Reflection of Electromagnetic Waves from Slightly Rough Surfaces. Commun. Pure Appl. Math. 1951, 4, 351–378. [Google Scholar] [CrossRef]
- Bennett, H.E.; Porteus, J.O. Relation Between Surface Roughness and Specular Reflectance at Normal Incidence. J. Opt. Soc. Am. 1961, 51, 123–129. [Google Scholar] [CrossRef]
- Nagata, K.; Nishiwaki, J. Reflection of Light from Filmed Rough Surface: Determination of Film Thickness and rms Roughness. Jpn. J. Appl. Phys. 1967, 6, 251–257. [Google Scholar] [CrossRef]
- Filiński, I. The Effects of Sample Imperfections on Optical Spectra. phys. stat. sol. (b) 1972, 49, 577–588. [Google Scholar] [CrossRef]
- Ohlidal, I.; Lukeš, F. and Navràtil, K. Rough silicon surfaces studied by optical methods, Surface Science 1974, 45, 91–116.
- Eastman, J.M. Scattering by all-dielectric multilayer bandpass filters and mirrors for lasers. In Physics of Thin Films; Hass, G., Francombe, M.H., Eds.; Academic Press: New York, NY, USA, 1978; Volume 10. [Google Scholar]
- Carniglia, C.K. Scalar scattering theory for multilayer optical coatings. Opt. Eng. 1979, 18, 104–115. [Google Scholar] [CrossRef]
- Hunderi, O. Optics of rough surfaces, discontinuous films and heterogeneous materials. Surface Science.
- Huiser, A.M.J.; Baltes, H.P. Electromagnetic scattering by perfectly conducting rough surfaces; facet model. Optics Communications 1981, 40, 1–4. [Google Scholar] [CrossRef]
- Karnicka-Moscicka, K.; Kisiel, A. Surface roughness as possible explanation of differences in fundamental reflectivity spectra of Cd3As2. Surface Science Letters 1982, 121, L545–L552. [Google Scholar] [CrossRef]
- Jezierski, K.; Misiewicz, J. Surface roughness as a physical cause of the dip in the results of a Kramers–Kronig analysis of Zn3P2. J. Opt. Soc. Am. B 1984, 1, 850–852. [Google Scholar] [CrossRef]
- Szcyrbrowski, J.; Schmalzbauer, K. and Hoffmann, H. Optical properties of rough thin films. Thin Solid Films.
- Petrich, R. Stenzel, O. Modeling of transmittance, reflectance and scattering of rough polycrystalline CVD diamond layers in application to the determination of optical constants. Optical Materials.
- Mitsas, C.L.; Siapkas, D.I. Generalized matrix method for analysis of coherent and incoherent reflectance and transmittance of multilayer structures with rough surfaces, interfaces, and finite substrates. Appl. Opt. 1995, 34, 1678–1683. [Google Scholar] [CrossRef] [PubMed]
- Yin, Z.; Tan, H.S. and Smith, F.W. Determination of the optical constants of diamond films with a rough growth surface. Diamond and Related Materials 1996, 5, 1490–1496. [Google Scholar] [CrossRef]
- Carniglia, C.K.; Jensen, D.G. Single-layer model for surface roughness. Appl. Opt. 2002, 41, 3167–3171. [Google Scholar] [CrossRef]
- Katsidis, C.C.; Siapkas, D.I. General transfer-matrix method for optical multilayer systems with coherent, partially coherent, and incoherent interference. Appl. Opt. 2002, 41, 3978–3987. [Google Scholar] [CrossRef]
- Zhu, Q.Z. ; Lee; H.J. and Zhang Z.M. The Validity of Using Thin-Film Optics in Modeling the Bidirectional Reflectance of Coated Rough Surfaces. AIAA 2004-2679. 37th AIAA Thermophysics Conference, 20 June.
- Lee, B.J. Khuu, V.P. and Zhang, Z.M. Partially Coherent Spectral Transmittance of Dielectric Thin Films with Rough Surfaces. Journal of Thermophysics and Heat Transfer 2005, 19, 360–366. [Google Scholar] [CrossRef]
- Murphy, A.B. Modified Kubelka–Munk model for calculation of the reflectance of coatings with optically-rough surfaces. Journal of Physics D: Applied Physics, 3571. [Google Scholar]
- Harvey, J.; Krywonos, A.; Vernold, C.L. Modified Beckmann-Kirchhoff scattering model for rough surfaces with large incident and scattering angles. Opt. Eng. 2007, 46, 078002–1–078002–10.
- Franta, D.; Ohlídal, I.; Nečas, D. Influence of cross-correlation effects on the optical quantities of rough films. Opt. Express 2008, 16, 7789–7803. [Google Scholar] [CrossRef] [PubMed]
- Ohlídal, I.; Nečas, D. Influence of shadowing on ellipsometric quantities of randomly rough surfaces and thin films. Journal of Modern Optics 2008, 55, 1077–1099. [Google Scholar] [CrossRef]
- Schröder, S.; Herffurth, T.; Blaschke, H. and Duparré, A. Angle-resolved scattering: an effective method for characterizing thin-film coatings. Appl. Opt.
- Schröder, S.; Duparré, A.; Coriand, L.; Tünnermann, A.; Penalver, D.H.; Harvey, J.E. Modeling of light scattering in different regimes of surface roughness. Opt. Express 2011, 19, 9820–9835. [Google Scholar] [CrossRef] [PubMed]
- Yin, Z.; Tan, H.S. and Smith, F.W. Measurement and Modeling of Optical Constants for Rough Surface Diamond Thin Films. MRS Online Proceedings Library 2011, 416, 205–210. [Google Scholar] [CrossRef]
- Guo, C. Kong, M. Gao, W. and Li, B. Simultaneous determination of optical constants, thickness, and surface roughness of thin film from spectrophotometric measurements. Opt. Lett.
- Nečas, D.; Ohlídal, I.; Franta, D.; Ohlídal, M.; Čudek, V. and Vodák, J. Measurement of thickness distribution, optical constants, and roughness parameters of rough nonuniform ZnSe thin films. Appl. Opt. 5606. [Google Scholar]
- Nečas, D.; Ohlídal, I. Consolidated series for efficient calculation of the reflection and transmission in rough multilayers. Opt. Express 2014, 22, 4499–4515. [Google Scholar] [CrossRef]
- Vohánka, J.; Ohlídal, I.; Buršíková, V.; Klapetek, P.; Kaur, N.J. Optical characterization of inhomogeneous thin films with randomly rough boundaries. Opt. Express 2022, 30, 2033–2047. [Google Scholar] [CrossRef]
- Trost, M.; Schröder, S. Roughness and Scatter in Optical Coatings. In: Stenzel, O., Ohlídal, M. (eds) Optical Characterization of Thin Solid Films. Springer Series in Surface Sciences, vol 64. Springer Cham., 2018.
- Vohánka, J.; Šulc, V.; Ohlídal, I.; Ohlídal, M.; Klapetek, P. Optical method for determining the power spectral density function of randomly rough surfaces by simultaneous processing of spectroscopic reflectometry, variable-angle spectroscopic ellipsometry and angle-resolved scattering data. Optik 2023, 280, 170775. [Google Scholar] [CrossRef]
- Ohlídal, I.; Vohánka, J.; Dvořák, J.; Buršíková, V.; Klapetek, P. Determination of Optical and Structural Parameters of Thin Films with Differently Rough Boundaries. Coatings 2024, 14, 1439. [Google Scholar] [CrossRef]
- Yeh, P. Optical Waves in Layered Media. Wiley, John & Sons, 2nd edition, 2005.
- Postava, K.; Yamaguchi, T. and Kantor, R. Matrix description of coherent and incoherent light reflection and transmission by anisotropic multilayer structures. Appl. Opt. 2002, 41, 2521–2531. [Google Scholar] [CrossRef] [PubMed]
- Chen, G.; Tien, C.L. Partial Coherence Theory of Thin Film Radiative Properties. J. Heat Transfer 1992, 114, 636–643. [Google Scholar] [CrossRef]
- Richter, K.; Chen, C. and Tien, C. Partial coherence theory of multilayer thin-film optical properties, Proc. SPIE 1993, 1821, 284–295.
- Troparevsky, M.C.; Sabau, A.S.; Lupini, A.R. and Zhang, Z. Transfer-matrix formalism for the calculation of optical response in multilayer systems: from coherent to incoherent interference. Opt. Express, 2471. [Google Scholar]
- Lee, W.; Lee, S.Y.; Kim, J.; Kim, S.C. and Lee, B. A numerical analysis of the effect of partially-coherent light in photovoltaic devices considering coherence length. Opt. Express.
- Puhan, J.; Bűrmen, Á.; Tuma, T. and Fajfar, I. Irradiance in Mixed Coherent/Incoherent Structures: An Analytical Approach. Coatings 2019, 9, 536. [Google Scholar] [CrossRef]
- Santbergen, R.; Smets, A.H.M. and Zeman, M. Optical model for multilayer structures with coherent, partly coherent and incoherent layers. Opt. Express.
- Stathopoulos, N.A.; Savaidis, S.P.; Botsialas, A.; Ioannidis, Z.C.; Georgiadou, D.G.; Vasilopoulou, M. and Pagiatakis, G. Reflection and transmission calculations in a multilayer structure with coherent, incoherent, and partially coherent interference, using the transmission line method. Appl. Opt. 1492. [Google Scholar]
- Azzam, R.M.A. and Bashara, N.M. Ellipsometry and Polarized Light, 1987. [Google Scholar]
- Röseler, A. Infrared Spectroscopic Ellipsometry. John Wiley & Sons Canada, Limite, 1990.
- Schubert, M. Infrared Ellipsometry on Semiconductor Layer Structures Phonons, Plasmons, and Polaritons; Springer: Berlin/Heidelberg, Germany 2005. [Google Scholar]
- JA Woollam WVASE. Available online: https://www.jawoollam.com/ellipsometry-software/wvase (accessed on 20 December 2024).
- Sentech SpectraRay/4. Available online: https://www.sentech.com/products/spectraray-4 (accessed on 20 December 2024).
- Weber, M.F.; Stover, C.A.; Gilbert, L.R.; Nevitt, T.J. and Ouderkirk, A.J. Giant Birefringent Optics in Multilayer Polymer Mirrors; Science 2000, 287, 2451–2456.
- Strharsky, R.; Wheatley, J. Polymer Optical Interference Filters. Optical and Photonic News 2002, 34–40. [Google Scholar] [CrossRef]
- Zadeh, A. Frequency Analysis of Variable Networks. Proceedings IRE 1950, 38, 291–299. [Google Scholar] [CrossRef]
- Morgenthaler, F.R. Velocity Modulation of Electromagnetic Waves, IRE Transactions on Microwave Theory and Techniques 1958, 6, 167–172.
- Engheta, N. Four-dimensional optics using time-varying metamaterials, Science 2023, 379, 1190–1191.
- Klingshirn, C. F. Semiconductor Optics; Springer 1997.
- Landau, L.D. and Lifshitz, E.M. Mechanics, 1976. [Google Scholar]
- Pacheco-Pena, V.; Engheta, N. Antireflection temporal coatings, Optica 2020, 7, 323–331.
- Engheta, N. Metamaterials with high degrees of freedom: space, time, and more, Nanophotonics 2021, 10, 639–642.
- Schubert, M. and Wilhelmi, B. Einführung in die nichtlineare Optik I und II, 1971. [Google Scholar]
- Buck, M.; Eisert, F.; Fischer, J.; Grunze, M. and Träger, F. Investigation of Self-Organizing Thiol Films by Optical Second Harmonic Generation and X-Ray Photoelectron Spectroscopy. Appl. Phys. A.
- Rodríguez, C.; Rudolph, W. Modeling third-harmonic generation from layered materials using nonlinear optical matrices. Optics Express 2014, 22, 25984–25992. [Google Scholar] [CrossRef] [PubMed]
- Razskazovskaya, O.; Luu, T.T.; Trubetskov, M.; Goulielmakis, E.; Pervak, V. Nonlinear Behavior and Damage of Dispersive Multilayer Optical Coatings Induced by Two-Photon Absorption. Proc. SPIE 2014, 9237, 92370L1–92370L8. [Google Scholar]
- Amotchkina, T.; Trubetskov, M.; Fedulova, E.; Fritsch, K.; Pronin, O.; Krausz, F.; Pervak, V. Characterization of Nonlinear Effects in Edge Filters. In Proceedings of the Optical Interference Coatings (OIC), Tucson, AZ, USA, 19–24 June 2016. Paper ThD.3. [Google Scholar]
- Pervak, V. Highly-dispersive mirrors reach new levels of dispersion. In Proceedings of the Optical Interference Coatings (OIC), Tucson, AZ, USA, 19–24 June 2016. Paper ThD.1. [Google Scholar]
- Grossmann, F. Theoretical Femtosecond Physics, 3rd Edition Springer 2018, chapter 1.
- He, J.Y. Numerical study of nonlinear response in dielectric multilayer mirrors, Research lab Report, Abbe School of Photonics, Friedrich-Schiller-Universität Jena, 2021.
- Razskazovskaya, O.; Luu, T.T.; Trubetskov, M.; Goulielmakis, E. and Pervak, V. Non-linear absorbance in dielectric multilayers. Optica.
- Stenzel, O.; Wilbrandt, S. Theoretical study of multilayer coating reflection taking into account third-order optical nonlinearities. Appl. Opt. 2018, 57, 8640–8647. [Google Scholar] [CrossRef] [PubMed]
- Stenzel, O.; Wilbrandt, S.; Mühlig, C.; Schröder, S. Linear and Nonlinear Absorption of Titanium Dioxide Films Produced by Plasma Ion-Assisted Electron Beam Evaporation: Modeling and Experiments. Coatings 2020, 10, 59. [Google Scholar] [CrossRef]
- Sheik-Bahae, M.; Hutchings, D.C.; Hagan, D.J. and Van Stryland, E.W. Dispersion of Bound Electronic Nonlinear Refraction in Solids. IEEE J. Quantum Electron. 1991, 27, 1296–1309. [Google Scholar] [CrossRef]
- Tichá, H. and Tichý, L. Semiempirical relation between non-linear susceptibility (refractive index), linear refractive index and optical gap and its application to amorphous chalcogenides”, Journal of Optoelectronics and Advanced Materials 2002, 4, 381–386.
- Fournier, J.; Snitzer, E. The nonlinear refractive index of glass, IEEE J. Quantum Electron. 1974, 10, 473–475. [Google Scholar] [CrossRef]
- Stenzel, O. Simplified expression for estimating the nonlinear refractive index of typical optical coating materials. Appl. Opt. 2017, 56, C21–C23. [Google Scholar] [CrossRef]
- Wang, C.C. Empirical Relation between the Linear and the third-order Nonlinear Optical Susceptibilities. Phys. Rev. B 1970, 2, 2045–2048. [Google Scholar] [CrossRef]
- Sivukhin, D.V. Molecular theory of the reflection and refraction of light. Zhurn. Eksp. Teor. Fiz. 1948, 18, 976–994. [Google Scholar]
- Dub, P. The Influence of a Surface Monolayer on the s-Polarized Optical Properties of a Dielectric; The Classical Microscopical Model. Surface Science 1983, 135, 307–324. [Google Scholar] [CrossRef]
- Anderson, J.C. Conduction in thin semiconductor films. Adv. Phys. 1970, 19, 311–338. [Google Scholar] [CrossRef]
- Weißmantel, Ch. and Hamann, C. Grundlagen der Festkörperphysik, 1979. [Google Scholar]
- Stenzel, O.; Wilbrandt, S.; Stempfhuber, S.; Gäbler, D. and Wolleb, S.-J. Spectrophotometric Characterization of Thin Copper and Gold Films Prepared by Electron Beam Evaporation: Thickness Dependence of the Drude Damping Parameter. Coatings 2019, 9, 181. [Google Scholar] [CrossRef]
- Stenzel, O.; Macleod, A. Metal-dielectric composite optical coatings: Underlying physics, main models, characterization, design and application aspects. Adv. Opt. Technol. 2012, 1, 463–481. [Google Scholar] [CrossRef]
- Willey, R.R.; Stenzel, O. Designing Optical Coatings with Incorporated Thin Metal Films. Coatings 2023, 13, 369. [Google Scholar] [CrossRef]
- Willemsen, T.; Geerke, P.; Jupé, M.; Gallais, L. and Ristau D. Electronic quantization in dielectric nanolaminates. Proc. SPIE 2016, 10014, 100140C. [Google Scholar]
- Willemsen, T.; Jupé, M.; Gallais, L.; Tetzlaff, D. and Ristau, D. Tunable optical properties of amorphous Tantala layers in a quantizing structure. Opt. Lett. 2017, 42, 4502–4505. [Google Scholar] [CrossRef]
- Steinecke, M.; Badorreck, H.; Jupé, M.; Willemsen, T.; Hao, L.; Jensen, L. and Ristau, D. Quantizing nanolaminates as versatile materials for optical interference coatings. Appl. Opt. 2020, 59, A236–A241. [Google Scholar] [CrossRef] [PubMed]
- Schwyn Thöny, S.; Bärtschi, M.; Batzer, M.; Baselgia, M.; Waldner, S.; Steinecke, M.; Badorreck, H.; Wienke, A. and Jupé, M. Magnetron sputter deposition of Ta2O5-SiO2 quantized nanolaminates. Opt. Express.
- Alam, S.; Paul, P.; Beladiya, V.; Schmitt, P.; Stenzel, O.; Trost, M.; Wilbrandt, S.; Mühlig, C.; Schröder, S.; Matthäus, G.; et al. Heterostructure Films of SiO2 and HfO2 for High-Power Laser Optics Prepared by Plasma-Enhanced Atomic Layer Deposition. Coatings 2023, 13, 278. [Google Scholar] [CrossRef]
- Gross, R. and Marx, A. Festkörperphysik, 2014. [Google Scholar]
- Fox, M. Optical properties of solids 2010. [CrossRef]







| Ref. | ||
|---|---|---|
| [56] | ||
| [58] | ||
| [70,71,72,75,85] | ||
| [77] | ||
| [79] |
| Reχ(3) / m2V-2 |
Imχ(3) / m2V-2 |
Thicknesses / nm | |||||
|---|---|---|---|---|---|---|---|
| V-coating | R-optimized design |
T-optimizeddesign | |||||
| Layer 1 | 2.249 | 0 | 1.86·10-20 | 2.74·10-21 | 17.5 | 11.7 | 8.4 |
| Layer 2 | 1.477 | 0 | 2.05·10-22 | 7.32·10-24 | 121.5 | 122.4 | 125.8 |
Disclaimer/Publisher’s Note: The statements, opinions and data contained in all publications are solely those of the individual author(s) and contributor(s) and not of MDPI and/or the editor(s). MDPI and/or the editor(s) disclaim responsibility for any injury to people or property resulting from any ideas, methods, instructions or products referred to in the content. |
© 2025 by the authors. Licensee MDPI, Basel, Switzerland. This article is an open access article distributed under the terms and conditions of the Creative Commons Attribution (CC BY) license (http://creativecommons.org/licenses/by/4.0/).
