Submitted:
25 December 2024
Posted:
26 December 2024
You are already at the latest version
Abstract
Keywords:
1. Introduction
2. Experimental Equipment and Materials
2.1. Experimental Materials
2.2. Experimental Equipment
2.3. Experimental Principle
2.4. Experimental Arrangement
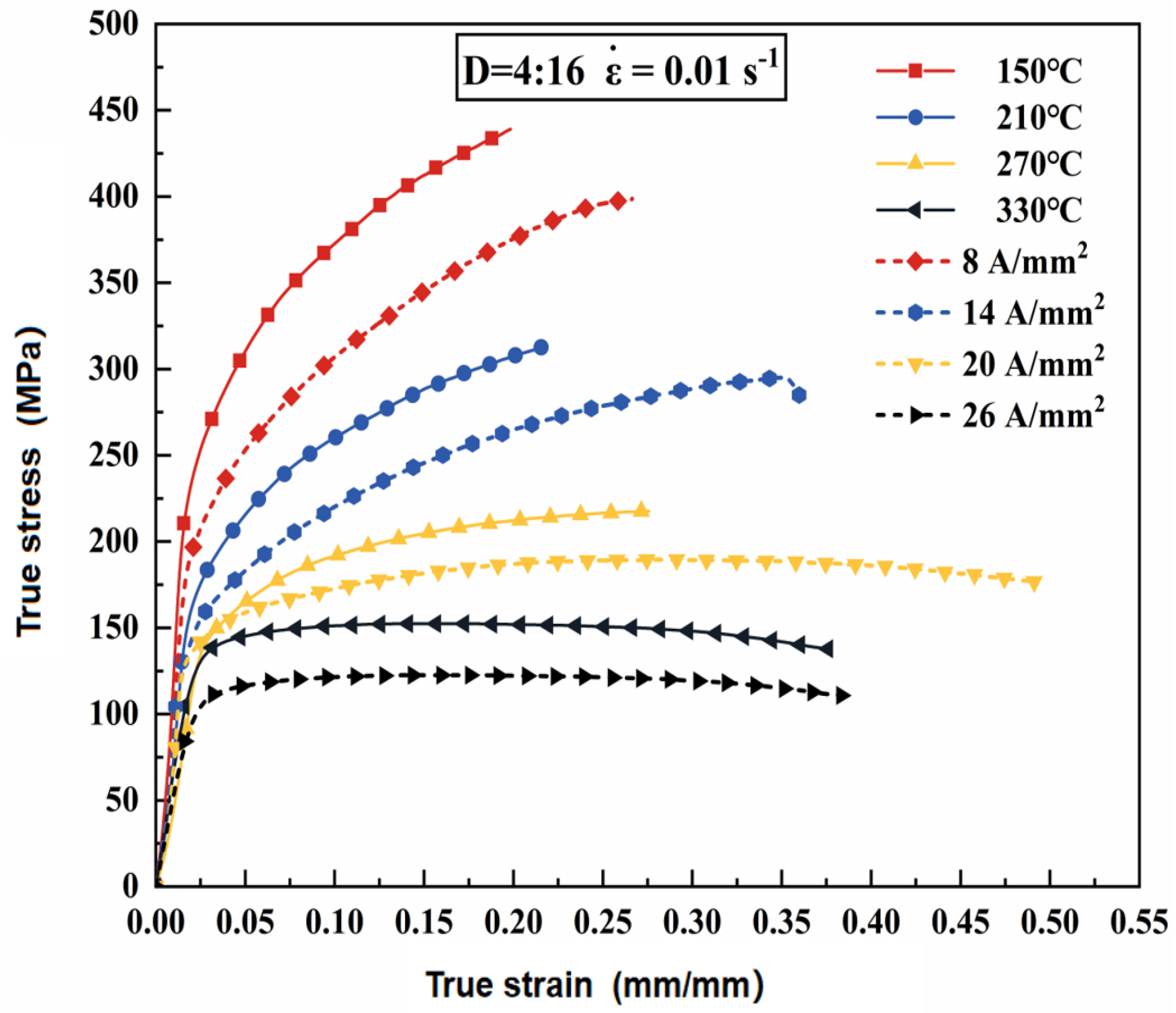
2.5. Experimental Results
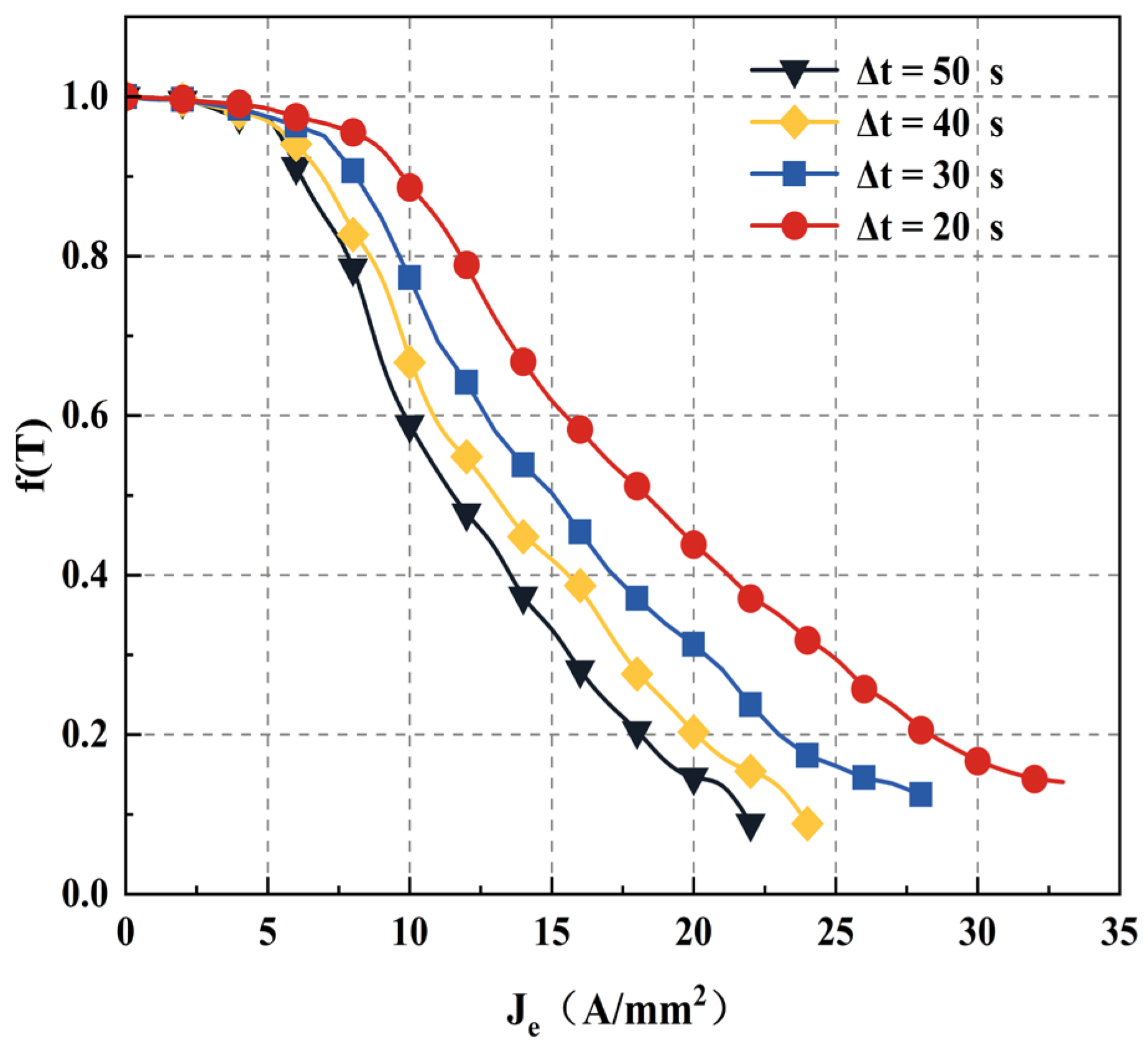
2.6. Electroplastic Effect Coefficient Solution
3. 7075-T6 Electrothermal Coupling Constitutive Equations
3.1. Johnson-Cook Constitutive Equation
3.2. Electrothermal Conversion
3.3. Electrothermal Coupling Constitutive Equations
4. Numerical Simulation of Uniaxial Tensile
4.1. Analysis of Current and Temperature Field During the Pulsed Current Loading Process
4.2. Stress and Strain Field Analysis during the Pulsed Current Loading Process
4.3. Comparison of Numerical and Analytical Solutions
4.4. Electrically-Assisted Three-Point Bending Platform Construction
4.5. Effect of Different Current Densities on Temperature
4.6. Effect of Different Current Densities on Temperature
4.7. Bending Stress Field Analysis
5. Conclusions
Author Contributions
Funding
Data Availability Statement
Conflicts of Interest
References
- Dalong L, Yanting L, Enlin Y, et al. Theoretical and experimental study of the drawing force under a current pulse[J]. The International Journal of Advanced Manufacturing Technology, 2018, 97(1):1047-1051. [CrossRef]
- Li C, Xu Z, Peng L, et al. An electric-pulse-assisted stamping process towards springback suppression and precision fabrication of micro channels[J]. International Journal of Mechanical Sciences, 2022, 218. [CrossRef]
- Stolyarov V, Misochenko A A Pulsed Current Application to the Deformation Processing of Materials[J]. Materials (Basel), 2023, 16(18). [CrossRef]
- Liu J, Jia D, Fu Y, et al. Electroplasticity effects: from mechanism to application[J]. The International Journal of Advanced Manufacturing Technology, 2023. [CrossRef]
- Lv Z, Zhou Y, Zhan L, et al. Electrically assisted deep drawing on high-strength steel sheet[J]. The International Journal of Advanced Manufacturing Technology, 2020, 112(3-4):763-7. [CrossRef]
- Mai J, Peng L, Lin Z, et al. Experimental study of electrical resistivity and flow stress of stainless steel 316L in electroplastic deformation[J]. Materials Science and Engineering: A, 2011, 528(10-11):3539-3544. [CrossRef]
- Tskhondiya G A, Beklemishev N N Simulating the effect of a high density electric current pulse on the stress field during plastic deformation[J]. International Journal of Material Forming, 2011, 5(2):157-162. [CrossRef]
- Fan R, Magargee J, Hu P, et al. Influence of grain size and grain boundaries on the thermal and mechanical behavior of 70/30 brass under electrically-assisted deformation[J]. Materials Science and Engineering: A, 2013, 574218-225. [CrossRef]
- Magargee J, Morestin F, Cao J Characterization of Flow Stress for Commercially Pure Titanium Subjected to Electrically Assisted Deformation[J]. Journal of Engineering Materials and Technology, 2013, 135(4). [CrossRef]
- Roh J-H, Seo J-J, Hong S-T, et al. The mechanical behavior of 5052-H32 aluminum alloys under a pulsed electric current[J]. International Journal of Plasticity, 2014, 5884-99. [CrossRef]
- Hu L, Jiang S, Zhou T, et al. Multiscale Modeling of Polycrystalline NiTi Shape Memory Alloy under Various Plastic Deformation Conditions by Coupling Microstructure Evolution and Macroscopic Mechanical Response[J]. Materials (Basel), 2017, 10(10). [CrossRef]
- Ao D, Chu X, Yang Y, et al. Effect of electropulsing on springback during V-bending of Ti-6Al-4V titanium alloy sheet[J]. The International Journal of Advanced Manufacturing Technology, 2018, 96(9-12):3197-3207. [CrossRef]
- Wang X, Xu C, Li Y, et al. Respective roles of the thermal and electromigration effect in AZ31 Mg alloy during low-frequency electropulsing tension[J]. Journal of Alloys and Compounds, 2020, 846. [CrossRef]
- Dinh K-A, Hong S-T, Choi S-J, et al. The Effect of Pre-strain and Subsequent Electrically Assisted Annealing on the Mechanical Behaviors of Two Different Aluminum Alloys[J]. International Journal of Precision Engineering and Manufacturing, 2020, 21(12):2345-2358. [CrossRef]
- Fu J, Ma D, Fan L, et al. Tribological Properties of Solid Lubricant WS(2) in Dimples on the Cylinder of Diesel Engine at High Temperature[J]. Materials (Basel), 2022, 15(22). [CrossRef]
- Jordan A, Kinsey B L Investigation of thermal and mechanical effects during electrically-assisted microbending[J]. Journal of Materials Processing Technology, 2015, 2211-12. [CrossRef]
- Wagner K C, Byrd G D Evaluating the effectiveness of clinical medical librarian programs: a systematic review of the literature. J Med Libr Assoc 92(1) January 2004[J]. J Med Libr Assoc, 2012, 100(4 Suppl): J.
- Shi C, Mao W, Chen X G Evolution of activation energy during hot deformation of AA7150 aluminum alloy[J]. Materials Science and Engineering: A, 2013, 57183-91. [CrossRef]
- Islam Z, Wang B, Haque A Current density effects on the microstructure of zirconium thin films[J]. Scripta Materialia, 2018, 14418-21. [CrossRef]
- Li X, Yang W, Xu D, et al. A new ductile fracture criterion considering both shear and tension mechanisms on void coalescence[J]. International Journal of Damage Mechanics, 2020, 30(3):374-398. [CrossRef]
- Xu S, Xiao X, Zhang H, et al. Electroplastic Effects on the Mechanical Responses and Deformation Mechanisms of AZ31 Mg Foils[J]. Materials (Basel), 2022, 15(4). [CrossRef]
- Song P, Li X, Ding W, et al. Electroplastic Tensile Behavior of 5A90 Al–Li Alloys[J]. Acta Metallurgica Sinica (English Letters), 2014, 27(4):642-648. [CrossRef]
- Indhiarto I, Shimizu T, Yang M Effect of Peak Current Density on Tensile Properties of AZ31B Magnesium Alloy[J]. Materials (Basel), 2021, 14(6). [CrossRef]
- Dobras D, Bruschi S, Simonetto E, et al. The Effect of Direct Electric Current on the Plastic Behavior of AA7075-T6 Aluminum Alloy in Different States of Hardening[J]. Materials (Basel), 2020, 14(1). [CrossRef]
- Shang H, Wang S, Zhou L, et al. Neural network-based ductile fracture model for 5182-O aluminum alloy considering electroplastic effect in electrically-assisted processing[J]. Engineering Fracture Mechanics, 2023, 290. [CrossRef]
- Zhou Y, Zhu R, Zuo X, et al. Tribo-electrical behaviors of CNTs-MoS2/Cu composites under sliding electrical contact with brass[J]. 2023, 180108207. [CrossRef]
- Zhao Y C, Wan M, Meng B, et al. Pulsed current assisted forming of ultrathin superalloy sheet: Experimentation and modeling [J]. Materials Science and Engineering: A, 2019, 767. [CrossRef]
- Ruszkiewicz B J, Grimm T, Ragai I, et al. A Review of Electrically-Assisted Manufacturing With Emphasis on Modeling and Understanding of the Electroplastic Effect[J]. Journal of Manufacturing Science and Engineering, 2017, 139(11). [CrossRef]
- Zhou M, Lin Y C, Deng J, et al. Hot tensile deformation behaviors and constitutive model of an Al–Zn–Mg–Cu alloy[J]. Materials & Design, 2014, 59141-150. [CrossRef]
- Sheng Y, Hua Y, Wang X, et al. Application of High-Density Electropulsing to Improve the Performance of Metallic Materials: Mechanisms, Microstructure and Properties[J]. Materials (Basel), 2018, 11(2). [CrossRef]
- Li X N, Xu Z, Guo P, et al. Electroplasticity mechanism study based on dislocation behavior of Al6061 in tensile process[J]. Journal of Alloys and Compounds, 2022, 910. [CrossRef]
- Lu J, Song Y, Zhou P, et al. Rheological behavior and dynamic softening mechanism of AA7075-T6 sheet under isothermal tensile deformation[J]. Journal of Materials Research and Technology, 2020, 9(5):9784-9797. [CrossRef]
























| Element | Cu | Mg | Fe | Ti | Zn | Si | Cr | Al |
| Quality score | 1.63 | 3.161 | 0.1309 | 0.2113 | 6.10 | 0.03 | 0.22 | Balanced |
| Tensile Strength (MPa) | Yield Strength (MPa) | Elongation (%) | Elastic Modulus (GPa) |
| 547.5 | 490.7 | 13.4 | 70 |
|
Current Density () |
Pulse Frequency (HZ) |
Title Strain Rate (s-1) |
Temperature (℃) |
| 8 | 200 | 0.01 | 150 |
| 14 | 200 | 0.1 | 210 |
| 20 | 200 | 1 | 270 |
| 26 | 200 | 10 | 330 |
| Percentage of electrophysical effects ) |
) | ) | ) |
|---|---|---|---|
| Thermoplastic (%) | 50.029 | 66.986 | 75.726 |
| Electrically plasticized | 52.859 | 69.817 | 80.481 |
| Purely electro plastic | 5.353 | 4.056 | 5.908 |
| Current Density | Purely Electroplastic Effect Coefficient |
| 14 | 0.461 |
| 20 | 0.482 |
| 26 | 0.523 |
| 12.81e-09 | 9.454e+05 | 5.19e-05 | 477 |
| Strain rate | m | R | R2 |
R2 After adjustment |
| 10s-1 | 0.203 | 0.98999 | 0.98009 | 0.97904 |
| 1s-1 | 0.212 | 0.99327 | 0.98402 | 0.98318 |
| 0.1s-1 | 0.239 | 0.99327 | 0.98658 | 0.98588 |
| 0.01s-1 | 0.281 | 0.98541 | 0.97104 | 0.96952 |
| Strain rate | R | R2 |
R2 After adjustment |
|---|---|---|---|
| 10s-1 | 0.98999 | 0.98009 | 0.97904 |
| 1s-1 | 0.99327 | 0.98402 | 0.98318 |
| 0.1s-1 | 0.99327 | 0.98658 | 0.98588 |
| 0.01s-1 | 0.98541 | 0.97104 | 0.96952 |
Disclaimer/Publisher’s Note: The statements, opinions and data contained in all publications are solely those of the individual author(s) and contributor(s) and not of MDPI and/or the editor(s). MDPI and/or the editor(s) disclaim responsibility for any injury to people or property resulting from any ideas, methods, instructions or products referred to in the content. |
© 2024 by the authors. Licensee MDPI, Basel, Switzerland. This article is an open access article distributed under the terms and conditions of the Creative Commons Attribution (CC BY) license (http://creativecommons.org/licenses/by/4.0/).