Preprint
Hypothesis

This version is not peer-reviewed.

The Way To Solve ‘Dark Energy’ Problem Use Black Hole Property Without Ad Hoc Dark Energy Solution

Tom .S  *

Submitted:

15 May 2025

Posted:

15 May 2025

You are already at the latest version

Abstract
Dark energy is hypothesized to explain both the curvature of the universe and its accelerated expansion, yet its true nature remains elusive. In this paper, we propose a novel approach to explain dark energy using the properties of black holes. By considering the contribution of the energy-momentum tensor of black holes, often neglected in cosmological models, we demonstrate that ignoring this component can lead to the observed effects attributed to dark energy. Furthermore, we explore a logical paradox involving observability and causality, arguing that this paradox supports the isotropic and instantaneous nature of dark energy effects. Finally, we connect our theoretical framework to observational data, particularly the growth of supermassive black holes (SMBHs) and their relationship to cosmic expansion, providing an empirical foundation for our hypothesis.
Keywords: 
;  ;  
We propose that the cosmological “dark energy” may be an emergent artifact of neglecting the energy–momentum tensor of black holes, Tμν_BH , in standard cosmological models. Retaining this term ensures total conservation ∇μTμν_obs + ∇μTμν_BH = 0, so that observers who omit Tμν_BH perceive an extra source term that mimics a positive curvature, negative-pressure fluid. We identify a causality/observability paradox that enforces isotropy and apparent instantaneous action, matching the uniformity of dark energy. Finally, we connect our framework to observational evidence for cosmological coupling of supermassive black holes—whose mass growth ∝a3 reproduces the time-evolution of dark energy inferred from DESI, supernovae, and the CMB—thus providing an empirical foundation for our hypothesis.
2.1. Mathematical Explanation
At the cosmological scale, the total energy-momentum tensor Tμν should be conserved. This is expressed mathematically as:
μTμν = 0
Here,
μ represents the covariant derivative, which is fundamental in the framework of general relativity. Even though different detectors might define energy differently based on their positions, local energy conservation holds.
However, in actual observations, we can only measure the observable part of the energy-momentum tensor Tμν_obs ,while ignoring the contribution from inside black holes,there are Tμν_BH,
Thus, the total energy-momentum tensor can be written as:
Tμν = Tμν_obs + Tμν_BH
Substituting this into the conservation equation, we can get:
μTμν_obs +μTμν_BH = 0
The first term represents the conservation of the observable energy-momentum tensor, while the second term represents the conservation of the ignored black hole energy-momentum tensor.
Since we neglect ∇μTμν_BH in actual observations, the conservation equation for the observable energy-momentum tensor becomes:
μTμν_obs = -μTμν_BH
This equation shows that the conservation of the observable energy-momentum tensor deviates from true global conservation, with the difference depending on the ignored black hole energy-momentum tensor ∇μTμν_BH.
In simpler terms, by ignoring the contribution of the black hole energy-momentum tensor, the observed average energy-momentum tensor is less than the true total value. This discrepancy could explain the effects attributed to dark energy.

3. Paradox

A paradox arises when we consider something beyond our worldline that cannot be detected. In this case, what exists beyond the worldline itself becomes a cause. For example, when we consider the energy tensor inside a black hole (which is, of course, beyond our light cone and worldline)

4. Exploring the Logic Paradox in Observability and Existence

lets set region U (shaded), hidden region H that ∉U(including BH interiors).that ∇·T_BH in H acts as an effective source term in U, despite H being spacelike or time like disconnected.”
The variable that
∇μTμν_obs ≡ N
where Ν ≡ −∇μTμν_BH.
N is nonzero, but its origin lies behind our horizon—how can it influence T_obs locally without violating c?
here is the paradox, if they have this kind of casulaity, that mean they will not in same lightcone, thats the point, even you reverse it
(remember they are not just definitional ,but with energy tensor exchange)

5…………

ds2=−g00(x)dt2+gij(x)dxi dxj ,that’s the equation we usually used to know can they have causality
because another point a is defined by us than when and only when ∇μTμν/ds2 =0,point b cant defined(because we cant Distinguish everypoint with b,so cant be defined)
remember it it is isotropic that mean it will have dark energy property because negative energy tensor at total and have no momentum and have same negative pressure in every space dimension (because of isotropic)
because this effect is isotropic so we cant get any useful information inside because it have the biggest amount of enotropy

6. Data Support

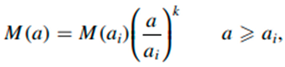
Ducan Farrah et al. (2023) found that within the cosmological time range of 0 < z ≤ 2.5, the mass of supermassive black holes (SMBHs) in elliptical galaxies grew 8-20 times compared to the stellar mass, with a median growth factor of 15.7±2.5. The authors further analyzed and found that the SMBH mass exhibits a power-law dependence on the cosmological redshift z, which can be expressed as MSMBH ∝ (1+z)3.1±0.3 . This redshift dependence is consistent with a model with a cosmological coupling strength of k ≈ 3,an in contrast to the traditional Kerr black hole solution (k = 0), which was excluded with a probability as high as 99.98% [Observational Evidence for Cosmological Coupling of Black Holes and its Implications for an Astrophysical Source of Dark Energy.][paper name] From The Astrophysical Journal Letters,
The formula this paper give is
Preprints 159626 i001
where ai is the scale factor at which the object becomes cosmologically coupled and k bigger or equal to zero is the cosmological coupling strength(when it is 3 it will offset the -3 square in freedman formula and become zero just like comsmo constant(?
Kevin S. Croker et al.[2024]’s Observations of supermassive black holes (SMBHs) in elliptical galaxies suggest their masses grow cosmologically in proportion to m ∝ a³, consistent with the predictions of this model. This growth cannot be fully explained by accretion or mergers alone. Recent results from the DESI (Dark Energy Spectroscopic Instrument) collaboration show that dark energy evolves with time, deviating from a pure cosmological constant (Λ). The time-evolution of dark energy density predicted by cosmologically coupled black holes closely follows DESI’s results for redshifts z ≲ 3
It also give Statistical Evidence that The model fits observational data from DESI, supernovae, and the cosmic microwave background (CMB) with fewer parameters than alternative dark energy models like the w₀wₐ parameterization.For example, the model predicts a Hubble constant of H₀ = 69.94 ± 0.81 km s⁻¹ Mpc⁻¹, which reduces the tension between early-universe (Planck) and late-universe (SH0ES) measurements.
Those papers support black hole growth has a relation between dark energy density so they give strong evidence we can prove black hole and dark energy ,universe expand is related

7. Another Explanation

In other paper’,Can black holes be a source of dark energy?’by Serge Parnovsky ,they once use black hole still conservation that the dark energy is not ,but they not consider all our data base in observable and part 2 appearly reject this.And the point it have no negative pressure make a mistake at first that dark energy is happen in outside the black hole but not inside ,that is actually a misunderstanding confusion.[by part 4,negative pressure property actually because of the paradox.

9. Conclusion

In this work, we have proposed a novel explanation for the nature of dark energy by considering the often-overlooked contributions of black hole energy-momentum tensors to the total energy-momentum tensor of the universe. Through mathematical analysis, we demonstrated that neglecting these contributions can result in observable effects that mimic the properties of dark energy, such as negative pressure, isotropy, and instantaneous influence.
Furthermore, we explored a logical paradox involving observability and causality, showing that the exclusion of black hole tensors introduces self-referential inconsistencies. These inconsistencies align with the isotropic and universal nature of dark energy, providing a potential theoretical basis for its effects beyond the framework of the cosmological constant.
Finally, we grounded our hypothesis in observational evidence, such as the cosmological coupling of supermassive black holes (SMBHs), their growth rates, and their relationship to cosmic expansion. These findings suggest that black holes may play a critical role in the evolution of the universe and the effects attributed to dark energy.
While this work is an early exploration, it opens new possibilities for understanding dark energy without relying on ad hoc solutions. Further research is needed to refine the mathematical framework, test predictions, and explore the broader implications of this hypothesis. If validated, this approach could bridge the gap between black hole physics and cosmology, addressing one of the greatest mysteries of modern science.

References

  1. Duncan Farrah et al 2023 ApJL 944 L31Observational Evidence for Cosmological Coupling of Black Holes and its Implications for an Astrophysical Source of Dark Energy. [CrossRef]
  2. Kevin, S. Croker et al JCAP10(2024)094 DESI dark energy time evolution is recovered by cosmologically coupled black holes. [CrossRef]
  3. Serge Parnovsky Can black holes be a source of dark energy? arXiv:2302.13333.
Disclaimer/Publisher’s Note: The statements, opinions and data contained in all publications are solely those of the individual author(s) and contributor(s) and not of MDPI and/or the editor(s). MDPI and/or the editor(s) disclaim responsibility for any injury to people or property resulting from any ideas, methods, instructions or products referred to in the content.
Copyright: This open access article is published under a Creative Commons CC BY 4.0 license, which permit the free download, distribution, and reuse, provided that the author and preprint are cited in any reuse.
Prerpints.org logo

Preprints.org is a free preprint server supported by MDPI in Basel, Switzerland.

Subscribe

Disclaimer

Terms of Use

Privacy Policy

Privacy Settings

© 2026 MDPI (Basel, Switzerland) unless otherwise stated