Preprint
Article

This version is not peer-reviewed.

Enhanced Distributed Coordinated Control Strategy for DC Microgrid Hybrid Energy Storage Systems Using Adaptive Event Triggering

A peer-reviewed article of this preprint also exists.

Submitted:

10 January 2025

Posted:

10 January 2025

You are already at the latest version

Abstract
A novel enhanced distributed cooperative control framework, based on adaptive event-triggered mechanisms, is developed for managing multiple hybrid energy storage systems (HESSs) in islanded DC microgrids (MG). This system utilises a hierarchical coordinated control method (HCCM) with primary virtual-resistance droop control integrated with state-of-charge (SoC) management and secondary control for voltage regulation and proportional current distribution through optimised communication networks. The integration of Artificial Neural Network (ANN) based controllers alongside traditional PI control leads to an improvement in system responsiveness. The control approach dynamically adjusts the trigger parameters to minimise communication overhead with tight voltage regulation. An extensive simulation using MATLAB/Simulink shows how the system can effectively manage variability in renewable energy sources and maintain stable voltage profiles with precise power distribution and minimal bus voltage fluctuations.
Keywords: 
;  ;  ;  ;  

1. Introduction

Microgrids (MGs) have come to represent a very significant advancement in addressing environmental concerns and fossil fuel limitations, and, in particular, the benefits of DC microgrids are derived from the simpler architecture and reduced power conversion requirements [1,2]. Hybrid energy storage systems have been integrated into these microgrids, thereby successfully managing renewable energy variability through the combination of different storage technologies, thus enhancing the reliability and operational efficiency of the system [3,4]
Managing HESS implies coordinating energy flow across different time scales, often using filtering techniques. Early techniques used fuzzy control and low-pass filters for power balancing between batteries and supercapacitors [5,6]. However, coordination in multiple HESSs is challenging in a DC microgrid. Centralised control offers optimal power distribution, requiring extensive communication infrastructure, thereby imposing limitations on flexibility. Droop control in decentralised models improves power sharing but overlooks line resistance issues [7,8]. Distributed control strategies improve reliability by alleviating information sharing among local controllers, reducing communication requirements and improving voltage regulation [9].
The utilisation of Artificial Neural Networks (ANNs) within control methodologies has recently been identified as a notable advancement in the management of voltage source DC/AC converters, especially with regards to inverter regulation for AC microgrids [10,11]. ANNs are straightforward and robust solutions that exhibit fast responses, significant stability, and reliability; this, in turn, enhances voltage and frequency stability and the quality of power in AC microgrids. This function also facilitates seamless transitions among the different modes of operation. The application of ANN-based control methodologies for DC/DC converters and their role in the management of DC microgrids is virtually absent from the literature, however [2,12,13].
The event-triggered control mechanism (ETM) is a revolutionary step in terms of communication efficiency compared to traditional time-triggered mechanisms (TTM). ETM only sends signals when there is a significant change in status, unlike TTM, which sends updates at fixed intervals. This approach uses less bandwidth while still maintaining effective control [14,15,16,17,18,19]. Highly advanced designs used dynamic consensus algorithms and distributed nonlinear controllers, which have better event triggering that balances voltage control and proportional distribution of current. These systems have demonstrated notable efficacy in applications related to secondary control, facilitating effective power management without the necessity of constant real-time voltage state updates, thus enhancing both system performance and resource efficiency [20,21,22,23,24]. Nevertheless, earlier research on ETM predominantly depended on fixed thresholds, which restricted the system’s ability to respond to swift changes and neglected the requirements for dynamic performance. This research addresses this gap by proposing a flexible event-triggering mechanism with variable thresholds to allow the system to react to abrupt variations while minimising communication requirements.
Reference [25] proposes an advanced distributed control scheme with an ANN controller for HESS management in islanded DC microgrids, with high accuracy in voltage stability and power sharing through hierarchical control and SoC-based strategies. However, the absence of event-triggering mechanisms in such approaches is still a critical research gap that would prevent further optimisation and efficiency gains. Therefore, this paper presented an adaptive event-triggering control strategy that utilises an ANN in a hierarchical distributed setting for managing HESS in the context of islanded DC microgrids to enhance voltage stability, improve the accuracy of sharing powers, and reduce communications overhead. Extensive analysis with simulations validates the presented model in stabilising voltage as well as current under variable conditions of load.
This paper is organised as follows: Section 2 covers the design for optical storage direct current microgrids. Section 3 presents the distributed control method for hybrid energy storage in the form of an artificial neural network that incorporates an adaptive event trigger and stability, as well as convergence. Section 4 will illustrate the validity of the control method introduced through simulation results. The last section of this document brings together the main findings summarised in Section 5.

2. Architecture of an Islanded DC MG

This research explores an isolated DC microgrid architecture shown in Figure 1 that integrates photovoltaic generation, hybrid energy storage, and loads within a three-layer hierarchical framework. The physical layer connects photovoltaic and storage units to the DC bus through converters, supplying power to loads. The control layer regulates system operation through converter duty cycles and output currents. The communication layer enables coordinated operation among storage units through strategic information exchange. This layered approach ensures efficient power distribution, precise control, and optimal coordination among microgrid components.
A photovoltaic (PV) system is in MPPT mode, and an HESS stabilises the bus voltage and controls supply and demand fluctuations. Each HESS consists of one supercapacitor and one battery connected to a DC MG. The supercapacitor addresses high-frequency changes in PV output or load, while the battery handles low-frequency changes. Local Controllers, operating at the physical MG level, adjust power-sharing based on the HESS state of charge. This information is synchronised with Location Controllers within a centralised controller through a communication network, ensuring optimised performance.
The communication network in Figure 1 supports information exchange among HESS within the microgrid, structured as an undirected graph G = ( V ,   E ,   A ) . Here, V = { v 1 ,   v 2 ,   . . .   v n } represents the set of n nodes, E is the set of edges, and A = [ a H E S S i H E S S j ] n * n is the non-negative weighted adjacency matrix, where a H E S S i H E S S j > 0 indicates a connection between nodes and a H E S S i H E S S i = 0 by convention. The Laplacian matrix L = D A is derived from the degree matrix D .

3. ANN-Based Distributed Coordinated Control Strategy for DC Microgrid HESSs Using Adaptive Event Triggering

This paper proposes an ANN-based distributed control strategy for optimal power allocation among Hybrid Energy Storage Systems (HESSs). The approach combines droop control with virtual resistance and ANN-based distributed collaborative control using consistency theory. An event trigger mechanism mitigates bus voltage drop, enhancing power distribution accuracy and reducing communication resource consumption to ensure stable system operation.

3.1. ANN-Hierarchical Coordinated Control Structure of the HESS Based on the Adaptive Event Triggering Mechanism

3.1.1. Artificial Neural Network

Traditional control methods, such as PI and linear controllers, often fail to capture all system dynamics. Conversely, ANNs have been promising in the control of MGs with regard to faster response times and system stability of converter systems during various conditions. ANNs are composed of billions of interconnected neurons that determine the input data through nodes as they generate the output, so-called activation functions [2,12,26,27]. The basic structure of an ANN is illustrated in Figure 2. In the original ANN design, the gains of the PI controller are adjusted, with input variables represented as x = x 1 , x 2 , , x n T and weights denoted by w = w 1 , w 2 , , w n T .
An Artificial Neural Network (ANN) with feedforward architecture and error backpropagation is implemented to optimise PI controller parameters in a hierarchical control strategy for multiple Hybrid Energy Storage Systems (HESSs) in an isolated DC Microgrid. The network employs the Levenberg-Marquardt backpropagation algorithm with mean square error objective function, offering faster convergence through second-order derivative information [28,29]. The proposed 30-layer ANN, trained over 5000 epochs, features a single input-output configuration for error correction (PI or proportional control) and maintains input signals similar to conventional PI controllers for simplified structure while achieving enhanced dynamic response. A flowchart of the ANN training process is shown in Figure 3.

3.1.2. Droop and Distributed Control Model

Figure 4 illustrates the Control topology of the scheme. The droop control scheme using virtual resistance in a direct current microgrid is given as:
V H E S S i * = V r e f d c I H E S S i r v i
Here,   V r e f d c denotes the rated voltage of the DC bus, V H E S S i * represents the reference voltages established by the droop controller, I H E S S i indicates the current flowing through the system and r v i refers to the virtual resistance.
HESS utilises a voltage loop ANN controller to obtain the reference values for coordinating control between the battery and the supercapacitor. These values are then further processed by a current loop ANN controller, followed by a first-order low-pass filter to optimise output from both the battery and the supercapacitor.
To address line resistance issues in DC microgrids that hinder precise current distribution across HESS and balance current accuracy with voltage deviation, this paper presented an ANN-based distributed control strategy with AETM for improved coordination. The ANN-Distributed Cooperative Control aims to offset bus voltage drops from droop control, reducing current and voltage disparities among HESS in the DC MG. It achieves balanced average voltages and proportional current sharing by adjusting current and voltage set points in each HESS converter, as shown in Figure 5. Due to line resistance, HESS output voltages are lower than the DC bus voltage. To address this, each HESS communicates with neighbouring units to share voltage and current information, aligning their voltages closer to the rated DC bus voltage. The reference value for this control voltage is calculated as: [30]
V ~ H E S S i = V H E S S i + H E S S j N H E S S i a H E S S i H E S S j V ~ H E S S j V ~ H E S S i d t
In this context, V ~ H E S S i represents the average terminal voltage of H E S S i ; N H E S S i refers to the set of neighbouring energy storage units connected to H E S S i ; and a H E S S i H E S S j indicates the elements of the adjacency matrix A , corresponding to the communication link between H E S S i and H E S S j .
The Voltage compensation, expressed as u H E S S i V , is attained by feeding the error between the average output of the voltage observer and the rated voltage to an integral controller. It is difficult to obtain the specified current values for each branch because of line resistance. A dynamic uniform system, presented in the equation below, solves this problem.
ε H E S S i = H E S S j N H E S S i a H E S S i H E S S j   ( I H E S S j r v j I H E S S i r v i )
The ANN controller controls the proportional difference in current to produce voltage compensation that is represented by u H E S S i I . Thus, u H E S S i in Figure 4 may be defined as:
u H E S S i = u H E S S i I + u H E S S i V
The ANN controller receives the voltage difference between distributed and droop control, as well as the discrepancy between the distributed controller’s output current and the actual HESS output current, to generate compensation voltages that support proportional current distribution. This process results in a new reference voltage, which further mitigates the bus voltage drop caused by droop control, as defined by:
V H E S S i * = V r e f d c I H E S S i r v i + u H E S S i
The distributed cooperative control effectively regulates the DC bus voltage in HESS units. However, periodic communication between neighbouring unit’s wastes resources once the system reaches a steady state. To alleviate this, an adaptive event-triggered control is proposed, which dynamically adjusts the trigger threshold in real time to reduce communication load. The design process for this adaptive event-triggering function is detailed below.

3.1.3. Adaptive Event Triggering Control

An adaptive event-trigger mechanism is proposed to optimise communication in a DC microgrid with multiple hybrid energy storage systems (HESSs). This method dynamically adjusts the event trigger threshold to minimise unnecessary communication during steady-state operation, thereby conserving system resources. Key components of this control mechanism include the design of the event trigger function and stability analysis.
The i-th HESS reference voltage and current dynamics are defined as:
V ~ ˙ H E S S i = H E S S j   1 N a H E S S i H E S S j V ~ H E S S j V ~ H E S S i
i ~ ˙ H E S S i = H E S S j   1 N a H E S S i H E S S j i ~ H E S S j i ~ H E S S i
which can be simplified as:
x ~ ˙ H E S S i ( t ) = u H E S S i ( t )
where u H E S S i ( t ) represents the control input of the ANN controller as:
u H E S S i t = c H E S S j   1 N a H E S S i H E S S j ( x ~ H E S S j t m ' H E S S j h x ~ H E S S i t m H E S S i h )
For a time interval t [ t m H E S S i h , t m + 1 H E S S i h ] , c represents the control gain, and h denotes the sampling period. x ~ H E S S i t m H E S S i h is the most recent sampled data for the i t h HESS at its latest trigger time, while x ~ H E S S j t m ' H E S S j h represents the latest sampled data of the neighbouring H E S S j , adjacent to H E S S i . The interval [ t m H E S S i h , t m + 1 H E S S i h ) , between two consecutive triggers for H E S S i , is divided into sampling points from t m + 1 H E S S i h t m H E S S i h such that [ t m H E S S i h , t m + 1 H E S S i h ) .
The adaptive event trigger function f H E S S i as defined in the below equation evaluates when to trigger an update:
f H E S S i = e H E S S i 2 t m H E S S i h + k h σ H E S S i t m H E S S i h + k h δ H E S S i 2 t m H E S S i h + k h > 0
with σ H E S S i ( t ) being a time-varying parameter controlled, which is given as:
σ H E S S i t = 1 ,   e H E S S i 2 t m H E S S i h + k h > ρ 1 ,   e H E S S i 2 t m H E S S i h + k h > ρ ,   t [ t m H E S S i h + k h ,   t m H E S S i h + ( k + 1 ) h )
The trigger parameter σ H E S S i t enables each Hybrid Energy Storage System (HESS) to communicate its sampling state with neighbours at defined intervals. When the trigger condition is met, the system updates its sampling state, ensuring the time interval between triggers is at least one sampling period. This adaptive event-triggering strategy dynamically adjusts trigger frequency based on system dynamics: increasing communication during rapid changes for improved control and reducing it during steady states to conserve resources and optimise performance.
To ensure system stability, a Lyapunov function V = 1 2 x ~ T x ~ is introduced. Its derivative is defined as:
d V d t = 1 2 β h ( 1 σ 0 λ n 2 ) x ~ T ( t m H E S S i h + k h ) L x ~ ( t m H E S S i h + k h )
Stability is guaranteed when the event trigger parameter satisfies 0 < σ 0 < 1   /   λ n 2 , ensuring the system achieves asymptotic stability.
The HESS system demonstrates gradual stabilisation through the implementation of control protocol and the adaptive event trigger condition.

4. Simulation Validation and Analysis

To validate the practicality and efficiency of the proposed control approach, a MATLAB/Simulink model was developed, as illustrated in Figure 1, with microgrid (MG) and controller parameters detailed in Table 1. Although the model is smaller in scale, the control scheme can be seamlessly scaled for DC MGs of varying capacities. This study compares the performance of three control strategies: traditional droop control, PI-based hierarchical coordinated control, and the proposed ANN-based hierarchical coordinated control. Initial SoC levels for the HESS batteries and supercapacitors are set to 0.75, 0.65, 0.65 and 0.09, 0.59, 0.59, respectively, with communication occurring via a ring network. The DC bus voltage is initialised at 220V, with load disconnections and reconnections at 3 seconds and 7 seconds, respectively. Figure 6 illustrates DC bus voltage variations under the three control methods, demonstrating the enhanced performance of the ANN-based approach.
Figure 6 compares the DC bus voltage outcomes for three control strategies: traditional droop control   V d c b u s 1 , PI-based hierarchical coordinated control   V d c b u s 2 , and ANN-based hierarchical coordinated control   V d c b u s 3 . The results demonstrate that the ANN-based approach delivers superior performance, achieving faster voltage stabilisation following load changes. With appropriate constraints met, bus voltages remain within acceptable deviation limits, aided by voltage compensation from   u H E S S i , bringing V d c b u s 2 closer to its rated level
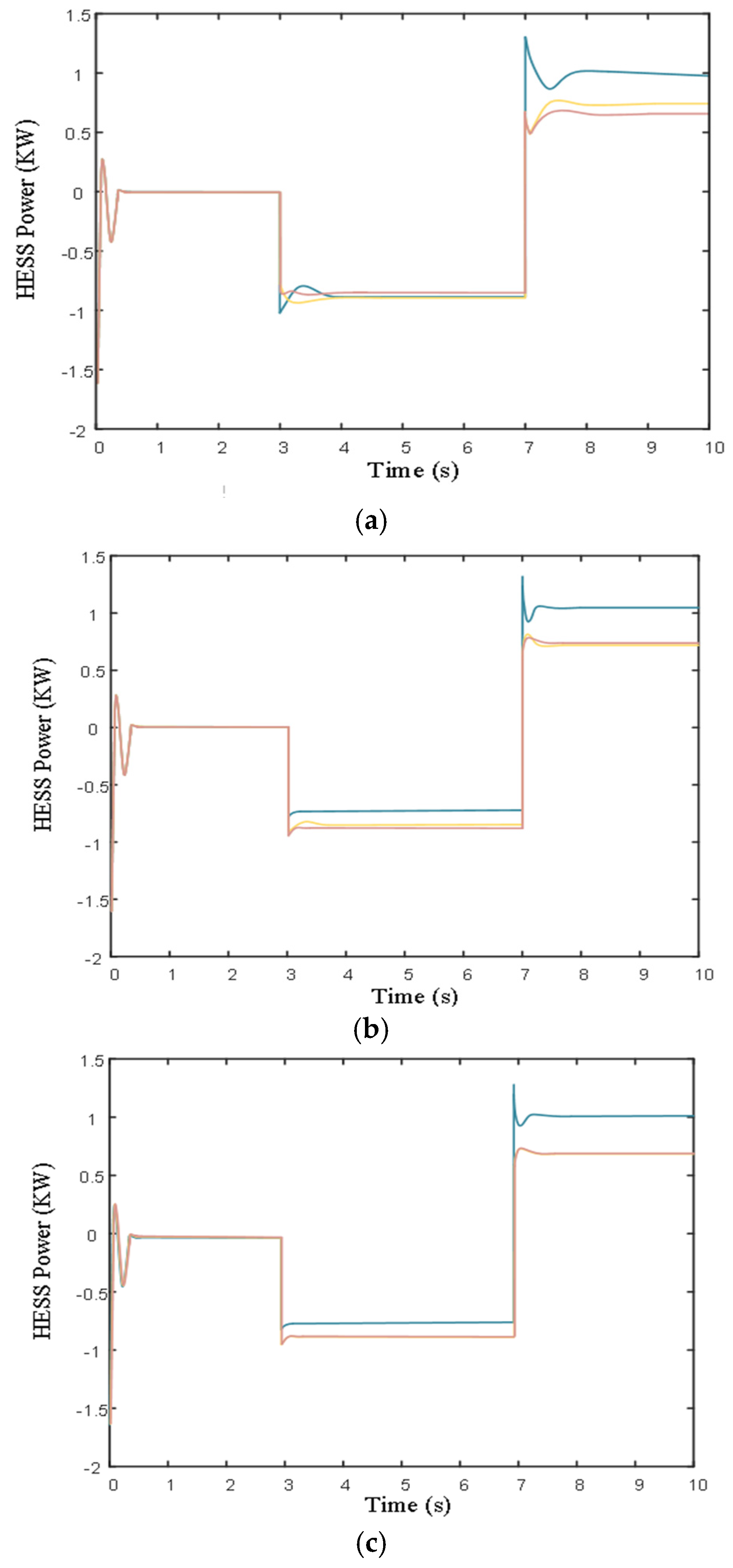
The power characteristics of Hybrid Energy Storage Systems (HESS) are compared across different control methodologies in Figure 7. While conventional droop control and PI-based hierarchical coordinated control (PI-HCCM) in Figure 7a,b show slight power distribution variations due to minor differences in virtual resistances and line resistances, the ANN-based control method in Figure 7c demonstrates superior performance by achieving near-perfect power sharing between HESS2 and HESS3, highlighting the significant potential of artificial neural network control strategies for enhanced energy management.
An adaptive event-triggering mechanism with variable parameters, derived from ANN-distributed cooperative control, is evaluated against a constant-parameter approach. Figure 8 depicts the behavior of voltage-trigger parameters: (a) shows the variation across three HESS trigger parameters, while (b) displays the sampling points at trigger moments. The observed reduction in trigger parameter values validates the parameter range outlined in Section 3. As seen in Figure 7, during system startup, HESS output power increases, leading to shorter triggering intervals, lower parameter values, and higher frequencies. Once the DC bus voltage stabilises, the triggering frequency decreases, and control signals stabilise. Figure 9 presents similar dynamics for current-trigger parameters, mirroring the trends observed in Figure 8.

5. Conclusions

This research presents a new adaptive event-triggering control strategy integrated with ANN controllers for managing HESS in islanded DC MGs. The hierarchical framework combines droop control with virtual resistance and ANN-based distributed coordination, optimising voltage stability and proportional power sharing. The system achieves efficient communication by dynamically adjusting trigger parameters while maintaining robust performance. Complete simulation verifications prove the effectiveness, achieving better voltage regulation, sharp power distribution, and efficiency of resources with changing operating conditions. Such results emphasise the application of ANN-based adaptive control toward further developing microgrid energy management systems.

Author Contributions

Conceptualisation, F Nawaz and E Pashajavid; methodology, E Pashajavid; software, F Nawaz; validation, Y Fan and F Nawaz; formal analysis, M Batool and E Pashajavid; resources, M Batool and Y Fan; data curation, F Nawaz.; writing, F Nawaz and M Batool; visualisation Y Fan. All authors have read and agreed to the published version of the manuscript.

Funding

This research received no external funding.

Data Availability Statement

The information used to support the verdicts of this study are available from the corresponding author upon request.

Conflicts of Interest

The authors declare that they have no conflicts of interest.

References

  1. N. Zanib et al., “Analysis and Power Quality Improvement in Hybrid Distributed Generation System with Utilization of Unified Power Quality Conditioner,” Comput. Model. Eng. Sci., vol. 134, no. 2, pp. 1105–1136, Aug. 2022. [CrossRef]
  2. N. Zanib, M. Batool, S. Riaz, and F. Nawaz, “Performance Analysis of Renewable Energy Based Distributed Generation System Using ANN Tuned UPQC,” IEEE Access, vol. 10, pp. 110034–110049, 2022. [CrossRef]
  3. N. Ghasemi, M. Ghanbari, and R. Ebrahimi, “Intelligent and optimal energy management strategy to control the Micro-Grid voltage and frequency by considering the load dynamics and transient stability,” Int. J. Electr. Power Energy Syst., vol. 145, p. 108618, Feb. 2023. [CrossRef]
  4. T. Lei, S. Riaz, N. Zanib, M. Batool, F. Pan, and S. Zhang, “Performance Analysis of Grid-Connected Distributed Generation System Integrating a Hybrid Wind-PV Farm Using UPQC,” Complexity, vol. 2022, 2022. [CrossRef]
  5. Z. Cabrane, M. Ouassaid, and M. Maaroufi, “Battery and supercapacitor for photovoltaic energy storage: A fuzzy logic management,” IET Renew. Power Gener., vol. 11, no. 8, pp. 1157–1165, Jun. 2017. [CrossRef]
  6. T. Guo, Y. Liu, J. Zhao, Y. Zhu, and J. Liu, “A dynamic wavelet-based robust wind power smoothing approach using hybrid energy storage system,” Int. J. Electr. Power Energy Syst., vol. 116, p. 105579, Mar. 2020. [CrossRef]
  7. E. Pashajavid and A. Ghosh, “Frequency Support for Remote Microgrid Systems With Intermittent Distributed Energy Resources—A Two-Level Hierarchical Strategy,” IEEE Systems Journal, vol. 12, no. 3, pp. 2760-2771, Sept. 2018. [CrossRef]
  8. E. Pashajavid, F. Shahnia and A. Ghosh, “A decentralised strategy to remedy the power deficiency in remote area microgrids, ” 50th International Universities Power Engineering Conference (UPEC), UK, 2015, pp. 1-6. [CrossRef]
  9. X. K. Liu, H. He, Y. W. Wang, Q. Xu, and F. Guo, “Distributed hybrid secondary control for a DC microgrid via discrete-time interaction,” IEEE Trans. Energy Convers., vol. 33, no. 4, pp. 1865–1875, Dec. 2018. [CrossRef]
  10. W. Dong, S. Li, and X. Fu, “Artificial Neural Network Control of A Standalone DC Microgrid,” Clemson Univ. Power Syst. Conf. PSC 2018, Mar. 2019. [CrossRef]
  11. S. Li, M. Fairbank, C. Johnson, D. C. Wunsch, E. Alonso, and J. L. Proao, “Artificial neural networks for control of a grid-Connected rectifier/inverter under disturbance, dynamic and power converter switching conditions,” IEEE Trans. Neural Networks Learn. Syst., vol. 25, no. 4, pp. 738–750, 2014. [CrossRef]
  12. T. B. Lopez-Garcia, A. Coronado-Mendoza, and J. A. Domínguez-Navarro, “Artificial neural networks in microgrids: A review,” Eng. Appl. Artif. Intell., vol. 95, no. June 2019, p. 103894, 2020. [CrossRef]
  13. K. Ronay, D. Bica, and C. Munteanu, “Micro-grid Development Using Artificial Neural Network for Renewable Energy Forecast and System Control,” Procedia Eng., vol. 181, pp. 818–823, 2017. [CrossRef]
  14. C. Nowzari, E. Garcia, and J. Cortés, “Event-Triggered Communication and Control of Networked Systems for Multi-Agent Consensus,” Automatica, vol. 105, pp. 1–27, Dec. 2017. [CrossRef]
  15. Y. Fan, G. Hu, and M. Egerstedt, “Distributed Reactive Power Sharing Control for Microgrids with Event-Triggered Communication,” IEEE Trans. Control Syst. Technol., vol. 25, no. 1, pp. 118–128, Jan. 2017. [CrossRef]
  16. M. Chen, X. Xiao, and J. M. Guerrero, “Secondary restoration control of islanded microgrids with a decentralised event-triggered strategy,” IEEE Trans. Ind. Informatics, vol. 14, no. 9, pp. 3870–3880, Sep. 2018. [CrossRef]
  17. B. Abdolmaleki, Q. Shafiee, A. R. Seifi, M. M. Arefi, and F. Blaabjerg, “A Zeno-Free Event-Triggered Secondary Control for AC Microgrids,” IEEE Trans. Smart Grid, vol. 11, no. 3, pp. 1905–1916, May 2020. [CrossRef]
  18. G. Zhao, L. Jin, and Y. Wang, “Distributed Event-Triggered Secondary Control for Islanded Microgrids With Disturbances: A Hybrid Systems Approach,” IEEE Trans. Power Syst., vol. 38, no. 2, pp. 1420–1431, Mar. 2023. [CrossRef]
  19. B. Fan, J. Peng, Q. Yang, and W. Liu, “Distributed Periodic Event-Triggered Algorithm for Current Sharing and Voltage Regulation in DC Microgrids,” IEEE Trans. Smart Grid, vol. 11, no. 1, pp. 577–589, Jan. 2020. [CrossRef]
  20. D. Pullaguram, S. Mishra, and N. Senroy, “Event-Triggered Communication Based Distributed Control Scheme for DC Microgrid,” IEEE Trans. Power Syst., vol. 33, no. 5, pp. 5583–5593, 2018. [CrossRef]
  21. R. Han, L. Meng, J. M. Guerrero, and J. C. Vasquez, “Distributed Nonlinear Control with Event-Triggered Communication to Achieve Current-Sharing and Voltage Regulation in DC Microgrids,” IEEE Trans. Power Electron., vol. 33, no. 7, pp. 6416–6433, Jul. 2018. [CrossRef]
  22. T. Qian, Y. Liu, W. Zhang, W. Tang, and M. Shahidehpour, “Event-Triggered Updating Method in Centralized and Distributed Secondary Controls for Islanded Microgrid Restoration,” IEEE Trans. Smart Grid, vol. 11, no. 2, pp. 1387–1395, 2020. [CrossRef]
  23. H. Yan, J. Han, H. Zhang, X. Zhan, and Y. Wang, “Adaptive Event-Triggered Predictive Control for Finite Time Microgrid,” IEEE Trans. Circuits Syst. I Regul. Pap., vol. 67, no. 3, pp. 1035–1044, 2020. [CrossRef]
  24. Y. Wang, C. Deng, D. Liu, Y. Xu, and J. Dai, “Unified Real Power Sharing of Generator and Storage in Islanded Microgrid via Distributed Dynamic Event-Triggered Control,” IEEE Trans. Power Syst., vol. 36, no. 3, pp. 1713–1724, 2021. [CrossRef]
  25. F. Nawaz, Y. Fan, E. Pashajavid, M. Sciences, and M. Batool, “Hybrid Energy Storage System in DC Microgrids—An Enhanced Distributed Coordinated Control,” published in 10th IEEE International Smart Cities Conference, 2024.
  26. M. M. Rahman et al., “A comprehensive study and performance analysis of deep neural network-based approaches in wind time-series forecasting,” J. Reliab. Intell. Environ., vol. 9, no. 2, pp. 183–200, Jun. 2023. [CrossRef]
  27. S. Vinnakoti and V. R. Kota, “ANN based control scheme for a three-level converter based unified power quality conditioner,” J. Electr. Syst. Inf. Technol., vol. 5, no. 3, pp. 526–541, Dec. 2018. [CrossRef]
  28. Z. Ming, W. Jian-Ru, W. Zhi-Qiang, and C. Jian, “Control Method for Power Quality Compensation Based on Levenberg-Marquardt Optimized BP Neural Networks,” pp. 1–4, Feb. 2009. [CrossRef]
  29. J. J. Moré, “The Levenberg-Marquardt algorithm: Implementation and theory,” pp. 105–116, 1978. [CrossRef]
  30. V. Nasirian, S. Moayedi, A. Davoudi, and F. L. Lewis, “Distributed cooperative control of dc microgrids,” IEEE Trans. Power Electron., vol. 30, no. 4, pp. 2288–2303, Apr. 2015. [CrossRef]
Figure 1. Architecture of an Islanded DC Microgrid with Integrated HESSs.
Figure 1. Architecture of an Islanded DC Microgrid with Integrated HESSs.
Preprints 145772 g001
Figure 2. Basic Architecture of ANN.
Figure 2. Basic Architecture of ANN.
Preprints 145772 g002
Figure 3. ANN Training Protocol Flowchart.
Figure 3. ANN Training Protocol Flowchart.
Preprints 145772 g003
Figure 4. Intelligent Droop Control using ANN.
Figure 4. Intelligent Droop Control using ANN.
Preprints 145772 g004
Figure 5. Hierarchical Distributed Control System Block Diagram.
Figure 5. Hierarchical Distributed Control System Block Diagram.
Preprints 145772 g005
Figure 6. Evaluation of DC-Bus Voltages.
Figure 6. Evaluation of DC-Bus Voltages.
Preprints 145772 g006
Figure 7. HESS Power Comparison: (a) Traditional Droop Control, (b) PI-HCCM, (c) Advanced Proposed Control Scheme.
Figure 7. HESS Power Comparison: (a) Traditional Droop Control, (b) PI-HCCM, (c) Advanced Proposed Control Scheme.
Preprints 145772 g007
Figure 8. Adaptive Event Triggering Control of Voltage.
Figure 8. Adaptive Event Triggering Control of Voltage.
Preprints 145772 g008
Figure 9. Adaptive Event Triggering Control of Current.
Figure 9. Adaptive Event Triggering Control of Current.
Preprints 145772 g009aPreprints 145772 g009b
Table 1. The System Parameters.
Table 1. The System Parameters.
Preprints 145772 i001
Disclaimer/Publisher’s Note: The statements, opinions and data contained in all publications are solely those of the individual author(s) and contributor(s) and not of MDPI and/or the editor(s). MDPI and/or the editor(s) disclaim responsibility for any injury to people or property resulting from any ideas, methods, instructions or products referred to in the content.
Copyright: This open access article is published under a Creative Commons CC BY 4.0 license, which permit the free download, distribution, and reuse, provided that the author and preprint are cited in any reuse.
Prerpints.org logo

Preprints.org is a free preprint server supported by MDPI in Basel, Switzerland.

Subscribe

Disclaimer

Terms of Use

Privacy Policy

Privacy Settings

© 2026 MDPI (Basel, Switzerland) unless otherwise stated