Submitted:
06 May 2025
Posted:
08 May 2025
You are already at the latest version
Abstract
Keywords:
1. Introduction
2. Theory
2.1. Considerations on the Field Strength in an Antireflection Optical Coating in Linear Optics
- high intensity of the laser can cause damage of the coating (quantified by laser induced damage threshold LIDT)
- even in the pre-damage regime nonlinear behavior of the materials can decrease the optical performance
- commonly only a single wavelength or a very limited wavelength range must be considered
- substrate is not only the sheet “holding” the coating, but it may also be curved (lens) or provide the main functionality when nonlinear effects are used to generate light of a different wavelength (four-wave mixing: harmonic generation, sum- and difference-frequency generation, spontaneous parametric down-conversion, …). Often, the corresponding materials are optically anisotropic crystals.
2.2. Basic Assumptions to Consider Nonlinear Effects
2.2. Iterative Approach for Calculation of the Spectral Response
2.2.1. Runge-Kutta Calculation
- calculate transmittance of the coating for the linear case
- estimate the expected electric field strength at according to the definition of the transmittance
- calculate spatial distribution of the electric and magnetic field for the given electric field strength at
- adapt electric field strength at according to the remaining discrepancy in the electric field at
- repeat with step 3 until the discrepancy is below a certain threshold
2.2.2. Iterative Matrix Method

2.3. Design Process
3. Results
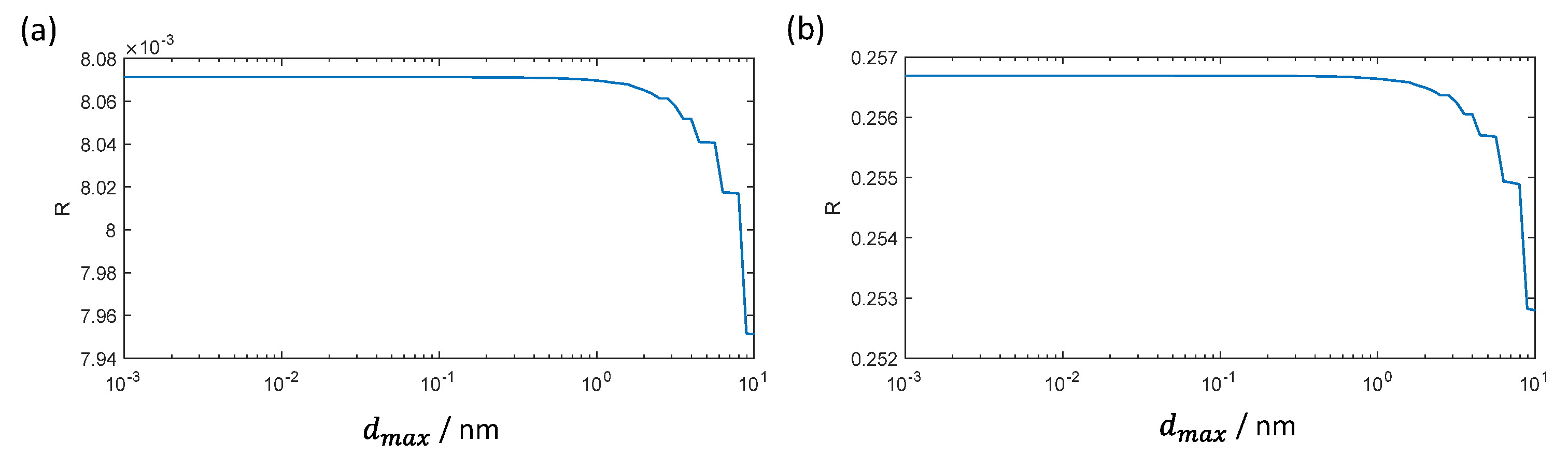
3.1. Impact of the Maximum Slice Thickness
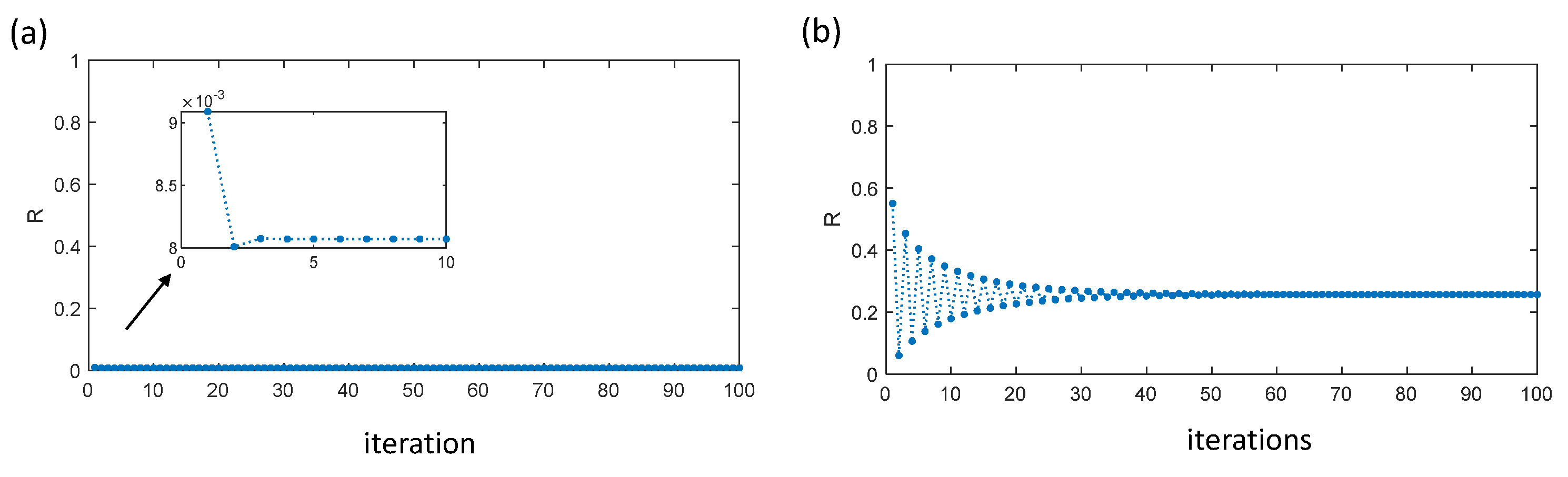
3.2. Convergence
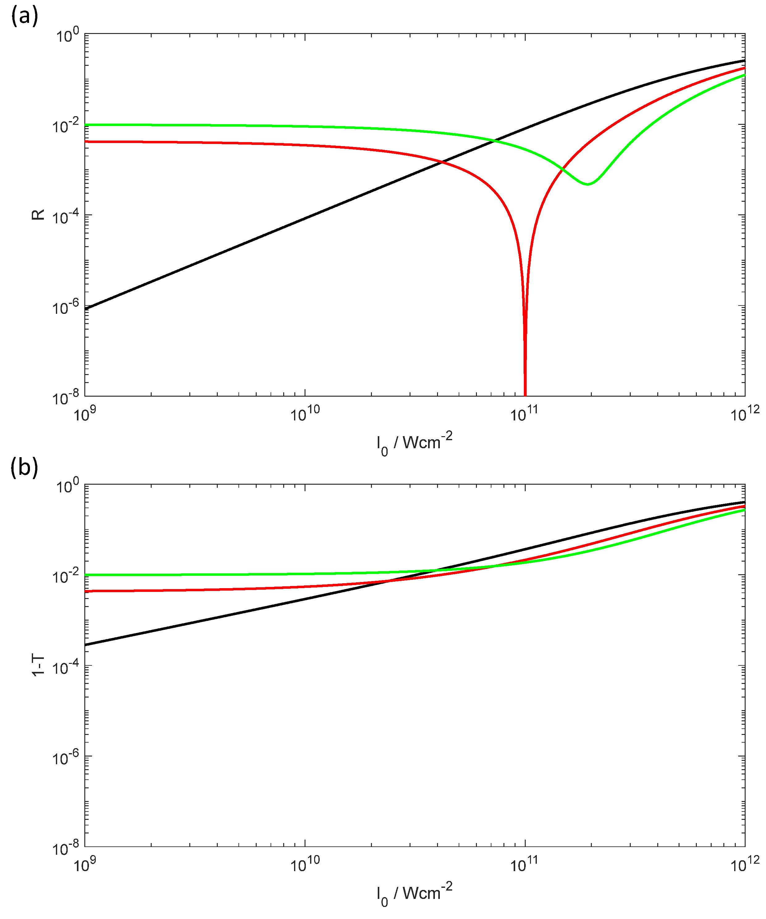
3.3. Normal Incidence, Single Wavelenth AR-Coatings Optimized for a Single Intensity
3.4. Normal Incidence, Single Wavelenth AR-Coating Optimized for Two Intensities
3.5. Normal Incidence, Single Wavelenth AR-Coatings Optimized for an Intensity Range
3.6. Parallelism of the Calculations
4. Discussion
5. Conclusions
Author Contributions
Funding
Institutional Review Board Statement
Informed Consent Statement
Data Availability Statement
Conflicts of Interest
References
- Dobrowolski, J. A. Antireflection coatings: key optical components. In: SPIE 2005, 596303.
- Stenzel, O.; Wilbrandt, S. Theoretical Aspects of Thin Film Optical Spectra: Underlying Models, Model Restrictions and Inadequacies, Algorithms, and Challenges. Appl. Sci. 2025, 15, 2187. [Google Scholar] [CrossRef]
- Janicki, V.; Wilbrandt, S.; Stenzel, O.; Gäbler, D.; Kaiser, N.; Tikhonravov, A.; Trubetskov, M.; Amotchkina, T. Hybrid optical coating design for omnidirectional antireflection purposes. Journal of Optics A: Pure and Applied Optics 2005, 7, L9–L12. [Google Scholar] [CrossRef]
- Liou, Y.-Y. Design of Wide-Angular-Incidence Antireflection Coating over Visible Spectral Region. Japanese Journal of Applied Physics 2006, 45, 4051. [Google Scholar] [CrossRef]
- Tikhonravov, A. V.; Dobrowolski, J. A. Quasi-optimal synthesis for antireflection coatings: a new method. Applied Optics 1993, 32, 4265. [Google Scholar] [CrossRef]
- Dobrowolski, J. A.; Tikhonravov, A. V.; Trubetskov, M. K.; Sullivan, B. T.; Verly, P. G. Optimal single-band normal-incidence antireflection coatings. Applied Optics 1996, 35, 644. [Google Scholar] [CrossRef]
- Schallenberg, U. Design principles for broadband AR coatings. In: SPIE 2008, 710103.
- Jin, J.; Jin, C.; Li, C.; Deng, W.; Chang, Y. Optimal design and fabrication method for antireflection coatings for P-polarized 193 nm laser beam at large angles of incidence (68°–74°). Journal of the Optical Society of America A 2013, 30, 1768–1771. [Google Scholar] [CrossRef]
- Amotchkina, T. V. Empirical expression for the minimum residual reflectance of normal- and oblique-incidence antireflection coatings. Applied Optics 2008, 47, 3109. [Google Scholar] [CrossRef]
- Tikhonravov, A. V. Some theoretical aspects of thin-film optics and their applications. Applied Optics 1993, 32, 5417–5426. [Google Scholar] [CrossRef]
- Schulz, U.; Kaiser, N.; Schallenberg, U. B. AR-hard broadband antireflective coatings generated by a controlled needle-optimization technique. In Proceedings of the Optical Interference Coatings, Tucson, AZ, USA, 27 June–4 July 2004; OSA Technical Digest Series. Optica Publishing Group: Washington, DC, USA, 2004. paper TuB2. [Google Scholar]
- Schallenberg, U. B. Nanostructures versus thin films in the design of antireflection coatings. In: SPIE 2011, 81681N.
- Razskazovskaya, O.; Luu, T. T.; Trubetskov, M. K.; Goulielmakis, E.; Pervak, V. Nonlinear behavior and damage of dispersive multilayer optical coatings induced by two-photon absorption. In: SPIE International Society for Optics and Photonics, 2014, 92370L.
- Amotchkina, T.; Trubetskov, M. K.; Fedulova, E.; Fritsch, K.; Pronin, O.; Krausz, F.; Pervak, V. Characterization of Nonlinear Effects in Edge Filters. In: OSA 2016, ThD.3.
- Stenzel, O.; Wilbrandt, S. Theoretical study of multilayer coating reflection taking into account third-order optical nonlinearities. Applied Optics 2018, 57, 8640–8647. [Google Scholar] [CrossRef]
- He, J.Y. Numerical Study of Nonlinear Response in Dielectric Multilayer Mirrors; Research lab Report, Abbe School of Photonics; Friedrich-Schiller-Universität Jena: Jena, Germany, 2021. [Google Scholar]
- Thelen, A. Design of Optical Interference Coatings; McGraw-Hill Book Company: New York, NY, USA, 1989. [Google Scholar]
- Macleod, H.A. Thin-Film Optical Filters; Adam Hilger Ltd.: Bristol, UK, 1986. [Google Scholar]
- Furman, S.A.; Tikhonravov, A.V. Basics of Optics of Multilayer Systems; Edition Frontieres: Gif-sur-Yvette, France, 1992. [Google Scholar]
- Stenzel, O. The Physics of Thin Film Optical Spectra: An Introduction, 3rd ed.; Springer: Berlin/Heidelberg, Germany, 2024. [Google Scholar]
- Born, M.; Wolf, E. Principles of Optics; Pergamon Press: Oxford, UK; London, UK; Edinburgh, UK; New York, NY, USA; Paris, France; Frankfurt, Germany, 1968. [Google Scholar]
- Schuster, K. Anwendung der Vierpoltheorie auf die Probleme der optischen Reflexionsminderung, Reflexionsverstärkung und der Interferenzfilter. (Mit 2 Abbildungen). Annalen der Physik 1949, 439, 352–356. [Google Scholar] [CrossRef]
- Herpin, A.; Cabannes, N.J. Optique Electromagnétique—Calcul du Pouvior Réflecteur dun Systeme Stratifie Quelconque. C. R. Acad. Sol. 1947, 225, 182–183. [Google Scholar]
- Epstein, L. I. The Design of Optical Filters. J. Opt. Soc. Am. 1952; 42, 806–810. [Google Scholar] [CrossRef]
- Berning, P. H. Use of Equivalent Films in the Design of Infrared Multilayer Antireflection Coatings. J. Opt. Soc. Am. 1962, 52, 431–436. [Google Scholar] [CrossRef]
- Thelen, A. Equivalent Layers in Multilayer Filters. J. Opt. Soc. Am. 1966, 56, 1533–1538. [Google Scholar] [CrossRef]
- Ohmer, M. C. Design of three-layer equivalent films. Journal of the Optical Society of America 1978, 68, 137. [Google Scholar] [CrossRef]
- Tikhonravov, A. V.; Trubetskov, M. K.; Amotchkina, T. V.; Thelen, A. Optical coating design algorithm based on the equivalent layers theory. Applied Optics 2006, 45, 1530–1538. [Google Scholar] [CrossRef]
- Schubert, M.; Wilhelmi, B. Einführung in die nichtlineare Optik I und II; (engl.: Introduction in Non-Linear Optics I and II); BSB B. G. Teubner Verlagsgesellschaft: Leipzig, Germany, 1971. [Google Scholar]
- Apfel, J. H. Electric fields in multilayers at oblique incidence. Applied Optics 1976, 15, 2339–2343. [Google Scholar] [CrossRef]
- Braunstein, A. Calculation of electric field and absorption distributions in thin film structures. Thin Solid Films 1976, 37, 181–184. [Google Scholar] [CrossRef]
- Ohta, K.; Ishida, H. Matrix formalism for calculation of electric field intensity of light in stratified multilayered films. Applied Optics 1990, 29, 1952–1959. [Google Scholar] [CrossRef]
- Baumeister, P. Starting designs for the computer optimization of optical coatings. Applied Optics 1995, 34, 4835. [Google Scholar] [CrossRef]
- DeBell, G. W. Antireflection Coatings Utilizing Multiple Half Waves. In: SPIE 1983, 127–137.
- Tikhonravov, A. V.; Trubetskov, M. K. Modern design tools and a new paradigm in optical coating design, Appl. Opt. 2012, 51, 7319–7332. [Google Scholar]
- Tikhonravov, A. V. Synthesis of optical coatings using optimality conditions. Vestnik MGU 1982, Vol. 23 of Physics and Astronomy Series, 91–93. [Google Scholar]
- OptiLayer. Available online: https://optilayer.com (accessed on 30 April 2025).
- OTF Studio. Available online: https://otfstudio.com (accessed on 30 April 2025).
- Schulz, U.; Schallenberg, U. B.; Kaiser, N. Symmetrical periods in antireflective coatings for plastic optics. Appl. Opt. 2003, 42, 1346–1351. [Google Scholar] [CrossRef] [PubMed]
- Schallenberg, U. B. Antireflection design concepts with equivalent layers. Applied Optics 2006, 45, 1507. [Google Scholar] [CrossRef] [PubMed]
- Tikhonravov, A. V.; Trubetskov, M. K.; Amotchkina, T. V.; Kokarev, M. A.; Kaiser, N.; Stenzel, O.; Wilbrandt, S.; Gäbler, D. New optimization algorithm for the synthesis of rugate optical coatings. Applied Optics 2006, 45, 1515–1524. [Google Scholar] [CrossRef] [PubMed]
- Young, P. A.; Thege, W. G. Two-layer laser anti-reflection coatings. Journal of Physics D: Applied Physics 1971, 4, 64–71. [Google Scholar] [CrossRef]
- Venugopalan, G.; Salces-Cárcoba, F.; Arai, K.; Adhikari, R. X. Global optimization of multilayer dielectric coatings for precision measurements. Optics Express 2024, 32, 11751–11762. [Google Scholar] [CrossRef]
- Oulton, R. F.; Adjiman, C. S. Global optimization and modeling techniques for planar multilayered dielectric structures. Applied Optics 2006, 45, 5910. [Google Scholar] [CrossRef]
- Palik, E.D. Handbook of Optical Constants of Solids I–III; Academic Press: Orlando, FL, USA, 1998. [Google Scholar]
- Yoldas, B. E. Investigations of porous oxides as an antireflective coating for glass surfaces. Applied Optics 1980, 19, 1425. [Google Scholar] [CrossRef]
- Clapham, P.; Hutley, M. Reduction of Lens Reflexion by the “Moth Eye” Principle. Nature 1973, 244, 281–282. [Google Scholar] [CrossRef]
- Watanabe, Y.; Ohnishi, M.; Tsuchiya, T. Measurement of nonlinear absorption and refraction in titanium dioxide single crystal by using a phase distortion method. Applied Physics Letters 1995, 66, 3431–3432. [Google Scholar] [CrossRef]
- Stenzel, O.; Wilbrandt, S.; Mühlig, C.; Schröder, S. Linear and Nonlinear Absorption of Titanium Dioxide Films Produced by Plasma Ion-Assisted Electron Beam Evaporation: Modeling and Experiments. Coatings 2020, 10, 59. [Google Scholar] [CrossRef]
- Sheik-Bahae, M.; Hutchings, D.; Hagan, D.; Van Stryland, E. Dispersion of bound electron nonlinear refraction in solids. IEEE Journal of Quantum Electronics 1991, 27, 1296–1309. [Google Scholar] [CrossRef]
- Schwyn Thöny, S.; Bärtschi, M.; Batzer, M.; Baselgia, M.; Waldner, S.; Steinecke, M.; Badorreck, H.; Wienke, A.; Jupé, M. Magnetron sputter deposition of Ta2O5-SiO2 quantized nanolaminates. Opt. Express 2023, 31, 15825–15835. [Google Scholar] [CrossRef] [PubMed]
- Fox, M. Optical Properties of Solids; Oxford University Press: Oxford, UK, 2010. [Google Scholar]
- Boyd, R. W.; Sipe, J. E. Nonlinear optical susceptibilities of layered composite materials. J. Opt. Soc. Am. B 1994, 11, 297–303. [Google Scholar] [CrossRef]














| Material | n | K | Re χ(3) / m2V−2 | Im χ(3) / m2V−2 |
|---|---|---|---|---|
| Substrate | 1.4607 | 0 | 0 | 0 |
| H | 2.249 | 0 | 1.86·10−20 | 2.74·10−21 |
| L | 1.477 | 0 | 2.05·10−22 | 7.32·10−24 |
| Ambient | 1 | 0 | 0 | 0 |
| Layer number |
Material | / nm | ||
|---|---|---|---|---|
| V-Coating |
R-Optimized Design (target ) |
-Optimized Design (target ) |
||
| 1 | H | 17.5 | 11.7 | 8.4 |
| 2 | L | 121.5 | 122.4 | 125.8 |
| Layer number | Material | / nm |
|---|---|---|
| 1 | H | 16.5 |
| 2 | L | 37.3 |
| 3 | H | 37.3 |
| 4 | L | 95.6 |
| Layer number | Material | Number of layers | ||||
|---|---|---|---|---|---|---|
| 2 | 4 | 6 | 8 | 10 | ||
| / nm | / nm | / nm | / nm | / nm | ||
| 1 | H | 13.9 | 16.3 | 11.9 | 3.6 | 0.005 |
| 2 | L | 122.1 | 37.8 | 44.5 | 64.1 | 79.8 |
| 3 | H | 36.8 | 75.6 | 16.2 | 4.3 | |
| 4 | L | 95.6 | 7.9 | 32.8 | 56.1 | |
| 5 | H | 16.9 | 98.3 | 16.7 | ||
| 6 | L | 71.6 | 44.1 | 30.9 | ||
| 7 | H | 1.5 | 97.2 | |||
| 8 | L | 32.7 | 44.5 | |||
| 9 | H | 1.6 | ||||
| 10 | L | 32.3 | ||||
| Figure 15 | (a), (b) | (c), (d) | (e), (f) | (g), (h) | (i), (j) | |
Disclaimer/Publisher’s Note: The statements, opinions and data contained in all publications are solely those of the individual author(s) and contributor(s) and not of MDPI and/or the editor(s). MDPI and/or the editor(s) disclaim responsibility for any injury to people or property resulting from any ideas, methods, instructions or products referred to in the content. |
© 2025 by the authors. Licensee MDPI, Basel, Switzerland. This article is an open access article distributed under the terms and conditions of the Creative Commons Attribution (CC BY) license (http://creativecommons.org/licenses/by/4.0/).