Submitted:
05 January 2025
Posted:
08 January 2025
You are already at the latest version
Abstract

Keywords:
1. Introduction
2. Materials and Methods
2.1. Treatments
2.3. Materials Characterization
3. Results
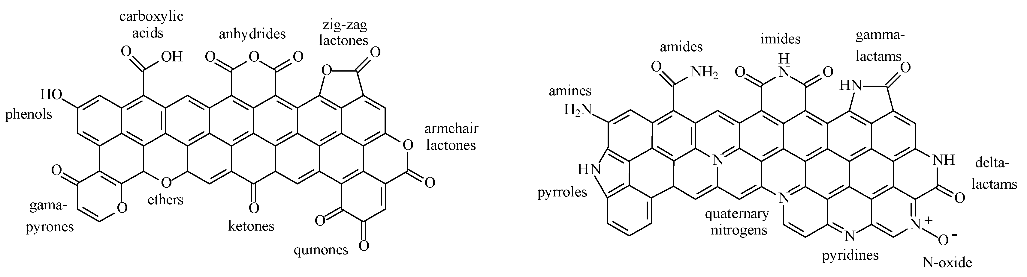
3.1. Characterization of the Unmodified AC WV
3.2. Complementary Carbonization of WV
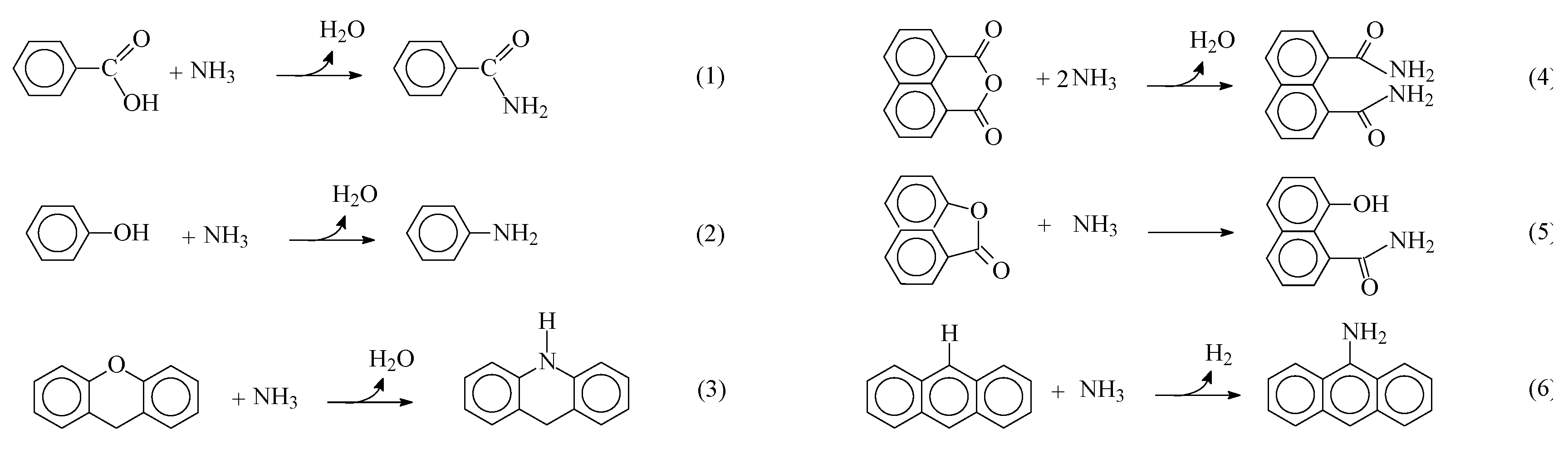
3.3. Nitrification
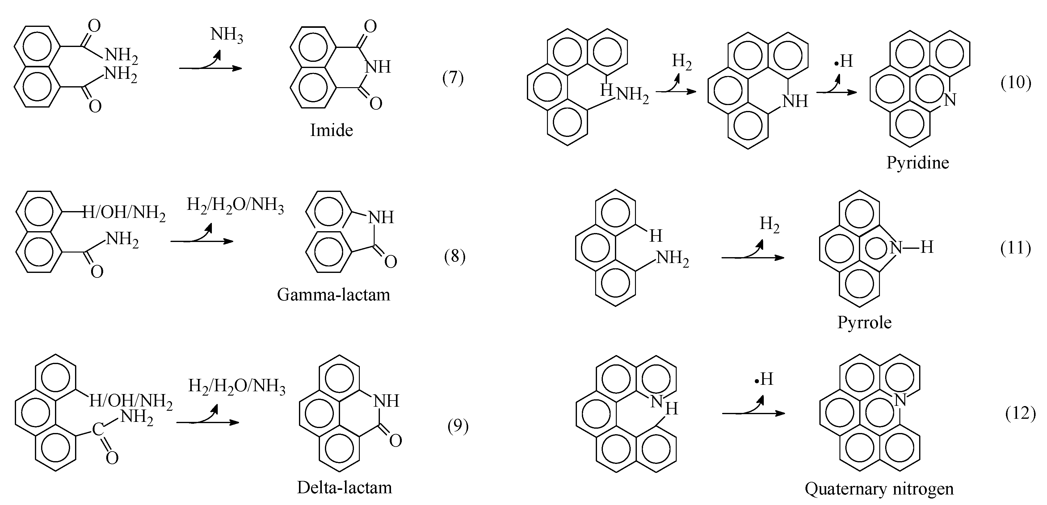
3.4. Ammonization
3.4.1. Ammonization up to 400 oC
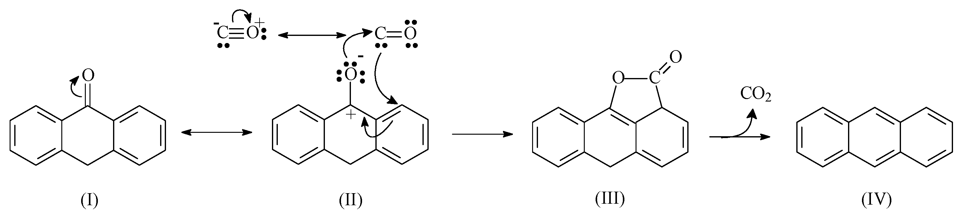
3.4.2. Ammonization up to 800 oC
3.4.3. Final Considerations About Ammonization
4. Conclusions
Supplementary Materials
Author Contributions
Funding
Conflicts of Interest
References
- Thommes, M.; Kaneko, K.; Neimark, A.V.; Olivier, J.P.; Rodriguez-Reinoso, F.; Rouquerol, J.; Sing, K.S.W. Physisorption of gases, with special reference to the evaluation of surface area and pore size distribution (IUPAC Technical Report). Pure Appl. Chem. 2015, 87, 1051–1069. [Google Scholar] [CrossRef]
- Zieliński, B.; Miądlicki, P.; Przepiórski, J. Development of activated carbon for removal of pesticides from water: case study. Sci. Rep. 2022, 12, 20869. [Google Scholar] [CrossRef] [PubMed]
- Kumar, N.; Pandey, A.; Rosy; Sharma, Y. C.A. Review on sustainable mesoporous activated carbon as adsorbent for efficient removal of hazardous dyes from industrial wastewater. J. Water Process Eng. 2023, 54, 104054. [Google Scholar] [CrossRef]
- Enterría, M.; Figueiredo, J.L. Nanostructured mesoporous carbons: tuning texture and surface chemistry. Carbon 2016, 108, 79–102. [Google Scholar] [CrossRef]
- Novaes, H.R.; Prauchner, M.J.; Ginoris, Y.P. Cylindrospermopsin adsorption onto activated carbons synthesized from coconut shell: effect of surface chemical composition on removal efficiency. Adsorpt. Sci. Technol. 2024, 42. [Google Scholar] [CrossRef]
- Ferrero, G.A.; Fuertes, A.B.; Sevilla, M.; Titirici, M.-M. Efficient metal-free n-doped mesoporous carbon catalysts for ORR by a template-free approach. Carbon 2016, 106, 179–187. [Google Scholar] [CrossRef]
- Activated Carbon: Progress and Applications; Verma, C., Quraishi, M.A., Eds.; The Royal Society of Chemistry, 2023.
- Marsh, H.; Rodríguez-Reinoso, F. Activated Carbon; Elsevier, 2006.
- Zhao, C.; Ge, L.; Mai, L.; Li, X.; Chen, S.; Li, Q.; Li, S.; Yao, L.; Wang, Y.; Xu, C. Review on coal-based activated carbon: preparation, modification, application, regeneration, and perspectives. Energy & Fuels 2023, 37, 11622–11642. [Google Scholar]
- Reza, M.S.; Yun, C.S.; Afroze, S.; Radenahmad, N.; Bakar, M.S.A.; Saidur, R.; Taweekun, J.; Azad, A.K. Preparation of activated carbon from biomass and its’ applications in water and gas purification, a review. Arab J. Basic Appl. Sci. 2020, 27, 208–238. [Google Scholar] [CrossRef]
- Kasera, N.; Kolar, P.; Hall, S.G. Nitrogen-doped biochars as adsorbents for mitigation of heavy metals and organics from water: a review. Biochar 2022, 4, 17. [Google Scholar] [CrossRef]
- Snezhkova, E.; Redl, H.; Grillari, J.; Osuchowski, M. Activated carbon for sepsis prevention and intervention: a modern way of utilizing old therapies. C 2023, 9, 72. [Google Scholar] [CrossRef]
- Miriyala, N.; Ouyang, D.; Perrie, Y.; Lowry, D.; Kirby, D. J. Activated carbon as a carrier for amorphous drug delivery: effect of drug characteristics and carrier wettability. Eur. J. Pharm. Biopharm. 2017, 115, 197–205. [Google Scholar] [CrossRef] [PubMed]
- Choi, J.-S.; Lim, S.-H.; Lingamdinne, L.P.; Park, S.-Y.; Koduru, J.R.; Yang, J.-K.; Chang, Y.-Y. Development of ultra-high surface area polyaniline-based activated carbon for the removal of volatile organic compounds from industrial effluents. Environ. Pollut. 2023, 337, 122594. [Google Scholar] [CrossRef] [PubMed]
- Tolkou, A.K.; Maroulas, K.N.; Theologis, D.; Katsoyiannis, I.A.; Kyzas, G.Z. Comparison of modified peels: natural peels or peels-based activated carbons for the removal of several pollutants found in wastewaters. C 2024, 10, 22. [Google Scholar] [CrossRef]
- Al-Hajri, W.; De Luna, Y.; Bensalah, N. Review on recent applications of nitrogen-doped carbon materials in CO2 capture and energy conversion and storage. Energy Technol. 2022, 10, 2200498. [Google Scholar] [CrossRef]
- Chaudhary, R.; Maji, S.; Shrestha, R.G.; Shrestha, R.L.; Shrestha, T.; Ariga, K.; Shrestha, L.K. Jackfruit seed-derived nanoporous carbons as the electrode material for supercapacitors. C 2020, 6, 73. [Google Scholar] [CrossRef]
- Kumar Mishra, R.; Singh, B.; Acharya, B. A Comprehensive review on activated carbon from pyrolysis of lignocellulosic biomass: an application for energy and the environment. Carbon Resour. Convers. 2024, 7, 100228. [Google Scholar] [CrossRef]
- Yang, J.; Fu, L.; Wu, F.; Chen, X.; Wu, C.; Wang, Q. Recent developments in activated carbon catalysts based on pore size regulation in the application of catalytic ozonation. Catalysts 2022, 12, 1085. [Google Scholar] [CrossRef]
- Iwanow, M.; Gärtner, T.; Sieber, V.; König, B. Activated carbon as catalyst support: precursors, preparation, modification and characterization. Beilstein J. Org. Chem. 2020, 16, 1188–1202. [Google Scholar] [CrossRef]
- Figueiredo, J.L.; Pereira, M.F.R. The role of surface chemistry in catalysis with carbons. catal. Today 2010, 150, 2–7. [Google Scholar] [CrossRef]
- Figueiredo, J.L.; Pereira, M.F.R.; Freitas, M.M.A.; Orfao, J.J.M. Modification of the surface chemistry of activated carbons. 1999, 37, 1379–1389. [Google Scholar] [CrossRef]
- Rocha, R.P.; Pereira, M.F.R.; Figueiredo, J.L. Characterisation of the surface chemistry of carbon materials by temperature-programmed desorption: an assessment. Catal. Today 2023, 418, 114136. [Google Scholar] [CrossRef]
- Rocha, R.; Soares, O.; Figueiredo, J.; Pereira, M. Tuning CNT Properties for metal-free environmental catalytic applications. C 2016, 2, 17. [Google Scholar] [CrossRef]
- Arrigo, R.; Hävecker, M.; Wrabetz, S.; Blume, R.; Lerch, M.; McGregor, J.; Parrott, E.P.J.; Zeitler, J.A.; Gladden, L.F.; Knop-Gericke, A.; Schlögl, R.; Su, D.S. Tuning the acid/base properties of nanocarbons by functionalization via amination. J. Am. Chem. Soc. 2010, 132, 9616–9630. [Google Scholar] [CrossRef] [PubMed]
- Pietrzak, R. XPS study and physico-chemical properties of nitrogen-enriched microporous activated carbon from high volatile bituminous coal. Fuel 2009, 88, 1871–1877. [Google Scholar] [CrossRef]
- Shafeeyan, M.S.; Daud, W.M.A.W.; Houshmand, A.; Shamiri, A. A review on surface modification of activated carbon for carbon dioxide adsorption. J. Anal. Appl. Pyrolysis 2010, 89, 143–151. [Google Scholar] [CrossRef]
- Rehman, A.; Park, S.-J. Comparative study of activation methods to design nitrogen-doped ultra-microporous carbons as efficient contenders for CO2 capture. Chem. Eng. J. 2018, 352, 539–548. [Google Scholar] [CrossRef]
- Wang, J.; Senkovska, I.; Oschatz, M.; Lohe, M.R.; Borchardt, L.; Heerwig, A.; Liu, Q.; Kaskel, S. Highly porous nitrogen-doped polyimine-based carbons with adjustable microstructures for CO2 capture. J. Mater. Chem. A 2013, 1, 10951–10961. [Google Scholar] [CrossRef]
- Staciwa, P.; Sibera, D.; Pełech, I.; Narkiewicz, U.; Moszyński, D. CO2 adsorption studies on spherical carbon derived from resorcinol-formaldehyde resin and sugars. J. Environ. Chem. Eng. 2024, 12, 111735. [Google Scholar] [CrossRef]
- Li, Y.; Zhang, G.; Wu, C.; Liu, J.; Li, G.; Wang, Y.; Zhao, Y. Novel nitrogen-enriched activated carbon with tunable microporosity from agricultural and plastic waste for CO2 adsorption. J. Environ. Chem. Eng. 2023, 11, 111257. [Google Scholar] [CrossRef]
- Lee, M.-S.; Park, M.; Kim, H.Y.; Park, S.-J. Effects of microporosity and surface chemistry on separation performances of N-containing pitch-based activated carbons for CO2/N2 binary mixture. Sci. Rep. 2016, 6, 23224. [Google Scholar] [CrossRef]
- Bai, J.; Huang, J.; Yu, Q.; Demir, M.; Kilic, M.; Altay, B.N.; Hu, X.; Wang, L. N-doped porous carbon derived from macadamia nut shell for CO2 adsorption. Fuel Process. Technol. 2023, 249, 107854. [Google Scholar] [CrossRef]
- Spessato, L.; Duarte, V.A.; Fonseca, J.M.; Arroyo, P.A.; Almeida, V.C. Nitrogen-doped activated carbons with high performances for CO2 adsorption. J. CO2 Util. 2022, 61, 102013. [Google Scholar] [CrossRef]
- Zhang, S.; Zhou, Q.; Jiang, X.; Yao, L.; Jiang, W.; Xie, R. Preparation and evaluation of nitrogen-tailored hierarchical meso-/micro-porous activated carbon for CO2 adsorption. Environ. Technol. 2020, 41, 3544–3553. [Google Scholar] [CrossRef] [PubMed]
- Przepiórski, J.; Skrodzewicz, M.; Morawski, A.W. High temperature ammonia treatment of activated carbon for enhancement of CO2 adsorption. Appl. Surf. Sci. 2004, 225, 235–242. [Google Scholar] [CrossRef]
- Pevida, C.; Plaza, M.G.; Arias, B.; Fermoso, J.; Rubiera, F.; Pis, J.J. Surface Modification of Activated Carbons for CO2 capture. Appl. Surf. Sci. 2008, 254, 7165–7172. [Google Scholar] [CrossRef]
- Shafeeyan, M.S.; Daud, W.M.A.W.; Houshmand, A.; Arami-Niya, A. Ammonia modification of activated carbon to enhance carbon dioxide adsorption: effect of pre-oxidation. Appl. Surf. Sci. 2011, 257, 3936–3942. [Google Scholar] [CrossRef]
- Plaza, M.G.; Pevida, C.; Arias, B.; Fermoso, J.; Casal, M.D.; Martín, C.F.; Rubiera, F.; Pis, J.J. Development of low-cost biomass-based adsorbents for postcombustion CO2 capture. Fuel 2009, 88, 2442–2447. [Google Scholar] [CrossRef]
- Plaza, M.G.; Rubiera, F.; Pis, J.J.; Pevida, C. Ammoxidation of carbon materials for CO2 capture. Appl. Surf. Sci. 2010, 256, 6843–6849. [Google Scholar] [CrossRef]
- Bezerra, D. P.; Silva, F. W. M. da; de Moura, P. A. S.; Sapag, K.; Vieira, R. S.; Rodriguez-Castellon, E.; de Azevedo, D. C. S. Adsorption of CO2 on Amine-Grafted Activated Carbon. Adsorpt. Sci. Technol. 2014, 32, 141–151. [Google Scholar] [CrossRef]
- Li, T.; An, X.; Fu, D. Review on nitrogen-doped porous carbon materials for CO2 adsorption and separation: recent advances and outlook. Energy & Fuels 2023, 37, 8160–8179. [Google Scholar]
- Rashidi, N.A.; Yusup, S. An overview of activated carbons utilization for the post-combustion carbon dioxide capture. J. CO2 Util. 2016, 13, 1–16. [Google Scholar] [CrossRef]
- Hu, W.; Huang, J.; Wang, J.; Xie, D.; Wang, Z.; Qiao, Y.; Xu, M. Benign-by-design N-doped activated carbon from wasted aqueous assisted hydrochar of leftover rice for efficient H2S removal. Fuel 2024, 358, 130233. [Google Scholar] [CrossRef]
- Bagreev, A.; Angel Menendez, J.; Dukhno, I.; Tarasenko, Y.; Bandosz, T.J. Bituminous coal-based activated carbons modified with nitrogen as adsorbents of hydrogen sulfide. Carbon 2004, 42, 469–476. [Google Scholar] [CrossRef]
- Chu, B.; Amano, Y.; Machida, M. Preparation of bean dreg derived N-doped activated carbon with high adsorption for Cr(VI). Colloids Surfaces A Physicochem. Eng. Asp. 2020, 586, 124262. [Google Scholar] [CrossRef]
- Yuan, X.; An, N.; Zhu, Z.; Sun, H.; Zheng, J.; Jia, M.; Lu, C.; Zhang, W.; Liu, N. Hierarchically porous nitrogen-doped carbon materials as efficient adsorbents for removal of heavy metal ions. Process Saf. Environ. Prot. 2018, 119, 320–329. [Google Scholar] [CrossRef]
- Guo, S.; Wang, Y.; Wei, X.; Gao, Y.; Xiao, B.; Yang, Y. Structural analysis and heavy metal adsorption of N-doped biochar from hydrothermal carbonization of Camellia sinensis Waste. Environ. Sci. Pollut. Res. 2020, 27, 18866–18874. [Google Scholar] [CrossRef]
- Bakry, A.M.; Awad, F.S.; Bobb, J.A.; El-Shall, M.S. Multifunctional binding sites on nitrogen-doped carboxylated porous carbon for highly efficient adsorption of Pb(II), Hg(II), and Cr(VI) ions. ACS Omega 2020, 5, 33090–33100. [Google Scholar] [CrossRef]
- Kasnejad, M. H.; Esfandiari, A.; Kaghazchi, T.; Asasian, N. Effect of pre-oxidation for introduction of nitrogen containing functional groups into the structure of activated carbons and its influence on Cu (II) adsorption. J. Taiwan Inst. Chem. Eng. 2012, 43, 736–740. [Google Scholar] [CrossRef]
- Smith, V.A.; Rivera, J.F.A.; Bello, R.; Rodríguez-Aguado, E.; Elshaer, M.R.; Wodzinski, R. L.; Bashkova, S. The role of surface chemistry and polyethylenimine grafting in the removal of Cr (VI) by activated carbons from cashew nut shells. C 2021, 7, 27. [Google Scholar] [CrossRef]
- Yang, G.; Chen, H.; Qin, H.; Feng, Y. Amination of activated carbon for enhancing phenol adsorption: effect of nitrogen-containing functional groups. Appl. Surf. Sci. 2014, 293, 299–305. [Google Scholar] [CrossRef]
- Xie, Y.; Hu, W.; Wang, X.; Tong, W.; Li, P.; Zhou, H.; Wang, Y.; Zhang, Y. Molten salt induced nitrogen-doped biochar nanosheets as highly efficient peroxymonosulfate catalyst for organic pollutant degradation. Environ. Pollut. 2020, 260, 114053. [Google Scholar] [CrossRef] [PubMed]
- Liu, X.; Zhangsun, G.; Zheng, Y.; Liang, S.; Cao, Y.; Liu, F.; Xiao, Y.; Jiang, L. Hierarchical N-doped carbons endowed with structural base sites toward highly selective adsorption and catalytic oxidation of H2S. Ind. Eng. Chem. Res. 2021, 60, 2101–2111. [Google Scholar] [CrossRef]
- Rong, S.; Zhang, L.; Yue, Z.; Song, Z.; Tang, W.; Zhu, X.; Wang, T.; Zhou, X.; Cheng, S.; Xia, X. Directional introduction of pyridine nitrogen functional groups in activated carbon catalysts for the catalytic production of hydrogen: an experimental and DFT Calculation. Chem. Eng. J. 2023, 453, 139744. [Google Scholar] [CrossRef]
- Li, M.; Xu, F.; Li, H.; Wang, Y. Nitrogen-doped porous carbon materials: promising catalysts or catalyst supports for heterogeneous hydrogenation and oxidation. Catal. Sci. Technol. 2016, 6, 3670–3693. [Google Scholar] [CrossRef]
- Kundu, S.; Nagaiah, T.C.; Xia, W.; Wang, Y.; Dommele, S. Van; Bitter, J.H.; Santa, M.; Grundmeier, G.; Bron, M.; Schuhmann, W.; Muhler, M. Electrocatalytic activity and stability of nitrogen-containing carbon nanotubes in the oxygen reduction reaction. J. Phys. Chem. C 2009, 113, 14302–14310. [Google Scholar] [CrossRef]
- Li, O.L.; Chiba, S.; Wada, Y.; Panomsuwan, G.; Ishizaki, T. Synthesis of graphitic-N and amino-N in nitrogen-doped carbon via a solution plasma process and exploration of their synergic effect for advanced oxygen reduction reaction. J. Mater. Chem. A 2017, 5, 2073–2082. [Google Scholar] [CrossRef]
- Quílez-Bermejo, J.; Pérez-Rodríguez, S.; Canevesi, R.; Torres, D.; Morallón, E.; Cazorla-Amorós, D.; Celzard, A.; Fierro, V. Easy enrichment of graphitic nitrogen to prepare highly catalytic carbons for oxygen reduction reaction. Carbon 2022, 196, 708–717. [Google Scholar] [CrossRef]
- Quílez-Bermejo, J.; Pérez-Rodríguez, S.; Torres, D.; Canevesi, R.; Morallón, E.; Cazorla-Amorós, D.; Celzard, A.; Fierro, V. Nitrogen sites prevail over textural properties in N-doped carbons for the oxygen reduction reaction. J. Colloid Interface Sci. 2024, 654, 446–453. [Google Scholar] [CrossRef]
- Barrera, D.; Florent, M.; Sapag, K.; Bandosz, T.J. Insight into the mechanism of oxygen reduction reaction on micro/mesoporous carbons: ultramicropores versus nitrogen-containing catalytic centers in ordered pore structure. ACS Appl. Energy Mater. 2019, 2, 7412–7424. [Google Scholar] [CrossRef]
- Wang, Y.; Zuo, S.; Liu, Y. Ammonia modification of high-surface-area activated carbons as metal-free electrocatalysts for oxygen reduction reaction. Electrochim. Acta 2018, 263, 465–473. [Google Scholar] [CrossRef]
- Wu, K.; Wang, D.; Su, D.; Gentle, I.R. A Discussion on the activity origin in metal-free nitrogen-doped carbons for oxygen reduction reaction and their mechanisms. ChemSusChem 2015, 8, 2772–2788. [Google Scholar] [CrossRef] [PubMed]
- Wu, B.; Meng, H.; Morales, D.M.; Zeng, F.; Zhu, J.; Wang, B.; Risch, M.; Xu, Z.J.; Petit, T. Nitrogen-rich carbonaceous materials for advanced oxygen electrocatalysis: synthesis, characterization, and activity of nitrogen sites. Adv. Funct. Mater. 2022, 32, 2204137. [Google Scholar] [CrossRef]
- Li, S.; Xu, R.; Wang, H.; Brett, D.J.L.; Ji, S.; Pollet, B.G.; Wang, R. Ultra-high surface area and mesoporous N-doped carbon derived from sheep bones with high electrocatalytic performance toward the oxygen reduction reaction. J. Solid State Electrochem. 2017, 21, 2947–2954. [Google Scholar] [CrossRef]
- Zhang, Z.; Yu, L.; Tu, Y.; Chen, R.; Wu, L.; Zhu, J.; Deng, D. Unveiling the active site of metal-free nitrogen-doped carbon for electrocatalytic carbon dioxide reduction. Cell Reports Phys. Sci. 2020, 1, 100145. [Google Scholar] [CrossRef]
- Shang, Y.; Ding, Y.; Zhang, P.; Wang, M.; Jia, Y.; Xu, Y.; Li, Y.; Fan, K.; Sun, L. pyrrolic N or pyridinic N: the active center of N-doped carbon for CO2 reduction. Chinese J. Catal. 2022, 43, 2405–2413. [Google Scholar] [CrossRef]
- Li, C.; Wang, Y.; Xiao, N.; Li, H.; Ji, Y.; Guo, Z.; Liu, C.; Qiu, J. Nitrogen-doped porous carbon from coal for high efficiency CO2 electrocatalytic reduction. Carbon 2019, 151, 46–52. [Google Scholar] [CrossRef]
- Sun, J.; Ge, Q.; Guo, L.; Yang, Z. Nitrogen doped carbon fibers derived from carbonization of electrospun polyacrylonitrile as efficient metal-free HER electrocatalyst. Int. J. Hydrogen Energy 2020, 45, 4035–4042. [Google Scholar] [CrossRef]
- Verma, J.; Goel, S. Cost-Effective Electrocatalysts for hydrogen evolution reactions (HER): challenges and prospects. Int. J. Hydrogen Energy 2022, 47, 38964–38982. [Google Scholar] [CrossRef]
- Cordero-Lanzac, T.; Rosas, J.M.; García-Mateos, F.J.; Ternero-Hidalgo, J.J.; Palomo, J.; Rodríguez-Mirasol, J.; Cordero, T. Role of different nitrogen functionalities on the electrochemical performance of activated carbons. Carbon 2018, 126, 65–76. [Google Scholar] [CrossRef]
- Fan, Y.; Yi, Z.; Zhou, Y.; Xie, L.; Sun, G.; Wang, Z.; Huang, X.; Su, F.; Chen, C. The relationship between the high-frequency performance of supercapacitors and the type of doped nitrogen in the carbon electrode. New Carbon Mater. 2024, 39, 1015–1026. [Google Scholar] [CrossRef]
- Yadav, A.; Kumar, R.; Joseph, D.; Thomas, N.; Yan, F.; Sahoo, B. Impact of dispersive solvent and temperature on supercapacitor performance of N-doped reduced graphene oxide. C 2024, 10, 89. [Google Scholar] [CrossRef]
- Hasegawa, G.; Deguchi, T.; Kanamori, K.; Kobayashi, Y.; Kageyama, H.; Abe, T.; Nakanishi, K. High-level doping of nitrogen, phosphorus, and sulfur into activated carbon monoliths and their electrochemical capacitances. Chem. Mater. 2015, 27, 4703–4712. [Google Scholar] [CrossRef]
- Zhai, Y.; Xu, B.; Zhu, Y.; Qing, R.; Peng, C.; Wang, T.; Li, C.; Zeng, G. Nitrogen-doped porous carbon from camellia oleifera shells with enhanced electrochemical performance. Mater. Sci. Eng. C 2016, 61, 449–456. [Google Scholar] [CrossRef] [PubMed]
- Zhang, Y.; Zhang, Y.; Huang, J.; Du, D.; Xing, W.; Yan, Z. Enhanced capacitive performance of N-doped activated carbon from petroleum coke by combining ammoxidation with KOH activation. Nanoscale Res. Lett. 2016, 11, 245. [Google Scholar] [CrossRef] [PubMed]
- Rashidi, N. A.; Yusup, S. Recent methodological trends in nitrogen–functionalized activated carbon production towards the gravimetric capacitance: a mini review. J. Energy Storage 2020, 32, 101757. [Google Scholar] [CrossRef]
- Han, W.; Wang, H.; Xia, K.; Chen, S.; Yan, P.; Deng, T.; Zhu, W. Superior nitrogen-doped activated carbon materials for water cleaning and energy storing prepared from renewable leather wastes. Environ. Int. 2020, 142, 105846. [Google Scholar] [CrossRef]
- Arango, D. I.; Zapata-Benabithe, Z.; Arenas, E. C.; Perez-Osorno, J. C. Influence of surface modification with nitric acid on electrochemical performance of agroindustrial waste-based activated carbon. J. Mater. Sci. Mater. Electron. 2018, 29, 15557–15569. [Google Scholar] [CrossRef]
- Shaker, M.; Ghazvini, A.A.S.; Shahalizade, T.; Gaho, M.A.; Mumtaz, A.; Javanmardi, S.; Riahifar, R.; Meng, X.; Jin, Z.; Ge, Q. A review of nitrogen-doped carbon materials for lithium-ion battery anodes. New Carbon Mater. 2023, 38, 247–278. [Google Scholar] [CrossRef]
- Yuan, R.; Hou, R.; Shang, L.; Liu, X.; Li, A.; Chen, X.; Song, H. The preparation and properties of N-doped carbon materials and their use for sodium storage. New Carbon Mater. 2024, 39, 770–795. [Google Scholar] [CrossRef]
- Feng, S.; dos Santos, M.C.; Carvalho, B.R.; Lv, R.; Li, Q.; Fujisawa, K.; Elías, A.L.; Lei, Y.; Perea-López, N.; Endo, M.; Pan, M.; Pimenta, M.A.; Terrones, M. Ultrasensitive molecular sensor using N-doped graphene through enhanced raman scattering. Sci. Adv. 2016, 2. [Google Scholar] [CrossRef]
- Lawaniya, S.D.; Kumar, S.; Yu, Y.; Awasthi, K. Nitrogen-doped carbon nano-onions/polypyrrole nanocomposite based low-cost flexible sensor for room temperature ammonia detection. Sci. Rep. 2024, 14, 7904. [Google Scholar] [CrossRef]
- Zhang, S.; Lan, D.; Zheng, J.; Kong, J.; Gu, J.; Feng, A.; Jia, Z.; Wu, G. Perspectives of nitrogen-doped carbons for electromagnetic wave absorption. Carbon 2024, 221, 118925. [Google Scholar] [CrossRef]
- Zhang, X.; Zhao, Z.; Xu, J.; Ouyang, Q.; Zhu, C.; Zhang, X.; Zhang, X.; Chen, Y. N-doped carbon nanotube arrays on reduced graphene oxide as multifunctional materials for energy devices and absorption of electromagnetic wave. Carbon. 2021, 177, 216–225. [Google Scholar] [CrossRef]
- Bianco, G.V.; Sacchetti, A.; Grande, M.; D’Orazio, A.; Milella, A.; Bruno, G. Effective Hole Conductivity in nitrogen-doped CVD-graphene by singlet oxygen treatment under photoactivation conditions. Sci. Rep. 2022, 12, 8703. [Google Scholar] [CrossRef] [PubMed]
- Ortega, K.F.; Arrigo, R.; Frank, B.; Schlögl, R.; Trunschke, A. Acid–base properties of N-doped carbon nanotubes: a combined temperature-programmed desorption, x-ray photoelectron spectroscopy, and 2-propanol reaction investigation. Chem. Mater. 2016, 28, 6826–6839. [Google Scholar] [CrossRef]
- Kundu, S.; Xia, W.; Busser, W.; Becker, M.; Schmidt, D.A.; Havenith, M.; Muhler, M. The formation of nitrogen-containing functional groups on carbon nanotube surfaces: a quantitative XPS and TPD study. Phys. Chem. Chem. Phys. 2010, 12, 4351. [Google Scholar] [CrossRef]
- Zhai, Y.; Pang, D.; Chen, H.; Xiang, B.; Chen, J.; Li, C.; Zeng, G.; Qiu, L. Effects of ammonization on the surface physico-chemical properties of sludge-based activated carbon. Appl. Surf. Sci. 2013, 280, 590–597. [Google Scholar] [CrossRef]
- Jansen, R.J.J.; van Bekkum, H. XPS of nitrogen-containing functional groups on activated carbon. Carbon N. Y. 1995, 33, 1021–1027. [Google Scholar] [CrossRef]
- Mainali, K.; Mood, S.H.; Pelaez-Samaniego, M.R.; Sierra-Jimenez, V.; Garcia-Perez, M. Production and applications of N-doped carbons from bioresources: a review. Catal. Today 2023, 423, 114248. [Google Scholar] [CrossRef]
- Newcombe, G.; Hayes, R.; Drikas, M. Granular activated carbon: importance of surface properties in the adsorption of naturally occurring organics. Colloids Surfaces A Physicochem. Eng. Asp. 1993, 78, 65–71. [Google Scholar] [CrossRef]
- Boehm, H. . Surface oxides on carbon and their analysis: a critical assessment. Carbon N. Y. 2002, 40, 145–149. [Google Scholar] [CrossRef]
- Ternero-Hidalgo, J.J.; Rosas, J.M.; Palomo, J.; Valero-Romero, M.J.; Rodríguez-Mirasol, J.; Cordero, T. Functionalization of activated carbons by HNO3 treatment: influence of phosphorus surface groups. Carbon N. Y. 2016, 101, 409–419. [Google Scholar] [CrossRef]
- Puziy, A. M.; Poddubnaya, O. I.; Gawdzik, B.; Sobiesiak, M.; Sprynskyy, M. Structural evolution of polyimide-derived carbon during phosphoric acid activation. C 2022, 8, 47. [Google Scholar] [CrossRef]
- Elmouwahidi, A.; Bailón-García, E.; Pérez-Cadenas, A.F.; Maldonado-Hódar, F.J.; Carrasco-Marín, F. Activated carbons from KOH and H3PO4—activation of olive residues and its application as supercapacitor electrodes. Electrochim. Acta 2017, 229, 219–228. [Google Scholar] [CrossRef]
- Prauchner, M.J.; Rodríguez-Reinoso, F. Chemical versus physical activation of coconut shell: a comparative study. Microporous Mesoporous Mater. 2012, 152, 163–171. [Google Scholar] [CrossRef]
- Biesinger, M. C. Accessing the robustness of adventitious carbon for charge referencing (correction) purposes in XPS analysis: insights from a multi-user facility data review. Appl. Surf. Sci. 2022, 597, 153681. [Google Scholar] [CrossRef]
- Biesinger, M.C. X-ray Photoelectron Spectroscopy (XPS) Reference Pages—Label Oxygen. Available online: https://www.xpsfitting.com/search/label/Oxygen (accessed on 22 December 2024).
- Beamson, G; Briggs, D. High resolution XPS of organic polymers: the Scienta ESCA300 Database. J. Chem. Educ. 1993, 70, A25. [Google Scholar] [CrossRef]
- Smith, M.; Scudiero, L.; Espinal, J.; McEwen, J.-S.; Garcia-Perez, M. Improving the deconvolution and interpretation of XPS spectra from chars by ab initio calculations. Carbon. 2016, 110, 155–171. [Google Scholar] [CrossRef]
- Herold, F.; Gläsel, J.; Etzold, B.J.M.; Rønning, M. Can temperature-programmed techniques provide the gold standard for carbon surface characterization? Chem. Mater. 2022, 34, 8490–8516. [Google Scholar] [CrossRef]
- Li, N.; Ma, X.; Zha, Q.; Kim, K.; Chen, Y.; Song, C. Maximizing the number of oxygen-containing functional groups on activated carbon by using ammonium persulfate and improving the temperature-programmed desorption characterization of carbon surface chemistry. Carbon 2011, 49, 5002–5013. [Google Scholar] [CrossRef]
- Razdyakonova, G.I.; Kokhanovskaya, O.A.; Likholobov, V.A. Influence of environmental conditions on carbon black oxidation by reactive oxygen intermediates. Procedia Eng. 2015, 113, 43–50. [Google Scholar] [CrossRef]
- Ishii, T.; Ozaki, J. Understanding the chemical structure of carbon edge sites by using deuterium-labeled temperature-programmed desorption technique. Carbon. 2020, 161, 343–349. [Google Scholar] [CrossRef]
- Vottero, E.; Carosso, M.; Pellegrini, R.; Piovano, A.; Groppo, E. Assessing the functional groups in activated carbons through a multi-technique approach. Catal. Sci. Technol. 2022, 12, 1271–1288. [Google Scholar] [CrossRef]
- Hall, P.J.; Calo, J.M. Secondary interactions upon thermal desorption of surface oxides from coal chars. Energy & Fuels 1989, 3, 370–376. [Google Scholar]
- Düngen, P.; Schlögl, R.; Heumann, S. Non-linear thermogravimetric mass spectrometry of carbon materials providing direct speciation separation of oxygen functional groups. Carbon N. Y. 2018, 130, 614–622. [Google Scholar] [CrossRef]
- Göckeler, M.; Berger, C.M.; Purcel, M.; Bergsträßer, R.; Schinkel, A.-P.; Muhler, M. Surface reactions during temperature-programmed desorption and reduction experiments with oxygen-functionalized carbon blacks. Appl. Surf. Sci. 2021, 561, 150044. [Google Scholar] [CrossRef]
- Vivo-Vilches, J.F.; Bailón-García, E.; Pérez-Cadenas, A.F.; Carrasco-Marín, F.; Maldonado-Hódar, F.J. Tailoring the surface chemistry and porosity of activated carbons: evidence of reorganization and mobility of oxygenated surface groups. Carbon 2014, 68, 520–530. [Google Scholar] [CrossRef]
- Cândido, N.R.; Prauchner, M.J.; Vilela, A.D.O.; Pasa, V.M.D. The use of gases generated from eucalyptus carbonization as activating agent to produce activated carbon: An Integrated Process. J. Environ. Chem. Eng. 2020, 8, 103925. [Google Scholar] [CrossRef]
- Rodrı́guez-Reinoso, F.; Molina-Sabio, M. Textural and chemical characterization of microporous carbons. Adv. Colloid Interface Sci. 1998, 76–77, 271–294. [Google Scholar] [CrossRef]
- 113 Menendez, J.A.; Phillips, J.; Xia, B.; Radovic, L.R. On the modification and characterization of chemical surface properties of activated carbon: in the search of carbons with stable basic properties. Langmuir 1996, 12, 4404–4410. [Google Scholar] [CrossRef]
- Prauchner, M.J.; Sapag, K.; Rodríguez-Reinoso, F. Tailoring biomass-based activated carbon for CH4 storage by combining chemical activation with H3PO4 or ZnCl2 and physical activation with CO2. Carbon 2016, 110, 138–147. [Google Scholar] [CrossRef]
- Prauchner, M.J.; Oliveira, S.D.C.; Rodríguez-Reinoso, F. Tailoring low-cost granular activated carbons intended for CO2 adsorption. Front. Chem. 2020, 8, 581133. [Google Scholar] [CrossRef] [PubMed]
- Pan, D.; Li, G.; Su, Y.; Wei, H.; Luo, Z. Kinetic study for the oxidation of cyclohexanol and cyclohexanone with nitric acid to adipic acid. Chinese J. Chem. Eng. 2021, 29, 183–189. [Google Scholar] [CrossRef]
- Soudani, N.; Souissi-najar, S.; Ouederni, A. Influence of nitric acid concentration on characteristics of olive stone based activated carbon. Chinese J. Chem. Eng. 2013, 21, 1425–1430. [Google Scholar] [CrossRef]
- Song, X.; Liu, H.; Cheng, L.; Qu, Y. Surface modification of coconut-based activated carbon by liquid-phase oxidation and its effects on lead ion adsorption. Desalination 2010, 255, 78–83. [Google Scholar] [CrossRef]
- Stöhr, B.; Boehm, H.P.; Schlögl, R. Enhancement of the catalytic activity of activated carbons in oxidation reactions by thermal treatment with ammonia or hydrogen cyanide and observation of a superoxide species as a possible intermediate. Carbon 1991, 29, 707–720. [Google Scholar] [CrossRef]
- Marchon, B.; Tysoe, W.T.; Carrazza, J.; Heinemann, H.; Somorjai, G.A. Reactive and kinetic properties of carbon monoxide and carbon dioxide on a graphite surface. J. Phys. Chem. 1988, 92, 5744–5749. [Google Scholar] [CrossRef]


















| Sample | SBET (m2 g-1) |
Vmic (cm3 g-1) |
V0.95 (cm3 g-1) |
Vmes (cm3 g-1) |
|---|---|---|---|---|
| WV | 1506 | 0.51 | 0.92 | 0.41 |
| WVN400 | 1238 | 0.39 | 0.72 | 0.33 |
| WVN800 | 1247 | 0.42 | 0.74 | 0.32 |
| WVC | 1296 | 0.44 | 0.75 | 0.31 |
| WVCN400 | 1289 | 0.43 | 0.74 | 0.31 |
| WVCN800 | 1313 | 0.46 | 0.76 | 0.30 |
| WVAc | 1392 | 0.47 | 0.82 | 0.35 |
| WVAcN400 | 1226 | 0.41 | 0.72 | 0.31 |
| WVAcN800 | 1504 | 0.50 | 0.83 | 0.33 |
| Sample | 1Δmam (%) | PZC | Elemental analysis | Titration (mmol g-1) | ||||
|---|---|---|---|---|---|---|---|---|
| C (wt%) | H (wt%) | N (wt%) | 2H/C | Acidic | Basic | |||
| WV | - | 4.7 | 80.0 | 2.7 | 0.2 | 0.41 | 1.11 | 0.45 |
| WVN400 | -4.2 | 6.8 | 73 | 2.4 | 3.9 | 0.39 | 0.50 | 0.38 |
| WVN800 | -10.8 | 6.2 | 79.0 | 1.9 | 5.5 | 0.29 | 0.33 | 0.75 |
| WVC | - | 6.2 | 84.9 | 1.1 | 0.2 | 0.16 | 0.19 | 0.32 |
| WVCN400 | +3.2 | 6.1 | 78.2 | 1.0 | 2.8 | 0.15 | 0.15 | 0.43 |
| WVCN800 | -1.5 | 6.3 | 82.5 | 1.3 | 3.5 | 0.19 | 0.07 | 0.86 |
| WVAc | - | 1.8 | 80.2 | 3.2 | 2.7 | 0.48 | 1.94 | 0.00 |
| WVAcN400 | -1.8 | 3.4 | 77.4 | 3.2 | 6.8 | 0.50 | 1.06 | 0.64 |
| WVAcN800 | -32.4 | 6.9 | 89.9 | 1.4 | 1.6 | 0.19 | 0.32 | 0.68 |
| Sample | Element content (wt%) | |||||
|---|---|---|---|---|---|---|
| C | O | N | P | Na | Si | |
| WV | 83.1 | 13.7 | 0.3 | 1.3 | 1.3 | 0.3 |
| WVN400 | 83.2 | 10.7 | 3.1 | 1.3 | 1.2 | 0.5 |
| WVN800 | 84.9 | 7.2 | 5.1 | 1.2 | 1.0 | 0.6 |
| WVC | 86.2 | 8.4 | 0.8 | 2.4 | 1.6 | 0.6 |
| WVCN400 | 85.3 | 8.1 | 3.1 | 1.8 | 0.7 | 1.0 |
| WVCN800 | 85.3 | 7.6 | 3.9 | 1.1 | 1.1 | 1.1 |
| WVAc | 80.1 | 17.0 | 1.7 | 0.8 | - | 0.4 |
| WVAcN400 | 81.4 | 9.5 | 7.8 | 1.0 | - | 0.3 |
| WVAcN800 | 89.1 | 8.3 | 1.9 | 0.4 | - | 0.3 |
| Sample | Relative contributions (wt%) | |||||
|---|---|---|---|---|---|---|
| CI | CII | CIII | CIV | OI | OII | |
| WV | 83.7 (69.5) | 8.7 (7.2) | 4.9 (4.1) | 2.7 (2.2) | 42.9 (5.8) | 57.1 (7.8) |
| WVN400 | 82.7 (68.7) | 11.3 (9.4) | 3.9 (3.3) | 2.1 (1.7) | 57.5 (6.2) | 42.5 (4.6) |
| WVN800 | 79.3 (67.3) | 13.8 (11.8) | 4.8 (4.1) | 2.1 (1.8) | 46.3 (3.7) | 53.7 (3.5) |
| WVC | 82.8 (71.4) | 11.4 (9.8) | 4.1 (3.5) | 1.7 (1.5) | 47.9 (4.0) | 52.1 (4.3) |
| WVCN400 | 80.8 (68.9) | 12.6 (10.7) | 4.8 (4.1) | 1.8 (1.6) | 48.1 (3.9) | 51.9 (4.2) |
| WVCN800 | 79.8 (68.1) | 13.0 (11.1) | 5.0 (4.3) | 2.2 (1.8) | 46.4 (3.5) | 53.6 (4.1) |
| WVAc | 82.2 (65.8) | 9.7 (7.8) | 4.9 (3.9) | 3.2 (2.6) | 37.0 (6.3) | 63.0 (10.7) |
| WVAcN400 | 76.3 (62.1) | 14.8 (12.0) | 6.2 (5.1) | 2.7 (2.2) | 53.1 (5.0) | 46.9 (4.4) |
| WVAcN800 | 76.4 (68.0) | 15.1 (13.4) | 6.4 (5.7) | 2.1 (1.9) | 10.8 (0.9) | 89.2 (7.4) |
Disclaimer/Publisher’s Note: The statements, opinions and data contained in all publications are solely those of the individual author(s) and contributor(s) and not of MDPI and/or the editor(s). MDPI and/or the editor(s) disclaim responsibility for any injury to people or property resulting from any ideas, methods, instructions or products referred to in the content. |
© 2025 by the authors. Licensee MDPI, Basel, Switzerland. This article is an open access article distributed under the terms and conditions of the Creative Commons Attribution (CC BY) license (http://creativecommons.org/licenses/by/4.0/).
