Preprint
Article

This version is not peer-reviewed.

Neoponera Emery, 1901 (Hymenoptera, Formicidae) Revisited: The N. foetida and N. emiliae Species-Groups

Submitted:

24 December 2024

Posted:

26 December 2024

You are already at the latest version

Abstract

Neotropical ants of the genus Neoponera are best known for their diverse behavior and external morphology. Seven species-groups are currently recognized: aenescens, apicalis, crenata, emiliae, foetida, laevigata, and rostrata. The apicalis group was taxonomically treated by Wild in 2005, the foetida group was partially revised by Fernandes et al. in 2014, the laevigata group was revised by Troya and Lattke in 2022, and as part of the genus Pachycondyla, W. and E. Mackay reviewed Neoponera in 2010. An ongoing, deeper revision of all known species in the genus is revealing new taxa and taxonomic issues, undescribed castes, and previously unknown locality records some of which represent new populational variants which probably are new species. Together, these still unpublished novelties demonstrate the necessity of reviving the work with this fantastic ponerine genus. In the present contribution we revise all known species in the foetida and emiliae groups, provide new diagnoses and update their distribution. Among the results, the following taxa are described as new: N. prasiosomis sp. nov. (Panama and Ecuador) belonging to the foetida group, and N. caxiuana sp. nov. (Colombia and Brazil), N. dorsilinea sp. nov. (eastern Brazil), N. dropsy sp. nov. (eastern Brazil), and N. glabra sp. nov. (eastern Brazil), belonging to the emiliae group. Neoponera bactronica Fernandes et al. syn. nov. and N. billemma Fernandes et al. syn. nov. are synonymized under N. curvinodis Forel; we propose a neotype for this latter which coupled with comprehensive comments about comparative anatomy, facilitate the distinction of this morphologically highly variable taxon from closely related taxa. In addition, we construct new user friendly, fully illustrated taxonomic keys, and describe the first male of the emiliae group. This is the third contribution towards gleaming the taxonomy, systematics and distribution of Neoponera.

Keywords: 
;  ;  ;  ;  

1. Introduction

Within the Ponerinae, the Neotropical Neoponera Emery is a moderately rich genus, currently represented by 58 valid taxa (AntCat 2023, www.antcat.org), and in terms of behavior and morphology its species probably show the broadest variation among all ponerines (MacKay and Mackay 2010, Schmidt and Shattuck 2014, pers. obs.). Some species are specialist termite huntresses and can conduct mass raiding parties as those of the N. laevigata group which was recently revised by (Troya and Lattke 2022), others are generalist predators, and hunt mostly in solitary as those of the N. apicalis group, whereas a number of other species, which form the bulk in the genus, are adapted to tree-living as those in the N. crenata and N. foetida groups.
Neoponera was erected by Carlo Emery in 1901 (Emery 1901), it remained valid in ant nomenclature until 1973 when Brian Brown synonymized it under Pachycondyla (Brown 1973) without justification though. In 2014 Chris Schmidt and Steve Shattuck (Schmidt and Shattuck 2014) resurrected Emery’s name as part of a major revision of the subfamily. By then, the genus was reasonably well-categorized taxonomically, with the combination of the following two traits allowing its distinction from other closely related genera: a cuticular flap at the orifice of the metapleural gland, and in at least three fourths of the species, a malar carina running from the anterior mandibular insertion to the anterior eye margin. Although these traits, plus others that are homoplastic at the subfamily level like the eyes placed at about head midlength, proved useful to identifying the Neoponera from other ponerines, a recent study showed that the flap at the metapleural gland orifice can be highly variable as in the N. laevigata clade (Troya and Lattke 2022), while in species of the N. aenescens clade it is displayed as a vertically-oriented carina (pers. obs.).
Besides these findings which added a level of complexity to the taxonomic comprehension of the genus, new lineages have been discovered which require formal description, but also numerous issues have been detected in regards to the taxonomy of the presently known species in all the seven recognized Neoponera groups. Troya and Lattke (2022) revised the N. laevigata group, and another revisionary work is planned to be published soon for the N. crenata group by the same authors. Here, we provide a treatment of the N. foetida and N. emiliae groups. The first, which was partially revised by Fernandes et al. (2014), is composed of species with arboreal habits, and are among the most difficult to identify due to the lack of reliable diagnostic characters. Some taxonomic problems were solved in the cited study, but others arose as additional material became available; among these, a number of species are usually misidentified, while in other cases it is impossible to assign a specific epithet without incurring in errors. Some good examples of these are N. curvinodis Forel, N. inversa Smith, N. bugabensis Forel, N. bactronica Fernandes et al., and N. billemma Fernandes et al. The first three taxa are commonly collected, broadly distributed, and usually extremely difficult to identify because their populations show quite variable external morphology. As for N. bactronica and N. billemma, their status is doubtful because their diagnostic features coincide with the definition of N. curvinodis.
In regards to the N. emiliae group (sensu Mackay and Mackay 2010), recent evidence (Troya et al. unpublished) suggests that it should be split in one group containing N. emiliae Forel, N. magnifica Borgmeier, and N. metanotalis Luederwaldt, whereas the remaining taxa, this is, N. concava Mackay and Mackay, N. schultzi Mackay and Mackay, and N. venusta Forel should be placed in a new genus (Troya and Lattke 2022). Furthermore, prior observations of recent new material of N. magnifica showed that this lineage is in fact composed of more than one species.
In this study we address all of these issues, revise the taxonomic status of all known species in both groups, provide notes on their biology and distribution, and in some cases, comments on their evolution, and construct new taxonomic keys.

2. Materials and Methods

2.1. Repositories of Examined Material

Examined specimens, either physically and/or through images, are deposited in the below institutions. Part of this material is represented through images of the types available on the database of the MCZC, and AntWeb.org. Most museum abbreviations are based on Arnett et al. (2019).
ALWC Alexander L. Wild collection, TX, USA.
AMNH American Museum of Natural History, NY, USA.
BMNH The British Museum of Natural History, London, United Kingdom.
CASC California Academy of Sciences, San Francisco, CA, USA.
CPDC Coleção do Laboratório de Mirmecologia, Centro de Pesquisas do Cacau, Ilhéus, BA, Brazil.
DZUP Coleção Entomológica Padre Jesus Santiago Moure, Universidade Federal do Paraná, Curitiba, PR, Brazil
ECOFOG EcoFoG–Joint Research Unit Ecology of Guianan Forests, Kourou, French Guiana.
IAVH Instituto Alexander von Humboldt, Villa de Leyva, Colombia.
ICN Instituto de Ciencias Naturales, Universidad Nacional de Colombia, Bogotá, Colombia.
INBC Instituto Nacional de Biodiversidad, Heredia, Costa Rica.
INPA Instituto Nacional de Pesquisas da Amazônia, Manaus, AM, Brazil.
JTLC John T. Longino Collection, University of Utah, Salt Lake City, UT, USA.
MCZC Museum of Comparative Zoology, Harvard University, MA, USA
MEPN Museo de Historia Natural “Gustavo Orcés V.”, Escuela Politécnica Nacional, Quito, Ecuador.
MHNG Muséum d'histoire naturelle Genève, Switzerland.
MIZA Museo del Instituto de Zoología Agrícola, Universidad Central de Venezuela, Maracay, Venezuela
MPEG Museu Paraense Emílio Goeldi, Belém, PA, Brazil.
MSNG Museo Civico di Storia Naturale di Genova "Giacomo Doria", Genova, Italy
MUCR Colección de Insectos, Universidad de Costa Rica, San Pedro, Costa Rica.
MUSENUV Museo de Entomología de la Universidad del Valle, Cali, Colombia.
MZSP Museu de Zoologia da Universidade de São Paulo, São Paulo, Brazil
NHMW Naturhistorisches Museum Wien, Vienna, Austria.
PSWC Philip S. Ward Collection, University of California, CA, USA.
QCAZ Museo de Zoología de la Pontificia Universidad Católica del Ecuador, Quito, Ecuador.
SNSB Zoologische Staatssammlung München, Munich, Germany.
UCDC Bohart Museum of Entomology, University of California, CA, Davis.
UFVLABECOL Laboratório de Ecologia de Comunidades, Universidade Federal de Viçosa, Viçosa, Minas Gerais, Brazil.
UTEP University of Texas at El Paso Entomology Collection, TX, USA.
UNMSM Museo de Historia Natural, Universidad Nacional Mayor de San Marcos, Lima, Peru.
UTIC The University of Texas at Austin, TX, USA.

2.2. Imaging

Images were taken using a Canon® EOS DSLR 70D with a Laowa® 25mm F2.8, 2.5X – 5.0X macro lens, coupled to a Cognisys StackShot® macro rail system which enabled depth–focus shooting through Helicon Remote v. 3.9.9, and posterior stacking in Helicon Focus v. 7.5.6 (Helicon Soft Ltd.). A dome–shaped, cold–light (LED) source was used for illumination. Images of type material and some non–type specimens, as well as collection data of all examined specimens are available online on AntWeb.org.
Images and illustrations by the author, except those in Figures: 18a – e (Bernard Landry), 23a – d (Museum of Comparative Zoology, Harvard University, ©President and Fellows of Harvard College).
In this work we only provide images for the newly described taxa, as well as for the castes of certain species, morphospecies and/or variants for which no high-resolution digital images are available thus far on the internet. As for the rest of known, described species we provide an internet link to access the image of the respective type at its original source, in this case, AntWeb.org.

2.3. Morphometric Variables

All observations and measurements of the following morphological variables were taken using a pin–holding stage, allowing rotations around the X, Y, and Z axes at magnifications from 8X to 50X with an ocular micrometer incorporated to a Zeiss® Stemi SV6 stereo microscope. Measurements are presented in mm with an accuracy of two decimal places, minimum and maximum values are indicated when more than one specimen was measured. All measurements are in line with those of Troya and Lattke (2022).
HL Head length. In frontal view, maximum distance from the posterior margin of head to the anterior margin of clypeus.
HW Head width. In frontal view, maximum width of head, excluding the eyes.
EL Eye length. In lateral view, measured along its maximum length.
SL Scape length. In frontal view, maximum length of scape excluding its basal condyle and neck.
PrW Pronotum width. In dorsal view, maximum width of pronotum.
WL Weber's length. In lateral view, distance between the anterior margin of pronotum, excluding collar, to the posteroventral margin of metapleuron.
MsW Mesonotum width. In dorsal view, maximum width of mesonotum.
MsL Mesonotum length. In a dorsal view, the maximum distance from the anterior margin of the mesonotum to its posterior margin.
PW Petiolar width. In dorsal view, maximum width of the petiolar node.
PH Petiolar height. In lateral view, the perpendicular distance from the posteroventral lobe of the petiolar tergite to its maximum dorsal margin.
PL Petiolar length. In a lateral view, the distance between the anteriormost margin of petiole to its posterior margin, excluding the posteroventral ridge.
GL Gaster length. In lateral view, the oblique distance between the anterior margin of abdominal segment III to the posterior margin of the pygidium, excluding the sting. This is a relative measure since it can vary in relation to the extension or contraction of abdominal segments IV to VII.
A3L Abdominal segment III length. In dorsal view, the distance between the anterior and posterior margin of abdominal tergite III.
A3W Abdominal segment III width. In dorsal view, maximum width of tergite of abdominal segment III.
A4L Abdominal segment IV length. In dorsal view, the distance between the anterior and posterior margins of abdominal tergite IV.
A4W Abdominal segment IV width. In dorsal view, maximum width of tergite of abdominal segment IV.
TLa Total accurate length of body: HL + WL + PL + A3L + A4L
TLr Total relative length of body: HL + WL + PL + GL

2.4. Indices

The following ratios were multiplied by 100:
CI Cephalic index: HW/HL
OI Ocular index: EL/HW
SI Scape index: SL/HW
MsI Mesonotum index: MsW/MsL
LPI Lateral petiolar index: PL/PH
DPI Dorsal petiolar index: PW/PL

2.5. Distribution Maps

We used the open–source package Quantum GIS 2.18 to generate maps of distribution, based on coordinates written on specimen labels. All localities were transformed to decimal degrees. We used Google Earth (Google 2022) as information source to check and confirm locality names. In regards to unusual records without specific localities, this is, below the administrative circumscription of state, province, or similar, the center of the next most specific site was georeferenced. In addition, we included in the maps selected literature records, mostly belonging to prior taxonomic treatments, for example from Mackay and Mackay (2010).

2.6. Morphological Terms

General morphological terminology follows mainly Bolton (1994), Keller (2011), Boudinot (2015), and the Hymenoptera Anatomy Ontology – HAO Yoder et al. (2010). Surface sculpture is based mainly on Harris (1979). Male and female forewing venation on Ogata (1991), and Cantone (2017); hind wing venation on Cantone and Von Zuben (2019). Degree of pilosity inclination follows Wilson (1955), Serna and MacKay (2010): 0°– 5°for appressed hairs running parallel or nearly parallel to body surface; 10°– 20° for decumbent hairs slightly standing from surface; 20°– 40° for subdecumbent hairs; 40°– 70° for suberect hairs; and more than 70° for erect hairs when these stand vertical or nearly vertical. For male genitalia we followed Boudinot (2013) and Tozetto and Lattke (2020). Palp formula is denoted by “PF” followed by the number of maxillary and labial segments, for example, PF: 4, 4, which means that both appendices have four segments. Tibial spur formula is denoted by “s” – simple, and “p” – pectinate, for example, 2(1s, 1p) which means that two spurs are present, one simple, and 1 pectinate.

2.7. Descriptions and Material Examined

We used the computer package DELTA Dallwitz (1980) for encoding the character states of each newly described caste and/or taxon. This package allows subsequent translation of such encoding into natural language (rich text format – RTF) taxonomic descriptions, which requires further editing from the user. We used TAXOMATA (Ambrosio and Troya, unpublished) a python script which makes a fast conversion of spreadsheet data (e.g., XML, CSV formats) into RTF. In this case, the spreadsheet dataset contained the measured morphometric variables, and the collection information shown in the “Material examined” section.
In the first paragraph of the taxonomic history per species, i.e., the type material, we included inside [ ] my notes, and inside ( ) the repository Collections of such material. Under “status as species” only the first appearance of the species name in the taxonomic literature is cited, as well as relevant redescriptions which are usually part of revisionary studies. The user can access the full history of literature mentions for each species on the Online Catalogue of the Ants of the World – AntCat (AntCat by B. Bolton 2022).
The format of the type material follows: # specimens examined and caste, country, first administrative region, second administrative region or, if known, specific locality, coordinates in decimal degrees, elevation in meters, collection date in format yyyy–mm–dd, collector followed by the word “leg.”, method of collection (if known), habitat (if known), and institution where the material is located, usually represented by a unique specimen identifier composed of capitalized letters and numbers. The format for “Other material examined” is essentially equal except that unique specimen identifiers are not shown, but museum acronyms are.
The “Material examined” section contains the complete set of recorded localities and specimens revised in this work.

2.8. Relationships Among Taxa

We provide brief comments about the relationships between species in the present Neoponera groups. Our statements are grounded on prior studies by Schmidt (2013) and Branstetter and Longino (2022), as well as on molecular-based preliminary results (Troya et al. unpublished) which are part of a larger ongoing collaborative study about the phylogeny of the genus Neoponera which will be published separately. This additional information is not to be treated as conclusive, nevertheless we think it adds support to our morphology–based arguments around the species hypotheses shown here.

2.9. Species Delimitation

We follow the biological species concept sensu Mayr (1942) by considering species as population assemblages which are under presumed continuous gene flow. Since we did not directly assess this process, our criterion for species delimitation was to detect a continuum of expected character gradations lacking discontinuities among distinctive populations. In sympatry, interspecific gene flow can obscure populational distinctness (Arnold 1992, Field et al. 2011). In such case species can be detected by consistently grouping morphologically similar individuals assumed to belong to structured populations, which is a proxy for gene flow (Wild 2005).

3. Results

3.1. The N. Foetida Species Group

Worker- and queen-based key to species of the N. foetida Species-Group
1 Antennal scape short, when pulled posterad, fails to reach posterior head margin; eye placed slightly anteriorly on head (Fig. 1a); known only from Panama ….… N. fisheri
Antennal scape longer that previous lead, when pulled posterad, always exceeding posterior head margin; eye placed at head midlength (Fig. 1b) …………………….… 2
Figure 1. Antennal scape. a. Short, not reaching posterior head margin (☿ N. fisheri); b. Longer, always exceeding posterior head margin (☿ N. bugabensis).
Figure 1. Antennal scape. a. Short, not reaching posterior head margin (☿ N. fisheri); b. Longer, always exceeding posterior head margin (☿ N. bugabensis).
Preprints 144083 g001
2 (1) Petiolar node subtriangular in lateral view, posterolateral margin carina-less (Fig. 2a); malar carina highly reduced, hard to distinguish from surrounding rugose sculpture (Fig. 20e); known only from Costa Rica …………….………………..……. N. dismarginata
Petiolar node block-shaped (Figs. 2b, 2c) in lateral view, posterolateral margin either carina-less or carinate; malar carina present or reduced but never as described above …………………………………………………………………………………………. 3
Figure 2. Node shape in lateral view. a. Subtriangular (☿ N. dismarginata); b. Block-shaped (☿ N. villosa); c. Scale-shaped (☿ N. inversa). Yellow arrowheads show the posterolateral carina.
Figure 2. Node shape in lateral view. a. Subtriangular (☿ N. dismarginata); b. Block-shaped (☿ N. villosa); c. Scale-shaped (☿ N. inversa). Yellow arrowheads show the posterolateral carina.
Preprints 144083 g002
3 (2) Petiolar node almost completely covered with well-impressed, horizontal striae, except for the midventral lateral face which is usually devoid of sculpture (Fig. 3a); posterior head margin concave; southern Central America, northern and central South America…………………………………………............................................... N. foetida
Petiolar node not as above, if striae are present, then either on anterior face (Fig. 3b), laterally (Fig. 3c), or tenuously impressed on posterior face (only seen in N. prasiosomis, Figs. 5c, 28g); posterior head margin either straight or concave………………..………. 4
Figure 3. Node sculpture. a. Almost completely striate (☿ N. foetida); b. Striate anteriorly (☿ N. solisi); c. Striate laterally (☿ N. theresiae).
Figure 3. Node sculpture. a. Almost completely striate (☿ N. foetida); b. Striate anteriorly (☿ N. solisi); c. Striate laterally (☿ N. theresiae).
Preprints 144083 g003
4 (3) Head dorsum costate, costae particularly noticeable on vertex (Fig. 4a); posterior face of petiolar node with patch of feebly impressed, irregular costae; southeastern Mexico to Central America, Colombia (?)……………………………………..…..… N. lineaticeps
Head dorsum without costae, though it may have well-impressed striae (Fig. 4b), or punctae (Fig. 1b); posterior face of petiolar node without patch of well-impressed, vertical striae…………………………………………………………………………… 5
Figure 4. Dorsal head sculpture. a. Costate (☿ N. lineaticeps); b. Striate (☿ N. solisi).
Figure 4. Dorsal head sculpture. a. Costate (☿ N. lineaticeps); b. Striate (☿ N. solisi).
Preprints 144083 g004
5 (4) Posterior face of petiolar node mostly glabrous (Fig. 5a); posterior head margin concave, with posterior corner convex but feebly protruding posterad (Fig. 4b); known only from Costa Rica……….………………………………………….……………….… N. solisi
Posterior face of petiolar node not glabrous, either punctate or tenuously striate; posterior head margin either concave or straight ………………………………..…..… 6
Figure 5. Posterior nodal face. a. Mostly glabrous (☿ N. solisi); b. Punctate (☿ N. bugabensis); c. Feebly striate (☿ N. prasiosomis).
Figure 5. Posterior nodal face. a. Mostly glabrous (☿ N. solisi); b. Punctate (☿ N. bugabensis); c. Feebly striate (☿ N. prasiosomis).
Preprints 144083 g005
6 (5) Dorsum of proximal mandibular region with well-impressed, divergent striae (Fig. 6a); lateral face of petiolar node striate (Fig. 3c); southern Central America, northwestern South America, Ecuador (?), Peru (?), Brazil (?) …………………………… N. theresiae
Dorsum of mandible without divergent, well-impressed striae, if striae are present, then feebly to moderately impressed (Figs. 4a – b, 9a – c); lateral face of petiolar node without striae ……………………………..……………………………………………. 7
Figure 6. Mandible sculpture. a. Well-marked, divergent (☿ N. theresiae).
Figure 6. Mandible sculpture. a. Well-marked, divergent (☿ N. theresiae).
Preprints 144083 g006
7 (6) Anterior margin of mesopleuron with lamellate (Fig. 7a), or lobate (Fig. 7b) cuticular extension; and posterior face of petiolar node with tumulus (Fig. 2b); humeral carina not salient (Fig. 7d); South America (western and central Amazonia) ……..…. N. zuparkoi
Anterior margin of mesopleuron without anterior lobe or lamella; posterior face of petiolar node either with or without tumulus; humeral carina either slightly to strongly salient (Fig. 7c)………………………………………………………………………… 8
Figure 7. Mesopleural anterior margin (a – b). a. Lamellate (☿ N. zuparkoi [variant from Orellana, Ecuador]); b. Lobate (☿ N. zuparkoi); Humeral carina (c – d). c. Salient (☿ N. curvinodis); d. Present but not salient (☿ N. zuparkoi). Yellow arrowheads show the protruding carinae.
Figure 7. Mesopleural anterior margin (a – b). a. Lamellate (☿ N. zuparkoi [variant from Orellana, Ecuador]); b. Lobate (☿ N. zuparkoi); Humeral carina (c – d). c. Salient (☿ N. curvinodis); d. Present but not salient (☿ N. zuparkoi). Yellow arrowheads show the protruding carinae.
Preprints 144083 g007
8 (6) Posterior face of petiolar node with tumulus (Fig. 2b); prora well-developed, with truncate tip (Fig. 2b); Nearctic Region (central eastern Texas to northern Mexico, except the Plateau), and Neotropical Region (southern Mexico to northern Argentina) ………… ……………………………………………………………………………….…. N. villosa
Posterior face of petiolar node without tumulus; prora highly variable, either tiny and pointed (Fig. 10b), to well-developed and anteriorly round ……………….…………… 9
9 (8) In lateral view, anterior and posterolateral margins of petiolar node forming angle between ~ 60° to ~ 90° (Fig. 8a) ……………………..……………………...…..…… 10
In lateral view, anterior and posterolateral margins of petiolar node forming angle between ~ 40° to ~ 50° (Fig. 8b) ………………………………………...….……...… 12
Figure 8. Node in lateral view: anterior margin vs. dorsolateral margin. a. Forming ca. 90° (☿ N. bugabensis); b. forming ca. 45° (☿ N. curvinodis); c. forming ca. 45° (☿ N. curvinodis). Specimens from b & c belong to the same colony.
Figure 8. Node in lateral view: anterior margin vs. dorsolateral margin. a. Forming ca. 90° (☿ N. bugabensis); b. forming ca. 45° (☿ N. curvinodis); c. forming ca. 45° (☿ N. curvinodis). Specimens from b & c belong to the same colony.
Preprints 144083 g008
10 (9) Antennal scape exceeding posterior head margin by 0.5 X to 1 X apical scape width (Fig. 9a); in lateral view, petiolar node length (PL) ☿ ~ 0.7 mm to ~ 0.8 mm (queen unknown); body integument tenuously greenish; central Panama and northwestern Ecuador ..................................................................................................… N. prasiosomis
Antennal scape exceeding posterior head margin by more than 1 X apical scape width (see next couplet); in lateral view, petiolar node length (PL) longer than previous lead: ☿, ♀ ~ 1 mm to ~ 1.5 mm; body integument castaneous, brownish, black …………..… 11
Figure 9. Antennal scape exceeding posterior head margin by X times apical width: a. Between 0.5 to 1 X (☿ N. prasiosomis); b. About 1 X (♀︎N. insignis); c. Between 2 X to 3 X (☿ N. bugabensis).
Figure 9. Antennal scape exceeding posterior head margin by X times apical width: a. Between 0.5 to 1 X (☿ N. prasiosomis); b. About 1 X (♀︎N. insignis); c. Between 2 X to 3 X (☿ N. bugabensis).
Preprints 144083 g009
11 (10) Antennal scape exceeding posterior head margin by about 1.5 X apical scape width (Fig. 9b); in lateral view, posterolateral nodal margin moderately sharp (Fig. 10a); southern Central America to northwestern Colombia.......................….……..............… N. insignis
Antennal scape exceeding posterior head margin by about 2 X to 3 X apical scape width (Fig. 9c); in lateral view, posterolateral nodal margin blunt (populations from Central America, Fig. 10b) or moderately sharp, approximating that of N. insignis (populations from South America); mid-eastern Mexico, Central America, northwestern and central South America …………………………………………………………..... N. bugabensis
Figure 10. Petiolar node in lateral view. a. Posterolateral margin sharp (☿ N. insignis); b. Posterolateral margin blunt (☿ N. bugabensis).
Figure 10. Petiolar node in lateral view. a. Posterolateral margin sharp (☿ N. insignis); b. Posterolateral margin blunt (☿ N. bugabensis).
Preprints 144083 g010
12 (9) Posterolateral propodeal margin with raised carina, usually crenulate (Fig. 11a); anterolateral distal petiolar node face feebly to moderately deflate, nodal top projected anterodorsad (Fig. 8b); largest species in the N. foetida group (TLa: ☿ ~11 mm to 14 mm; ♀︎~13 mm to 15.5 mm, see also Fig. 12); southern Mexico to southeastern Brazil ............…………………………………………………………………….. N. curvinodis
Posterolateral propodeal margin without (or feebly) raised, carina, without crenulae (Fig. 11b); anterolateral distal petiolar node face strongly deflate (frequently, Fig. 2c), or feebly deflate (less frequently, Fig. 8c), nodal top usually projected anterad (Fig. 2c); smaller body length than previous lead (TLa: ☿ ~10 mm to 12 mm; ♀︎~11 mm to 14 mm, see also Fig. 12); northern Honduras to southeastern Brazil ………...… N. inversa
Figure 11. Propodeum posterolaterally a. Bearing raised carina, usually crenulate (☿ N. curvinodis); b. Carina-less, or at most feebly raised, without crenulae (☿ N. zuparkoi). Yellow arrowheads point to the raised crenulae of the propodeal carinae. The red-stripped line shows the convexity of the propodeal carina.
Figure 11. Propodeum posterolaterally a. Bearing raised carina, usually crenulate (☿ N. curvinodis); b. Carina-less, or at most feebly raised, without crenulae (☿ N. zuparkoi). Yellow arrowheads point to the raised crenulae of the propodeal carinae. The red-stripped line shows the convexity of the propodeal carina.
Preprints 144083 g011

4. Taxonomy

4.1. Ynoptic List

In parentheses the known castes per species: ☿ – worker; ♀︎ – queen; ♂ – male.
Neoponera bugabensis (Forel, 1899) (☿)
Neoponera curvinodis (Forel, 1899) (☿, ♀︎, ♂)
= N. bactronica Fernandes et al., 2014: 136 (☿, ♂) syn. nov.
= N. billemma Fernandes et al., 2014: 140 (☿) syn. nov.
= N. subversa Lucas et al., 2002: 256 (☿) syn. nov. (nomen nudum, unavailable)
Neoponera dismarginata (Mackay & Mackay, 2010) (☿)
Neoponera fisheri (Mackay & Mackay, 2010) (☿, ♀︎, ♂)
Neoponera foetida (Linnaeus, 1758) (☿, ♀)
= Neoponera lobata De Geer, 1773 (♀︎) synonymy by Retzius, 1783: 75
= N. pedunculata (Smith, 1858) (☿) syn. nov.
Neoponera insignis (Mackay & Mackay, 2010) (☿, ♀︎, ♂)
Neoponera inversa (Smith, 1858) (☿, ♀︎, ♂)
Neoponera lineaticeps (Mayr, 1866) (☿, ♀︎, ♂)
Neoponera prasiosomis Troya, sp. nov. (☿)
Neoponera solisi (Mackay & Mackay, 2010) (☿, ♀︎)
Neoponera theresiae (Forel, 1899) (☿)
Neoponera villosa (Fabricius, 1804) (☿, ♀︎, ♂)
= Neoponera bicolor (Guérin-Méneville, 1844) (♀︎) synonymy by Roger, 1861: 1
Neoponera zuparkoi (Mackay & Mackay, 2010) (☿)

4.1.1. Neoponera foetida Species-Group Differential Diagnosis

Worker and queen. This group includes the shiniest ants among the Neoponera, especially when placed against light. The dorsal cuticle of most species is covered by abundant, golden appressed pilosity which reflects light very well. Because of this the name “golden Neoponera” could perfectly be applied to them. In most species, the workers and queens are relatively large as compared to the body size of other species in the genus. The largest lineage, N. curvinodis, can easily exceed 12 mm (☿ = ~ 11 – 14 mm; ♀︎ = ~ 13 – 16 mm), whereas the smallest, N. lineaticeps, barely exceeds 8 mm (☿ = 7.2 – 8.3 mm; ♀︎= 11 mm, this latter sensu Mackay and Mackay, 2010). These two castes are overall very similar to each other, but the queen shows the following differing features with respect to the worker: 1) The head vertex carries three comparatively small ocelli, which are smaller than the antennal acetabulum diameter; 2) The mesonotum is formed by the typical ponerine sclerites for flight function: scutum, scutellum and associated structures; 3) The metanotum is plenty discernible, as in all Neoponera queens, and lacks a median carina or tumulus; 4) The mesopleuron is usually divided in anepisternum and katepisternum by a well-marked mesopleural, frequently grooved suture. This suture normally runs uninterrupted through the entire plate, though sometimes it may fade before reaching the anterior mesopleural margin. The only exception to this plate division is found in N. fisheri where the suture is vestigial to completely absent (Fig. 21a), as judged by the only two known queens. A concavity is present, however, in the region where the suture is supposed to be placed; 5) The propodeum is almost always more robust, and sometimes the sculpture (when present) is more abundant; 6) The general body size is larger, including the eye which is ca. 5% larger than that of the worker.
No differences between workers and queens were noted in regards to the malar carina which, according to Fernandes et al. (2014) is sharper in queens. In contrast to some species of other species-groups like the N. aenescens, N. crenata, N. laevigata groups, the petiolar node of the queens of the N. foetida group is not slightly narrowed laterally as compared to that of the workers.

4.1.2. Features Distinguishing Species in this Group from Others in the Genus

Worker and queen. The following characters can be used in combination: 1) The mid clypeal region of most species is either feebly convex (e.g., Figs. 4a, 6a, 9b) or horizontally straight – truncate (e.g., Figs. 1b, 9c). Three species, namely N. fisheri, N. solisi, and N. villosa have a concave mid clypeus, with the former showing the deepest concavity (e.g., Fig. 4b) from all taxa in this group. In contrast, N. dismarginata (Fig. 20c, e) has a relatively acute mid clypeus which is reminiscent, though not necessarily similar, to most species of the N. crenata group where this clypeal section protrudes anterad in the form of a subtriangular cuticular extension. 2) The globose eye breaks the lateral head margin, and is placed approximately on the mid longitudinal region of the head, as is the case for all species in the N. crenata group. The only exception to the rule is N. fisheri whose eye is much less globose than the norm in this group, somewhat flat, but also breaks the head margin, and is placed slightly anteriorly on head (Fig. 1a). Also, in some N. insignis, the eye barely reaches the head margin. In all other Neoponera the eye is slightly displaced from the horizontal median plane of the head, either slightly posterad, e.g., species in the N. apicalis group, or slightly anterad, e.g., most species of the N. aenescens group. 3) The malar carina is well-marked on the cuticle, slightly raised and in few species like N. villosa and N. curvinodis it usually touches the anterointernal eye margin (link). In three species, N. dismarginata, N. fisheri, and N. solisi, this carina is reduced (Figs. 4b, 20e), this is, it is not raised, and it merges with the surrounding cuticle before reaching the anterior eye margin. In this case this reduced carina is more like a swelling rather than a true sharp margin. Among Neotropical Ponerinae, the malar carina is a hallmark of most Neoponera taxa. It is not present, however, in species of the N. aenescens and N. laevigata groups (expect for N. commutata Roger), where it is transformed into a swelling or is completely absent (link). In N. concava, N. schultzi, and N. venusta, which will now it is known do not belong to Neoponera (Troya and Lattke 2022), but comprise its putative sister group (pers obs.), the carina runs over the anterointernal eye margin, instead of in front of it as in all other species in the genus. 4) The humerus is carinate, except for N. fisheri which shows a tenuous, blunt margin (Fig. 21a). The humeral carina varies highly interspecifically, it can either be strongly salient (shelf-like) and sharp as in N. foetida (e.g., Fig. 7c), anteriorly acute with posterior irregular margins as in N. solisi, or just marginate, not laterally salient as in N. theresiae and N. zuparkoi (Fig. 7d). In all cases, however, this marginate border fades away before the cuticle reaches the anterodorsal anepisternal margin (upper plate of the mesopleuron). The humeral carina is also depicted in most species of the N. aenescens, N. crenata, and N. emiliae groups, in all of them, however, this structure is never strongly salient, except for N. striatinodis where it is shelf-like. In some species of these groups the humeral carina is replaced by a tiny blunt border as in N. chyzeri (Forel) (link). In N. curvinodis and N. inversa the humeral carina varies extraordinarily. Especially in the former, it can be anteriorly acute, laterally sharp, and shelf-like (Fig. 7c) or just barely emerging from the cuticle as a relatively blunt line which can be difficult to discern due to the surrounding pilosity (Fig. 7d). Yet, the first form (shelf-like) is more commonly found. This high degree of plasticity has only been evidenced in these two species across the genus, and this is just part of the picture in regards to their overall morphological variation since it has been noticed in other structures as well (see more details under those species). 5) The notopropodeal suture is always present and forms a groove which is usually easily discernible both dorsally and laterally despite the abundant surrounding pilosity of some species. Although this groove is sometimes considered “deep” (see Fernandes et al. 2014), a more proper term would be well-marked as usually used by MacKay and Mackay (2010). In Ponerinae, a good example of a deep groove is exemplified in Mayaponera constricta (link). In Neoponera, the notopropodeal groove vary from vestigial or completely absent, to well-marked on the cuticle. This character is present in the N. apicalis, N. laevigata, and N. aenescens groups, but also in N. rostrata (Emery). In species of the former the cuticle is opaque and usually devoid of erect hairs except for N. cooki (Mackay and Mackay), while in the N. laevigata group the cuticle is completely polished, very much like a mirror, and scantly hairy. In species of the N. aenescens group the groove is evident despite the usually abundant appressed pilosity on the mesosoma, but all of them lack the characteristic abundant erect hairs of the species in the N. foetida group. As for N. rostrata, the groove is well-marked and perfectly discernible since it lacks abundant appressed pilosity in such body region. 6) The anterior margin of the petiolar node is straight, or nearly so, and inclined posterad. Three species, however, show variations of this trait: N. villosa, N. curvinodis, N. inversa, and also some queens of N. bugabensis (Figs. 14, 17). In the former, the margin is virtually perpendicular to the horizontal body plane, although this may vary geographically with some populations showing a slight inclination. As for the latter two taxa, usually the distal region of the whole anterolateral nodal face may be either relatively straight to strongly deflate, frequently observed in N. inversa, so that the top of the node is directed anterad somewhat resembling a hood (Fig. 2c). The nodal margin of N. fisheri appears to be nearly vertical as in a specimen from Panama (CASENT0217559, link) but with closer examination a slope is noted. 7) Well-developed, fang-shaped metasternal process. This is the only character considered apomorphic for the N. foetida group and varies little interspecifically. The configuration of both spine-shaped appendices (or spiny lobes) is relatively similar to that present in species of the N. crenata and N. laevigata groups. However, in species of the N. foetida group the lobes are broad: their mid vertical region is about three times broader than the space separating them. In the N. crenata and N. laevigata groups the lobes are comparatively narrower than in the N. foetida group.
Male. This caste is known from seven species, N. bugabensis, N. curvinodis, N. fisheri, N. inversa, N. lineaticeps, N. villosa, and N. insignis. The latter is newly described in this treatment. Males of the N. foetida group are in general rarely collected for most species. Perhaps, the only exceptions are N. villosa and N. curvinodis for which the worker and queen castes abound in museum collections and are frequently encountered in the field.
In this work, male specimens of only four species were examined, N. curvinodis, N. insignis, N. villosa, and N. fisheri (this latter through images of UTEPENTO3519-01 in AntWeb.org) for which the association male/queen – worker was confident since the specimens belong to the same nest series. Out of these, only for N. villosa and N. curvinodis a relatively good amount of material (19 and 11 specimens, respectively) representing some regions of Brazil and Mexico, was examined (see the material examined for those species). Therefore, the following few characters (see further below) are added and/or commented to those reported in prior treatments, namely MacKay and Mackay (2010) and Fernandes et al. (2014).
Troya and Lattke (unpublished) detected that a number of external morphological characters in the males of the N. crenata group were variable even intraspecifically, which complicates species distinction. Characters like ocellar size, length and depth of notauli and mesopleural groove, among others, were not homogeneous, i.e., showing a distinctive morphology pattern, among examined specimens. Populational variations in such traits are, apparently, too plastic for diagnostic consideration. Although in this study a less abundant and diverse material was examined as compared to said work, we detected a similar issue in the males of N. villosa, with some specimens showing, for example, more deeply impressed notauli than others.
The notauli sometimes meet posteriorly and sometimes do not. Except for N. villosa and N. curvinodis, the male caste in the N. foetida group is still rarely found in either museum samples and in the field. Perhaps many specimens preserved in ethanol in museum collections, for example, from Malaise traps, still await discovery. Nevertheless, since most males in this species-group remain unassociated with their respective workers/queens, little progress is expected from morphological examination alone. Future male descriptions and especially diagnoses will require more detail and accuracy coupled with high-definition images made available through free-access platforms.
1) The inter-antennal socket carina, also called “short median longitudinal swelling of the frontal carina” (Dias and Lattke 2021, p. 8), and cited in Fernandes et al. (2014) as a “fine carina present between insertion of antennae”, p. 136, is present in the males from all species groups in the genus. This carina is usually feebly impressed, e.g., in N. aenescens, N. globularia, N. marginata, some specimens of N. villosa, and sometimes slightly raised but clearly discernible, e.g., in N. rostrata, and N. commutata. Males from other closely related genera also show this structure, e.g., Dinoponera grandis, Pachycondyla crassinoda. It is unknown if this feature is present in other ponerine males outside the Pachycondyla genus-group, where Neoponera is placed, but it appears to be plesiomorphic, therefore not useful for diagnosing species-groups in the genus. However, further specimens from a number of additional species are required to test this assumption. 2) The eye is relatively small, smaller or approximately equal to half head length. This is similar to known males of the N. laevigata group where the eye is even smaller, except for N. commutata where it is approximately equal such distance. In the males of the remaining Neoponera groups the eye is longer than half head length. 3) The mesopleural sulcus (sometimes also called “anapleural sulcus”, see for example Delsinne et al. 2019) does not extend into the ventral pleural surface. This condition is certainly similar to the observed in the N. crenata group. In known males of the N. aenescens and N. apicalis groups, and in N. rostrata, the sulcus clearly extends into the ventral mesopleural surface. In contrast, in the N. laevigata group, this sulcus is poorly developed, extending approximately to just the median region of the lateral mesopleural plate. 4) The notauli [= mayrian sutures, in Mackay and Mackay (2010), and Fernandes et al. (2014)], are well-marked on the cuticle, slightly cross ribbed, these may meet or “touch” each other posteriorly and form a weakly impressed longitudinal groove (e.g, N. insignis from Costa Rica, INBIOCRI002278907, Fig. 25b), or not (remaining examined males). In contrast to such Costa Rican male, the notauli in a specimen from Panama (JTL9077-2) do not meet posteriorly. This is another case of plasticity in Neoponera males.
Finally, the following characters cited as diagnostics in Fernandes et al. (2014) are considered apomorphic for all known males in Neoponera, thus not informative for diagnosing the N. foetida group: “body black or brown; palps covered by sparse pubescence, with palpal formula 6:4; eye well-developed and expanded dorsolaterally; malar carina absent; clypeus convex medially; lateral pronotal carina absent; well-marked mesometanotal and metanotal-propodeal grooves; stridulatory file of abdominal pretergite IV well-developed; parameres well-developed with apex round and sparse hairs on surface”, p. 136.
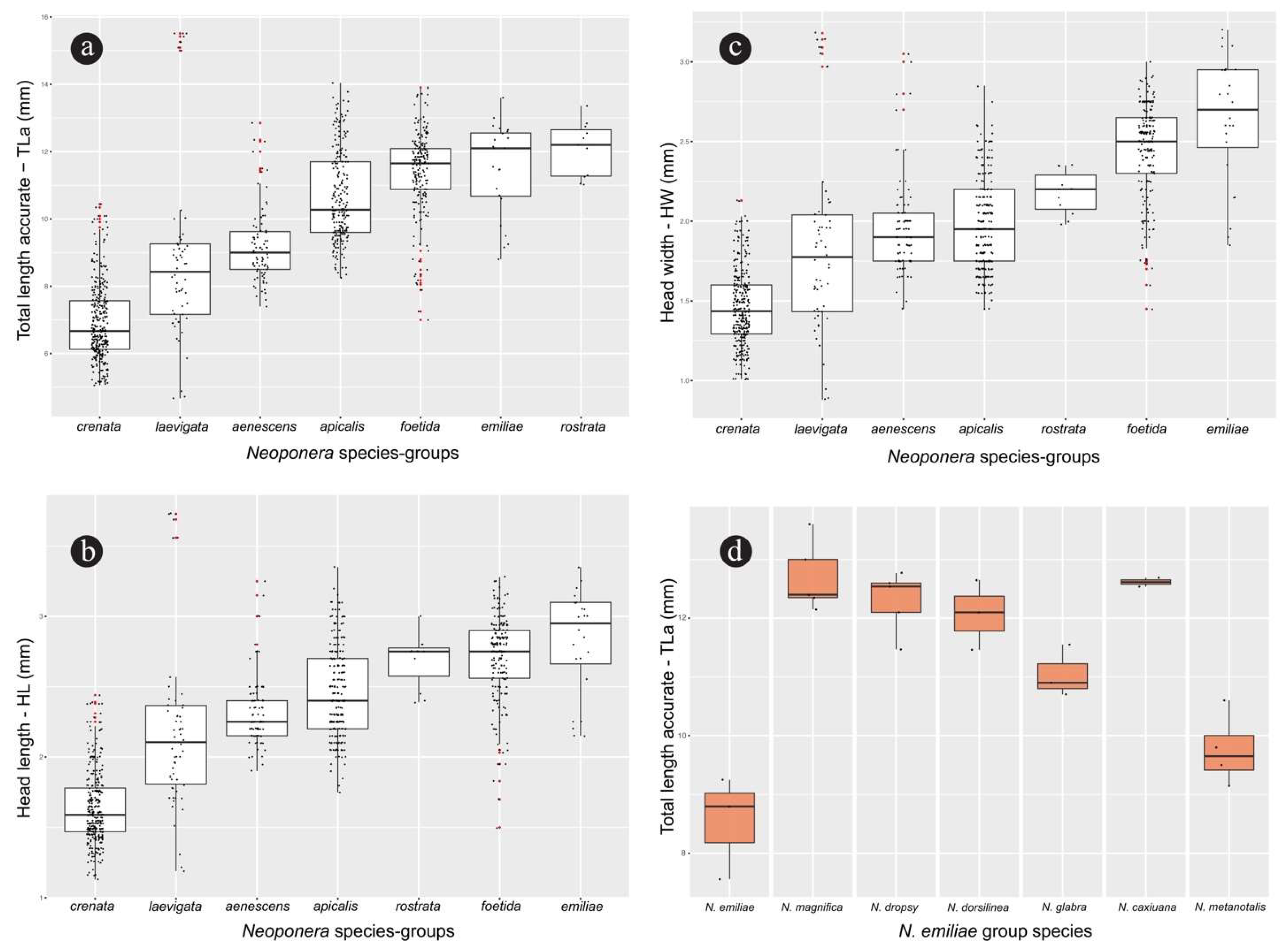
Figure 12. Approximate body size range of species in the N. foetida group as estimated by the variable Total Length accurate – TLa. n: ☿ = 191, ♀︎= 47. Red dots are outliers.
Figure 12. Approximate body size range of species in the N. foetida group as estimated by the variable Total Length accurate – TLa. n: ☿ = 191, ♀︎= 47. Red dots are outliers.
Preprints 144083 g012

4.2. Species Accounts

4.2.1. Neoponera bugabensis (Forel, 1899)

Figures. 1b (head ☿); 13, 15, 16: a – c (☿); 14, 17: a – c (♀︎); 30a (distribution)
Pachycondyla theresiae var. bugabensis Forel, 1899: 14. ☿ lectotype [by designation of Mackay & Mackay, 2010: 224], Panama, Bugaba, Champion [leg.], (MHNG, AntWeb: CASENT0907242) [image examined, link].
Combinations. In Pachycondyla: Brown, 1995: 303; in Neoponera: Emery, 1901: 47; Schmidt and Shattuck, 2014: 151.
Subspecies of Neoponera theresiae: Emery, 1911: 72; Kempf 1972: 162; Bolton 1995: 303; Mackay, 2008: 198.
Status as species: MacKay and Mackay, 2010: 224 (redescription).
Worker and queen diagnosis. Head subquadrate (Figures 14b, 17b), sometimes slightly longer than broad (Fig. 15b), with longitudinal, weakly to well-impressed, irregular striae (Figs. 16b, 17b); antennal scape, when pulled posterad, exceeding posterior head margin by approximately 1.5 times (Figs. 14b, 16b) to 3 times (Fig. 15b) apical scape width; malar carina well-marked, it usually fades away before reaching anterior eye margin; humeral carina present, slightly salient; posterolateral margin of propodeum weakly carinate (Figs. 15a, 16a) or without carina; anterior margin of petiolar node either slightly inclined posterad (Figs. 8a, 10b) or steeper (Fig. 17a); posterolateral margin of node weakly carinate, carina usually blunt (Figs. 10b, 14a) mostly in Central American populations; anterior margin of node straight (Figs. 10b, 14a, 15a, 16a) or slightly concave, this latter only seen in queens from South America (Fig. 17a); dorsal appressed pilosity varying from pale yellowish-brownish (Fig. 16), to intense, brilliant golden (Figs. 14, 15), erect and suberect hairs on head and mesosomal dorsum either shorter or about as long as maximum eye length.
Figure 13. Neoponera bugabensis. ☿ (MUCR: CASENT0637852), Costa Rica: Limón. a. Lateral view; b. Head in frontal view; c. Dorsal view.
Figure 13. Neoponera bugabensis. ☿ (MUCR: CASENT0637852), Costa Rica: Limón. a. Lateral view; b. Head in frontal view; c. Dorsal view.
Preprints 144083 g013
Figure 14. Neoponera bugabensis. ♀︎ (JTLC: CASENT0617486), Honduras: Comayagua. a. Lateral view; b. Head in frontal view; c. Dorsal view.
Figure 14. Neoponera bugabensis. ♀︎ (JTLC: CASENT0617486), Honduras: Comayagua. a. Lateral view; b. Head in frontal view; c. Dorsal view.
Preprints 144083 g014
Figure 15. Neoponera bugabensis_var1. ☿ (MUSENUV: MUSENUV22595), Colombia: Valle del Cauca. a. Lateral view; b. Head in frontal view; c. Dorsal view.
Figure 15. Neoponera bugabensis_var1. ☿ (MUSENUV: MUSENUV22595), Colombia: Valle del Cauca. a. Lateral view; b. Head in frontal view; c. Dorsal view.
Preprints 144083 g015
Figure 16. Neoponera bugabensis_var2. ☿ (MUSENUV: HOR0985), Colombia: Valle del Cauca. a. Lateral view; b. Head in frontal view; c. Dorsal view.
Figure 16. Neoponera bugabensis_var2. ☿ (MUSENUV: HOR0985), Colombia: Valle del Cauca. a. Lateral view; b. Head in frontal view; c. Dorsal view.
Preprints 144083 g016
Figure 17. Neoponera bugabensis_var2. ♀︎ (MUSENUV: HOR0983), Colombia: Valle del Cauca. a. Lateral view; b. Head in frontal view; c. Dorsal view.
Figure 17. Neoponera bugabensis_var2. ♀︎ (MUSENUV: HOR0983), Colombia: Valle del Cauca. a. Lateral view; b. Head in frontal view; c. Dorsal view.
Preprints 144083 g017
Worker. Measurements (n = 14): HW: 1.73-2.1; HL: 2.02-2.45; EL: 0.5-0.65; SL: 1.72-2.7; WL: 3.15-3.8; PrW: 1.25-1.55; MsW: 0.76-0.95; MsL: 0.63-0.88; PW: 0.9-1.15; PH: 0.6-1.2; PL: 0.9-1.25; GL: 3.29-4.7; A3L: 1.18-1.5; A4L: 1.23-1.7; A3W: 1.4-1.7; A4W: 1.45-1.75; TLa: 8.49-10.7; TLr: 9.61-11.68. Indices. CI: 79.35-88.64; OI: 28.21-34.29; SI: 97.56-131.71; MsI: 105.71-123.33; LPI: 91.67-150.0; DPI: 80.0-111.11.
Queen. Measurements (n = 6): HW: 1.84-2.31; HL: 2.23-2.69; EL: 0.59-0.72; SL: 1.98-2.45; WL: 3.65-4.44; PrW: 1.45-1.81; MsW: 1.33-1.69; MsL: 1.3-2.25; PW: 1.04-1.2; PH: 1.02-1.25; PL: 1.1-1.28; GL: 4.2-5.5; A3L: 1.45-1.8; A4L: 1.6-1.95; A3W: 1.61-2.0; A4W: 1.69-2.12; TLa: 10.14-11.91; TLr: 11.21-13.91. Indices. CI: 82.0-90.2; OI: 29.27-33.68; SI: 95.65-121.28; MsI: 73.91-111.54; LPI: 97.78-109.52; DPI: 92.68-104.35.
Male. Described by MacKay and Mackay (2010).
Comments. Neoponera bugabensis is a medium-sized taxon in the N. foetida group (Fig. 12; ☿: TLa = 8.5 – 10.7 mm; ♀︎TLa: 10.1 – 11.9 mm). Populations of Central America have a cuticle with more intense golden pilosity than those from South America, and are amongst the most brilliant in the genus when light is directed to their cuticle. In a similar fashion to N. curvinodis, the examined material of N. bugabensis shows relatively large size variation as judged by the variable TLa in workers (Fig. 12). In addition, some body traits also show variations somewhat correlated with geographic distribution making this species one of the most hard-to-diagnose in the genus together with N. curvinodis.
Based on the below variations, this species can be categorized under three forms: the first matches the traits of the lectotype from Panama, thus this is the “true” N. bugabensis (Figs. 13, 14), and is the most widely distributed form. The other two, which here are called “variant – 1” (Fig. 15), and “variant – 2” (Figs. 16, 17), are more restricted to Costa Rica and to Colombia-Ecuador, respectively. These variants slightly differ from N. bugabensis in the form of the head, petiolar node, pilosity and color. Difference in scape length between N. bugabensis and its variant – 2 was also noticed, but it was not consistent across all individuals. Despite this, they are not described as new in this work since such traits, except for scape length, show some degree of plasticity in other species of the genus, for example, in N. crenata (Roger), N. curvinodis (Forel), N. oberthueri (Emery), N. rugosula Emery. On the other hand, the current specimen-set available for each variant: 5 specimens from Costa Rica belonging to variant – 1, and 5 specimens from Colombia-Ecuador belonging to variant – 2, is not representative enough to detect a putative case of lineage divergence as judged from a pattern of morphological discontinuities departing from the traits characterizing N. bugabensis.
No doubt, this is a “tricky species”, it may just be a highly variable form composed of ecotypes which are in process of adaptive speciation, or it may be a multi-species-in-one case for which morphological analysis alone is insufficiently informative. DNA sequencing may aid, but also increasing the specimen-set representing the whole known distribution is required. In Neoponera, a similar example occurring in this transitional region, i.e., southern Central America and northern South America, is possibly depicted by the gradation of striae on the petiolar node in N. mashpi Troya and Lattke populations: those from Central America show a tenuous nodal sculpture which is more clearly impressed in populations from South America (Troya and Lattke 2022).
The reader may use the following characters to distinguish these two variants from N. bugabensis. In parentheses are given the differential traits for the latter.
Variant – 1: 1) Head longer than broad in frontal view (vs. quadrate to subquadrate). 2) Antennal scape, when pulled posterad, exceeding posterior head margin by 2 – 2.5 times apical scape width (vs. 1.5 – 2 times). In a specimen from Valle del Cauca, Colombia (MUSENUV22595) the scape is even longer, exceeding said head margin by ca. 3 times apical scape width. 3) Petiolar node longer than high in lateral view (vs. relatively more symmetric). 4) Most erect hairs on body dorsum longer than maximum eye length (vs. mostly shorter).
Variant – 2. This form is very similar to variant – 1, including the head shape, antennal scape length, and length of erect hairs. The following characters, however, distinguish it from N. bugabensis: 1) Appressed pilosity pale yellowish, and that of gastral dorsum not entirely covering the integument (vs. intense golden and usually completely covering gastral integument). 2) Carina of dorsolateral margin of petiolar node relatively acute, somewhat similar to that in N. insignis (vs. blunt carina on dorsolateral nodal margin).
Neoponera bugabensis could be confused with the following five species in the N. foetida group: N. insignis (including the variant “villosa_cf2”), N. lineaticeps, N. theresiae, N. prasiosomis sp. nov., N. villosa. Of these, arguably N. insignis is very close phylogenetically to N. bugabensis (Troya et al. unpublished). Neoponera insignis and N. bugabensis occur in sympatry, at least in Costa Rica (Longino 2010), and N. villosa_cf2 is known from a single specimen from Darien, Panama. According to Longino (2010), and Mackay and Mackay (2010), N. insignis is identical to N. bugabensis, and these differ in the striae orientation of the mid clypeus: transverse on the former, and longitudinal in the latter. However, among the material examined, three specimens of N. insignis, a worker and queen from Parque Nacional Katios, Colombia (LACMENT142417), and a worker from Darién, Panama (JTL9077-1), carry longitudinal striae on the mid clypeus. This is another evidence supporting the hypothesis that clypeal striae are a plastic trait in Neoponera and should not be used in species diagnoses. Further evidence is presented under the treatment of N. curvinodis (see below), where more examples of clypeal striae variations are brought together for other species in the genus. Neoponera insignis is indeed nearly indistinguishable from N. bugabensis. The following features are helpful: 1) The head of N. insignis, as measured horizontally from eye to eye, is slightly broader than that of N. bugabensis, and apparently, as inferred from the few specimens examined (n = 4 ☿, 2♀) from Colombia, Costa Rica, and Panama, the eye does not break- but just reaches, or at most feebly exceeds the lateral head margin. In N. bugabensis the eye always exceeds such margin. 2) The antennal scape of N. insignis, when pulled posterad, exceeds the posterior head margin by one- or at most 1.5 times the apical scape width, while in N. bugabensis it always exceeds that margin by 1.5 up to 3 times the apical scape width. 3) The dorsoposterior nodal margin in N. insignis is carinate, with the carina relatively acute. In N. bugabensis that margin is usually blunt, especially in the Central American specimens, but apparently this is not always the case in populations from South America. Two queens from Ecuador, for example, one from Esmeraldas (MEPN38311), a site from the Chocó-Darién, and another from the Amazonian Parque Nacional Yasuní (MEPN34643) show a slightly acute nodal margin, less so however, than in N. insignis.
Neoponera lineaticeps is easily distinguishable from N. bugabensis just by examining the dorsum of head and the dorsoposterior nodal face which carry well-impressed longitudinal striae, especially those on head (Fig. 4a) which may also be referred as costae since these are thicker than those on the node. These striae (or costae) are absent in N. bugabensis.
Neoponera theresiae is distinguished from N. bugabensis in: 1) Showing longitudinally divergent striae on the proximal region of the mandibular dorsum (Fig. 6a). Neoponera bugabensis also bears striae on such region but these are significantly more attenuated. 2) Well-impressed striae are also present in N. theresiae laterally on the propodeum and petiolar node, as well as longitudinal, and irregularly shaped on the posterior nodal face. The body dorsum, of N. bugabensis, on the other hand, is virtually striae-less. 3) The head of N. insignis is somewhat circular-shaped rather than subquadrate as in N. bugabensis. This latter trait is perhaps the easiest way to separate both forms.
Neoponera prasiosomis sp. nov. has the following differing features as compared to N. bugabensis: 1) The eye is large as compared to head length, it represents at least 29% of that measure, while in N. bugabensis the eye mostly represents 27% or slightly less. 2) The cuticle of N. prasiosomis is greenish (holotype from Panama) or brownish (paratype from Ecuador), while the cuticle of N. bugabensis is usually black, or rarely castaneous in one specimen from Coclé, Panama (CASENT0632922). 3) Appressed hairs in N. prasiosomis are pale yellowish and less abundant, especially on the gastral dorsum, than those in N. bugabensis which are bright golden and abundant, so that the gastral cuticle is not easily discernible. 4) Neoponera prasiosomis is smaller than N. bugabensis (Fig. 12).
Neoponera villosa is larger than N. bugabensis (Fig. 12) and has a tumulus on the posterior petiolar node face. This structure is absent in N. bugabensis.
Neoponera insignis variant N. villosa_cf2 (Fig. 26) differs in the following from N. bugabensis: 1) The petiolar node is higher than long in lateral view, while in N. bugabensis is approximately symmetric. 2) The head and mesosomal cuticle are violaceous-black (see previous comment above about the cuticle of N. bugabensis). 3) The gaster is covered by abundant, relatively opaque, yellow hairs, so that the cuticle is virtually invisible (Fig. 26). Gastral hairs of N. bugabensis are golden bright and the cuticle is slightly discernible. 4) This is a small form (TLa = 8 mm), clearly smaller than N. bugabensis (TLa: 8.5 – 10.3, Fig. 12).
Distribution notes. The elevational range of N. bugabensis spans from nearly the sea level, mostly in lowland rain forests, up to about 2300 m in mountainous Andean humid forests. Examined records belong from a number sites in Central America and northwestern South America. Mackay and Mackay (2010) report also a site near Puerto Maldonado, southeastern Peruvian Amazon. Neoponera bugabensis has been collected in various ecosystem types, from the Oaxacan montane humid forests near the Gulf of Mexico, to the Talamancan montane, Isthmian Atlantic and Pacific forests in Central America, to the Colombian and Ecuadorian Chocó-Darien, and the Napo moist forests (Amazonian) Ecuador.
Natural history notes. See Mackay and Mackay (2010) and Longino (2010). From the present material: this arboreal species has been collected mostly in mature, well-preserved forests, using several techniques like fogging, pitfall, arboreal pitfall, and directly by hand, either in daylight or at night, this latter though through insecticidal canopy knockdown.
Material examined. 22☿️, 3♀. COLOMBIA – Nariño: • 1☿️; Altaquér, Reserva Natural Río Ñambí; 1.3, -78.0833; alt. 1351m; 2010-04-08; Flores, E. leg.; hand collected; (MEPN). – Risaralda: • 6☿️; Puerto de Oro; 5.2995, -75.8869; alt. 1500m; 1991-09-01; Fernández, F. leg.; (ICN). – Valle del Cauca: • 1☿️; Guandal; 3.893, -77.069; alt. 6m; 1998-02-03; Riascos, Y. leg.; (ICN). 1☿️; Km 18; 3.4, -76.5; (MUSENUV). 1☿️; Vereda Campo Alegre, R. Bravo; 3.8167, -76.5167; alt. 1413m; 1984-02-05; Cepeda, O. leg.; (ICN). COSTA RICA – Heredia: • 1☿️; 16km SE La Virgen; 10.2682, -84.0842; alt. 500m; 2001-04-11; ALAS leg.; (JTLC). 1☿️; La Selva Biological Station; 10.4333, -84.0167; alt. 50m; 1991-10-15; Longino, J. leg.; (INBC). – Limón: • 1☿️; Res. Biol. Hitoy Cerere; 9.6531, -83.0229; alt. 650m; 2015-06-11; Longino, J. leg.; (MUCR). ECUADOR – Esmeraldas: • 1♀; Reserva Ecológica Mache Chindul, Laguna de Cube; 0.3875, -79.65; alt. 434m; 2016/11; Troya, A. leg.; fogging; (MEPN). – Orellana: • 1♀; Parque Nacional Yasuní, Tiputini Biodiversity Station, 288 km SE Quito; -0.6319, -76.1442; alt. 230m; 2002-07-21; Erwin, T.; et al. leg.; fogging; (MEPN). 2☿️; Parque Nacional Yasuní, Tiputini Biodiversity Station, 288 km SE Quito; -0.6167, -76.1333; alt. 240m; 2002-07-21; Erwin, T.; et al. leg.; fogging; (MEPN). – Pichincha: • 1☿️; Puerto Quito; -0.1, -79.2667; 1984/07; Ponce, P. leg.; (QCAZ). HONDURAS – Comayagua: • 1♀; PN Cerro Azul Meámbar; 14.8693, -87.8979; alt. 1170m; 2010-05-22; LLAMA leg.; (JTLC). 1☿️; Parque Nacional Cerro Azul Meámbar; 14.8698, -87.8987; alt. 1120m; 2010-05-20; LLAMA leg.; (JTLC). MEXICO – Puebla: • 1☿️; 4km WNW Hueytamalco; 19.9567, -97.327; alt. 790m; 2019-06-15; Longino, J. leg.; (JTLC). NICARAGUA – Chontales: • 4km NE Cuapa; 12.2888, -85.3535; alt. 850m; 2011-04-20; Longino, J. leg.; hand collected; (JTLC). 1☿️; 4km NE Cuapa; 12.2888, -85.3535; alt. 850m; 2011-04-20; Longino, J. leg.; hand collected; (JTLC). PANAMA – Chiriqui: • 1☿️; Bugaba; 8.4833, -82.6167; alt. 350m; Champion leg.; (MHNG). – Coclé: • 1☿️; 6 km NNW El Copé, Parque Nacional Omar Torrijos; 8.6669, -80.5887; alt. 790m; Longino, J. leg.; hand collected; (JTLC). – Panamá: • 1☿️; Cerro Azul, Los Altos; 9.22, -79.41; alt. 838m; 1994-05-24; Smith, N.; Kassabian, R. leg.; (UCDC).
Geographic range. Southern Mexico: Puebla, Honduras, Nicaragua, Costa Rica, Panama, Colombia, Ecuador, Southern Peru*. *: Literature record.
Back_to_table_of_contents

4.2.2. Neoponera curvinodis (Forel 1899)

Figures. 7c (pronotum ☿); 8b, c (petiole ♀︎); 11a (propodeum♀︎); 18: a – e (☿); 30b (distribution).
Pachycondyla villosa curvinodis Forel, 1899:15. ☿ syntype, Guatemala, [Quetzaltenango province], Las Mercedes, Torola, Champion [leg.], MHNG [absent from collection]; ☿ syntype, Panama, [Chiriquí province] Bugaba, Volcan de Chiriqui, Champion, [leg.], (MHNG) [absent from collection].
Neoponera bactronica Fernandes et al. 2014: 136. Figs. 1 – 14, 106, 107 (☿, ♂). ☿ holotype, Brazil, Bahia, Ilhéus, CEPEC Genética, PI24 bis Phenotype 2, XI.1998, leg. D. Fresneau, (MZSP) [examined]; 5 ☿, 3 ♂ paratypes: ☿, same data as for the holotype, (INPA: INPA–HYM033260) [examined]; ☿, same data as for the holotype, except: #4905, 17.I.1995, leg. Arouca J., (NHMW) [not examined]; ♂, same data as for the holotype, except: CEPEC#4587, 15.X.1986, leg. P. Terra, (MZSP) [examined]; ♂, same data as for the holotype, except: CEPEC#4587, 23.II.1988, leg. P. Terra, (INPA: INPA–HYM033261) [examined]; ♂, same data as for the holotype, (CPDC) [not examined]; 2 ☿, same data as for the holotype, (CPDC) [not examined]; ☿, same data as for the holotype, except: CEPEC, 6.XI.2007, leg. A.F.R. Carmo & I. C. Nascimento, (MPEG) [not examined]. Syn. nov.
Neoponera billemma Fernandes et al. 2014: 140. Figs. 15 – 29 (☿, ♀︎). ☿ holotype, Brazil, Pará, Benevides, Morelândia, 16.VI.1988, leg. Bittencourt, (MZSP) [examined]; 1 ☿, 2 ♀︎ paratypes: ☿ Brazil, Goiás, 1980, leg. Kent Redford, #124, (INPA: INPA–HYM033262) [examined]; ♀︎, same data as preceding, (NHMW) [not examined]; ♀︎, Brail, São Paulo, Rio Claro, 22.VIII.2000, leg. D. Fresnau, (CPDC) [not examined]. Syn. nov.
Neoponera subversa Lucas et al. 2002: 256. Fig. 1c (☿). (nomen nudum, unavailable). Syn. nov.
neotype [present designation], Guatemala, Patulul [information on label hand written by A. Forel] (MHNG: MHNGENTO00097877) [image examined]. Note: material from A. Forel collection at MHNG; misidentified by him as N. villosa].
Combinations. In Neoponera: Emery, 1901: 47; in Pachycondyla: MacKay & MacKay, 2010: 297
Subspecies of Neoponera villosa: Forel, 1901: 45.
Status as species. MacKay & MacKay, 2010: 297 [redescription].
Senior synonym of Neoponera inversa: Emery, 1911: 73
Worker and queen diagnosis. Head rectangular, longer than broad, lateral head margin moderately straight, posterior head margin concave (Fig. 18a); antennal scape, when pulled posterad, exceeding posterior head margin by two times apical scape width, usually slightly more (Fig. 18b); posterolateral propodeal margin with raised carina, feebly crenulate (Fig. 18a, 11a), posterior propodeal face usually slightly concave dorsally, just in between propodeal carinae; in lateral view, anterior margin of petiolar node straight, inclined posterad, distal portion usually slightly curved anterad (Fig. 8b, 18a); in lateral view, posterior nodal margin convex, meeting anterodorsally with anterior margin in acute angle, ca. 45° (Fig. 8b); anterolateral nodal face usually feebly deflate, this is better discernible on the distal nodal portion (Fig. 8b, 18d).
Worker. Measurements (n = 64): HW: 2.12-2.91; HL: 2.38-3.28; EL: 0.56-0.85; SL: 2.44-3.25; WL: 3.94-5.03; PrW: 1.56-2.19; MsW: 1.0-1.44; MsL: 0.75-1.22; PW: 1.12-1.56; PH: 1.25-1.72; PL: 1.08-1.62; GL: 3.69-6.0; A3L: 1.47-2.09; A4L: 1.56-2.16; A3W: 1.81-2.31; A4W: 1.94-2.5; TLa: 10.79-13.91; TLr: 11.5-15.31. Indices. CI: 75.56-118.42; OI: 23.92-32.35; SI: 97.78-129.41; MsI: 108.57-140.74; LPI: 83.7-113.08; DPI: 85.42-115.79.
Queen. Measurements (n = 16): HW: 2.62-3.12; HL: 2.94-3.44; EL: 0.72-0.91; SL: 2.56-3.25; WL: 4.75-5.56; PrW: 2.0-2.56; MsW: 1.81-2.06; MsL: 1.65-2.62; PW: 1.38-1.75; PH: 1.45-1.88; PL: 1.25-1.69; GL: 4.81-6.69; A3L: 2.0-2.38; A4L: 2.0-2.41; A3W: 2.31-2.69; A4W: 2.44-2.84; TLa: 13.31-15.38; TLr: 13.94-17.12. Indices. CI: 88.24-97.87; OI: 24.47-31.82; SI: 93.18-107.14; MsI: 76.54-112.12; LPI: 80.7-98.11; DPI: 83.02-120.0.
Male. Described by Fernandes et al. (2014). The following is added to their diagnosis: notauli not touching posteriorly; shallow to absent anteromedian dorsal groove on propodeum, showing horizontal rugae; propodeum posterolaterally with blunt carina which does not reach dorsum; in lateral view, anterior margin of petiolar node mostly straight (it does not show the typical distally curved projection of workers and queens); lateral nodal margin feebly angulate, but this is hardly discernible since it bears abundant, slightly raised piligerous punctae; abundant yellow subappressed pilosity, most of which is arranged in groups of stacked hairs, like if they were combed; abdominal sternum VII flat to feebly concave, bearing appressed hairs though not abundant.
Figure 18. Neoponera curvinodis neotype. ☿ (MHNG: MHNGENTO00097877), Guatemala. a. Lateral view; b. Head in frontal view; c. Dorsal view; d. Petiole in anterolateral view; e. Collection labels. Note: A. Forel misidentified this specimen as N. villosa. Images by Bernard Landry, MHNG.
Figure 18. Neoponera curvinodis neotype. ☿ (MHNG: MHNGENTO00097877), Guatemala. a. Lateral view; b. Head in frontal view; c. Dorsal view; d. Petiole in anterolateral view; e. Collection labels. Note: A. Forel misidentified this specimen as N. villosa. Images by Bernard Landry, MHNG.
Preprints 144083 g018
Male. Measurements (n = 4): HW: 1.38-1.72; HL: 1.44-1.69; EL: 0.84-0.89; SL: 0.31-0.38; WL: 4.06-4.5; PrW: 1.62-1.75; MsW: 1.84-2.09; MsL: 2.31-2.5; PW: 0.78-0.88; PH: 0.94-1.09; PL: 1.06-1.19; GL: 5.0-5.62; A3L: 1.44-1.72; A4L: 1.56-1.81; A3W: 1.31-1.59; A4W: 1.81-2.0; TLa: 9.69-10.78; TLr: 12.0-12.88. Indices. CI: 92.59-105.77; OI: 50.91-61.36; SI: 20.0-22.73; MsI: 74.68-90.54; LPI: 103.03-120.0; DPI: 69.44-82.35.
Comments. Neoponera curvinodis is the largest species in the N. foetida group (Fig. 12; ☿ TLa = 10.8 – 13.9 mm; ♀︎TLa = 13.3 – 15.4 mm), and is the second largest in the genus after N. commutata Roger. Size variation in the worker caste is relatively large (SD = 0.69), and it is assumed something similar occurs in the queen, but few specimens were gathered and measured so as to reach a more solid conclusion.
Neoponera zuparkoi, N. villosa, and in particular N. inversa are morphologically most similar to N. curvinodis (see comparison further below). Their distinction can be daunting if diagnostic features are not carefully examined. Plasticity is prevalent in both N. curvinodis and N. inversa. Some variations like the shape and orientation of the mid clypeal striae, or the shape of the humeral carina and of the petiolar node can certainly obscure their taxonomic distinction. For example, the humeral carina can be well-developed and salient (Fig. 7c, 18c), or just feebly emerging from the cuticle.
The following three body regions are considered plastic in both workers and queens in Neoponera curvinodis, none of these variations are geographically correlated: the head lateral margin, the carina at the propodeal posterolateral margin, and the anterior margin of the petiolar node. The first two are less variable than the third. As for the lateral head margin, a moderately straight form (Fig. 18b) is dominant over a somewhat curved form (link). Both variations are usually imperceptible and can be detected only when examining numerous specimens representing a broad geographic range. The propodeal carina, on the other hand, is easier to distinguish, it may be clearly raised with weak crenulae (Fig. 11a, 18a), which is the most common form, or it may be just slightly raised with almost no signs of crenulae (Fig. 11b). The distal region of the anterior nodal margin may be curved anterad (Fig. 8b), or the margin is just slightly concave to straight distally (Fig. 8c). When the first state is present, the anterolateral nodal face is usually deflate. Both forms, concave or straight nodal margin, can be present in specimens obtained from the same collection events, and even from the same nest series (Fig. 8b, c). The degree to which the cuticle of the petiolar node is deflate or contracted is perhaps the clearest example of plasticity in this species, but also in N. inversa. We hypothesize this could be the result of a physiological condition since it is present even among nestmates. We assume it could be due to variations in individual development, maybe linked to factors like diet (Thompson 1999, West-Eberhard 2005). If this hypothesis is further tested and potentially supported, then the question would be ¿Why it is present only in these lineages, i.e., N. curvinodis and N. inversa, and not in, for example, N. villosa and N. zuparkoi which are closely related to them? If this is not supported, and physiology does not play a role here, another potential explanation would come from evolution itself, by considering instead these changes in morphology, especially on the node, an adaptive response over (unknown) selection pressures of the environment. However, since both species occur in sympatry, especially in several South American regions (Fig. 30b), interspecific gene flow may also play a part here. If this is the case, then populational analyses, using for example maternally-inherited genetic material, would be useful for identifying first-generation hybrids, also called F1. A recent study by Weyna et al. (2022), showed that ultraconserved elements can also be used to unveil hybridization history in non-model organisms. They also found that amongst a number of tested organisms, ants showed the highest number of F1 hybrids, which suggests higher rates of recent hybridization.
Whatever the causes involved for explaining this phenomenon in both species, such phenotypic plasticity likely was the source of confusion while identifying N. curvinodis from its very similar congeners, in particular with N. inversa. The following features of workers and queens of N. curvinodis, in combination with the taxonomic key, make easier their distinction: 1) The lateral head margin is moderately straight, so that the head outline is typically rectangular-shaped (slightly convex in N. inversa); 2) The posterolateral propodeal margin usually has a crenulate, raised carina (absent or weakly developed in N. inversa); 3) The petiolar node is relatively broad in lateral view: ☿ PL = 1.1 – 1.63 mm, with the dorsoposterior margin meeting with the anterior margin in 45° angle. In N. inversa the node is narrower: ☿ PL = 1 – 1.25 mm, with its dorsoposterior margin usually meeting with the anterior margin in 30° – 35° angle; 4) The anterolateral distal nodal face is deflate (frequently), or not deflate at all (rarely), while in N. inversa is always deflate, so that the nodal top seems more curved anterodorsad than in N. curvinodis; 5) Neoponera curvinodis is bigger (☿ TLa = 10.8 – 13.9 mm) than N. inversa (☿ TLa = 10.2 – 12.2 mm). Notes: 1. While identifying these two taxa it is recommended making a final decision based on these five characters together; 2. Although the range cited for the variables Petiolar Length (PL) and Total Length accurate (TLa) was obtained from a number of specimens and localities in the Neotropics, the reader may expect these limits to fall out of such ranges.
Both N. curvinodis and N. inversa are distinguishable from N. villosa by examining the shape of the petiolar node: In N. villosa the anterior margin is vertically straight or nearly so, and the convex dorsoposterior face has a tumulus, better discernible in lateral view (Fig. 2b). This tumulus is absent in N. curvinodis and N. inversa. Also, the anterior half of the nodal dorsal margin is almost horizontally straight in N. villosa, it meets in ca. 90° angle with its anterior margin, and the nodal top is convex, in lateral view. In N. curvinodis and N. inversa the nodal dorsal margin is always inclined posterad, and the nodal top is relatively acute.
Neoponera curvinodis is also very similar to N. zuparkoi, but the nodal shape of this latter is not deflate anteriorly, and has a tumulus on the posterodorsal face. The nodal shape of N. zuparkoi is almost identical to that of N. villosa (see prior paragraph). In addition, the humeral carina of N. zuparkoi is not salient, while in N. curvinodis is either strongly or feebly salient. The anterior mesopleural margin of N. zuparkoi has a protruding, anteroventrally directed cuticular lobe (Figs. 7a-b). Such region in N. curvinodis is only carinate as in all other members of the N. foetida group.
Justification for the neotype designation. The primary type material, which should be located in MHNG in Geneve, is absent from collection (Bernard Landry, pers. comm.). Since the worker syntype was collected by Mr. Champion, the other possible repositories for this specimen are the BMNH in London, or the USNM in Washington D.C. Information on this subject was requested to the BMNH and their online collections database was searched. The USNM ant collection was also examined. The type material is not vouchered in those institutions. Brian Fisher’s imaging team could not locate this type in other relevant insect collections either. Designation of a neotype is necessary since this form is barely distinguishable from its highly similar congener, N. inversa, but also from N. zuparkoi and N. villosa, although with relatively less degree of difficulty. The chosen neotype is a worker from Patulul in Guatemala, a site approximately 230 Km west Las Mercedes, the type locality of this species. This specimen was misidentified by Auguste Forel as N. villosa (hand written on original label, Fig. 18e), and its morphology matches that of other specimens collected in Costa Rica, which are part of his collection preserved in MHNG, and identified by him as N. villosa var. curvinodis. The newly designated neotype is well-preserved and potentially suitable for molecular analyses.
Neoponera bactronica and N. billemma as junior synonyms of N. curvinodis. Two sources of evidence support these synonymies:
1) The morphology of the examined type material of N. bactronica and N. billemma match the form of the presently designated neotype of N. curvinodis. The above shown variable body regions detected in N. curvinodis are also present in examined populations of the synonymized forms. Furthermore, the NMDS analysis based on 24 morphometric variables shows that specimens previously identified as N. bactronica, N. billemma, and N. curvinodis share almost all of their morphospace represented in the first two dimensions of the ordination with a strong stress value of 0.0893, thus indicating the observations are not randomly grouped (Fig. 19). These results are statistically supported by the pairwise contrast test which suggests these three forms are not different (p adjusted = 1). The global PERMANOVA analysis, on the other hand, rejected the null hypothesis that all observations are equal (p < 0.000999, 33% variance explained). This result is coherent with the taxa that share only some of their morphospace, this is, N. inversa and N. villosa, and does not apply to the other three forms which are grouped under the morphospace of a single species, here considered N. curvinodis.
Figure 19. Non-metric multidimensional scaling (NMDS) representing the distribution of specimens (icons) in the morphospace of some closely related species of the N. foetida group, two of which are here considered junior synonyms of N. curvinodis. Abbreviated letters represent the 24 morphometric variables involved in the analysis. The closer these are to the observations, the more relevant they are for explaining the observed ordination. Dashed circles represent the 95% confidence intervals.
Figure 19. Non-metric multidimensional scaling (NMDS) representing the distribution of specimens (icons) in the morphospace of some closely related species of the N. foetida group, two of which are here considered junior synonyms of N. curvinodis. Abbreviated letters represent the 24 morphometric variables involved in the analysis. The closer these are to the observations, the more relevant they are for explaining the observed ordination. Dashed circles represent the 95% confidence intervals.
Preprints 144083 g019
In addition, the diagnostic characters of both N. bactronica and N. billemma do not support their specific status. As for N. bactronica, the first two characters, namely “head strongly punctate on frontal face; notopropodeal groove strongly marked on dorsum” (Fernandes et al. 2014, pg. 136) are also present in all lineages of the N. foetida group. The dorsal punctae on the head are usually shown in combination with striae of differing depth degree. In Neoponera this trait is highly homoplastic, thus not useful for species diagnoses in most cases, except for few species in the N. aenescens group, like N. carbonaria (Smith) where the head dorsum is typically micropunctate. The second trait, the notopropodeal groove, shows little interspecific variation and is considered apomorphic in the N. foetida group. This trait is absent in almost all species of the N. crenata group, its siter clade, and is regained in the remaining Neoponera groups (Troya et al. unpublished). The third character “petiole without striae and longer than high in lateral view” (Fernandes et al. 2014, p. 136) is partially informative because the ratio of the nodal length vs its height is not intraspecifically constant. Also, most workers identified as N. bactronica have the node slightly higher than long as seen laterally, not longer than high as reported in Fernandes et al. (2014). Similar morphometric measurements were obtained in N. curvinodis and N. inversa. In N. villosa, the opposite pattern is found where the node is slightly longer than high, or rather symmetric. As for N. billemma, a pattern is impossible to discern since only two workers are known. However, the node of the paratype is also higher than long.
Current nodal morphometrics of N. curvinodis, N. inversa, and N. villosa match those of Lucas et al. (2002) for their morphospecies “Pvi2”, “Pvi1”, and “Pvv”, respectively. Lucas et al. (2002) believed Pvi2 belonged to a new species and provisionally called it “Pachycondyla subversa” (currently nomen nudum). Based on Forel’s (1899) illustration of N. curvinodis, specifically on the measurement of the petiolar node (height and length) and on the shape of the anterior margin, i.e., concave, Mackay and Mackay (2010) inferred that Pvi2 closely matches N. curvinodis. This is also supported here since the nodal shape of Pvi2 (Fig. 1c in Lucas et al. 2002) matches that of the neotype of N. curvinodis.
Therefore, if Pvi2 represents N. curvinodis (and not a new, but distinct species from N. inversa according to Mackay and Mackay 2010), then further erection of a new lineage (i.e., N. bactronica) was not required. Since N. curvinodis and N. inversa are so similar, commonly collected, and occur in sympatry in most regions for which we gathered specimens, it is crucial to first examine as much material as possible from their entire range. Examination of the type material is also very important, but also revising historical specimens identified by Forel.
Neoponera billemma, on the other hand, is diagnosed as a species with “Strong transverse striae on the [mid] clypeus; anterior face of petiole lightly striate below and concave” (Fernandes et al. 2014, p. 141). The first trait, the mid clypeal striae, is another plastic feature in Neoponera. Among the material thus far examined for the genus, these striae can vary intraspecifically with no detected geographical pattern. Although these striae are usually longitudinal in Neoponera, sometimes these are also: horizontal e.g., JTLC: INBIOCRI001281564 from Costa Rica (N. insignis); oblique, e.g., CPDC: AT570 from Bahia, Brazil (N. villosa); fingerprint-like, e.g., CPDC: AT922 from Distrito Federal, Brazil (N. curvinodis); mixed: horizontal and longitudinal, e.g., JTLC: CASENT0617097 from Honduras (N. bugabensis); or simply smooth, without striae, e.g., JTLC: JTL7597-S from Nicaragua (N. villosa). Out of the N. foetida group, the horizontally impressed striae also occur in for example, the N. crenata group: MZSP: MZSP123017 from Santa Catarina, Brazil (undescribed species). As for the second trait, “petiolar node lightly striate below”, cited as diagnostic for N. billemma in Fernandes et al. (2014), many specimens from all species in the N. foetida group show these striae in variable depth degree. Finally, the nodal anterolateral concavity is another plastic feature of N. curvinodis, as previously commented.
2) Phylogenetic evidence. The phylogeny of the genus based on ultraconserved elements recovered with high support (100 % bootstrap) N. curvinodis, N. inversa, and N. villosa as distinct but closely related lineages (Troya et al., unpublished). Neoponera zuparkoi and the morphospecies N. ecu2923 (see details further below under that species), emerge as sister to N. inversa, with low support, though. Santos et al. (2018) tested the specific status of the first three species and also included N. bactronica. Based on specimens from two regions of the Brazilian Atlantic Forest they sequenced two mitochondrial genes (CO1, 16S) and studied their karyotypes. They concluded these represent four distinct lineages. We agree with them except for N. bactronica which is grouped with N. curvinodis in the same clade (see their Fig. 2). Nonetheless, they suggested that N. bactronica and N. curvinodis diverged recently, and proposed further research on this issue. Mendoza-Ramírez et al. (2019) sequenced two mitochondrial genes (CO1, Cyt b) and eight nuclear microsatelites of the above species plus N. solisi and N. bugabensis. In their phylogeny N. curvinodis is sister to N. bactronica + N. villosa (Fig. 2 in their work). Neoponera bactronica, however, was represented by specimens from only two regions: a site in Mato Grosso (Brazil), and another from Colombia. Neoponera curvinodis was better represented by four specimens from: Chiapas (Mexico), Guatemala, Honduras, Nicaragua, and two from the same site in Mato Grosso. The authors showed that both N. bactronica and N. curvinodis have considerably high intraspecific genetic distances, up to 5.1% and 9.5 % for the CO1 and Cyt b, respectively, which is depicted in, for example, the long branch separating the Brazilian specimens from those of Colombia. They brought out two potential causes for this result: 1) A marked mitochondrial genetic structure which has been observed in other broadly ranged lineages, like Solenopsis saevissima (Smith), or 2) Each form could represent more than one species. Similarly, in the Neoponera phylogeny one N. curvinodis specimen (INPAHYM033801-2) from Santa Catarina, southern Brazil showed a significantly larger branch than its conspecific (DZUP549372) from Sergipe, northeast Brazil. The observed plasticity of this species probably mirrors its high intraspecific genetic distance, in particular between geographically divergent populations.
In this revision we cannot confirm nor deny a multispecies hypothesis to further understand the systematics of N. curvinodis. Yet, the present data set does not seem to favor a cryptic status since this taxon is now re-diagnosed, although showing some level of intraspecific variation among the proposed characters. This new diagnosis fits well in the phylogeny of Neoponera (Troya et al., unpublished) allowing distinction from its putatively closest species, N. inversa, N. villosa, and N. zuparkoi.
Natural history and distribution notes. See Mackay and Mackay (2010), and Fernandes et al. (2014). From the presently examined material: Neoponera curvinodis has been collected during daylight, in a variety of habitats from primary well-preserved, to second-growth, to relatively disturbed forests, using mostly canopy-aimed techniques like fogging, pitfall and arboreal Malaise, and less intensely through CDC, and mercury light trapping, Malaise, beating, sweeping, pan-trapping, Winkler, and hand collecting. Specimens and/or colonies have been found in Cinnamomum chavarrianum (Lauraceae), Miconia cinerascens, Clidemia hirta (Melastomataceae), Qualea grandiflora (Vochysiaceae), Theobroma cacao (Malvaceae) in agriculture systems, as well as in palms (e.g., Bactris spp.) and bromeliads. The elevational record extends from nearly the sea level up to 2300 m, this latter obtained in Cordillera del Cóndor, Ecuador. Neoponera curvinodis has been abundantly collected in the Atlantic Forest, and a number of records belong also from most Brazilian biomes except for the Pampa. Outside Brazil, records span from Amazonia, to the Venezuelan Cordillera de la Costa and Formación Lara-Falcón, to the Chocó-Darién and the Pacific and Atlantic lowland forests in Central America.
Material examined. 218☿️, 22♀, 15♂. BRAZIL – Acre: • 1☿️; Senador Guiomard; -10.0667, -67.6167; alt. 214m; 2014-05-31; Denicol, M. R.; Santos, A. M. leg.; arboreal pitfall; (DZUP). – Amapá: • 1♀; [no locality given]; 1.0, -52.0; 1978-10-22; Torres, M. leg.; (MPEG). 1☿️; [no locality given]; 1.0, -52.0; 1978-10-21; Torres, M. leg.; (CPDC). – Amazonas: • 1☿️; Br. 174, Km 44; -2.724, -60.0472; alt. 72m; 1994-11-17; Harada, A. leg.; (INPA). 1☿️; Carabinaui river; -2.5307, -62.1502; alt. 146m; 1995-04-28; Motta; et al. leg.; light trap; (INPA). 1♂; Liberdade river, Estirão da preta; -7.35, -71.8167; alt. 175m; 2011-05-11; Rafael, J.; et al. leg.; hand collected; (INPA). 1☿️; Manaus; -3.1167, -60.0167; alt. 65m; 1989-02-26; Vogh, R. leg.; (INPA). 1♀; Reserva Florestal Adolpho Ducke, Instituto Nacional de Pesquisas da Amazônia (INPA); -2.9167, -59.9833; alt. 65m; 2010-05-16; Belmont, E. leg.; (INPA). – Bahia: • 2☿️; 1.5 km E of Guaratinga; -16.5833, -39.7667; alt. 151m; 2002-12-06; Santos, J. R. M. leg.; baiting; (CPDC). 1☿️; 16 km N of Vitoria da Conquista; -15.0333, -49.9; alt. 752m; 2003-07-14; Carmo, J. C. S. leg.; (CPDC). 1☿️; 20 km E of Anadaraí; -12.7508, -41.1669; alt. 323m; 2001-03-16; Santos, J. R. M. leg.; (CPDC). 1♂; 3.3 Km N main entrance CEPLAC-CEPEC, Ilhéus-Itabuna road; -14.75, -39.2167; alt. 61m; 1986-10-15; Terra, P. leg.; (MZSP). 1♂; 3.3 Km N main entrance CEPLAC-CEPEC, Ilhéus-Itabuna road; -14.75, -39.2167; alt. 61m; 1988-02-23; Terra, P. leg.; (INPA). 1♀; 3.3 Km N main entrance CEPLAC-CEPEC, Ilhéus-Itabuna road; -14.7659, -39.2159; alt. 53m; 1999-01-28; Delabie, J. H. C. leg.; (CPDC). 1☿️; 3.3 Km N main entrance CEPLAC-CEPEC, Ilhéus-Itabuna road; -14.75, -39.2167; alt. 61m; 1998-11-01; Fresneau, D. leg.; (MZSP). 3☿️; 3.3 Km N main entrance CEPLAC-CEPEC, Ilhéus-Itabuna road; -14.75, -39.2167; alt. 61m; (CPDC). 1☿️; 3.3 Km N main entrance CEPLAC-CEPEC, Ilhéus-Itabuna road; -14.7659, -39.2159; alt. 53m; 2017-08-01; Carvalho, E.; Queiroz, J. leg.; Malaise; (CPDC). 1☿️; 3.3 Km N main entrance CEPLAC-CEPEC, Ilhéus-Itabuna road; -14.7659, -39.2159; alt. 53m; 2012-05-17; Silva, J. A. leg.; (CPDC). 1☿️; 3.3 Km N main entrance CEPLAC-CEPEC, Ilhéus-Itabuna road; -14.75, -39.2167; alt. 61m; 1998-11-01; Fresnau, D. leg.; (INPA). 1☿️; Andaraí; -12.8, -41.33; alt. 400m; 1993-01-01; Almeida, C. leg.; (CPDC). 1☿️; Andaraí; -12.758, -41.177; alt. 340m; 2001-03-16; Santos, J. R. M. leg.; (CPDC). 1♂; Fazenda Bom Jesus; -7.1397, -45.3467; alt. 214m; 1992-04-11; Cardoso, P. leg.; (INPA). 3☿️; Fazenda Bom Jesus; -7.1397, -45.3467; alt. 214m; 1992-02-10; Cardoso, P. leg.; (CPDC). 2☿️; Fazenda Bom Jesus; -7.1397, -45.3467; alt. 214m; 1992-04-11; Cardoso, P. leg.; (INPA). 3☿️; Fazenda Silêncio ; -13.8585, -40.0838; alt. 214m; 1997-12-02; Argolo, J. S. leg.; (CPDC). 1☿️; Ilhéus; -14.7972, -39.035; alt. 23m; 1988-09-27; Diniz leg.; hand collected; (DZUP). 1☿️; Indaiá; -14.52, -40.37; alt. 790m; 1988-02-04; Santos, J. R. M. leg.; (CPDC). 1☿️; Itabuna; -14.79, -39.28; alt. 60m; 2002-09-01; Santos, J. R. M. leg.; (CPDC). 1☿️; Itapebi; -15.9687, -39.5321; alt. 195m; 1980-04-11; Forbes; Benton leg.; (CPDC). 1☿️; Porto Seguro; -16.4455, -39.0658; alt. 3m; 1998-11-07; (CPDC). 1☿️; Porções; -14.52, -40.36; alt. 770m; 2004-01-25; Mariano, E. leg.; (CPDC). 1♂; Reserva Biológica do Una; -15.1768, -39.1053; alt. 108m; 2011-11-01; Sena, D. U. leg.; (CPDC). 1☿️; São Domingos, Praia do Norte ; -14.7466, -39.0627; alt. 5m; 1995-05-07; Delabie, J. H. C. leg.; (CPDC). 1☿️; São José, Chapada Diamantina; -11.4408, -39.8778; alt. 392m; 2001-03-22; Santos, J. R. M. leg.; Winkler; (CPDC). – Distrito Federal: • 1☿️; APA Gama Cabeça de Veado; -15.8667, -47.8333; alt. 1080m; (CPDC). 1☿️; Area de Proteção Ambiental Gama Cabeça de Veado; -15.8667, -47.8333; alt. 1080m; 2000-03-02; Mirelle, P. leg.; (DZUP). 1☿️; Area de Proteção Ambiental Gama Cabeça de Veado; -15.8667, -47.8333; alt. 1080m; 2000-02-01; Mirelle, P. leg.; (CPDC). 2♀; Brasilia; -15.8261, -47.9207; alt. 1080m; 1976-07-06; Diniz, J. leg.; (DZUP). 1☿️; Brasilia; -15.8261, -47.9207; alt. 1080m; 1976-07-06; Diniz, J. leg.; (DZUP). 1☿️; Fazenda Agua Limpa; -15.9488, -47.9342; alt. 1085m; 2007-05-24; Maravalhas, J. leg.; (CPDC). 1☿️; Parque Nacional de Brasilia; -15.7293, -47.9613; alt. 1120m; 2014-01-18; Sendoya, S. leg.; (DZUP). 1☿️; RECOR IBGE; -15.9163, -47.8672; alt. 1161m; 2017-11-01; Lasmar, C. leg.; pitfall; (DZUP). – Goiás: • 1☿️; 17 km NE of Jataí, Fazenda Rio Paraíso; -17.7333, -51.6167; alt. 891m; 2011-01-28; Diniz, J. leg.; pan trap; (DZUP). 1☿️; Açude; -17.8587, -51.727; alt. 788m; 2005-08-20; Paniago, G. leg.; (DZUP). 1♀; Fazenda Luziana; -17.8715, -51.7309; alt. 831m; 2002-05-08; Diniz.; et al. leg.; (DZUP). 1☿️; Fazenda Santa Lucia; -17.0635, -51.6155; alt. 537m; 2008-10-10; Diniz, J. leg.; (DZUP). 1☿️; Goiás; -15.8257, -49.836; 1970-01-01.000001980; Redford, K. leg.; (INPA). 1☿️; Parque Nacional Chapada dos Veadeiros; -14.0388, -47.623; alt. 1287m; 2003-02-01; Ribas, C.; Madureira, M. leg.; arboreal pitfall; (DZUP). 1♀; Parque Natural Municipal Mata Do Açude; -17.8605, -51.728; alt. 791m; 2005-11-12; Diniz, J. leg.; (DZUP). 1☿️; Parque Natural Municipal Mata Do Açude; -17.8605, -51.728; alt. 791m; 2005-12-21; (DZUP). 1☿️; Pequena Central Hidrelétrica (PCH) de Fazenda velha; -17.9706, -51.7627; alt. 623m; 2009-03-18; pan trap; (DZUP). – Mato Grosso: • 1☿️; Chapada dos Guimarães; -15.45, -55.7333; alt. 726m; 1983-11-27; (DZUP). 1☿️; Chapada dos Guimarães; -15.45, -55.7333; alt. 726m; 1983-07-08; (DZUP). 1☿️; Chapada dos Guimarães; -15.3, -55.9333; alt. 257m; 1983-12-04; (DZUP). 1♀; Colégio Agricultura Buriti, Chapada dos Guimarães; -15.45, -55.7333; alt. 726m; 1982-11-12; Zanuto, M. leg.; (MPEG). 1☿️; Sesc. Pantanal; -16.5083, -56.4161; alt. 135m; 2017-04-01; Lasmar, C. leg.; pitfall; (DZUP). – Mato Grosso do Sul: • 1♀; 28 km E of Bataiporã; -22.35, -52.9333; alt. 294m; 2012-12-03; Savaris, M.; Lampert, S. leg.; (DZUP). 1☿️; Dourados Rodovia Itahum Km 2; -22.221, -54.8055; alt. 445m; 2019-07-14; Santos,P.; et al. leg.; (DZUP). – Minas Gerais: • 1☿️; Boa Esperança; -21.0667, -45.6; alt. 845m; 2014-03-19; Queiroz; et al. leg.; pitfall; (DZUP). 1☿️; Chapada dos Guimarães; -15.3, -55.9333; alt. 308m; 1983-07-04; (DZUP). 1☿️; Fazenda Recife; -16.0167, -41.2667; 1989-07-21; Paiva, R. leg.; (MZSP). 1☿️; Itumirim; -21.2333, -44.8167; alt. 925m; 2014-02-19; Queiroz; et al. leg.; arboreal pitfall; (DZUP). 1☿️; Itumirim; -21.2167, -44.8333; alt. 925m; 2014-02-19; Queiroz; et al. leg.; arboreal pitfall; (DZUP). 1☿️; Itumirim; -21.2167, -44.8333; alt. 885m; 2014-02-19; Queiroz; et al. leg.; arboreal pitfall; (DZUP). 1☿️; Parque Estadual do Rio Preto; -18.1167, -43.3333; alt. 845m; 2017-11-01; Reis, A.; et al. leg.; pitfall; (DZUP). 1☿️; Pq. Floresta do Río Doce; -19.7, -42.7333; alt. 580m; 1989-09-23; Mel, G. A. R. leg.; (DZUP). 1♀; UFU, Campus Santa Mônica; -19.5167, -52.2667; alt. 870m; 2013-12-23; Bueno, B. leg.; (DZUP). – Paraná: • 1☿️; 7 km NW of Paranavaí, BR376 km 96; -23.0167, -52.5; alt. 486m; 2019-02-20; Azevedo, F.; Freitas, D. S. leg.; pitfall; (DZUP). 1♀; Antonina; -25.3, -48.7667; alt. 114m; 2014-03-02; Calixto, J.; Feitosa, R. leg.; (DZUP). 1☿️; Antonina; -25.3, -48.6833; alt. 25m; 2009-09-14; Donatti, A. J.; Souza, J. M. T. leg.; (DZUP). 1♀; Antonina centro; -25.4307, -48.7127; alt. 40m; 1966-01-19; Azevedo, M. leg.; (DZUP). 1☿️; Entorno do rio Brumado; -25.3402, -48.885; alt. 397m; 2017-10-18; Pinto, A.; et al. leg.; (DZUP). 1☿️; Foz do Iguaçu; -25.5, -54.5833; alt. 206m; 2000-08-20; Delabie, J. leg.; hand collected; (CPDC). 1♀; Instituto Agronômico do Paraná; -25.4, -49.25; alt. 963m; 1984-12-06; Malaise; (DZUP). 3☿️; Instituto Agronômico do Paraná; -25.4, -49.25; alt. 963m; 1985-12-27; Malaise; (DZUP). 2☿️; Instituto Agronômico do Paraná; -25.4, -49.25; alt. 963m; 1985-05-13; Malaise; (DZUP). 1☿️; Instituto Agronômico do Paraná; -25.4, -49.25; alt. 963m; 1984-12-10; Malaise; (DZUP). 1☿️; Instituto Agronômico do Paraná; -25.4, -49.25; alt. 963m; 1984-12-03; Malaise; (DZUP). 1☿️; Instituto Agronômico do Paraná; -25.4, -49.25; alt. 963m; 1985-05-17; light trap; (DZUP). 1☿️; Instituto Agronômico do Paraná; -25.4, -49.25; alt. 963m; 1985-01-21; Malaise; (DZUP). 1☿️; Instituto Agronômico do Paraná; -25.4, -49.25; alt. 963m; 1985-02-04; Malaise; (DZUP). 2☿️; Instituto Agronômico do Paraná; -25.4, -49.25; alt. 963m; 1985-01-06; Malaise; (DZUP). 2☿️; Instituto Agronômico do Paraná; -25.4, -49.25; alt. 963m; 1985-01-28; Malaise; (DZUP). 1☿️; Morretes; -25.4, -49.25; alt. 963m; 1985-02-25; Malaise; (DZUP). 1☿️; Ourizona; -23.4167, -52.2; alt. 457m; 2005-07-23; Barbosa, A. C. leg.; (DZUP). 5☿️; Parque Nacional Iguaçu, 19 Km SE Foz do Iguaçu; -25.65, -54.4333; alt. 225m; 2017-10-01; Troya, A. leg.; hand collected; (MEPN). 1☿️; Reserva Guaricica, Sede SPVS; -25.3136, -48.6956; alt. 6m; 2019-03-23; (DZUP). 1☿️; Reserva Natural Guaricica; -25.3, -48.6833; alt. 25m; 2010-01-14; Donatti, A. J.; Souza, J. M. T. leg.; (DZUP). 1☿️; Reserva Natural Guaricica; -25.3, -48.6833; alt. 25m; 2009-12-09; Donatti, A. J.; Souza, J. M. T. leg.; (DZUP). 1☿️; Reserva Natural Guaricica; -25.3, -48.6833; alt. 25m; 2010-12-12; Souza, J. M. T. leg.; (DZUP). 1☿️; Reserva Natural Guaricica; -25.3, -48.6667; alt. 110m; (DZUP). – Pará: • 1☿️; Benevides ; -1.35, -48.25; alt. 31m; 1988-06-16; Bittencourt, N. leg.; (MZSP). 1☿️; Fazenda Florentino; -7.1167, -55.3833; alt. 967m; 2010-12-12; Krinsk, D. leg.; pitfall; (DZUP). 1☿️; Floresta Nacional Caxiuanã; -1.7333, -51.45; alt. 21m; 2016-09-29; Silva, R.; et al. leg.; pitfall; (MPEG). – Pernambuco: • 1☿️; Tapera; -9.3898, -40.5146; alt. 381m; 1929-01-26; Pickel, B. leg.; (INPA). – Rio de Janeiro: • 2☿️; Ilha Grande; -23.1518, -44.2289; alt. 991m; 2013-11-18; Leponce, M.; Queiroz, J. leg.; (CPDC). 1☿️; [locality not given]; -22.9477, -43.212; alt. 280m; 1927-12-22; Conde, O. leg.; (INPA). – Rondônia: • 1♀; Ji-Paraná; -10.88, -61.95; 1984-07-15; Overal, W. leg.; hand collected; (MPEG). 1☿️; Reserva do INPA; -10.7, -62.2; 1985-03-29; Ramos, F. leg.; hand collected; (MPEG). – Roraima: • 1☿️; Parque Nacional Serra da Mocidade; 1.6, -61.9; alt. 600m; 2016-01-15; Xivier, F.; et al. leg.; (INPA). – Santa Catarina: • 1♀; Unidade de Conservação Ambiental Desterro-UCAD; -27.5167, -48.5; alt. 241m; (CPDC). 1♀; Unidade de Conservação Ambiental Desterro-UCAD; -27.5167, -48.5; alt. 241m; 2005-08-19; Zillikens, A. leg.; (INPA). 1☿️; Unidade de Conservação Ambiental Desterro-UCAD; -27.5833, -48.5333; alt. 22m; 2005-08-19; Schmid, V. leg.; (DZUP). 3☿️; Unidade de Conservação Ambiental Desterro-UCAD; -27.5167, -48.5; alt. 241m; 2005-08-19; Zillikens, A. leg.; (INPA). – Sergipe: • 1☿️; Santa Luzia do Itanhi; -11.4167, -37.4167; alt. 6m; 1993-10-05; Delabie, J. leg.; hand collected; (CPDC). 1☿️; São Cristovão; -10.9, -37.1833; alt. 21m; 1995-01-01; Feneron , R. leg.; (CPDC). 1♀; UFS; -10.9167, -37.1; alt. 7m; 2015-06-16; Cruz, N. G. leg.; (DZUP). 1☿️; Universidade Federal de Sergipe, Campus São Cristóvão; -10.9264, -37.1026; alt. 9m; Feneron, R. leg.; (CPDC). – São Paulo: • 1♀; 33 km SW of José Bonifácio, Rio Tietê; -21.2199, -49.9575; alt. 359m; 1979-09-02; Diniz, J. leg.; (DZUP). 3☿️; Eng. Schmitt; -20.8669, -49.31; alt. 517m; 1970-11-16; Diniz, J. L. M.; Caballero leg.; (DZUP). 1☿️; Estação Ecologica de Itirapina; -22.2144, -47.9234; alt. 770m; 2014-03-06; Sendoya, S. leg.; (DZUP). 1☿️; Fazenda Campininha; -22.2167, -47.1167; alt. 722m; 1977-05-27; (DZUP). 2☿️; Ilha dos pescadores (Ilha da Vitória); -23.75, -45.0; alt. 33m; 1964-03-24; D. Zoologia leg.; (MZSP). 2☿️; Instituto de Biociências, Letras e Ciências Exatas (Ibilce), UNESP; -20.7852, -49.3598; alt. 533m; 1996-10-25; Izzo, T. J. leg.; (DZUP). 1☿️; Iporanga; -24.5859, -48.5945; alt. 96m; 1961-11-01; Lenko, K.; Reichardt leg.; (INPA). 6♂; Mata de Santa Genebra; -22.8228, -47.1094; alt. 631m; 2009-11-01; Fernandes, I. leg.; (INPA). 1♀; Mata de Santa Genebra; -22.8228, -47.1094; alt. 631m; 2009-11-01; Fernandes, I. leg.; (INPA). 61☿️; Mata de Santa Genebra; -22.8228, -47.1094; alt. 631m; 2009-11-01; Fernandes, I. leg.; (INPA). 1☿️; Pratânia; -22.7667, -48.7333; alt. 657m; 2015-02-01; Veiga, P. A. S. leg.; (DZUP). 1♂; Ribeirão preto, Campos da USP; -21.166, -47.8499; alt. 605m; 2019-03-02; Glaser, S. leg.; (DZUP). 1☿️; Sete Barras; -24.3667, -47.9167; alt. 14m; 2004-07-11; Melo, G. leg.; Malaise; (DZUP). 1☿️; Sete Barras; -24.3667, -47.9167; alt. 14m; 2005-03-24; Melo, G. leg.; Malaise; (DZUP). 2☿️; Sete Barras; -24.3667, -47.9167; alt. 14m; 2005-01-08; Melo, G. leg.; Malaise; (DZUP). 1☿️; Severínia; -20.8062, -48.8092; alt. 579m; 1995-09-12; Fowler, H. G. leg.; (CPDC). 1☿️; Sitio Caranda; -22.0861, -48.1274; alt. 663m; 2016-12-01; Oliveira, J. leg.; CDC; (MPEG). 1♂; UNESP - Campus; -22.397, -47.5478; alt. 628m; 1999-11-01; Fresneau, D. leg.; (CPDC). 1☿️; UNESP - Campus; -22.397, -47.5478; alt. 628m; 1999-11-01; Fresneau, D. leg.; (CPDC). COLOMBIA – Chocó: • 3☿️; Estación Silvicultura al Bajo Atrato; 7.0406, -77.3378; alt. 149m; 1992-07-01; Mendoza, L. leg.; (MEPN). 1☿️; Estación Silvicultura al Bajo Atrato; 7.0406, -77.3378; alt. 149m; 1994-02-01; Ferro, L. leg.; (ICN). 1☿️; Parque Nacional Natural Los Katios, Centro administrativo Sautatá; 7.85, -77.1335; alt. 96m; 2003-05-20; Cansia, A. leg.; pitfall; (IAvH). – Nariño: • 1☿️; Tumaco; 1.7875, -78.7913; alt. 5m; 2015-09-16; (MEPN). – Valle del Cauca: • 1☿️; Anchicaya ; 3.616, -76.909; alt. 350m; 1970-11-01; (MUSENUV). 1♀; Bajo Anchicaya ; 3.689, -76.94; alt. 270m; 1983-03-01; Quintero, J. leg.; (MUSENUV). 2☿️; Bajo Anchicaya ; 3.689, -76.94; alt. 270m; 1983-03-01; Quintero, J. leg.; (MUSENUV). 1♀; Cali; 3.4, -76.5; 1983-02-01; Manzano, M. leg.; (MUSENUV). 1☿️; San Cipriano, Buenaventura; 3.84, -76.898; alt. 80m; 2002-02-28; Gutiérrez, C. leg.; (MUSENUV). 1☿️; San Cipriano, Buenaventura; 3.84, -76.898; alt. 80m; 2002-06-08; Gutiérrez, C. leg.; (MUSENUV). COSTA RICA – Limon: • 2☿️; Zent, 23 Km WNW Puerto Limón; 10.0167, -83.2667; alt. 21m; 1958-11-01; Lara, F. leg.; (MZSP). – Puntarenas: • 1☿️; 14 km E Palmar Norte; 8.95, -83.3333; alt. 120m; 1985-08-01; Ward, P. S. leg.; (PSWC). 1☿️; Parque Nacional Corcovado, Sirena Station; 8.533, -83.533; 1992-06-03; McDonald, M. J. leg.; (AMNH). ECUADOR – Manabi: • 1☿️; Estación Científica Río Palenque; -0.7333, -79.8; alt. 180m; 1980-12-29; Sandoval, S. leg.; (MZSP). – Napo: • 1☿️; Limoncocha; -0.3998, -76.6001; alt. 280m; 1972-06-30; Kazan, P. leg.; (QCAZ). – Zamora Chinchipe: • 2☿️; Paquisha alto, Hito 2, 15 Km SE Fruta del Norte, Cordillera del Cóndor; -3.9003, -78.4829; alt. 2325m; 2008-03-15; Troya, A. leg.; fogging; (MEPN). FRENCH GUIANA – Cayenne: • 1☿️; Base Vie; 5.1667, -52.65; alt. 10m; (CPDC). 1☿️; Montagne dês Chevaux; 4.7333, -52.4333; alt. 75m; 2011-11-19; Team, S. E. A. G. leg.; (DZUP). NICARAGUA – Región Autónoma del Atlántico Sur: • 1☿️; RN Kahka Creek; 12.671, -83.7175; alt. 30m; 2011-06-06; LLAMA leg.; Malaise; (JTLC). PANAMA – Colón: • 2♂; Bosque Protector San Lorenzo; 9.2833, -79.9667; alt. 13m; 2003-10-01; Dejean, A.; et al. leg.; (CPDC). 1♀; Bosque Protector San Lorenzo; 9.2833, -79.9667; alt. 13m; 2004-03-08; Pizon, S. leg.; Malaise; (CPDC). 1☿️; Bosque Protector San Lorenzo; 9.2833, -79.9667; alt. 13m; (CPDC). 1☿️; Bosque Protector San Lorenzo; 9.2522, -79.9894; alt. 96m; 2003-10-27; (CPDC). 1☿️; Bosque Protector San Lorenzo; 9.2833, -79.9667; alt. 13m; 2004-10-12; (CPDC). 1☿️; Bosque Protector San Lorenzo; 9.2833, -79.9667; alt. 13m; 2003-09-01; Schmidl, J. leg.; (CPDC). 1☿️; Bosque Protector San Lorenzo; 9.2833, -79.9667; alt. 13m; 2003-10-01; Dejean, A.; et al. leg.; (CPDC). 1☿️; Bosque Protector San Lorenzo; 9.2833, -79.9667; alt. 13m; 2004-02-17; Springae, N. D; Pizon, S leg.; Malaise; (CPDC). 2☿️; Bosque Protector San Lorenzo; 9.2833, -79.9667; alt. 13m; 2003-04-01; (CPDC). 1☿️; Bosque Protector San Lorenzo; 9.2833, -79.9667; alt. 13m; 2003-10-05; Kitching, R. leg.; Light trap; (CPDC). PERU – Cusco: • 1☿️; Quince Mil, km 8; -13.2167, -70.7167; alt. 633m; 2012-08-20; Cavichioli, R.; et al. leg.; Malaise; (DZUP).
Geographic range. Mexico (Chiapas)*, Guatemala, Honduras*, Nicaragua, Costa Rica, Panama, Colombia, Venezuela*, Guyana*, French Guiana, Ecuador, Peru, Bolivia*, Brazil (Acre, Amapá, Bahia, Distrito Federal, Espirito Santo*, Goiás, Maranhão, Mato Grosso, Mato Grosso do Sul, Minas Gerais, Pará, Paraná, Piauí*, Rio de Janeiro, Rondônia, Roraima, Santa Catarina, São Paulo, Sergipe), Paraguay*, Argentina (Misiones)*. *: Literature records.

4.2.3. Neoponera dismarginata (Mackay & Mackay 2010)

Figures. 2a (petiole ♀︎); 20: a – e (☿); 31a (distribution).
Pachycondyla dismarginata MacKay & MacKay, 2010: 301, Figs. 111, 256, 257. ☿ holotype, Costa Rica, Heredia Prov., 16 km. N Vol. (Volcán) Barba, 10°17’N, 84 05’W, 950 m., 4-14.vii.1986, J. Longino (leg.) #1380-S, wet forest, workers on vegetation, (MCZC: MCZ-ENT00036273) [image examined, link]. Paratypes: 3 ☿ [same data as for holotype], (INBC, MCZC, WEMC) [not examined]. Note: Collection data transcribed ipsis litteris directly from holotype label.
Combination in Neoponera: Schmidt & Shattuck, 2014: 151.
Status as species: Fernandes et al., 2014: 134.
Worker (and probably queen) diagnosis. Head longer than broad in frontal view; malar carina virtually absent, though a tiny longitudinal swelling combined with well-impressed rugae is present anteriorly (Fig. 20e); antennal scape very long, when pulled posterad exceeding posterior head margin by about four times apical scape width (Fig. 20c); eye relatively small (as compared to head length), distance from anterior eye margin to mandibular insertion slightly longer than maximum eye length (Fig. 20e); clypeus bearing well-impressed, irregular longitudinal striae, mid clypeus convex, relatively acute (Fig. 20c); humeral carina present, slightly acute anteriorly, not salient; mesosternal process highly reduced, stump-shaped; metasternal process well-developed as in all congeners of the N. foetida group, dorsally with longitudinal well-impressed striae; posterolateral propodeal margin convex, not carinate (Fig. 20a); petiolar node subtriangular in lateral view, anterior and posterior margins irregularly straight, posterior face convex, nodal top slightly anterior to vertical midline (Fig. 2a, 20a); lateral nodal carina completely absent (Fig. 2a); subpetiolar process with well-developed, acute cusp and relatively flat dome (Fig. 2a); prora very small, slightly discerned laterally, anteriorly blunt (Fig. 2a); appressed pilosity white-brownish, not abundant and composed of tiny hairs (in contrast to most other congeners of the group where these hairs are longer and abundant); cuticle light castaneous.
Worker. Measurements (n = 3): HW: 2.25-2.3; HL: 2.6-2.85; EL: 0.6-0.72; SL: 3.25-3.3; WL: 4.3-4.5; PrW: 1.5-1.75; MsW: 1.0-1.2; MsL: 0.85-0.95; PW: 1.1-1.15; PH: 1.3-1.4; PL: 1.25-1.3; GL: 4.25-4.9; A3L: 1.5-1.75; A4L: 1.75-1.9; A3W: 1.9-2.05; A4W: 2.0-2.05; TLa: 11.7-11.98; TLr: 12.65-13.2. Indices. CI: 80.7-86.54; OI: 26.67-31.09; SI: 141.3-146.67; MsI: 117.65-129.41; LPI: 89.29-100.0; DPI: 88.0-88.46.
Queen and male. Unknown.
Comments. In the N. foetida group, N. dismarginata is the second largest species after N. curvinodis (Fig. 12; ☿ TLa = 11.7 – 12 mm). Since only four specimens were examined, all of them basically equal, no inference about morphological variation is possible for this Costa Rican endemic. Some body features like the long antennal scape, the tiny feebly impressed malar carina, the shape of the node, among others, make this taxon very singular among its congeners in this species-group, but also among species in the genus. Thus, it is unlikely for it to be misidentified with other Neoponera. Only N. apicalis (Latreille) and N. obscuricornis (Emery) show a relatively similar node, but their integument is dull black and the head has large eyes, clearly larger than N. dismarginata. Mackay and Mackay (2010) point out that N. bugabensis and N. insignis show malar carinae which do not reach the anterior eye margin, and because of that they are “placed” with N. dismarginata. Nevertheless, the malar carina of the latter is so poorly developed that it hardly would be closely related to those species based just on this single trait. Longino (2010) mentions that the “cheeks” (= malar region) have distinct carinae which reach the anterior eye margin. This is a typo, however, since the image of a specimen (INBIOCRI002278957) shown just above Longino’s text depicts otherwise.
Figure 20. Neoponera dismarginata. ☿ (JTL: JTL9295). a. Lateral view; b. Dorsal view; c. Head in frontal view; d. Close-up of head in anterolateral view.
Figure 20. Neoponera dismarginata. ☿ (JTL: JTL9295). a. Lateral view; b. Dorsal view; c. Head in frontal view; d. Close-up of head in anterolateral view.
Preprints 144083 g020
Neoponera dismarginata is the putative sister lineage of N. solisi (Troya et al. unpublished), but it is quite different to it. The petiolar node of N. solisi is somewhat block-shaped in lateral view with scarce appressed pubescence and the posterior face is glabrous, while the node of N. dismarginata is subtriangular in lateral view and carries relatively abundant appressed pilosity.
Distribution notes. Populations of N. dismarginata apparently are not rare in Costa Rica from where it has been collected in a number of sites since 1984 up to 2015 according to AntWeb.org. It appears though that this is a true endemic for that region since no other records have been found in several other Central American countries where some sampling campaigns have been carried out (see for example the LLAMA and ADMAC projects led by J. Longino)
Natural history notes. See Longino (2010).
Material examined. 4☿️. COSTA RICA – Heredia: • 1☿️; 16km N Vol. Barba; 10.2833, -84.0833; alt. 950m; 1986-07-09; (MCZC). – Limón: • Cerro Platano, 26km WSW Limón; 9.8682, -83.2408; alt. 1140m; 2015-06-16; Longino, J. leg.; hand collected; (MUCR). 1☿️; Cerro Platano, 26km WSW Limón; 9.8682, -83.2408; alt. 1140m; 2015-06-16; Longino, J. leg.; hand collected; (MUCR). – Puntarenas: • 2☿️; Wilson Botanical Garden, 4km S San Vito; 8.7833, -82.9667; alt. 1200m; 1990-03-22; Longino, J. leg.; (JTLC).
Geographic range. Costa Rica.

4.2.4. Neoponera fisheri (Mackay & Mackay 2010)

Figures. 1a (head ♀︎); 21: a – c (♀︎); 31a (distribution).
Pachycondyla fisheri MacKay & MacKay, 2010: 328, Figs. 30, 32, 34, 278, 279, 293, 451- 454. ☿ holotype, Panama, Colon Prov., Santa Rita Ridge, 9°21’N, 79°47’W, 250 m., 24.iii.189, B.L. Fisher (leg.), rain forest ex Cecropia hispidissima, (CASC: CASENT092338) [image examined, link]. Paratypes: 9 ☿, 6♀, 2 ♂︎, [same data as for holotype], (CASC, GFMP, IAVH, MCZC, USNM, WEMC) [not examined]. Note: Paratype from IAVH absent from collection.
Combination in Neoponera: Schmidt & Shattuck, 2014: 151.
Worker and queen diagnosis. Head subtrapezoidal, narrowed anteriorly; masticatory margin of mandible with eight to nine teeth, gradually decreasing in size, denticles absent, except for one proximal (Fig. 21b); eye, especially on workers, less globose than in all other congeners in the N. foetida group, and placed slightly anteriorly on head; mid clypeus strongly concave, somewhat like harelip (Fig. 21b); antennal scape, when pulled posterad, fails to reach posterior head margin by about one apical scape width (Fig. 1a, 21b); malar carina present but tiny, feebly protuberant anteriorly (Fig. 1a, 21b); humerus weakly marginate anteriorly, particularly on worker, but a true carina is absent; notopropodeal groove cross ribbed in workers only; mesopleural groove tenuously impressed on workers, and vestigial on queens (Fig. 21a); meso- and metasternal processes well-developed, fang-shaped; in lateral view, petiolar node somewhat block-shaped with broadly curving margin posteriorly in workers (link), and subtriangular in queens, with convex top (Fig. 21a); posterolateral nodal margin lacking carina (Fig. 21a); posterior nodal face glabrous (Fig. 5a); subpetiolar process smooth, lacking horizontal striae, instead bearing one or two longitudinal carinae; pale yellowish appressed pilosity although covering body surface, formed by fine, thin hairs, so that cuticle is clearly discerned.
Figure 21. Neoponera fisheri. ♀︎ (PSWC: CASENT0843089), Panama, Coclé. a. Lateral view; b. Head in frontal view; c. Dorsal view.
Figure 21. Neoponera fisheri. ♀︎ (PSWC: CASENT0843089), Panama, Coclé. a. Lateral view; b. Head in frontal view; c. Dorsal view.
Preprints 144083 g021
Worker. Measurements (n = 1): HW: 2.6; HL: 2.75; EL: 0.65; SL: 1.9; WL: 4.25; PrW: 1.6; MsW: 1.3; MsL: 1.1; PW: 1.35; PH: 1.15; PL: 1.2; GL: 5.09; A3L: 1.65; A4L: 1.95; A3W: 1.95; A4W: 2.25; TLa: 11.8; TLr: 13.29. Indices. CI: 94.55; OI: 25; SI: 73.08; MsI: 118.18; LPI: 104.35; DPI: 112.5.
Queen. Measurements (n = 1): HW: 2.75; HL: 2.85; EL: 0.8; SL: 2.1; WL: 4.55; PrW: 2.2; MsW: 1.2; MsL: 0.8; PW: 1.5; PH: 1.2; PL: 1.2; GL: 5.66; A3L: 2.0; A4L: 2.15; A3W: 2.15; A4W: 2.5; TLa: 12.75; TLr: 14.26. Indices. CI: 96.49; OI: 29.09; SI: 76.36; MsI: 150; LPI: 100; DPI: 125.
Male. Described by Mackay and Mackay (2010).
Comments. Neoponera fisheri is a relatively large species in the N. foetida group (Fig. 12). Few specimens are known, all of them collected in three sites from Panama (AntWeb.org), their body color varies from castaneous to black. Besides this, the overall morphology seems to be quite similar among the scant material available. Nevertheless, a queen from Coclé (CASENT0843089) shows a mid-clypeal triangular-shaped concavity carrying horizontal striae in frontal view, which is different from the equivalent structure in a worker from Nusagandi (MZSP) where this concavity is subrectangular and lacks striae. In addition, this same worker shows an anterior tiny ocellus (about two times smaller than those of the queen) and two posterior ocellar pits (see below a discussion about this).
Neoponera fisheri is another peculiar species in terms of morphology in the N. foetida group. Mackay and Mackay (2010) believed this as a possible link between species in the N. aenescens and the N. foetida groups. They placed N. fisheri in the former although without certainty, and further suggested that it may deserve its own complex. Mackay and Mackay’s view about this species was in some way accurate because it is “almost” a link between two species-groups, but these are the N. crenata and the N. foetida groups. In the phylogeny of the genus, N. fisheri is placed at the base of the latter clade, and sister to all species in it (Troya et al., unpublished). From an evolutionary perspective, this placement makes sense since this lineage shares scant traits with its clade partners, namely the shape of head sculpture, and the fang-shaped metasternal process with broad lobes. Of these, only the latter is considered apomorphic between all species in the N. foetida group. Nevertheless, even with a well-supported phylogeny at hand we would refrain to suggest that the morphology of N. fisheri depicts the ancestral features of the remaining clade members. Whether these unusual features, like the short antennal scapes (unique among species in the genus), the strongly concave mid clypeus, the fused mesopleural plates of the queen, among others, represent ancestral states which have been lost in all other species of the group, or may these traits be independently gained as a function of the environment, for example through adaptive speciation, is a topic which warrants further research.
Out of the N. foetida group, another species with unique morphology features (among its clade partners) is N. luteola which belongs to the N. crenata group. Interestingly, some body regions of both N. fisheri and N. luteola are similar, like the outline of the head bearing somewhat flat eyes (less globose than in most other Neoponera belonging to these two sister clades), the shape and sculpture of the node, and the shape of the mesosoma. Current evidence supports a potential partnership between Neoponera luteola and some Cecropia plants in South America (Gutiérrez-Valencia et al. 2017). No (sufficient) evidence is still available for N. fisheri but it could well represent a similar case since specimens were collected inside Cecropia plants in different sites and years in Panama.
Natural history notes. Almost nothing is known about the biology and ecology of N. fisheri. The labels of the two examined specimens show that the worker and other nestmates (queen and larva) were collected by Phil Ward in three adjacent internodes of a Cecropia insignis (Urticaceae). The other group of individuals, consisting of the type material which was not physically examined here, was collected by Brian Fisher inside a C. hispidissima.
In regards to the ocellus observed in the worker from Nusagandi: ocelli-bearing workers is a relatively rare condition in Neoponera, but it has been seen in for example, members of the N. apicalis (N. apicalis, N. cooki), and N. aenescens groups (N. aenescens, N. carbonaria), being more frequent in N. cooki. Ocelli are usually found in worker ants which show crepuscular and night foraging behavior; these allow them capturing more light in dimly lit conditions (Narendra and Ribi 2017). In contrast to members of the N. apicalis and N. aenescens groups which are predominantly epigeic, where light incidence on the forest floor is reduced as compared to upper forest strata, most species in the N. foetida group, including N. fisheri, are arboreal. Apparently, the ocelli in workers of this group are quite rare, and thus far, has not been seen in workers of the arboreal N. crenata group, except for few specimens of N. goeldii (pers. obs.). Neoponera goeldii is arguably a nocturnal arboreal forager (Orivel et al. 2000). Perhaps, some N. fisheri workers forage at dawn or during the night, more frequently though than others with different schedule in their foraging behavior. Longino ( 2010) observed N. dismarginata workers in Costa Rica foraging at night. However, ocelli are thus far apparently absent from workers of this latter species.
Material examined. 3☿️, 2♀, 1♂. PANAMA – Coclé: • 1♀; 6 km NNW El Copé, Parque Nacional Omar Torrijos; 8.6719, -80.595; alt. 840m; 2015-01-22; Ward, P. S. leg.; hand collected; (PSWC). 1☿️; 6 km NNW El Copé, Parque Nacional Omar Torrijos; 8.6719, -80.595; alt. 840m; 2015-01-22; Ward, P. S. leg.; hand collected; (DZUP). 6 km NNW El Copé, Parque Nacional Omar Torrijos; 8.6719, -80.595; alt. 840m; 2015-01-22; Ward, P. S. leg.; hand collected; (DZUP). – Panama: • 1☿️; 42km W of Tupile, Reserva Nusagandi; 9.3489, -78.966; alt. 346m; 1989-10-26; Fisher, B. leg.; hand collected; (MZSP). 1♂; Puerto Colón, Santa Rita ridge; 9.35, -79.7833; alt. 250m; 1989-03-24; Fisher, B. leg.; hand collected; (UTEP) [image from AntWeb]. 1♀; Puerto Colón, Santa Rita ridge; 9.35, -79.7833; alt. 250m; 1989-03-24; Fisher, B. leg.; hand collected; (UTEP). 1☿️; Puerto Colón, Santa Rita ridge; 9.35, -79.7833; alt. 250m; 1989-03-24; Fisher, B. leg.; hand collected; (CAS).
Geographic range. Panama.

4.2.5. Neoponera foetida (Linnaeus, 1758)

Figures. 3a (petiole ☿); 22: a – c (♀︎); 31b (distribution)
Formica foetida Linnaeus, 1758: 582 ♀︎ “America meridionali” [no locality given], Rolander [leg.], (ZMLS) [absent from collection].
Combinations. In Ponera: Smith, 1858: 95; in Pachycondyla: Roger, 1863: 18; Brown, 1995: 305; in Neoponera: Emery, 1901: 47; Schmidt & Shattuck, 2014: 151.
Status as species. Linnaeus, 1767: 965; Roger, 1860: 312 [redescription]; MacKay & MacKay, 2010: 332 [redescription].
Neoponera pedunculata Smith, 1858: 96. Syn. nov.
Senior synonym of Neoponera lobata: Retzius 1783: 75.
Worker and queen diagnosis. Head subrectangular; antennal scapes, when pulled posterad, exceeding posterior head margin by about 1.5 times apical scape width; humeral carina salient, shelf-like (Figs. 7c, 22a); petiolar node block-shaped, with dorsal margin horizontally straight up to about the mid region and immediately broadly curving posterad, anterior margin mostly straight (Figs. 3a, 22a); node covered by usually gross horizontal striae, except by mid ventral region on lateral face (Fig. 3a); prora keel-shaped, tip usually acute, directed ventrad.
Worker. Measurements (n = 12): HW: 2.0-2.45; HL: 2.2-2.75; EL: 0.6-0.75; SL: 1.9-2.55; WL: 3.45-4.45; PrW: 1.5-1.9; MsW: 0.8-1.1; MsL: 0.75-0.97; PW: 1.1-1.5; PH: 0.9-1.46; PL: 0.95-1.19; GL: 3.7-4.44; A3L: 1.25-1.75; A4L: 1.35-1.85; A3W: 1.35-2.15; A4W: 1.5-2.2; TLa: 9.2-11.75; TLr: 10.3-12.46. Indices. CI: 86.96-98.0; OI: 25.53-35.0; SI: 95.0-107.5; MsI: 94.12-122.22; LPI: 79.4-127.78; DPI: 100.0-136.36.
Figure 22. Neoponera foetida. ♀︎ (MPEG: ATPFOR1848), Brazil, Amazonas. a. Lateral view; b. Head in frontal view; c. Dorsal view.
Figure 22. Neoponera foetida. ♀︎ (MPEG: ATPFOR1848), Brazil, Amazonas. a. Lateral view; b. Head in frontal view; c. Dorsal view.
Preprints 144083 g022
Queen. Measurements (n = 2): HW: 2.2-2.75; HL: 2.45-2.8; EL: 0.6-0.7; SL: 2.25-2.75; WL: 4.25-5.09; PrW: 1.75-2.2; MsW: 1.0-1.65; MsL: 0.7-1.75; PW: 1.4-1.55; PH: 1.15-1.2; PL: 1.25-1.25; GL: 4.3-5.66; A3L: 1.5-1.95; A4L: 1.6-2.2; A3W: 2.1-2.3; A4W: 2.2-2.45; TLa: 11.05-13.29; TLr: 12.25-14.8. Indices. CI: 89.8-98.21; OI: 25.45-27.27; SI: 100.0-102.27; MsI: 94.29-142.86; LPI: 104.17-108.7; DPI: 112.0-124.0.
Male. Unknown.
Comments. Neoponera foetida is a medium-sized taxon in the N. foetida group (Fig 12; (☿ TLa = 9.2 – 11.75 mm; ♀︎TLa = 11 – 13.29 mm). Because of the coarse striae covering most of the petiolar node, this species is fairly easy to distinguish from all others in the group. Another potentially apomorphic populational trait is the salient humeral carina, which is slightly less protruding in specimens from Central America than those from South America. Other than that, the overall morphology of N. foetida is typical of this group, and it shows closer resemblance to the morphology of N. villosa, N. curvinodis, N. inversa, and N. zuparkoi, with which it forms a clade (Troya et al., unpublished).
This is the only species in the N. foetida group for which, thus far there are no clues about the location of the primary type material for any caste, except for the male which is still unknown. The ZMLS collection in Sweden could be a probable candidate, however, while writing this manuscript the museum staff confirmed to us it is not there either (ZMLS staff, pers. comm.). Roger (1860) redescribed this species based on a queen but this is also apparently lost since it is not vouchered at the MNHU collection. Despite the nodal striae being conspicuous in N. foetida, these are almost identically displayed on the node of at least two other Neoponera: N. striatinodis (Emery) and an unidentified Neoponera from Orellana, Ecuador, which belongs to the N. crenata group (collection codes: MEPNINV3375, MEPNINV28815). Neoponera foetida is today relatively easy to identify, but probably it was not in the past due to the scarcity of reference specimens in collections. It is thanks to Roger’s (1860) redescription and to De Geer's (1773) illustration of the nodal striae of N. lobata (currently senior synonym of N. foetida) that this species is now identifiable, and most importantly, diagnosable. For this reason, no attempt is made here to designate a neotype. The reader can use the present diagnosis and taxonomic key to recognize this species. Fernandes et al. (2014), Mackay and Mackay (2010), and AntWeb.org images (link) are also useful resources.
Natural history notes. See Longino (2010), and Mackay and Mackay (2010). Although some of the examined records suggest this species could be adapting to relatively anthropized environments, for example, grasslands, near pasture zones, and even in major cities, the frequency of these captures is still relatively low. Well-preserved, mature, and second-growth forests seem to host more populations of N. foetida than those impacted by humans. This is more apparent in southern Central America, and in northern and central South America. Thus far, the last trace for this species in South America is central Mato Grosso (Fig. 31b). Surprisingly, while writing this manuscript, we noted that the holotype of N. pedunculata Smith, 1858, which here is designated as junior synonym of N. foetida, is a very old specimen from Rio de Janeiro, Brazil, presumably collected before the 20th Century; this specimen is vouchered at the BMNH collection. According to AntCat.org (2022) there is another, also very old specimen preserved in OXUM, in London, which matches the traits of N. pedunculata. However, no collection data is provided on the label of that specimen, only the word “pedunculata”. Current specimen records of N. foetida represented in those directly examined here, which were also validated from AntWeb, and Antmaps, and from other confident literature sources that were used to represent the distribution of this species (see under references and map), suggest that populations of N. foetida are no longer encountered in nature in the Atlantic Forest, where they hypothetically used to inhabit in the past. We consulted a number of researchers in ant taxonomy and ecology, most of them Brazilians who have spent years collecting in various regions of the Atlantic Forest. They confirmed being unaware of no recent, nor past collections or sightings of this species in such biome. From any species in Neoponera, this could be the first confirmed case of a local extinction in the continent. Future field campaigns in this major Brazilian ecoregion may further inform about this concern.
Material examined. 40☿️, 6♀. BRAZIL – Amazonas: • 1☿️; 5 Km SW Alvarães; -3.2695, -64.823; alt. 70m; 1993-09-23; Gorayeb, I.; Silveira, O. leg.; Malaise; (MPEG). 1☿️; Fazenda Universidade Federal do Amazonas - UFAM; -2.6458, -60.0408; alt. 91m; 2011-08-02; Fernandes, I. leg.; (INPA). 1♀; Mamirauá; -3.0333, -64.85; alt. 51m; 1993-09-25; Gorayeb, I.; Silveira, O. leg.; arboreal Malaise; (MPEG). 1☿️; Mamirauá; -3.0333, -64.85; alt. 51m; 1994-06-14; Gorayeb, I.; Silveira, O. leg.; arboreal Malaise; (MPEG). – Mato Grosso: • 1☿️; 65 Km S Sinop; -12.5167, -55.6167; alt. 430m; 1974/10; Alvarenga, M.; Roppa leg.; (MPEG). 1☿️; Sapezal, Fazenda Tupanci; -13.5479, -58.8161; alt. 560m; 2017-12-11; Ferreira, J. leg.; pitfall; (DZUP). – Pará: • 1♀; Belém; -1.45, -48.4833; alt. 26m; 1992-01-08; Torres, M. leg.; (MPEG). 1☿️; Cuiú-Cuiú; -5.9167, -56.5667; alt. 160m; 2018-06-18; Siqueira, E. leg.; arboreal pitfall; (MPEG). 1☿️; Mocambo Reserve; -1.4333, -48.4; alt. 29m; 1977-09-15; Torres, M. leg.; (MPEG). 1☿️; Tucuruí; -3.7655, -49.6702; alt. 35m; 1929-03-02; Overal, W. leg.; (MPEG). 1☿️; Xingu river, right shore; -3.8519, -51.8523; alt. 173m; 2001-03-03; Santos, R.; Dias, J. leg.; (MPEG). 1☿️; Xingu river, right shore; -3.8519, -51.8523; alt. 173m; 2001-03-11; Maciel, C..; Dias, J. leg.; arboreal Malaise; (MPEG). – Rio de Janeiro: • 1☿️; Constancia; -22.9, -43.2; (BMNH). – Rondônia: • 1♀; St. Elena River, left shore; -10.9023, -62.168; alt. 230m; 1985-03-20; Torres, M. leg.; (MPEG). COLOMBIA • 1♀; Leticia; 4.2, -69.93; alt. 80m; (ICN). – Antioquia: • 1☿️; Parque Nacional Natural Las Orquídeas; 6.549, -76.283; alt. 985m; 1976-10-21; Amat, G. leg.; (IAvH). – Caqueta: • 1☿️; Araracuara; 2.399, -72.282; alt. 140m; 1988-11-15; Fernández, F. leg.; (IAvH). – Cauca: • 1☿️; Parque Nacional Natural Gorgona; 2.966, -78.183; alt. 30m; 25/5/2001; Duque, R. leg.; (IAvH). 1☿️; Parque Nacional Natural Gorgona, Alto El Mirador; 2.9667, -77.1833; alt. 180m; 2000-03-01; Sharkey, M. leg.; Malaise; (IAvH). – Valle del Cauca: • 1☿️; Bajo Calima; 3.998, -76.975; alt. 30m; 1996-05-17; hand collected; (MUSENUV). 1☿️; Cali, km 18; 3.4, -76.5; 2003-02-08; Mazo, A. leg.; (MUSENUV). 1☿️; Córdoba, San Cipriano; 3.84, -76.898; alt. 80m; Chacón, P. leg.; (MUSENUV). 1☿️; Guandal, R. Yurumangui; 3.265, -77.12; alt. 6m; 1998-01-28; Riascos, F. leg.; (IAvH). 1♀; Laguna de Sonso; 3.861, -76.349; alt. 930m; 2000-10-07; Mogollon, J. leg.; (MUSENUV). ECUADOR – Guayas: • 1☿️; Bosque Protector Cerro Blanco, Quebrada Condor; -2.1333, -80.0833; alt. 223m; 2016/11; Troya, A. leg.; pitfall; (MEPN). 1☿️; Bosque Protector Cerro Blanco, Quebrada Condor; -2.1333, -80.0833; alt. 223m; 2016/11; Troya, A. leg.; fogging; (MEPN). – Los Rios: • 1☿️; C. R. R. Palenque; -1.432, -79.752; alt. 27m; 1977-03-02; De Vries, T. leg.; (QCAZ). – Morona Santiago: • 1☿️; Reserva Wisui, Cordillera del Cutucú; -2.1, -77.7333; alt. 657m; 2008-02-28; Simbaña, M. leg.; Malaise; (MEPN). – Orellana: • 1☿️; Estación Chiruisla; -0.6139, -75.8761; alt. 200m; 2005-09-15; Donoso, D. leg.; fogging; (QCAZ). 1☿️; Parque Nacional Yasuní, 32 Km SSE Limoncocha, Onkonegare Km 39 Pompeya Sur; -0.658, -76.452; alt. 216m; 1995-07-03; Erwin, T.; et al. leg.; fogging; (MEPN). 1☿️; Parque Nacional Yasuní, 32 Km SSE Limoncocha, Onkonegare Km 39 Pompeya Sur; -0.658, -76.452; alt. 216m; 1994-06-21; Erwin, T.; et al. leg.; fogging; (MEPN). FRENCH GUIANA – Cayenne: • 2☿️; 12km East from the village of Sinnamary. Paracou Station; 5.2667, -52.9167; alt. 50m; 1996/11; Corbara, B.; et al. leg.; (CPDC). 1☿️; Mont Kaw, Relais de Patawa; 4.55, -52.6667; alt. 300m; 2005/11; Cerda, J. A. leg.; Malaise; (CPDC). – Saint-Laurent-du-Maroni: • 1♀; Belvedere de Saul; 3.6167, -53.2; alt. 326m; 2011-05-20; Team, S. E. A. G. leg.; (DZUP). 1☿️; Belvedere de Saul; 3.6167, -53.2; alt. 326m; 2011-10-23; Team, S. E. A. G. leg.; (DZUP). 1☿️; Itoupe, P6; 3.1222, -53.9932; alt. 600m; 2014-11-15; Orivel, J.; Fichaux, M. leg.; Pitfall72h; (EcoFoG). PANAMA – Colón: • 1☿️; Bosque Protector San Lorenzo; 9.3167, -80.0; alt. 20m; 2005-09-05; (DZUP). 1☿️; Bosque Protector San Lorenzo; 9.2833, -79.9667; alt. 13m; (CPDC). 3☿️; Bosque Protector San Lorenzo; 9.283, -79.966; alt. 16m; 2003-10-01; Dejean, A.; et al. leg.; (CPDC). 2☿️; Bosque Protector San Lorenzo; 9.283, -79.966; alt. 16m; 2004-02-28; Springae, N.; Pinzon, S. leg.; Malaise; (CPDC). – Darién: • 1☿️; 7 km SW Platanilla; 8.7769, -78.4341; alt. 440m; 2015-01-20; Longino, J. leg.; hand collected; (JTLC). PERU – Loreto: • 1☿️; ACEER Lab; -3.1167, -72.9167; alt. 150m; 1994-08-05; Olson, D. M. leg.; (PSWC).
Geographic range. Costa Rica, Panama, Colombia, Trinidad and Tobago*, Venezuela, Guyana*, Suriname*, French Guiana, Ecuador, Peru*, Brazil: Acre*, Amapá*, Amazonas, Rondônia, Mato Grosso, Pará. *: Literature records.

4.2.6. Neoponera insignis (Mackay & Mackay 2010).

Figures. 10a (petiole ☿); 23: a – d (☿); 24: a – c (♀︎); 25: a – e (♂︎); 30a (distribution).
Figure 23. Neoponera insignis. ☿ (MCZC: MCZ-ENT00036274), Costa Rica, Alajuela. a. Lateral view; b. Dorsal view; c. Head in frontal view; d. Collection labels. Images credit: Museum of Comparative Zoology, Harvard University, ©President and Fellows of Harvard College.
Figure 23. Neoponera insignis. ☿ (MCZC: MCZ-ENT00036274), Costa Rica, Alajuela. a. Lateral view; b. Dorsal view; c. Head in frontal view; d. Collection labels. Images credit: Museum of Comparative Zoology, Harvard University, ©President and Fellows of Harvard College.
Preprints 144083 g023
Pachycondyla insignis MacKay & MacKay, 2010: 405. Figs. 112, 269, 530-532. ☿ holotype, Costa Rica, Alajuela, Monteverde Cloud Forest Reserve, Esperanza, 800 m., 10°19’N, 84°43’W, 29.ix.1989, wet forest, ex Cecropia insignis, B.L. Fisher (leg.) # 108, (MCZC: MCZ-ENT00036274) [image examined]; Paratypes: ☿, ♀︎, [same data as for holotype], (MCZC, WEMC) [not examined].
Combination in Neoponera: Schmidt & Shattuck: 151
Status as species: Fernandes et al., 2014: 135.
Worker and queen diagnosis. Head subquadrate, sometimes slightly broadened at mid length in frontal view; eye slightly exceeding lateral head margin, sometimes just reaching it (Fig. 23c); antennal scape, when pulled posterad, exceeding posterior head margin by about one apical scape width (Figs. 9b, 23c); humeral carina weakly salient; posterolateral margin of petiolar node broadly convex and carinate, dorsal margin meeting with anterior margin in 80° angle approximately (Figs. 10a, 23a, 24a); subpetiolar process with acute cusp and inclined dome, the latter sometimes with acute longitudinal carina and feebly impressed longitudinal striae laterally (Figs. 10a, 24a), instead of the usually horizontal; anterior margin straight to slightly concave (Figs. 10a, 23a, 24a).
Worker. Measurements (n = 3): HW: 2.0-2.05; HL: 2.2-2.35; EL: 0.55-0.6; SL: 1.75-2.05; WL: 3.5-3.65; PrW: 1.4-1.5; MsW: 0.9-1.0; MsL: 0.75-0.85; PW: 1.1-1.15; PH: 0.7-1.0; PL: 0.9-0.95; GL: 4.2-4.55; A3L: 1.25-1.5; A4L: 1.4-1.6; A3W: 1.55-1.65; A4W: 1.65-1.75; TLa: 9.25-9.95; TLr: 10.8-11.5. Indices. CI: 85.11-90.91; OI: 27.5-29.27; SI: 87.5-100.0; MsI: 105.88-133.33; LPI: 94.74-135.71; DPI: 115.79-122.22.
Queen. Measurements (n = 2): HW: 2.2-2.2; HL: 2.35-2.4; EL: 0.55-0.6; SL: 1.95-1.95; WL: 3.95-3.95; PrW: 1.6-1.75; MsW: 1.3-1.65; MsL: 0.75-1.35; PW: 1.25-1.25; PH: 1.0-1.0; PL: 1.0-1.0; GL: 4.05-4.75; A3L: 1.7-1.85; A4L: 1.75-1.95; A3W: 1.5-1.95; A4W: 1.8-2.0; TLa: 10.75-11.15; TLr: 11.4-12.05. Indices. CI: 91.67-93.62; OI: 25.0-27.27; SI: 88.64-88.64; MsI: 122.22-173.33; LPI: 100.0-100.0; DPI: 125.0-125.0.
Figure 24. Neoponera insignis. ♀︎ (JTLC: LACM-ENT142417), Colombia, Chocó. a. Lateral view; b. Head in frontal view; c. Dorsal view.
Figure 24. Neoponera insignis. ♀︎ (JTLC: LACM-ENT142417), Colombia, Chocó. a. Lateral view; b. Head in frontal view; c. Dorsal view.
Preprints 144083 g024
Figure 25. Neoponera insignis. ♂︎ (JTLC: INBIOCRI002278907), Costa Rica, Alajuela. a. Lateral view; b. Dorsal view; Ocelli in dorsal view; d. Head in frontal view; e. Fore and hind wings.
Figure 25. Neoponera insignis. ♂︎ (JTLC: INBIOCRI002278907), Costa Rica, Alajuela. a. Lateral view; b. Dorsal view; Ocelli in dorsal view; d. Head in frontal view; e. Fore and hind wings.
Preprints 144083 g025
Male diagnosis. Notauli well-impressed, not touching posteriorly (Fig. 25b); mesopleural sulcus well-impressed, cross ribbed; metanotum without tumulus or carina; in lateral view, petiolar node slightly longer than high, lacking posterolateral carina (Fig. 25a); hind wing bearing 10-12 notauli.
Male (first description). Measurements (n = 2): HW: 1.25-1.25; HL: 1.3-1.35; EL: 0.7-0.75; SL: 0.2-0.25; WL: 3.15-3.5; PrW: 1.35-1.4; MsW: 0.85-0.9; MsL: 0.65-0.65; PW: 0.7-0.7; PH: 0.5-0.65; PL: 0.8-0.85; GL: 3.75-3.8; A3L: 1.1-1.15; A4L: 1.25-1.3; A3W: 1.15-1.25; A4W: 1.15-1.5; TLa: 7.75-8.0; TLr: 9.05-9.45. Indices. CI: 92.59-96.15; OI: 56.0-60.0; SI: 16.0-20.0; MsI: 130.77-138.46; LPI: 130.77-160.0; DPI: 82.35-87.5.
Head. Frontal view: subrhomboid. Mandible spatulate, longer than wide, blunt apically. About two mandalus (maximum length) fit on mandibular dorsum, mandibular apex, when mandible is closed, barely touches lateral margin of labrum. Prementum with well-developed dome placed proximally. Palp formula: 6,4. Stipes mostly smooth, internal longitudinal groove present. Labrum dorsum smooth. Clypeus anteromedially straight to slightly concave, somewhat globular-shaped in lateral view, covering anteclypeus. Area between posterior margin of clypeus and supraclypeal area weakly concave. Posterior supraclypeal area round. Supraclypeal area slightly protruding from cuticule. Distance between internal margins of antennal sockets approximately one socket diameter. Torular lobe strongly reduced. Eye suboval, slightly notched in the dorsal third, maximum length slightly less than half head length, convex, globose, placed at cephalic mid-length. Ocellar area not protruding from cuticle. Ocellar area placed slightly posterad to vertex. Anterior ocellus maximum length subequal to that of posterior ocelli. Ocelli not equidistant to each other, distance between anterior ocellus to posterior ocelli slightly shorter than interposterior ocellar distance. Distance from posterior ocellar margin to posterior margin of head roughly one apical scape width. Distance between anterior and posterior ocelli about one anterior ocellus maximum length. Occipital carina present, well-developed. Scape subquadrate, about twice as long as pedicel. Length of first flagellomere longer than second flagellomere. Mesosoma. Lateral view: Dorsal margin convex. Pronotum lacking humeral carina, completely rounded. Anterior subalar area approximately as broad as tegular maximum width. Anapleural sulcus well-developed, running laterally only on mesopleuron, not reaching ventral mesopleural region. Metanotal trough deeply impressed. Metapleuropropodeal suture relatively shallow. Posterolateral margin of propodeal declivity with feeble, blunt carina, without crenulae. Anterolateral propodeal corner rounded. Propodeal spiracle slit-shaped. Posteroventral cuticular flap at metapleural gland opening reduced, weakly projecting dorsad, gland orifice completely discernible laterally. Dorsal view: mesoscutum about as long as broad, slightly more than two times length of mesoscutellum. Mesoscutum anterior triangular impression present, strongly impressed. Parapsidal lines evident, slightly divergent. Notauli present, strongly impressed, weakly cross ribbed, not meeting posteriorly, but close to do so, not extending to transscutal line. Transscutal sulcus well-developed. Scutoscutellar sulcus present, straight, strongly impressed, cross ribbed, not completely separating mesoscutum from mesoscutellum. Mesoscutellum subtrapezoid, domed. Metascutellum well-developed, clearly discernible dorsally, surface with slightly salient longitudinal carina. Anterodorsal median propodeal sulcus present or absent, when present weakly impressed. Posterior face of propodeal declivity feebly convex. Propodeal lateral margins subparallel, not converging dorsomedially. Ventral view: probasisternum triangular-shaped, strongly grooved. Probasisternal posterior projection acute. Mesosternal process well-developed, tooth-shaped, internal margins of lobes convergent, relatively flattened anteroposteriorly, space between lobes approximately equal to width of each. Metasternal process well-developed, triangular-shaped, flattened anteroposteriorly, apex shorter than half height of metacoxal internal margin, space between lobes narrower than width of each, internal margins running parallel. Wings. Hyaline. Weakly infuscated. Forewing venation Ogata type Ia: submarginal cells 1, 2 and discoidal present, vein 2M present, reduced, 2r-rs offset from Rs+m, Rs+M ca. three times longer than 2M, setose layer evenly covering surface. Hindwing venation Cantone and Von Zuben Type I: basal and subbasal cells and vein 2M present, 1R well-developed, 1Rs poorly developed. Jugal lobe present. Hindwing bearing 10–12 hamuli. Legs. Mesofemur slightly thicker than metafemur, in dorsal or ventral view. Ventral surface of meso- and metafemora flattened roughly on distad half, surface even without groove. Tibial spur formula 2(1s, 1p), 2(1s, 1p). Anterior mid tibial spur half-length of posterior spur. Anterior hind tibial spur half-length of posterior spur. Pretarsal claw arched, with well-developed median tooth. Arolium present, roughly 0.5 times length of pretarsal claw. Petiole. Lateral view: Petiolar node anterior margin straight, inclined ca. 30° posterad; posterior margin straight, inclined ca. 30° anterad, anterior and posterior margins reaching approximately same level dorsally, middorsal margin convex, highest point at nodal longitudinal midline, posterior face slightly convex. Subpetiolar process subtriangular, with blunt, keel-shaped, grooved anterior cusp, followed posteriorly by relatively flat region bordered by longitudinal carinae, mostly smooth, with two weakly raised longitudinal carinae medially. Lateral projection of anteroventral nodal carina well-developed, with blunt tip feebly projecting dorsad. Lateral nodal carina vestigial. Anteroventral nodal carina incomplete, strongly concave medially. Gaster. Lateral view: Prora well-developed, with blunt tip projecting anteroventrad; posterior region slightly flattened and broadened. Anterior margin of tergum of A3 convex. Cinctus moderate. Dorsal view: Tergum of A3 equal in length to A4. Abdominal sternum 7 with concave surface, bearing scattered erect and suberect hairs. Spine at posterior margin of tergum of A8 well-developed, tip not surpassing posterior magin of sternum of A9, acute, slightly flattened laterally. Sternum of A9 longer than broad, posterior margin convex. Pygostyles present, about three times longer than broad. Color. Mandibles and legs yellowish brownish or dark brown, antennae ferruginous brown. Pilosity. Body with moderately abundant, flexuous, golden to dark golden, erect and suberect hairs. Appressed pubescence abundant. Meso- and metatarsi bearing scant spine-like setate and abundant finer setae. Sculpture. Integument polished, with abundant, shallowly impressed piligerous punctures. Striae on head absent, mesosoma lacking striae, except for axilar areas and few feebly impressed anterolaterally on propodeum. Striae on petiolar node absent.
Comments. Neoponera insignis is a relatively small to medium-sized species in the N. foetida group (Fig. 12, ☿ TLa = 9.20 – 9.95 mm; ♀︎: 10.75 – 11.15 mm). Since only few workers and queens were here examined (n = 6), no profound inferences are possible in regards to morphology variations across its range. Nevertheless, specimens from Alajuela, Costa Rica (northernmost range) differ little from those of Chocó, Colombia (southernmost range) in the form of the petiolar node: the anterior margin is slightly concave in a queen from the latter site, while in those from Costa Rica the margin is straight.
Mackay and Mackay (2010) and Longino (2010) noted that N. insignis is essentially identical to N. bugabensis. They claimed that transverse clypeal striae of N. insignis differentiate it from N. bugabensis where this sculpture is longitudinal or absent. However, the clypeal striae are a plastic feature, sometimes transverse or horizontal, and sometimes longitudinal in this species (see also comments on Neoponera clypeal striae under N. curvinodis). Nonetheless, we certainly agree with Longino and Mackay and Mackay in considering both species morphologically identical. These two forms live in sympatry in Central America, use similar resources for housing their nests on the canopy (although Longino 2010 note that N. bugabensis is a general forager and opportunistic nester), and are closely related according to recent phylogenomic evidence (Troya et al., unpublished). It would be no surprise one lineage diverged from the other very recently.
Figure 26. Neoponera insignis (variant, referred in text as N. villosa_cf2). ☿ (PSWC: CASENT0249167), Panama, Darién. a. Lateral view; b. Dorsal view; c. Petiole in lateral view; d. Head in frontal view; e. Mesosternum in anteroventral view, showing the fang-shaped metasternal process, and the right lobe of the mesosternal process.
Figure 26. Neoponera insignis (variant, referred in text as N. villosa_cf2). ☿ (PSWC: CASENT0249167), Panama, Darién. a. Lateral view; b. Dorsal view; c. Petiole in lateral view; d. Head in frontal view; e. Mesosternum in anteroventral view, showing the fang-shaped metasternal process, and the right lobe of the mesosternal process.
Preprints 144083 g026
As hypothesized by Longino (2010), who observed the behavior of N. insignis in Costa Rica, it could have evolved through sympatric speciation from N. bugabensis, N. villosa or some ancestral version of them. Note that Longino also considered N. villosa highly similar to N. insignis, but these two species are easily distinguished from each other since N. villosa is larger and bears a tumulus on the posterior nodal face, which is absent in N. insignis. The reader may use the traits commented previously under the treatment of N. bugabensis to separate both species.
Neoponera insignis is also similar to N. lineaticeps, N. theresiae, N. prasiosomis sp. nov., and the morphospecies N. villosa_cf2 (see notes below about this latter). Some differing traits between these species and N. bugabensis were previously referred. These traits also apply to N. insignis since this is virtually identical to N. bugabensis.
Distribution notes. Previously considered a Costa Rican endemic (Longino 2010, Mackay and Mackay 2010), now it is known that N. insignis reaches the northern lowland rain forests of the Colombian Chocó-Darién, and since many Cecropia ant-plants reach further southern regions in the continent as for example, Ecuador, Peru, Brazil, it is likely this species be found there in future sampling events. Due to its high similarity with N. bugabensis, which has been found as far south to Peru, is also plausible that a proportion of specimens cited in the literature are misidentifications.
Neoponera villosa_cf2 as variant of N. insignis. The only known specimen of N. villosa_cf2, a worker, is sister to N. insignis and these two forms are closely related to N. bugabensis and N. prasiosomis sp. nov. (Troya et al., unpublished). Neoponera villosa_cf2 is very similar to N. insignis except for: 1) The petiolar node is shorter (PL = 0.75 mm vs. 0.9 – 1 mm), and the posterolateral nodal margin is less convex than in N. insignis, but relatively straight and more inclined, it meets the anterior margin in 50° – 60° angle vs. 70° – 80° angle in N. insignis; 2) The gastral dorsum carries more appressed hairs than in N. insignis so that the cuticle is poorly discernible, while in N insignis is always discernible; 3) It is smaller (TLa = 8 mm vs. 9.2 – 9 mm). At first sight, N. villosa_cf2 is easily distinguished from N. insignis just by looking at its yellowish, pilose gaster. This latter feature, together with the nodal shape and comparatively small body size would suffice to consider two hypothetical different lineages. Nonetheless, this case is similar to that between N. lineaticeps and its variant from Guatemala which, despite showing clear variations on the nodal sculpture, it seems that variant belongs to a N. lineaticeps population under ongoing differentiation since it shows a relatively short branch in the genus phylogeny (Troya et al., unpublished; see further comments under that species). We are here inclined to support the same hypothesis for N. insignis and N. villosa_cf2 since a similar picture is depicted in the phylogeny, both being sister and showing short branches. Neoponera villosa_cf2 apparently would still belong to an N. insignis population which is already showing signs of morphological differentiation. This specimen was collected by D. M. Olson in the southern side of the Panamanian Darién National Park; this collection site is ca. 50 km west from another collection site in the Colombian Katios National Park, where M. Aide found a worker and queen of N. insignis (JTLC: LACMENT142417).
Overall body size is subject to variation across all lineages in Neoponera, so the differences cited between both forms may not count as determinant traits for proposing N. villosa_cf2 as a new lineage. However, the nodal shape is an important variation, since it clearly differs from the general pattern observed in both N. insignis and in N. bugabensis (including its two variants) which share a very similar nodal shape. Still, we do not consider this single nodal deviation, as well as the more abundant gastral appressed pilosity, sufficiently informative so as to confidently erect a new species. Therefore, N. villosa_cf2 is here considered a variant of N. insignis until further material become available.
Natural history notes. See Longino (2010) who provides an extensive, fine-grain account of observations on Costa Rican N. insignis, based on which William Brown was planning a manuscript (comment from Longino 2010).
Material examined. 4☿️, 2♀, 2♂. COLOMBIA – Chocó: • 1♀; Parque Nacional Natural Los Katios; 7.8167, -77.2; alt. 236m; 1990-06-14; Aide, M. leg.; (JTLC). 1☿️; Parque Nacional Natural Los Katios; 7.8167, -77.2; alt. 236m; 1990-06-14; Aide, M. leg.; (JTLC). COSTA RICA – Alajuela: • 1♂; north side Laguna Arenal; 10.5, -84.7167; alt. 500m; 1987-06-12; Longino, J. leg.; (JTLC). 1☿️; north side Laguna Arenal; 10.5, -84.7167; alt. 500m; 1987-06-12; Longino, J. leg.; (JTLC). – Puntarenas: • 1♀; Cerro Plano de Monteverde; 10.3, -84.8167; alt. 1300m; 1989-06-11; Longino, J. leg.; (JTLC). 1☿️; Cerro Plano de Monteverde; 10.3, -84.8167; alt. 1300m; 1989-06-11; Longino, J. leg.; (JTLC). PANAMA – Darién: • 1♂; 9 km WSW Platanilla; 8.7759, -78.4539; alt. 750m; 2015-01-20; Longino, J. leg.; hand collected; (JTLC). 9 km WSW Platanilla; 8.7759, -78.4539; alt. 750m; 2015-01-20; Longino, J. leg.; hand collected; (JTLC). 1☿️; 9 km WSW Platanilla; 8.7759, -78.4539; alt. 750m; 2015-01-20; Longino, J. leg.; hand collected; (JTLC).
Geographic range. Costa Rica, Panama, Colombia.

4.2.7. Neoponera inversa (Smith, 1858)

Figures. 2c (petiole ☿); 30b (distribution).
Ponera inversa Smith, 1858: 96. ☿ lectotype [by designation of Fernandes et al. 2014: 149], Ecuador [“South America”], Napo, “51/70”, (BMNH: BMNH1015556, AntWeb: CASENT0902512) [image examined, link].
Combinations: In Pachycondyla: Mayr, 1886: 358; Emery, 1901: 45: Brown, 1995:306. In Neoponera: Emery, 1904: 597; Schmidt & Shattuck, 2014: 151.
Subspecies of Neoponera villosa: Emery, 1904: 597.
Status as species. Mayr, 1863: 448; MacKay & MacKay, 2010: 409 [redescription]; Fernandes et al., 2014: 149 [redescription].
Worker and queen diagnosis. Same diagnostic features as for N. curvinodis, except: Head subquadrate, lateral margin posterior to eye usually convex (link); posterolateral propodeal margin carina-less or with blunt, not raised carina (Fig. 11b); in lateral view, anterior margin of petiolar node moderately to strongly concave, distal portion curved anterad (Fig. 2c); anterolateral nodal face deflate (Fig. 2c); in lateral view, dorsoposterior nodal margin usually meeting with anterior margin in 30° – 35° angle (Fig. 2c).
Worker. Measurements (n = 26): HW: 2.15-2.6; HL: 2.4-2.95; EL: 0.55-0.77; SL: 2.25-2.65; WL: 3.6-4.45; PrW: 1.55-1.9; MsW: 0.95-1.4; MsL: 0.7-1.0; PW: 1.2-1.5; PH: 1.0-1.5; PL: 0.95-1.31; GL: 2.8-4.95; A3L: 1.1-2.0; A4L: 1.3-2.0; A3W: 1.3-2.14; A4W: 1.55-2.15; TLa: 10.05-12.23; TLr: 10.35-13.48. Indices. CI: 81.13-96.15; OI: 23.4-29.57; SI: 93.88-113.95; MsI: 115.79-200.0; LPI: 71.43-115.0; DPI: 104.17-142.86.
Queen. Measurements (n = 6): HW: 2.55-2.85; HL: 2.4-3.0; EL: 0.6-0.75; SL: 2.3-2.7; WL: 4.35-4.75; PrW: 2.0-2.1; MsW: 1.5-1.8; MsL: 1.3-1.5; PW: 1.5-1.75; PH: 1.25-1.75; PL: 1.05-1.3; GL: 4.15-5.6; A3L: 1.7-2.0; A4L: 1.8-2.1; A3W: 2.15-2.45; A4W: 2.25-2.45; TLa: 11.7-12.85; TLr: 12.8-14.45. Indices. CI: 91.38-118.75; OI: 21.05-27.45; SI: 80.7-101.89; MsI: 103.45-126.92; LPI: 68.57-96.15; DPI: 128.0-152.38.
Male. Described by Fernandes et al. (2014). The following is added to their diagnosis: ocelli comparatively small, maximum length of each shorter than diameter of antennal socket acetabulum; notauli well-impressed, touching posteriorly; mesopleural sulcus well-marked but not sculpted; metanotum with feebly raised median carina.
Comments. Neoponera inversa is a medium-sized species in the N. foetida group (Fig. 12; ☿ TLa = 10.2 – 12.18 mm; ♀︎TLa: 10.2 – 12.18 mm). Its external morphology is virtually identical to that of N. curvinodis which is closely related to it (Troya et al. unpublished). The reader can find a detailed discussion on how to distinguish these two lineages apart under the treatment of N. curvinodis. Besides N. curvinodis, only two species in the N. foetida group are morphologically most similar to N. inversa: N. villosa, and N. zuparkoi. The first has a nearly vertically straight anterior nodal margin, and a tumulus on the posterior nodal face, while in N. inversa the anterior nodal margin is concave and lacks a tumulus on the posterior nodal face. Neoponera zuparkoi differs from N. inversa in showing a reduced, not salient humeral carina, and a lobate anterior projection on the mesopleuron. In examined workers and queens of N. inversa the humeral carina is always slightly to moderately salient, and the mesopleuron lacks a lobate anterior projection. Fernandes et al. 2014 considered N. inversa smaller than N. curvinodis, but my measurements of scape length (SL) and scape index (SI) differ from those reported by them (N. curvinodis ☿ SL: 2.63 – 2.70 mm, SI: 104.24 – 105.2 mm; N. inversa ☿ SL: 2.3 – 2.38 mm; SI: 94.65 – 95.2 mm) as follows: N. inversa ☿ SL: 2.25 to 2.65 mm, SI: 94 to 114 mm (n = 30), and N. curvinodis ☿ SL: 2.5 to 3.25 mm, SI: 102.3 to 115 mm (n = 64).
As in N. curvinodis, N. inversa shows some variation in the following body regions which are not geographically correlated: the humeral carina can be feebly- to moderately salient; the propodeal posterolateral margin in most cases is carina-less, but sometimes can carry a weak, blunt carina, somewhat similar to the state present in some N. curvinodis; and the anterolateral nodal face which may vary from weakly- to moderately deflate. This latter is the most common state and it gives the node its characteristic concavity. As in N. curvinodis, these variations are continuous, and they are not associated with body size. In contrast to Fernandes et al. (2014), we did not detect variations in color among specimens belonging to regions closer to the equator, as compared to others obtained from regions distantly separated from that zone.
Distribution notes. Most records of N. inversa belong to lowland forests up to ca. 1000 m of elevation, with an extreme of 2300 m at Cordillera del Cóndor, a mountainous region in southern Ecuador. Populations of N. inversa apparently prefer well-preserved forests as most specimens were collected in national parks and/or poorly degraded regions. This species is broadly distributed in South America and part of Central America; it inhabits in all Brazilian biomes (except for Pantanal), in the Chaco Húmedo of Paraguay, north to Amazonia of Bolivia, Peru, Ecuador, and Colombia. On the northwestern side of the continent records reach the Chocó-Darién and the Caribbean region of Colombia and Venezuela. In regards to Central America, some authors like Kempf (1972), Mackay and Mackay (2010), Branstetter and Sáenz (2012), among others (see AntCat.org) include Mexico and Guatemala as the northernmost range for N. inversa. These authors based their records for this species on Forel (1899) who did not mention those countries as part of the distribution of N. inversa. Forel recorded Las Mercedes in Guatemala as one of the type localities for N. curvinodis which is extremely similar to N. inversa. Thus far, the present literature search and the material examined support only northern Honduras (at the Atlantic) as the northernmost range for this species.
Natural history notes. See Mackay and Mackay (2010), and Fernandes et al. (2014). From this study: Neoponera inversa seems to prefer foraging and nesting on the canopy strata, most specimen-records for which the collection method is known, have been obtained using fogging, pitfall and arboreal Malaise, and beating.
Material examined. 57☿️, 9♀. BOLIVIA – Santa Cruz: • 1♀; 7.5 K NNE Villa Yapacaní, near Parque Nacional Amboró; -17.3436, -63.8372; alt. 290m; Kozue leg.; ([no museum voucher]). BRAZIL – Acre: • 1☿️; Fazenda Experimental Catuaba; -10.0667, -67.6167; alt. 226m; 2014-03-11; Denicol, M. R.; Santos, A. M. leg.; pitfall; (DZUP). 1☿️; Humaita; -9.75, -67.6333; alt. 168m; 1992-06-15; Gorayeb, I.; Hernriques, E. leg.; (MPEG). – Amazonas: • 1☿️; AM 170, Km 10; -3.0476, -59.9784; alt. 40m; 1982-08-07; Harada, A. leg.; hand collected; (INPA). 1☿️; Estirão do Equador; -4.5167, -71.6167; alt. 91m; 1979/10; Alvarenga, M. leg.; (MPEG). – Bahia: • 1☿️; 3 km s of Guaratinga; -16.6167, -39.7833; alt. 220m; 2007-07-26; Santos, J. R. M. leg.; (CPDC). 1☿️; 3.3 Km N main entrance CEPLAC-CEPEC, Ilhéus-Itabuna road; -14.75, -39.2167; alt. 61m; 2014-05-02; Feitosa, R. M. leg.; (DZUP). 1☿️; 3.3 Km N main entrance CEPLAC-CEPEC, Ilhéus-Itabuna road; -14.75, -39.2167; alt. 61m; 2012-12-19; Silva, J. A. leg.; (CPDC). 1☿️; 3.3 Km N main entrance CEPLAC-CEPEC, Ilhéus-Itabuna road; -14.75, -39.2167; alt. 61m; 2005-02-02; Watkins, K.; M. Cobb. leg.; (CPDC). 1☿️; 4k NW of Una; -15.2667, -39.0333; alt. 34m; 2005-10-27; Santos, J. R. M. leg.; (CPDC). 1♀; Buerarema; -14.9843, -39.2583; alt. 132m; 2006-05-03; Maia, J. R.; et al. leg.; (CPDC). 2☿️; Buerarema; -14.9843, -39.2583; alt. 132m; 2006-05-03; Maia, J. R.; et al. leg.; (CPDC). 1☿️; Canavieiras; -15.6777, -38.9417; alt. 7m; 1988-04-21; do Carmo, J. leg.; (CPDC). 1♀; Ilhéus; -14.7833, -39.05; alt. 36m; 2014-05-02; Feitosa, R. M. leg.; (DZUP). 1☿️; Ilhéus; -14.7833, -39.05; alt. 36m; 2014-05-02; Feitosa, R. M. leg.; (DZUP). 1♀; Reserva Biológica do Una; -15.1768, -39.1053; alt. 108m; 2011/11; Sena, D. U. leg.; (CPDC). 1☿️; Reserva Biológica do Una; -15.1768, -39.1053; alt. 108m; 2011-11-01; Uzel-Sena, D. leg.; (CPDC). 2☿️; Serra da Jibólia; -12.7717, -39.522; alt. 219m; 2004-06-04; Rodrigues, R. M. leg.; (CPDC). – Ceará: • 1☿️; 2km S of Pacoti; -4.25, -38.9167; alt. 700m; 2001; Hites, N. leg.; (CPDC). – Distrito Federal: • Aguas emendadas; -15.5, -47.55; alt. 992m; 2014-06-13; Guaraldo, A. leg.; (DZUP). – Espírito Santo: • 1☿️; Floresta Nacional Goytacazes; -19.4353, -40.072; alt. 26m; 2013-02-01; Simon, S. leg.; pitfall; (UFVLABECOL). – Goiás: • 1☿️; Chapadão do Céu, Parque Nacional das Esmas; -18.2889, -52.3672; alt. 619m; 2014-01-07; Pinto, A.; et al. leg.; (DZUP). – Mato Grosso do Sul: • 1☿️; Dourados; -22.2186, -54.8325; alt. 442m; 2009-01-01; Silvestre R. leg.; hand collected; (MuBio-UFGD). – Paraná: • 1☿️; Entorno do rio Brumado; -25.3402, -48.885; alt. 397m; 2017-10-18; Pinto, A.; et al. leg.; (DZUP). 1☿️; P. E. Pico do Marumbi; -25.4833, -48.9833; alt. 968m; 2014-07-15; Feitosa, R. M.; et al. leg.; (DZUP). 1☿️; Reserva Bicudinho do Brejo; -25.8833, -48.5667; alt. 7m; 2015-06-26; Oliveira, D. A. leg.; (DZUP). 1☿️; Reserva Natural Guaricica, Guaricica trail; -25.3667, -48.7667; alt. 9m; 2019-03-22; Feitosa, R.; et al. leg.; Malaise; (DZUP). 1☿️; Reserva Natural Guaricica, dos Fornos trail; -25.3, -48.65; alt. 36m; 2018-11-06; Troya, A. leg.; beating; (MEPN). – Pará: • 1☿️; Alter do Chão; -2.5041, -54.9548; alt. 23m; 2002-04-30; Vilhena, J. leg.; (INPA). 1♀; Bairro Marco, Dr. Freitas; -1.4167, -48.45; alt. 22m; 2018/07; Prado, L. leg.; hand collected; (MPEG). 1♀; Tucuruí; -3.7658, -49.6777; alt. 48m; 1980-08-04; Nunes de Mello leg.; (INPA). 1☿️; Tucuruí; -3.7655, -49.6702; alt. 35m; 1979/02; Alvarenga, M. leg.; (MPEG). 1☿️; Utinga State Park; -1.4258, -48.4442; alt. 15m; 1979-01-27; Tadeu, P. leg.; (MPEG). 1☿️; Xingu river, left shore; -2.8817, -52.0095; alt. 4m; 2000-11-20; Maciel, C.; Dias, J. leg.; Malaise; (MPEG). – Rio de Janeiro: • 1☿️; Paineras; -11.8425, -45.1739; 1964-03-29; Ross, C. E.; Ross, E. S. leg.; (CAS). – Rondônia: • 1☿️; Parque Estadual do Guajara-Mirim, 18 km SW of Nova Dimensão; -10.3167, -64.55; alt. 152m; 1998-03-02; Santos, J. R. M. leg.; Malaise; (CPDC). – São Paulo: • 1♀; Mirassol; -20.8161, -49.5042; alt. 572m; 1977-12-12; Diniz, J. leg.; (DZUP). 1☿️; Parque Estadual Turistico do Alto Ribeira, Gruta Alambari de Baixo; -24.5514, -48.6803; alt. 181m; 2012-10-02; (MPEG). COLOMBIA – Chocó: • 1☿️; Estación Silvicultura al Bajo Atrato; 7.0406, -77.3378; alt. 149m; 1992/08; Mendoza, L. leg.; (ICN). – Vaupes: • 1☿️; Estación Biológica Caparú; 1.0756, -69.5136; alt. 97m; 2003-04-26; Benavides, L. leg.; (ICN). COSTA RICA – Limón: • 1♀; Res. Biol. Hitoy-Cerere; 9.6716, -83.0243; alt. 160m; 2015-06-12; Krissy Dominguez leg.; beating; (MUCR). ECUADOR – Esmeraldas: • 1☿️; Reserva Ecológica Cotacachi Cayapas, La Tabla, 7 km EES Playa de Oro; 0.845, -78.744; alt. 120m; 2001-04-01; Araujo, P.; et al. leg.; fogging; (MEPN). – Napo: • 1☿️; 3km NNE Archidona; -0.8833, -77.8; alt. 650m; 2003-12-09; Wild, A.; Donoso, D. leg.; (UTIC). 1☿️; Jatun Sacha 7km ESE Pto. Misahualli; -1.0667, -77.6167; alt. 400m; 1991-08-04; Ward, P. S. leg.; (PSWC). 1☿️; [no locality given]; -0.99, -77.81; (BMNH). – Orellana: • 1☿️; Parque Nacional Yasuní, Guacamayo saladero; -1.294, -76.06; alt. 215m; 2014-02-02; Troya, A.; Duque, P. leg.; fogging; (MEPN). – Sucumbíos: • 1☿️; Reserva Ecológica Cofán Bermejo; 0.1667, -77.35; alt. 920m; 2005-12-27; Troya, A. leg.; fogging; (MEPN). – Zamora Chinchipe: • 1☿️; Paquisha alto, Hito 2, 15 Km SE Fruta del Norte, Cordillera del Cóndor; -3.9003, -78.4829; alt. 2325m; 2008-03-15; Troya, A. leg.; fogging; (MEPN). FRENCH GUIANA – Cayenne: • 1☿️; Base Vie; 5.1667, -52.65; alt. 10m; 2000-07-06; Durou, S.; et al. leg.; (DZUP). 3☿️; Base Vie; 5.1667, -52.65; alt. 7m; 2000-12-06; Durou, S. leg.; (CPDC). 1☿️; Base Vie; 5.1667, -52.65; alt. 7m; 2000-07-06; Durou, S.; et al. leg.; (CPDC). 1☿️; Montagne dês Chevaux; 4.7333, -52.4333; alt. 75m; 2011-08-07; Team, S. E. A. G. leg.; (DZUP). 3☿️; Petit Saut; 5.0667, -53.0333; alt. 67m; 2013-10-30; Lenoir, A. leg.; (CPDC). 2☿️; Petit Saut; 5.0667, -53.0333; alt. 67m; 2003-04-03; Orivel, J. leg.; (CPDC). 1☿️; Petit Saut; 5.0667, -53.0333; alt. 67m; 1996-07-08; Dejean, A. leg.; (CPDC). 1☿️; Petit Saut; 5.0667, -53.0333; alt. 67m; 1997/05; Orivel, J.; Dejean, A. leg.; (CPDC). – Saint-Laurent-du-Maroni: • 1☿️; Galbao, P500-3; 3.6008, -53.2668; alt. 465m; 2018-10-13; Fichaux, M.; Jackie, O.; Touchard, A. leg.; Winkler48h; (EcoFoG). 1☿️; Galbao, P700-1; 3.6036, -53.2807; alt. 688m; 2018-10-18; Fichaux, M.; Jackie, O.; Touchard, A. leg.; Pitfall48h; (EcoFoG). 1☿️; Maripasoula; 3.6333, -54.0333; alt. 97m; 1999-07-01; Durou, S.; et al. leg.; (CPDC). PANAMA – Colón: • 1♀; Bosque Protector San Lorenzo; 9.2833, -79.9667; alt. 13m; 2004-03-09; Springatte; Pizon, S leg.; Malaise; (CPDC).
Distribution. Honduras*, Costa Rica, Panama, Venezuela*, Colombia, Guyana*, French Guiana, Ecuador, Peru, Bolivia, Brazil (Acre, Amazonas, Bahia, Ceará, Distrito Federal, Espírito Santo*, Goiás, Mato Grosso*, Mato Grosso do Sul, Pará, Paraná, Rondônia, Rio de Janeiro*, Santa Catarina*, São Paulo), Paraguay*. *: Literature records.

4.2.8. Neoponera lineaticeps (Mayr, 1866)

Figures. 4a (head ☿); 27: a – d (☿ variant); 31b (distribution).
Pachycondyla lineaticeps Mayr, 1866: 502. ☿ lectotype [by designation of MacKay & MacKay, 2010: 437], Mexico [no further data], (NHMW, AntWeb: CASENT0915667, link) [image examined]. Paralectotypes: 2 ☿, 1♀︎ [same data as for lectotype], (NHMW).
Combinations. In Neoponera: Emery, 1901: 47; Schmidt & Shattuck, 2014: 151. In Pachycondyla: Brown, 1995: 306.
Status as species. Emery, 1890: 73; MacKay & MacKay, 2010: 437 [redescription].
Worker and queen diagnosis. Head subquadrate, posterior margin concave in frontal view (Fig.27b) ; antennal scape, when pulled posterad, exceeding posterior head margin by about 1.5 times apical scape width (link); head vertex, including region near internal eye margin, costate (Fig. 27b); humeral carina salient; in lateral view, anterior margin of petiolar node straight, weakly inclined posterad, meeting dorsal margin in 85° to 90° angle, nodal top blunt (link); anterior and lateral nodal face with gross, irregularly shaped striae (link), sometimes feebly impressed (link); posterior face with patch of gross, longitudinal striae.
Worker. Measurements (n = 4): HW: 1.7-1.95; HL: 1.5-2.05; EL: 0.5-0.5; SL: 1.55-1.95; WL: 2.75-3.05; PrW: 1.25-1.3; MsW: 0.75-0.8; MsL: 0.6-0.7; PW: 0.85-1.05; PH: 0.8-1.02; PL: 0.75-0.9; GL: 3.6-4.1; A3L: 1.0-1.25; A4L: 1.1-1.25; A3W: 1.4-1.55; A4W: 1.5-1.65; TLa: 7.25-8.3; TLr: 8.75-9.73. Indices. CI: 94.87-113.33; OI: 25.64-29.41; SI: 91.18-105.41; MsI: 107.14-133.33; LPI: 88.67-100.0; DPI: 94.44-126.67.
Queen and male. Described by Mackay and Mackay (2010).
Comments. Neoponera lineaticeps is amongst the smallest species in the N. foetida group (Fig. 12; ☿ TLa = 7.25 – 8.3 mm). It shows a homogeneous external morphology across its range except for variations on the sculpture of the petiolar node which may either carry feebly impressed striae laterally (CASENT0249153, link, Puntarenas, Costa Rica) or gross, irregular striae (CASENT0217563, link, Chiapas, Mexico). Despite being irregular, the striae on the lateral nodal face are always horizontally oriented. In this respect, a variant of N. lineaticeps from El Petén, Guatemala (Fig. 27), hereafter referred as N. JTL021, differs from N. lineaticeps in bearing more abundant and brighter appressed pilosity; the striae on the lateral nodal face is not horizontally arranged but rather vertically curved (Fig. 27d); and the nodal top is convex, not blunt as usual in N. lineaticeps (Fig. 27d). This unique specimen was subjected to DNA extraction, and according to the UCE phylogeny (Troya et al. unpublished) it is sister to N. lineaticeps, but the branches of both specimens are relatively short, thus suggesting a recent divergence.
The variation of said characters between these two forms are evident, but as observed previously in other species in the N. foetida group, for example, N. curvinodis, N. inversa, several body regions are subject to plasticity. Either these variants in Central America are the product of hybridization between several sympatric forms, or N. JTL021 is perhaps a distinct lineage belonging to poorly known, possibly small populations. Since the evidence, both molecular and morphological, is currently insufficient to make further judgments, we leave N. JTL021 as a variant of N. lineaticeps until more material is available.
Figure 27. Neoponera lineaticeps (variant, referred in text as N. JTL021). ☿ (JTLC: CASENT0610994), Guatemala, Petén. a. Lateral view; b. Head in frontal view; c. Dorsal view; d. Petiole in lateral view.
Figure 27. Neoponera lineaticeps (variant, referred in text as N. JTL021). ☿ (JTLC: CASENT0610994), Guatemala, Petén. a. Lateral view; b. Head in frontal view; c. Dorsal view; d. Petiole in lateral view.
Preprints 144083 g027
Because of its size, N. lineaticeps can only be confused with N. bugabensis, N. insignis, and N. theresiae, which have a very similar petiolar node. However, these species lack costae on the head dorsum. The node of N. theresiae is laterally striate but in no way similar to the usually gross striae of N. lineaticeps.
Distribution notes. Neoponera lineaticeps inhabits in central – to southeastern Mexico and throughout Central America. Examined material originates from Central American moist and dry forests, as well as from Isthmian-Pacific moist forests, ranging from ca. 300 m up to ca. 1500 m elevation. Fernandez and Palacio (1995) and Fernández et al. (1996) report this species for the Colombian departments of Cauca and Tolima, respectively. Later, however, Fernández in (Fernández and Guerrero 2019) report this species with the status “probably present in Colombia” p. 532. Further sampling in northern Colombia may bring support to the hypothetical incursion of this taxon in South America.
Natural history notes. See Mackay and Mackay (2010), and Longino (2010).
Material examined. 8☿️. COSTA RICA – Alajuela: • 1☿️; Monteverde Cloud Forest Reserve; 10.2912, -84.8158; alt. 1220m; 2018-03-28; J. Longino leg.; beating; (JTLC). – Heredia: • 10km NE Vara Blanca; 10.2362, -84.1177; alt. 1500m; 2005-03-09; Longino, J. leg.; hand collected; (JTLC). 1☿️; 10km NE Vara Blanca; 10.2362, -84.1177; alt. 1500m; 2005-03-09; Longino, J. leg.; hand collected; (JTLC). GUATEMALA – Petén: • 1☿️; Parque Nacional Tikal; 17.2436, -89.6217; alt. 270m; 2009-05-23; Longino, J. leg.; hand collected; (JTLC). MEXICO – Chiapas: • 1☿️; Ocasinga, Laguna Ocotal Grande; 16.8, -91.4; alt. 971m; 1954/07; Dressler, R. L. leg.; (MZSP). 1☿️; [no locality given]; 23.0, -102.0; 1986-12-01; Sichel leg.; (NHMW). NICARAGUA – Jinotega: • 2☿️; RN Cerro Kilambé; 13.5652, -85.6982; alt. 1290m; 2011-05-23; Prebus, M. leg.; hand collected; (MEPN). – Matagalpa: • 1☿️; Hotel Selva Negra; 12.9989, -85.9092; alt. 1285m; 2003-07-07; Mackay, W.; Mackay, E. leg.; hand collected; (ICN).
Geographic range. Mexico (Chiapas, Querétaro*, Veracruz*), Guatemala, Honduras*, Nicaragua, Costa Rica, Panama. * Literature records.

4.2.9. Neoponera prasiosomis sp. nov.

Figures. 5c (petiolar node ☿); 28: a – g (☿); 30a (distribution).
Type material. Holotype. 1 ☿; PANAMA: Colón: S. Lorenzo forest, 9°17’ N, 79°58’ W, [October 2003], mosaic forest, [Dejean, A.; et al. leg.], (DZUP: ATPFOR2001).
Etymology. The specific epithet is derived from the Greek words πράσινος (prásinos), meaning green, and σῶμαsôma (sôma), meaning body, alluding to the tenuous greenish cuticle, especially discernible on the head and mesosoma of the holotype. The name is a noun in apposition, thus invariable.
Worker (and probably queen) diagnosis. Head rectangular, antennal scape, when pulled posterad, exceeding posterior head margin by 0.5 to 1 X apical scape width (Fig. 28e); anterior mid clypeal margin convex (Fig. 28e); humeral carina slightly salient; in lateral view, anterior margin of petiolar node straight, meeting with posterior margin in ca. 80° angle, top of node relatively acute (Fig. 28a); posterior face of node either feebly striate (Figs. 5c, 28g) or punctate; integument of head, mesosoma and petiole slightly metallic greenish, gaster castaneous to dark brown.
Figure 28. Neoponera prasiosomis sp. nov. Holotype ☿ (ICN: ATPFOR2001). Panama, Colón. a. Head, mesosoma and petiole in lateral view; b. Gaster in lateral view; c. Head, mesosoma and petiole in dorsal view; d. Gaster in dorsal view; e. Head in frontal view; f. Collection labels; g. Posterior face of petiolar node showing weakly impressed horizontal striae.
Figure 28. Neoponera prasiosomis sp. nov. Holotype ☿ (ICN: ATPFOR2001). Panama, Colón. a. Head, mesosoma and petiole in lateral view; b. Gaster in lateral view; c. Head, mesosoma and petiole in dorsal view; d. Gaster in dorsal view; e. Head in frontal view; f. Collection labels; g. Posterior face of petiolar node showing weakly impressed horizontal striae.
Preprints 144083 g028
Worker description. Measurements (n = 2; holotype in parenthesis): HW: 1.45-1.6 (1.45); HL: 1.7-1.95 (1.7); EL: 0.5-0.55 (0.5); SL: 1.5-1.7 (1.5); WL: 2.6-3.0 (2.6); PrW: 1.0-1.15 (1.0); MsW: 0.75-0.9 (0.75); MsL: 0.6-0.65 (0.6); PW: 0.7-0.9 (0.7); PH: 0.6-0.9 (0.6); PL: 0.7-0.75 (0.7); GL: 2.45-3.25 (2.45); A3L: 1.0-1.35 (1.0); A4L: 1.0-1.3 (1.0); A3W: 1.0-1.05 (1.0); A4W: 1.2-1.25 (1.25); TLa: 7.0-8.35 (7.0); TLr: 7.45-8.95 (7.45). Indices. CI: 82.05-85.29 (85.29); OI: 34.38-34.48 (34.48); SI: 103.45-106.25 (103.45); MsI: 125.0-138.46 (125.0); LPI: 83.33-116.67 (116.67); DPI: 100.0-120.0 (100.0).
Head. Frontal view: subrectangular. Mandible triangular, longer than wide, distal region slightly bent ventrad, dorsolateral margin mostly straight. Masticatory margin of mandible with eight to nine similarly sized teeth distally, and three smaller teeh proximally. Prementum with reduced transverse dome. Palp formula: 4,4. Stipes mostly smooth, internal longitudinal groove present. Labrum dorsum smooth. Clypeus anteromedially convex, with subtriangular-shaped, relatively acute extension of the cuticle projecting anterad. Posterior margin of frontoclypeal sulcus not reaching ocular mid-length. Frontal carina not reaching ocular mid-length. Torular lobe subtriangular, covering approximately 60% of acetabulum of antennal socket, posterolateral margin straight. Malar carina well-developed, not reaching anterointernal eye margin. Eye oval, maximum length ca. one-fourth head length, convex, slightly globose, reaching- to silghtly surpassing lateral margin of head, placed at cephalic mid-length. Posterior margin of head straight to slightly concave. Occipital carina vestigial. Scape, when pulled posterad, surpassing posterior margin of head by about one apical scape width. Mesosoma. Lateral view: Dorsal margin straight to slightly convex. Pronotum carinate, with carina slightly projecting from cuticle. Anapleural sulcus feebly developed, usually merged with surrounding striae. Posterolateral margin of propodeal declivity slightly marginated. Propodeal spiracle slit-shaped. Ventrolateral propodeal declivity without deep groove. Posteroventral cuticular flap at metapleural gland opening well-developed, slightly bent dorsad, gland orifice clearly visible in posterolateral view. Pheromone venting canal at metapleural gland opening present, well-developed. Notopropodeal suture present, forming shallow groove, mesonotum and propodeum separated. Posterior face of propodeal declivity flat. Propodeal lateral margins subparallel, not converging dorsomedially. Ventral view: probasisternum triangular-shaped, strongly grooved. Probasisternal posterior projection acute. Mesosternal process well-developed, tooth-shaped, internal margins of lobes convergent, relatively flattened anteroposteriorly, inclined posterad ca. 20–30 degrees in lateral view, space between lobes broader than width of each. Metasternal process well-developed, inclined posterad, 20°-30° in lateral view, triangular-shaped, flattened anteroposteriorly, apex higher than half height of metacoxal internal margin, space between lobes narrower than width of each, internal margins running parallel. Metasternal process external margins convergent. Legs. Mesofemur slightly thicker than metafemur, in dorsal or ventral view. Ventral surface of meso- and metafemora flattened roughly on distad half, surface even without groove. Tibial spur formula 2(1s, 1p), 2(1s, 1p). Anterior mid tibial spur about half-length of posterior spur. Anterior hind tibial spur about half-length of posterior spur. Pretarsal claw arched, unarmed (without accessory teeth on surface). Arolium present, roughly three times shorter than pretarsal claw. Petiole. Lateral view: Petiolar node with straight anterior margin and convex posterior margin, middorsal margin mostly flat, anterodorsal margin angulate, posterior face slightly convex. Subpetiolar process subtriangular, with acute, keel-shaped, slightly grooved anterior cusp, followed posteriorly by straight, slightly flat dome, dome devoid of- or with scant, feebly impressed striae. Lateral projection of anteroventral nodal carina well-developed, with acute to slightly blunt tip moderately bent dorsad. Lateral nodal carina weakly impressed. Anteroventral nodal carina incomplete, feebly concave medially. Gaster. Lateral view: Prora poorly developed, similar to cuticular lip, slightly projected ventrad. Anterior margin of tergum of A3 straight. Dorsalmost limit of anterior tergal margin of A3 nearly as high as maximum height of petiolar node margin. Anterodorsal margin of tergum of A3 convex. Cinctus moderate. Dorsal view: Tergum of A3 slightly shorter than A4. Posterior dorsum of epipygium completely smooth. Color. Appendages mandibles lighter than body integument, antennae dark brown to ferruginous brown, legs light brown. Pilosity. Body with flexuous, tenuously golden, erect and suberect hairs. Appressed pubescence moderately abundant, especially on gastral dorsum, though integument always discernible. Most erect hairs on body dorsum approximately equal to maximum eye length. Scape pilosity mostly composed of erect and suberect hairs and pruinose pubescence, erect hairs shorter than apical scape width. Meso- and metatarsi bearing moderately abundant spine-like setae interspersed with abundant suberect fine setae. Posterior ventrolateral margin of hypopygium (just next to the base of sting) bearing scattered flexuous hairs, shorter than eye maximum length. Posterior dorsum of epipygium surrounded by 20–30 long flexuous hairs, mostly longer than eye maximum length. Sculpture. Integument polished, with abundant, densely-packed piligerous punctures, most of which touch each other and form irregular, feebly impressed striae, especially on head dorsum where these are more raised. Mandibles without striae dorsally. Striae on petiolar node mostly absent, except for few feebly impressed on anterior nodal face.
Queen and male. Unknown.
Comments. Neoponera prasiosomis is amongst the smallest taxa in the N. foetida group (Fig. 12, ☿ TLa = 7 – 8.35 mm), and the specimen from Esmeraldas, Ecuador (MEPN: MEPN4862) is the smallest specimen of this species-group. No strong inference is possible in regards to morphological variation since only two specimens are known. However, the specimen from Ecuador differs from the holotype in the following: the posterolateral margin of the petiolar node is almost horizontally straight, while that of the holotype is slightly inclined, meeting with the anterior margin in ca. 80° angle; the posterior nodal face is punctate, while that of the holotype has feebly impressed horizontal striae; the body integument is mostly castaneous (rather than greenish on the holotype) although a tenuous greenish hue is discernible.
Neoponera prasiosomis could be confused with N. insignis, N. bugabensis, N. theresiae, and N. villosa_cf2 (variant of N. insignis) in the N. foetida group. In particular, the first two species are very similar to it, the reader can use the following characters to separate them: N. prasiosomis has a rectangular head, clearly longer than broad, while the head of the other two species is mostly subquadrate; the antennal scape of N. prasiosomis exceeds the posterior head margin by mostly one apical scape width, while that of the other species is longer, surpassing the posterior head margin by one up to 2.5 times apical scape width; N. prasiosomis shows a greenish integument while that of the other species is mostly black, to brownish; in lateral view, the petiolar node of N. prasiosomis is shorter (☿ PL = 0.70 – 0.75 mm) than those of N. insignis (☿ PL = 0.9 – 1 mm), and N. bugabensis (☿ PL = 0.9 – 1.25 mm).
Neoponera theresiae, on the other hand, is more easily distinguished from N. prasiosomis since it has convex postocular head margins so that the overall head shaped in frontal view seems suboval, while in N. prasiosomis the postocular head margins are straighter. Also, N. theresiae has striae on the proximal mandibular region and laterally on the nodal face. Neoponera prasiosomis is striae-less on such regions.
Finally, N. villosa_cf2 (here considered variant of N. insignis) differs from N. prasiosomis in having a mostly quadrate head in frontal view; the posterolateral nodal margin is significantly more inclined than in N. prasiosomis; and the gaster is abundantly covered with yellow appressed pilosity so that the integument is barely visible, while in N. prasiosomis the gaster is clearly less pilose allowing visibility of the integument.
Outside the N. foetida group, perhaps only N. rugosula and N. unidentata which belong to the N. crenata group, are similar. The easiest form to distinguish them is by examining the mesosomal dorsum where the notopropodeal suture is absent to vestigial, while in all species of the N. foetida group it is always present.
Distribution notes. The elevational range of currently known specimens of N. prasiosomis spans from nearly the sea level up to 150 m. The Panamanian holotype was collected in the Isthmian-Atlantic moist forests, while the specimen from Ecuador belongs from the western Ecuadorian moist forests, which is part of the southern Chocó-Darién.
Natural history notes. Nothing is known about this species except that it is probably arboreal, the specimen from Ecuador was collected using insecticidal knockdown, in a well-preserved, remote primary forest, about 20 years ago. Presently, the forests of this region are highly threatened by human activities, mainly wood extraction and mining (Rebolledo Monsalve et al. 2022).
Other material examined. 1☿️. ECUADOR – Esmeraldas: • 1☿️; Reserva Ecológica Cotacachi Cayapas, Pajonal, 4 km S Gualpi; 0.7584, -79.154; alt. 150m; 2001-04-01; Araujo, P.; et al. leg.; fogging; (MEPN).
Geographic range. Panama, northwestern Ecuador.

4.2.10. Neoponera solisi (Mackay & Mackay 2010)

Figures. 3b, 5a (petiole ☿); 4b (head ☿); 29: a – c (♀︎); 31a (distribution).
Pachycondyla solisi MacKay & MacKay, 2010: 514, Figs. 113, 253, 635-638. ☿ holotype, Costa Rica, Heredia, Est. El Ceibo, P.N. Braulio Carrillo, 400-600 m., ii.1990, C. Chaves [leg,], (INBC, AntWeb: INBIOCRI000312327, link) [image examined]. Paratypes: 1 ☿, 1♀︎, [same data as for lectotype], (INBC, WEMC) [not examined].
Combination in Neoponera: Schmidt & Shattuck, 2014: 151
Status as species: Fernandes et al., 2014: 135.
Worker and queen diagnosis. Head subtrapezoid, posterior margin concave, with posterior corner slightly protruding in frontal view (Fig. 29a); anterior mid clypeal margin concave, with well-impressed longitudinal groove extending through supraclypeal area (Fig. 29a); malar carina present, weakly impressed; antennal scape, when pulled posterad, exceeding posterior head margin by about two times apical scape width; posterior head dorsum with gross longitudinal striae (Fig. 29a); humeral carina well-developed, salient anteriorly; posterolateral propodeal margin carinate; in lateral view, top of petiolar node convex, posterolateral margin carinate, ventral half of anterior face grossly striate (Fig. 3b); posterior nodal face mostly glabrous, except for some marginal long erect hairs (Fig. 5a); prora highly reduced to a feeble swelling (Fig. 3b); integument dark castaneous.
Worker. Measurements (n = 2): HW: 2.59-2.9; HL: 2.94-3.25; EL: 0.73-0.88; SL: 2.9-2.96; WL: 4.2-4.5; PrW: 1.8-2.3; MsW: 1.0-1.28; MsL: 0.9-1.15; PW: 1.1-1.29; PH: 1.28-1.48; PL: 1.28-1.39; GL: 4.5-5.1; A3L: 1.6-1.93; A4L: 1.72-1.8; A3W: 1.9-2.3; A4W: 2.3-2.3; TLa: 11.74-12.87; TLr: 12.92-14.24. Indices. CI: 88.1-89.23; OI: 28.19-30.34; SI: 102.07-111.97; MsI: 111.11-111.3; LPI: 93.92-100.0; DPI: 85.94-92.81.
Queen. Measurements (n = 1): HW: 3.5; HL: 3.7; EL: 1.0; SL: 3.2; WL: 5.5; PrW: 2.5; MsW: 2.0; MsL: 2.65; PW: 1.49; PH: 1.6; PL: 1.68; GL: 7.2; A3L: 2.45; A4L: 2.4; A3W: 2.65; A4W: 2.8; TLa: 15.73; TLr: 18.08. Indices. CI: 94.59; OI: 28.57-; SI: 91.43; MsI: 75.47; LPI: 105.0; DPI: 88.69.
Male. Unknown.
Comments. Neoponera solisi is a medium-sized to large species in the N. foetida group (Fig. 12; ☿ TLa = 11.7 – 12.9 mm; ♀︎TLa: 15.7 mm). Only three specimens were physically examined out of the scant collected through the ALAS project team in Parque Nacional Braulio Carrillo, in Heredia, Costa Rica, the only site in the Neotropics where this taxon is known from.
The morphology of this species, in particular the mid anterior clypeal region and the petiolar node, are very distinctive characters which make easier its distinction from any other species in this group, as well from any other in the genus. Mackay and Mackay (2010) point out it could be confused with N. chyzeri (which belongs to the N. aenescens group), and with N. lineaticeps. This is unlikely though, since both species have very different nodal shape. Also, N. lineaticeps has a black integument and is much smaller, while N. chyzeri is also black, lacks malar carinae, and the body bears abundant, golden appressed hairs. Neoponera solisi inhabits in the Isthmian-Atlantic moist forests at ca. 500 m elevation.
Natural history notes. Nothing is known about this species. However, the morphology of its head, i.e., subtrapezoidal, is reminiscent of arboreal species like N. fisheri or N. luteola (Roger) which have been collected inside Cecropia spp. (Urticaceae) plants, in particular N. luteola which holds a mutualistic association with C. membranacea Trécul. in Peru (Gutiérrez-Valencia et al. 2017).
Figure 29. Neoponera solisi. ♀︎ (INBC: INB0003662417), Costa Rica, Heredia. a. Lateral view; b. Head in frontal view; c. Dorsal view.
Figure 29. Neoponera solisi. ♀︎ (INBC: INB0003662417), Costa Rica, Heredia. a. Lateral view; b. Head in frontal view; c. Dorsal view.
Preprints 144083 g029
Material examined. 4☿️, 1♀. COSTA RICA – Heredia: • 1☿️; Estación El Ceibo; 10.328, -84.0804; alt. 400m; 1990-02-01; Chaves, C. leg.; (INBC). 1☿️; Estación El Ceibo; 10.328, -84.0804; alt. 400m; 1990-02-01; Chaves, C. leg.; (UTEP). 1♀; Parque Nacional Braulio Carrillo, 11 km SE La Virgen; 10.3333, -84.0667; alt. 500m; 2003-02-12; ALAS leg.; Malaise; (INBC). 2☿️; Parque Nacional Braulio Carrillo, 11 km SE La Virgen; 10.3333, -84.0667; alt. 500m; 2003-02-12; ALAS leg.; Malaise; (INBC).
Geographic range. Northeastern Costa Rica.

4.2.11. Neoponera theresiae (Forel, 1899)

Figures. 3c (petiole ☿); 6a (mandible ☿); 31a (distribution).
Pachycondyla theresiae Forel, 1899: 13, Plate 1, Fig. 11. ☿ lectotype [by designation of MacKay & MacKay, 2010: 549], Panama, Bugaba, Volcán de Chiriqui, Champion [leg.], (MHNG, AntWeb: CASENT0907241, link) [image examined].
Combinations. In Pachycondyla: Brown, 1995: 310; in Neoponera: Emery, 1901: 47; Schmidt & Shattuck, 2014: 152.
Status as species. Emery, 1911: 72; MacKay & MacKay, 2010: 549 [redescription].
Worker (and probably queen) diagnosis. Head subquadrate, lateral margin posterior to eye relatively round, posterior margin feebly concave to straight (link); anterior mid clypeal margin convex; proximal region of mandibular dorsum with well-impressed, divergent striae, distal region usually smooth (Fig. 6a); humeral carina present, slightly salient; posterolateral propodeal margin blunt; in lateral view, anterior margin of petiolar node straight, weakly inclined posterad, nodal top blunt to convex, posterolateral margin convex, carinate, meeting anterior margin in ca. 80° angle (link); posterior propodeal face, and anterolateral nodal face with well-marked horizontal striae (Fig. 3c).
Worker. Measurements (n = 2): HW: 1.9-2.08; HL: 2.05-2.09; EL: 0.45-0.5; SL: 2.0-2.0; WL: 2.8-3.0; PrW: 1.15-1.19; MsW: 0.74-0.75; MsL: 0.65-0.68; PW: 0.9-0.9; PH: 0.78-0.8; PL: 0.88-0.9; GL: 3.0-3.85; A3L: 1.15-1.2; A4L: 1.21-1.25; A3W: 1.4-1.45; A4W: 1.49-1.5; TLa: 8.18-8.35; TLr: 8.95-9.62. Indices. CI: 92.68-99.52; OI: 23.68-24.04; SI: 96.15-105.26; MsI: 108.82-115.38; LPI: 112.5-112.82; DPI: 100.0-102.27.
Queen and male. Unknown.
Comments. Neoponera theresiae is amongst the smallest species in the N. foetida group (Fig. 12; ☿ TLa = 8.18 – 8.35 mm). Although relatively few specimens were examined from Costa Rica, Panama and Colombia, no major deviations from the diagnostic limits of this species were detected. The nodal lateral striae of a Costa Rican specimen from San José (CASENT0843316) are slightly less impressed than those from two Colombian specimens from Valle del Cauca (MUSENUV16069). Besides this, the overall morphology of examined N. theresiae is quite homogeneous.
This species is somewhat hard to distinguish mainly due to the shape of the petiolar node which is very similar to that of N. bugabensis, N. insignis, N. villosa, N. foetida, and N. lineaticeps. In the first three, however, the node is striae-less, while the other two carry well-marked striae, more impressed than in N. theresiae. In N. foetida these striae cover most of the nodal surface, and in N. lineaticeps just a portion, but the striae are gross, clearly raised from cuticle. If doubts persist, the reader can look at the lateral head margins posterior to eyes which in N. theresiae are broadly convex, giving it the appearance of an ovoid shape, rather than subquadrate or rectangular. Another distinctive feature of N. theresiae are the divergent, well-marked striae on the mandibular dorsum. The other species all show striae on their mandibles but these are tenuously (e.g., N. lineaticeps) to moderately impressed (e.g., N. villosa), never strongly marked as in N. theresiae. An exception perhaps is N. foetida, where these striae are virtually absent, still some traces are distinguished.
Distribution notes. Neoponera theresiae inhabits the Isthmian-Pacific moist forests in Central America, south to the Chocó-Darién, Cauca Valley montane forests, and Apure-Villavicencio dry forests in Colombia, spanning an elevation range from 300 m to ca. 1000 m. Wheeler (1923) cites “Cucuruzinho, Rio Autaz”, p. 2. Rio Autaz is a river on the eastern side of the state of Amazonas, Brazil, while Cucuruzinho is not a site but a common name of an Amazonian frog. Emery (1911) cites Peru, without specific site though. Antmaps.org refers Gomes et al. (2010) to a supposed record in Alagoas; this is a probable misidentification, however, maybe with N. foetida which also carries striae in the lateral side of the node. We believe an Amazonian distribution for current N. theresiae populations is unlikely since not a single record for that Biome has been reported in past years.
Natural history notes. See Mackay and Mackay (2010), and Longino (2010).
Material examined. 8☿️. COLOMBIA – Meta: • 1☿️; San Juan de Arama; 3.34, -73.889; alt. 430m; 1995-06-08; Fernández, F. leg.; (MUSENUV). – Valle del Cauca: • 1☿️; Central Hidroeléctrica Anchicayá; 3.61, -76.891; 1980-05-09; Reyes-Blanco, R. leg.; (MUSENUV). COSTA RICA – Puntarenas: • 1☿️; 6 Km S San Vito; 8.7, -83.0; alt. 500m; 1967-03-13; OTS course leg.; (QCAZ). – San José: • 1☿️; Ranchos Tinamú; 9.4857, -83.9572; alt. 870m; 2015-07-13; Mata, I. leg.; beating; (MUCR). 1☿️; Ranchos Tinamú; 9.4857, -83.9612; alt. 950m; 2015-07-04; Ward, P. S. leg.; beating; (PSWC). 1☿️; Ranchos Tinamú; 9.4858, -83.9544; alt. 760m; 2015-07-09; Ward, P. S. leg.; beating; (PSWC). 1☿️; Ranchos Tinamú; 9.4865, -83.9525; alt. 730m; 2015-07-11; ADMAC leg.; miniWinkler; (JTLC). PANAMA – Chiriquí: • 1☿️; Bugaba; 8.4833, -82.6167; alt. 350m; Champion leg.; (MHNG).
Geographic range. Costa Rica, Panama, Colombia.

4.2.12. Neoponera villosa (Fabricius, 1804)

Figures. 2a (petiole); 30b (distribution).
Formica villosa Fabricius, 1804: 409. ♀︎ lectotype [by designation of Fernandes et al. 2014: 155], Suriname, Essequibo, (ZMUC) [image from Fernandes et al. 2014, examined].
Combinations. In Ponera: Lepeletier de Saint-Fargeau, 1835: 192. In Pachycondyla: Mayr, 1862: 720; Brown, 1995: 311. In Neoponera: Emery, 1901: 43; Schmidt & Shattuck, 2014: 152.
Status as species. Lepeletier de Saint-Fargeau, 1835: 192; Roger, 1861: 1 [redescription]; Wheeler, 1908: 403 [redescription]; Gallardo, 1918: 56 [redescription]; MacKay & MacKay, 2010: 571 [redescription]; Fernandes et al., 2014: 154 [redescription].
Neoponera pilosa Smith, 1858: 95. [Junior synonym of Pachycondyla crassinoda. Syn. nov.]
Senior synonym of Neoponera bicolor: Roger, 1861: 1.
Worker and queen diagnosis. The following is added to the diagnosis of Fernandes et al. (2014): Head subquadrate, slightly longer than broad; humeral carina present, sometimes feebly salient; posterior propodeal margin carinate, carina feebly raised; posterolateral margin of petiolar node carinate; posterior face of node with tumulus; prora well developed, truncate anteriorly.
Worker. Measurements (n = 50): HW: 2.15-3.0; HL: 2.5-3.15; EL: 0.65-0.85; SL: 2.2-3.1; WL: 3.6-5.28; PrW: 1.45-2.0; MsW: 0.9-1.4; MsL: 0.75-1.15; PW: 1.15-1.6; PH: 1.0-1.5; PL: 1.0-1.5; GL: 3.5-5.28; A3L: 1.15-1.8; A4L: 1.45-1.95; A3W: 1.45-2.25; A4W: 1.65-2.35; TLa: 10.05-12.93; TLr: 11.1-14.69. Indices. CI: 84.75-98.36; OI: 23.64-30.23; SI: 81.82-109.8; MsI: 86.96-156.25; LPI: 83.33-125.0; DPI: 96.0-131.82.
Queen. Measurements (n = 13): HW: 2.1-3.1; HL: 2.2-3.25; EL: 0.6-0.9; SL: 2.25-3.35; WL: 1.85-5.35; PrW: 1.5-2.25; MsW: 1.15-2.15; MsL: 1.0-2.15; PW: 1.2-1.75; PH: 1.0-1.55; PL: 1.0-1.7; GL: 3.8-5.91; A3L: 1.45-2.1; A4L: 1.65-2.25; A3W: 2.05-2.55; A4W: 2.2-2.65; TLa: 9.55-14.34; TLr: 10.65-15.95. Indices. CI: 87.69-96.88; OI: 25.86-29.82; SI: 94.83-111.67; MsI: 76.74-143.33; LPI: 90.32-121.43; DPI: 102.94-136.0.
Male. Described by Mackay and Mackay (2010) and diagnosed by Fernandes et al. (2014). The following is added to their diagnoses: notauli sometimes touching posteriorly, thus forming a Y shaped impression; mesopleural sulcus sculpted, slightly reaching ventral pleural surface; metanotum medially carinate; posterior propodeal margin sometimes with blunt carina, though mostly carina-less; posterior face of petiolar node with longitudinally oriented tumulus; node about as long as high in lateral view.
Male Measurements (n = 12): HW: 1.2-1.9; HL: 1.05-1.8; EL: 0.75-0.95; SL: 0.25-0.4; WL: 3.95-4.78; PrW: 1.25-1.8; MsW: 1.25-2.15; MsL: 0.75-1.8; PW: 0.75-1.25; PH: 0.95-1.1; PL: 0.75-1.2; GL: 4.5-6.1; A3L: 1.05-1.7; A4L: 0.65-1.9; A3W: 1.5-1.95; A4W: 1.8-2.15; TLa: 9.0-11.0; TLr: 10.85-13.22. Indices. CI: 82.76-147.62; OI: 47.37-75.0; SI: 13.16-33.33; MsI: 86.21-246.67; LPI: 75.0-121.05; DPI: 62.5-126.67.
Comments. Neoponera villosa is a medium-sized to relatively large species in the N. foetida group (Fig. 12; ☿ TLa = 10.05 – 12.93 mm; ♀︎TLa = 9.55 – 14.34 mm). Neoponera bugabensis, N. curvinodis, N. insignis, N. inversa, and N. zuparkoi are most similar to it. They can be distinguished from N. villosa by examining the following (differential traits indicated in parentheses): N. bugabensis and N. insignis have a convex (vs. concave) mid clypeus; N. inversa has a strongly to slightly concave (vs. straight) anterior nodal margin; and in N. curvinodis the anterior nodal margin may also be slightly concave to straight, but the nodal top is slightly curved anterad (vs. straight). The posterior nodal face of N. curvinodis is just convex, while in N. villosa besides being convex it has a tumulus (Fig. 2b). This latter feature is decisive for separating N. villosa from all cited species, except N. zuparkoi which also has a tumulus on the same surface, but this species shows an anteriorly projected mesopleural margin, forming lobate or lamellate cuticular extension (Fig. 7a – b). In N. villosa the mesopleural anterior margin is only carinate or slightly lobate anteriorly (Fig 11a).
Neoponera villosa has a remarkably stable morphology across its distribution range, in comparison to other closely related congeners like N. curvinodis and N. inversa which show plasticity in some body regions, like the petiolar node (see comments under those species). The cuticular hue is the only detected variable trait in workers and queens of N. villosa, it can sometimes be dark brown combined with castaneous, particularly on the petiolar node (link), or simply dark brown to ferruginous brown (link). The morpho-stability in N. villosa is the only evident case known in the genus for a broadly-ranged lineage. Current observations converge with those of Mendoza-Ramírez et al. (2019) who demonstrated the existence of genetic (mitochondrial) cohesiveness between its populations, which in turn is reflected on their minimally variable external morphology. Arguably, this could be the result of a relatively young divergence from its most recent ancestor which, according to said authors, occurred during the late Pliocene to middle Pleistocene (3.03–1.26 mya), or even more recently in the late Pleistocene (0.75–0.3 mya).
Fernandes et al. (2014) noted that specimens from near the equator have darker mesosoma, gaster and legs, while Mendoza-Ramírez et al. (2019) detected that certain specimens from Peru and Colombia, which show slightly higher genetic distances than the rest in their specimen pool, have a more pilose mesosoma and gaster. In Neoponera, color and pilosity are usually variable traits not useful as species-level diagnostics, unless these clearly differ from those of other related lineages. In this treatment, no major external character variations were observed among the material examined. Thus, it appears that present genetic cohesiveness in N. villosa would be correlated with its morphological stability. Yet, this is a rare case in the genus and additional specimens from further South American regions and biomes need to be included in Mendoza-Ramírez et al.’s (2019) data set so as to confirm that hypothesis.
Within the N. foetida clade, N. foetida and N. villosa are older than N. curvinodis, N. inversa, and N. zuparkoi, and the morphospecies N. ecu2923 (Troya et al. unpublished), the latter considered here a variation of N. zuparkoi (see comments under that species). All being relatively young as judged by their respective comparatively short branches. Of these, populations of N. inversa and N. curvinodis show evident plasticity. As for the other two no inference is possible since scant specimens were examined. Is plasticity in those lineages a signature of ongoing speciation? Are these populations still in course of stablishing differentiated phenotypes? in contrast to what is seen in N. villosa and N. foetida whose morphology is significantly less variable. To tackle these questions more material and approaches are required rather than just morphology-driven inferences. Since N. inversa and N. curvinodis are so similar, and thus far, no evidence seems to indicate they occupy different ecological niches, they could even represent a single but highly variable species.
Distribution notes. Neoponera villosa has the broadest latitudinal range of all species in the genus, it spans from central-eastern Texas to northern Argentina. This is also amongst the most commonly collected taxon in Neoponera, and very frequently collected among all ponerines. Only N. apicalis, and N. verenae Forel have a similar broad distribution. According to Antmaps.org, only three Brazilian states, Piauí, Alagoas and Sergipe lack records of this taxon. Neoponera villosa also inhabits a wide range of biomes and ecosystems, including: the Central and Southern mixed grasslands in central-southern Texas, the drylands of the Tamaulipan Mezquital in southern Texas and northeastern Mexico, the Mexican matorrales (xeric schrublands) of the Meseta Central, the Central American Isthmian Atlantic and Pacific moist forests, the Chocó-Darién, the Venezuelan xeric shrublands of the Cordillera de la Costa, numerous sites in Amazonia as well in all Brazilian biomes, the Bolivian Yungas, the dry and humid Chaco of Argentina and Paraguay, among others. This species mostly likes humid, lowland forests from near the sea level up to about 1400 m elevation, with a record extreme of 2500 m in the city of Bogotá, Colombia. This latter though may just be an interception and not a specimen from a truly established population.
Natural history notes. Neoponera villosa is a heavily studied species in several research lines, see for example, comments on biology and ecology in Perez et al. (1985), Dejean (1990), Longino (2010), Mackay and Mackay (2010), Fernandes et al. (2014), Pérez-Lachaud et al. (2021). Along with N. apicalis these are perhaps the most well-known lineages in the genus with respect to several fields of knowledge, but probably mostly in behavioral biology.
Material examined. 188☿️, 14♀, 18♂. ARGENTINA • 1☿️; Puerto Iguzú, Parque Nacional Iguazú; -25.6831, -54.4546; alt. 180m; 1905-07-08; Peres I. leg.; (DZUP). BOLIVIA – La Paz: • 1☿️; 30 km N Apolo; -14.48, -68.52; alt. 860m; 1993-09-08; Pease, G. leg.; (PSWC). – La paz: • 2☿️; Sarampiuni; -15.4, -68.0833; alt. 754m; 2005-02-13; Rodriguez, J. leg.; Malaise; (DZUP). BRAZIL – Acre: • 1☿️; 6 km E of Porto Walter; -8.25, -72.8; alt. 239m; 1997-02-05; Caldwell, J. P. leg.; (CPDC). – Amapá: • 1☿️; Rod. Duque de Caixas, Km 9; 0.0361, -51.1322; alt. 21m; 1997-10-19; Vilhena, J. leg.; (INPA). – Amazonas: • 1♂; Amana lake; -2.6003, -64.6795; alt. 52m; 1979-09-28; Best, R. leg.; light trap; (INPA). 1♂; Amana lake; -2.6003, -64.6795; alt. 52m; 1979-09-08; Best, R. leg.; light trap; (INPA). 1☿️; Balbina; -0.1918, -59.469; alt. 27m; 1992-07-04; Keiroz, M. leg.; (CPDC). 1☿️; Br. 174, Km 44; -2.724, -60.0472; alt. 72m; 1994-06-24; Harada, A. leg.; (INPA). 1☿️; Marchantaria island, Camaleão lake; -3.25, -59.9667; alt. 7m; 1992-09-02; Adis, J.; et al. leg.; fogging; (INPA). 1☿️; Marchantaria island, Camaleão lake; -3.25, -59.9667; alt. 7m; 2008-05-29; (INPA). 1☿️; Reserva Florestal Adolpho Ducke, Instituto Nacional de Pesquisas da Amazônia (INPA); -2.9333, -59.9667; alt. 106m; 1991-08-21; Adis, J.; et al. leg.; (INPA). 3♂; São Francisco; -3.1227, -58.433; alt. 17m; 2009-10-02; Fernandes, I. leg.; (INPA). 1♀; São Francisco; -3.1227, -58.433; alt. 17m; 2009-10-02; Fernandes, I. leg.; (INPA). 23☿️; São Francisco; -3.1227, -58.433; alt. 17m; 2009-10-02; Fernandes, I. leg.; (INPA). – Bahia: • 3♂; 3.3 Km N main entrance CEPLAC-CEPEC, Ilhéus-Itabuna road; -14.75, -39.2167; alt. 61m; 1997/09; Santos, J. R. M. leg.; (CPDC). 1☿️; 3.3 Km N main entrance CEPLAC-CEPEC, Ilhéus-Itabuna road; -14.75, -39.2167; alt. 61m; (CPDC). 1☿️; 3.3 Km N main entrance CEPLAC-CEPEC, Ilhéus-Itabuna road; -14.75, -39.2167; alt. 61m; 2012-12-19; Silva, J. A. leg.; (CPDC). 2☿️; 3.3 Km N main entrance CEPLAC-CEPEC, Ilhéus-Itabuna road; -14.75, -39.2167; alt. 61m; 2004-05-04; pitfall; (CPDC). 2☿️; 3.3 Km N main entrance CEPLAC-CEPEC, Ilhéus-Itabuna road; -14.75, -39.2167; alt. 61m; 2014-05-04; baiting; (CPDC). 1☿️; 3.3 Km N main entrance CEPLAC-CEPEC, Ilhéus-Itabuna road; -14.75, -39.2167; alt. 61m; 2007-05-02; Santos, P. P. leg.; (CPDC). 13☿️; 3.3 Km N main entrance CEPLAC-CEPEC, Ilhéus-Itabuna road; -14.7659, -39.2159; alt. 53m; 2017/08; Carvalho, E.; Queiroz, J. leg.; Malaise; (CPDC). 1☿️; 6 km NW of Boa Nova; -14.3167, -40.25; alt. 844m; 2014-07-05; Silva, A. P. leg.; pitfall; (CPDC). 2☿️; Buerarema; -14.9844, -39.2583; alt. 130m; 2006-05-03; Maia, J. R.; et al. leg.; (CPDC). 1☿️; Ilhéus, CEPLAC; -14.7979, -39.0375; alt. 8m; 1988-09-27; Diniz.; et al. leg.; (DZUP). 1☿️; Itamaraju; -17.0391, -39.5293; alt. 103m; 1994-01-21; Cardoso, I. leg.; (CPDC). 2☿️; Itororó; -15.1158, -40.0646; alt. 600m; 2007-06-02; Santos, J. R. M. leg.; (CPDC). 1☿️; Mutuípe; -13.228, -39.504; alt. 220m; 1988-06-21; Crispim, J. leg.; (CPDC). 1♂; Teixeira de Freitas; -17.5403, -39.7431; alt. 119m; 2004-09-10; Santos, J. R. M. leg.; (CPDC). 1☿️; Teixeira de Freitas; -17.5403, -39.7431; alt. 119m; 2004-09-10; Santos, J. R. M. leg.; (CPDC). – Ceará: • 1☿️; Chapada do Aroripe; -7.134, -39.594; alt. 770m; 1997-12-28; Almeida, A. leg.; (CPDC). 1☿️; Crato ; -7.23, -39.4123; alt. 430m; 2007-07-30; Tardim, T. leg.; (CPDC). – Distrito Federal: • 3☿️; Area de Proteção Ambiental Gama Cabeça de Veado; -15.8667, -47.8333; alt. 1080m; 2000-03-02; Mirelle, P. leg.; (DZUP). 1☿️; Area de Proteção Ambiental Gama Cabeça de Veado; -15.8667, -47.8333; alt. 1080m; 2000-03-02; Mirelle, P. leg.; (CPDC). – Espírito Santo: • 2♂; 13 km SW of Linhares, Bonita; -19.4667, -39.9167; alt. 17m; 2007-07-14; Santos, J. R. M. leg.; (CPDC). 1☿️; 13 km SW of Linhares, Bonita; -19.4667, -39.9167; alt. 17m; 2007-07-14; Santos, J. R. M. leg.; (CPDC). 1☿️; Linhares; -19.3947, -40.0653; alt. 31m; 1966-10-11; Niella leg.; (CPDC). 1☿️; Linhares; -19.3947, -40.0653; alt. 31m; 1991-08-14; Araujo, C. leg.; (CPDC). 1☿️; Regência; -19.646, -39.826; alt. 6m; 1994-01-23; Delabie, J. leg.; (CPDC). – Goiás: • 1☿️; 17 km NE of Jataí, Fazenda Rio Paraíso; -17.7333, -51.6333; alt. 869m; 2011-01-28; Diniz, J. leg.; pan trap; (DZUP). 1☿️; 24 km N of Serranópoli, fazenda São Cristóvão; -18.0833, -52.0333; alt. 817m; 2009-01-10; Santos, G. G. leg.; (DZUP). 1☿️; Fazenda Lageado; -17.8791, -51.7283; alt. 849m; 1998-09-09; Diniz leg.; (DZUP). 1☿️; Fazenda Lageado; -17.8791, -51.7283; alt. 849m; 2004-09-18; Gilmar leg.; (DZUP). 1☿️; Fazenda Mato; -17.8791, -51.7283; alt. 849m; 2001-08-31; Diniz, Baiano. leg.; (DZUP). 1☿️; Ipameri; -17.719, -48.159; alt. 760m; 2011-07-01; Rodrigues, C. leg.; (CPDC). 1☿️; Jataí; -17.8833, -51.7333; alt. 771m; 2008-04-23; Fachi, M. leg.; (DZUP). 1☿️; Mineiros, Fazenda Flores.; -17.458, -52.5988; alt. 868m; 2008-07-18; Rezende, F. leg.; (DZUP). 1☿️; Pequena Central Hidrelétrica (PCH) Retiro Velho; -18.8222, -52.174; alt. 565m; 2011-04-14; Gilmar; James leg.; (DZUP). 1☿️; Pousada dos Guardiões; -18.306, -51.958; alt. 746m; 2004-05-29; Souza, K. leg.; (DZUP). 1☿️; Quirinopolis; -18.4476, -50.4552; alt. 510m; 2012-08-05; Daiane leg.; pitfall; (DZUP). – Mato Grosso: • 1♂; 16 km N Chapada dos Guimarães; -15.1667, -55.7833; alt. 734m; 2013-01-17; Savaris, M.; Lampert, S. leg.; (DZUP). 2☿️; Barra da Garça; -15.8914, -52.2619; alt. 313m; Negrett leg.; (DZUP). 1☿️; Chapada dos Guimarães; -15.45, -55.9; alt. 726m; 1983-12-01; (DZUP). 1☿️; Cuiabá; -15.6008, -56.0968; alt. 172m; 1985-02-19; Zanuto, M. leg.; Malaise; (MPEG). 1☿️; Fazenda Burití; -13.8333, -56.0667; alt. 459m; 1996-05-05; Ribeiro, G. C.; Mendes, H. F. leg.; (DZUP). 2☿️; Nhambiquara; -12.85, -59.3; alt. 464m; 1960-11-01; Alvarenga, M. leg.; (DZUP). 1☿️; Poxoréu, Ponte do Santo; -15.826, -54.4016; alt. 375m; 2005-07-23; Diniz.; et al. leg.; (DZUP). 1☿️; Sapezal, Fazenda Tupanci; -13.5479, -58.8161; alt. 560m; 2017-12-10; Ferreira, J. leg.; pitfall; (DZUP). 2☿️; Serra Roncador; -11.1667, -52.0833; alt. 303m; 1968-07-13; Laroca & Azevedo. leg.; (DZUP). 1☿️; Tangará da Serra; -14.6182, -57.4877; alt. 390m; 2008-05-30; Maria, P. R. leg.; (CPDC). 1☿️; UNEMAT- campus; -9.8833, -56.0833; alt. 287m; 2015-06-27; dos Santos, S. R. leg.; (DZUP). – Mato Grosso do Sul: • 1☿️; 6km W of Jardim; -21.4833, -56.2167; alt. 316m; 2012-12-03; Savaris, M.; Lampert, S. leg.; (DZUP). 1♂; 7 km NW of Bonito; -21.1, -56.55; alt. 362m; 2011-12-12; Savaris, M.; Lampert, S. leg.; Light trap; (DZUP). 1☿️; Corumbá; -19.0, -57.65; alt. 124m; 2016-01-13; Filho, R., et al. leg.; hand collected; (DZUP). 1☿️; Fazenda Nhumirim; -18.988, -56.619; alt. 106m; 2016-07-18; Filho, R., et al. leg.; pitfall; (DZUP). 2☿️; Fazenda olho d'agua; -19.6742, -51.1903; alt. 385m; 1972-07-12; Diniz, J. leg.; (DZUP). – Minas Gerais: • 1☿️; Pandeiros; -15.4833, -44.75; alt. 510m; 2014-06-16; Santiago, et al. leg.; pitfall; (DZUP). 2☿️; Parque Estadual do Río Doce; -19.75, -42.6167; alt. 307m; 2015-10-14; Leponce, M, et al. leg.; (DZUP). 1☿️; Patrocínio; -19.1833, -47.0333; alt. 896m; 2011-06-06; Frizzo, T. leg.; (DZUP). 1☿️; Santana do Riacho; -19.1685, -43.7148; alt. 764m; 2001-02-19; Soares, S. M. leg.; (CPDC). – Paraná: • 1☿️; 4 km SE Santa Terezinha de Itaipu; -25.4667, -54.35; alt. 296m; 2017-07-25; Filho, R., et al. leg.; pitfall; (DZUP). 1☿️; Foz do Iguaçu; -25.5, -54.5833; alt. 206m; 1966-12-03; (DZUP). 1♀; Guairá; -24.0833, -54.2333; alt. 260m; 1982-09-01; Cordeirol, A. M. leg.; (DZUP). 1♀; Guairá; -24.0833, -54.2333; alt. 260m; 1982-08-01; Cordeirol, A. M. leg.; (DZUP). 1☿️; Guairá; -24.0833, -54.2333; alt. 260m; 1982-09-01; Cordeirol, A. M. leg.; (DZUP). 1♂; Reserva Natural Guaricica, Guaricica trail; -25.3, -48.65; alt. 36m; 2008/04; Feola, G. leg.; Malaise; (MEPN). 2☿️; São Camilo; -24.2667, -53.8333; alt. 335m; 2013-02-01; Gonçalves, R.; Artmann, N. leg.; Malaise; (DZUP). 1☿️; São Camilo; -24.3, -53.9167; alt. 330m; 2013-02-01; Gonçalves, R.; Artmann, N. leg.; Malaise; (DZUP). – Paraíba: • 1☿️; Universidade Federal do Paraíba; -7.143, -34.85; alt. 47m; 1995-04-02; Santos, M. leg.; (CPDC). – Pará: • 1♀; Bajurú; -1.51, -48.04; alt. 13m; 1978-01-12; França, W. leg.; (MPEG). 1☿️; Monte Dourado- área 75; -0.7, -52.7; alt. 50m; 2010-11-10; Marsh, C. J. leg.; (DZUP). 1☿️; Parque Nacional Amazonia; -4.3799, -56.781; alt. 99m; 1978-11-13; Overal, W. leg.; (MPEG). 1☿️; Xingu river, right shore; -2.8817, -52.0095; alt. 4m; 2000-12-12; Maciel, C.; Dias, J. leg.; Malaise; (MPEG). – Rio Grande do Norte: • 1☿️; Parque do Jiqui; -5.9071, -35.1984; alt. 26m; 2008-11-04; Pinheiro, M. P. G. leg.; (CPDC). – Rio de Janeiro: • 1☿️; Conceição de Malabu; -22.0839, -41.8723; alt. 51m; 1978/09; Alvarenga, M. leg.; (MPEG). 1☿️; Ilha da Gipóia; -23.0333, -44.35; alt. 113m; 1981-01-22; Rosado leg.; (DZUP). 1☿️; Maricá; -22.9194, -42.8187; alt. 32m; 2009-06-18; (DZUP). 1☿️; Universidade Federal Rural do Rio de Janeiro; -22.7713, -43.6863; alt. 23m; 2004-02-03; Delabie, J. H. C. leg.; (CPDC). 1☿️; Vila do Abraão; -23.1413, -44.1685; alt. 5m; 2012-08-29; Queiroz, J.; et al. leg.; (CPDC). – Rondônia: • 1☿️; CEPLAC; -10.7167, -62.2333; alt. 359m; 2016-12-14; Silva, E. leg.; arboreal pitfall; (MPEG). 1☿️; Parque Estadual do Guajara-Mirim, 18 km SW of Nova Dimensão; -10.3167, -64.55; alt. 152m; 1998-02-12; Santos, J. R. M. leg.; hand collected; (CPDC). – Roraima: • 1☿️; Estação Ecológica Caracaraí; 1.7764, -61.3049; alt. 71m; 1976-04-30; Nilu leg.; (INPA). 1♀; Parque Nacional do Viruá; 1.4412, -61.0437; alt. 406m; 2017-12-06; Lattke, J.; et al. leg.; (DZUP). – São Paulo: • 1♂; Corumbataí; -22.222, -47.623; alt. 580m; 1963-09-01; (DZUP). 1☿️; Fazenda Boa Vista; -15.8947, -52.2624; alt. 308m; 2003-11-26; Diniz leg.; (DZUP). 1☿️; Fazenda Boa Vista; -15.8947, -52.2624; alt. 308m; 2003-11-26; Diniz.; et al. leg.; (DZUP). 1☿️; Ipaussu; -23.0552, -49.6237; alt. 575m; 1928-09-20; Pessoa, S. B. leg.; (DZUP). 1☿️; Itirapina; -22.2526, -47.8156; alt. 804m; 1990-04-10; Paiva, R. leg.; (DZUP). 1☿️; Itirapina-Cerrado; -22.25, -47.8167; alt. 762m; 2015-11-09; Martins, A. L.; Moericke, P. S. leg.; (DZUP). 4♀; São José do Rio Preto; -22.1784, -42.966; alt. 601m; 1973-09-02; Taddei leg.; (DZUP). 2♀; São José do Rio Preto; -22.1784, -42.966; alt. 601m; 1979-08-20; Latorre, J. R. leg.; (DZUP). 1♀; São José do Rio Preto; -20.7851, -49.3599; alt. 533m; 1978-11-22; (DZUP). 1♀; São Sebastião ; -23.8064, -45.4018; alt. 2m; 1978-09-04; Diniz, J. leg.; (DZUP). – Tocantins: • 1☿️; Pium; -10.4433, -49.1794; alt. 275m; 2009; Leite, G. leg.; (CPDC). COLOMBIA • 1☿️; Parque Nacional Natural Amacayacu, Matamata; 3.6833, -70.25; alt. 150m; 2001-02-02; Chota, D. leg.; Malaise; (IAvH). 1☿️; Parque Nacional Natural Serranía de La Macarena; 2.9692, -73.9006; alt. 1253m; 1986/10; (MUSENUV). 1☿️; Vía Tarapacá km 11; 2.9, -69.744; alt. 85m; 2002-05-27; (ICN). – Chocó: • 1☿️; Estación Silvicultura al Bajo Atrato; 7.0406, -77.3378; alt. 149m; 1992-07-01; Mendoza, L. leg.; hand collected; (ICN). 1☿️; Parque Nacional Natural Los Katios, Centro administrativo Sautatá; 7.85, -77.1335; alt. 96m; 2001-05-01; Ramírez, D. leg.; Malaise; (IAvH). – Cundinamarca: • 1☿️; Bogotá; 4.64, -74.086; alt. 2500m; 1985-05-24; Parada, C. leg.; (ICN). – Magdalena: • 1☿️; Caribio; 10.76, -75.13; alt. 26m; 1982/10; Norberto, H. leg.; (MUSENUV). – Meta: • 1☿️; La Virginia; 3.463, -73.622; alt. 300m; 1983-03-20; (ICN). 1☿️; Parque Nacional Natural Serranía de La Macarena; 2.9692, -73.9006; alt. 1253m; 1986/10; (MUSENUV). 1☿️; Parque Nacional Natural Serranía de La Macarena, Vereda Caño Curia; 3.4067, -73.9537; alt. 520m; 1992-07-18; Villalba, W. leg.; (ICN). 1☿️; Parque Nacional Natural Serranía de La Macarena, Vereda Caño Curia; 3.4067, -73.9537; alt. 100m; 2004-01-16; Villalba, W. leg.; Malaise; (IAvH). 1☿️; Puerto Gaitán; 4.312, -72.082; alt. 150m; 1975-12-22; Mackay, W.; Mackay, E. leg.; (ICN). – Nariño: • 1☿️; Iscuande; 2.45, -77.979; alt. 6m; 1976/04; (MUSENUV). – Putumayo: • 1☿️; Parque Nacional Natural La Paya; 0.1551, -75.2231; alt. 219m; 2008-02-20; Jiménez, L. leg.; (ICN). 1☿️; Parque Nacional Natural La Paya; 0.1551, -75.2231; alt. 219m; 2008-02-20; Jiménez, L. leg.; Malaise; (ICN). – Risaralda: • 1☿️; Santa Cecilia; 5.238, -76.036; alt. 1300m; 1992-02-01; Fernández, F. leg.; (ICN). – Valle del Cauca: • 1☿️; Vereda Campo Alegre; 3.8167, -76.5167; alt. 1413m; 1984-02-05; Cepeda, O. leg.; (ICN). ECUADOR – Esmeraldas: • 1☿️; Reserva Ecológica Cotacachi Cayapas, La Tabla, 7 km EES Playa de Oro; 0.845, -78.744; alt. 120m; 2001-04-01; Araujo, P.; et al. leg.; fogging; (MEPN). – Napo: • 1☿️; Limoncocha; -0.3998, -76.6001; alt. 280m; 1970-07-02; Kazan, P. leg.; (QCAZ). – Orellana: • 2☿️; Parque Nacional Yasuní, 32 Km SSE Limoncocha, Onkonegare Km 39 Pompeya Sur; -0.658, -76.452; alt. 216m; 1995-02-08; Erwin, T.; et al. leg.; fogging; (MEPN). – Pastaza: • 1☿️; Parque Nacional Yasuní, Bameno, sendero Curaray 2; -1.301, -76.143; alt. 240m; 2014-01-13; Troya, A.; Duque, P. leg.; fogging; (MEPN). – Sucumbíos: • 1☿️; Nuevo Sucumbíos; -0.229, -77.326; alt. 750m; 2005-12-27; Troya, A. leg.; fogging; (MEPN). 1☿️; Reserva de Producción Faunística Cuyabeno, Trocha Zábalo-Güepi; -0.26, -75.69; alt. 270m; 2000-08-08; Araujo, P. leg.; fogging; (MEPN). FRENCH GUIANA – Cayenne: • 1☿️; Campus, P2; 5.1728, -52.6552; alt. 2m; 2018-10-31; Petitclerc, F.; Jackie, O.; Fichaux, M.; Lepage, P. leg.; Winkler48h; (EcoFoG). 1☿️; Paracou Station; 5.2833, -52.9; alt. 72m; 2009/04; Groc, S. leg.; Winkler; (CPDC). 1☿️; Sinnamary; 5.3746, -52.9547; alt. 7m; 1999-08-15; Durou, S. leg.; (CPDC). – Saint-Laurent-du-Maroni: • 2☿️; Awala-Yalimapo; 5.691, -53.9328; alt. 5m; 2008-05-17; Groc, S. leg.; (CPDC). 1☿️; Cayenne; 4.8228, -53.2764; alt. 126m; 2002/04; Orivel, J. leg.; (CPDC). MEXICO – Chiapas: • 1☿️; Tapachula; 14.9, -92.26; alt. 173m; 1992-05-10; Fresnau, D. leg.; hand collected; (CPDC). – Nuevo León: • 1☿️; Parque Natural La Estanzuela Monterrey; 25.5488, -100.2708; alt. 700m; Velasco, J. leg.; ([no museum voucher]). – Oaxaca: • 1☿️; 2km E, La Grua, Chacahua; 15.7028, -96.6031; alt. 17m; 1985-11-30; Quiroz, L. leg.; (CPDC). – Puebla: • 1☿️; Cascada Las Hamacas, 8km ENE Cuetzalán; 20.0343, -97.4512; alt. 280m; 2016-07-03; Longino, J. leg.; search; (JTLC). – Quintana Roo: • 2☿️; Chetumal; 18.5009, -88.2961; alt. 6m; 2011/09; Poteauj, Ch. leg.; (CPDC). – San Luís de Potosí: • 1☿️; Area Natural Protegida Parque Estatal Palma Larga; 21.8712, -99.9598; alt. 990m; 2021-06-25; Stevens, L. leg.; ([no museum voucher]). – Veracruz: • 3♂; La Mancha; 19.595, -96.3955; alt. 9m; 1998-05-06; Fresneau, D. leg.; (CPDC). 1☿️; La Mancha; 19.595, -96.3955; alt. 9m; 1997-06-10; Quiroz, L. leg.; (CPDC). 1☿️; Los Tuxtlas, 10km NNW Sontecomapan; 18.5833, -95.0833; alt. 200m; 1985-03-24; P.S. Ward leg.; (PSWC). 3☿️; Reserva de la Biosfera Los Tuxtlas; 18.4476, -95.2044; alt. 345m; (CPDC). – Yucatán: • 1☿️; Chichén Itzá; 20.6833, -88.5667; alt. 33m; 2004-08-10; Zappi, I. leg.; hand collected; (MSNG). 1☿️; [no locality given]; 23.0, -102.0; (ZSBS). NICARAGUA – Matagalpa: • 3☿️; RN Cerro Musún; 12.9549, -85.2303; alt. 620m; 2011-04-30; Prebus, M. leg.; hand collected; (MEPN). – Región Autónoma del Atlántico Sur: • 1♀; RN Kahka Creek; 12.6674, -83.7224; alt. 40m; 2011-06-06; Longino, J. leg.; hand collected; (JTLC). 1☿️; RN Kahka Creek; 12.6674, -83.7224; alt. 40m; 2011-06-06; Longino, J. leg.; hand collected; (JTLC). PANAMA – Colón: • 1☿️; Bosque Protector San Lorenzo; 9.2833, -79.9667; alt. 13m; 2003/10; Dejean, A.; et al. leg.; (CPDC). – Darién: • 1☿️; Cana; 7.7167, -77.7; alt. 500m; 1987-08-23; Olson, D. M. leg.; (PSWC). PARAGUAY – Canindey√∫: • 1☿️; Reserva Natural del Bosque Mbaracayú, Lagunita; -24.1333, -55.4333; alt. 200m; 1996-09-20; A.L. Wild leg.; (ALWC). PERU – Cusco: • 1☿️; Estación Biológica Villa Carmen, 1.5 Km N Pillcopata; -12.8833, -71.4; alt. 521m; 2013-08-05; Ant course 2013 leg.; (DZUP). – Loreto: • 2☿️; Jenaro Herrera; -4.9082, -73.6668; alt. 108m; 1989-10-22; Couturier, G. leg.; (CPDC). UNITED STATES – Texas: • 1☿️; 9 km NE Sinton; 28.1026, -97.4561; alt. 17m; 1956/04; (MEPN). VENEZUELA – Aragua: • 1☿️; La Toma. Rancho Grande; 10.0669, -67.5485; alt. 1100m; 1992-04-07; García, J. L.; Chacón, A. leg.; T. Intercep; (MIZA).
Geographic range. United States (central* and southern Texas), Mexico (Campeche*, Chiapas, Guerrero*, Hidalgo*, Jalisco*, Distrito Federal*, Michoacán*, Nayarit*, Nuevo León, San Luís Potosí, Oaxaca, Puebla*, Querétaro*, Quintana Roo, Sonora*, Sinaloa*, Tabasco*, Tamaulipas*, Veracruz, Yucatán), Belize*, Guatemala*, El Salvador*, Honduras*, Nicaragua, Costa Rica*, Panama, Puerto Rico*, Trinidad and Tobago*, Venezuela*, Colombia, Guyana*, Suriname*, French Guiana, Ecuador, Peru, Bolivia, Brazil (Acre, Amapá, Amazonas, Bahía, Ceará, DF, Espírito Santo, Maranhão*, Mato Grosso, Distrito Federal, Goiás, Minas Gerais, Espírito Santo, Mato Grosso, Mato Grosso Do Sul, Pará, Paraíba, Paraná, Rio de Janeiro, Rio Grande do Norte, Rondônia, Santa Catarina*, São Paulo, Tocantins), Paraguay*, Argentina (Chaco*, Formosa*, Jujuy*, Misiones, Salta*, Tucumán*). * Literature records.

4.2.13. Neoponera zuparkoi (Mackay & Mackay 2010)

Fig. 31b (distribution).
Pachycondyla zuparkoi MacKay & MacKay, 2010: 580, Figs. 114, 267, 685-687. ☿ holotype, Peru, Huánuco, Monson Valley, Tingo María, 15.x.1954, E.I. Schlinger & E.S. Ross (leg.), (CASC) [not examined].
Combination in Neoponera: Schmidt & Shattuck, 2014: 152.
Status as species. Fernandes et al., 2014: 134; Bezděčková et al., 2015: 124.
Worker (and probably queen) diagnosis. Antennal scape, when pulled posterad, exceeding posterior head margin by 1.5 to two times apical scape width; anterior mid clypeal margin straight to convex (link); humeral carina present, not salient (Fig. 7d); anterior mesopleural margin with anteroventrally directed lobate (Fig. 7b) or lamellate projection (Fig. 7a); posterolateral propodeal margin carinate, carina not raised, without crenulae (Fig. 11b); anterior margin of petiolar node straight to feebly concave, posterolateral margin of node carinate, posterior nodal face with tumulus (Fig. 2b); prora well-developed with round tip (link).
Worker. Measurements (n = 5): HW: 2.5-2.75; HL: 2.4-3.06; EL: 0.65-0.75; SL: 2.4-2.62; WL: 3.95-4.53; PrW: 1.6-1.94; MsW: 1.15-1.38; MsL: 0.8-1.0; PW: 1.35-1.44; PH: 0.95-1.44; PL: 1.0-1.34; GL: 3.95-5.0; A3L: 1.3-1.75; A4L: 1.55-1.94; A3W: 1.95-2.19; A4W: 2.05-2.25; TLa: 10.75-12.56; TLr: 11.95-13.69. Indices. CI: 87.72-114.58; OI: 25.45-28.57; SI: 87.27-102.0; MsI: 129.03-150.0; LPI: 80.0-126.32; DPI: 106.98-140.0.
Queen and male. Unknown.
Comments. Neoponera zuparkoi is a medium-sized taxon in the N. foetida group (Fig. 12, ☿ TLa = 10.8 – 12.56 mm), and is very similar to N. villosa, N. inversa, N. curvinodis, and especially to the morphospecies N. ecu2923 (link) which we consider a variant of N. zuparkoi (see below), and hereafter refer to it as N. zuparkoi_var. These four lineages are closely related according to the phylogeny of the genus (Troya et al. unpublished). The lobate mesopleural projection of N. zuparkoi is the easiest form to separate it from those species. In N. zuparkoi_var the mesopleural lobe is expanded in the form of a lamella-shaped projection (Fig. 7a) which is significantly different from the common mesopleural carina present in all species of the N. foetida group, but also in all species of the genus. The humeral carina of N. zuparkoi is not absent, as stated by Mackay and Mackay (2010) and Fernandes et al. (2014), it is present but does not protrude laterally (salient) from the cuticle. Thus, this carina is somewhat poorly developed as compared to all other species in the N. foetida group. However, as previously observed in N. curvinodis and N. inversa, the humeral carina is subject to plasticity, and since just three specimens of this species were examined: two from southern Peru, and one from Rondônia, Brazil, no strong reliance on this character is possible, at least for this species. Likewise, the anterior nodal margin is variable in N. zuparkoi (concave to straight) as in said species. This leaves the putative autapomorphic lobate and/or lamella-shaped mesopleural projection as the only distinguishing feature, potentially useful to effectively separate it from all other species in the N. foetida group. Yet, this trait is apparently another body region which shows certain degree of plasticity in these related group of species, except for N. villosa. This margin is mostly carinate, not protruding, for example in N. curvinodis and N. inversa, but sometimes this carina is also slightly expanded in those species, never anteriorly protruding as in N. zuparkoi, however. Despite this, an untrained eye may not find strong differences between a carinate, lobate, or lamella-shaped mesopleural margin. Differences become more obvious only after examining numerous specimens. The type locality of N. zuparkoi is the central Peruvian Amazonian locality of Tingo María; perhaps collecting more material in this biologically poorly known and vast region would shed further light on the morphology of this species which seems to represent a morphological link between N. inversa and N. curvinodis + N. villosa.
Neoponera zuparkoi_var is ancestral to N. zuparkoi in the Neoponera tree, but this relationship is poorly supported (Troya et al. unpublished). Since their morphology is highly similar with no strong, i.e., non-plastic morphological features justifying a potential taxonomic split, and given that scant specimens from both forms were examined (Mackay and Mackay 2010 erected N. zuparkoi based on a single specimen), we leave N. zuparkoi_var as a variant of N. zuparkoi until additional evidence become available.
Distribution notes. Neoponera zuparkoi inhabits in well-preserved lowland forests in South America. The only four known records belong from the Peruvian Ucayali moist forests, the southern Peruvian Yungas, and the western Amazonian Madeira-Tapajós moist forests in Brazil. Whereas, N. zuparkoi_var is known from the Napo moist forests in Amazonian Ecuador, and from the Magdalena Valley montane forests in the Colombian Andean biome.
Natural history notes. Besides being collected using fogging, Malaise, and Winkler, nothing is known about this species.
Material examined. 5☿️. BRAZIL – Rondônia: • 1☿️; 18 Km SSE, St. Elena River station; -10.9023, -62.168; alt. 230m; 1985-03-23; Torres, M. leg.; (MPEG). COLOMBIA – Cauca: • 1☿️; Parque Nacional Natural Serranía de los Churumbelos Auka-Wasi; 4.5709, -74.2973; alt. 2512m; 1998-07-02; Bustos, J. leg.; Winkler; (MUSENUV). ECUADOR – Orellana: • 1☿️; Parque Nacional Yasuní, 32 Km SSE Limoncocha, Onkonegare Km 39 Pompeya Sur; -0.658, -76.452; alt. 216m; 1995-02-09; Erwin, T.; et al. leg.; fogging; (MEPN). PERU – Cusco: • 1☿️; Quince Mil, km 8; -13.2167, -70.7167; alt. 633m; 2012-08-20; Cavichioli, R.; et al. leg.; Malaise; (DZUP). – Madre de Dios: • 1☿️; Villa Carmen Biological Station; -12.8786, -71.4809; alt. 605m; 2013-08-08; Ward, P. S. leg.; (PSWC).
Geographic range. Peru, Brazil (Rondônia).
Figure 30. Distribution of species in the Neoponera foetida group. a. Neoponera bugabensis (and its variants), N. insignis, N. prasiosomis sp. nov.; b. Neoponera curvinodis, N. inversa, N. villosa. Empty icons belong to the same species as those with filled icons in each figure, but these represent records obtained from the literature (see references below).
Figure 30. Distribution of species in the Neoponera foetida group. a. Neoponera bugabensis (and its variants), N. insignis, N. prasiosomis sp. nov.; b. Neoponera curvinodis, N. inversa, N. villosa. Empty icons belong to the same species as those with filled icons in each figure, but these represent records obtained from the literature (see references below).
Preprints 144083 g030aPreprints 144083 g030b
Figure 31. Distribution of species in the Neoponera foetida group. a. Neoponera dismarginata, N. fisheri, N. solisi, N. theresiae; b. Neoponera foetida, N. lineaticeps, N. zuparkoi (and its variant). Empty icons belong to the same species as those with filled icons in each figure, but these represent records obtained from the literature (see references below).
Figure 31. Distribution of species in the Neoponera foetida group. a. Neoponera dismarginata, N. fisheri, N. solisi, N. theresiae; b. Neoponera foetida, N. lineaticeps, N. zuparkoi (and its variant). Empty icons belong to the same species as those with filled icons in each figure, but these represent records obtained from the literature (see references below).
Preprints 144083 g031aPreprints 144083 g031b

4.2.14. The N. emiliae Species-Group

Worker-Based Key to Species of the N. emiliae Species-Group
1 Dorsum of head and pronotum with mixture of punctae and striae (Fig. 1a, b); N. emiliae subclade ………………………………………………………….. 2
Dorsum of head and pronotum costate (Fig. 1c); N. magnifica subclade …... 3
Figure 1. Head sculpture variation. a, b. Punctate-striate: a.N. emiliae, b.N. metanotalis; c. Costate (☿ N. dropsy).
Figure 1. Head sculpture variation. a, b. Punctate-striate: a.N. emiliae, b.N. metanotalis; c. Costate (☿ N. dropsy).
Preprints 144083 g032
2 (1) Anterior mid clypeal margin convex, relatively acute (Fig. 1a); body dorsum with abundant appressed copperish hairs (Fig. 1a, 2a); northwestern South America ……………………………………………………….….. N. emiliae
Anterior mid clypeal margin horizontally straight or weakly concave (Fig. 1b); body dorsum with pale golden appressed pilosity, significantly less abundant than in prior lead (Fig. 1b, 2b); eastern Brazil………………... N. metanotalis
Figure 2. Appressed pilosity. a. Abundant, copperish (☿ N. emiliae); b. Less abundant, pale golden (☿ N. metanotalis).
Figure 2. Appressed pilosity. a. Abundant, copperish (☿ N. emiliae); b. Less abundant, pale golden (☿ N. metanotalis).
Preprints 144083 g033
3 (1) Subpetiolar process notched (or concave) medially (Fig. 3a); head dorsum with two patches of appressed golden hairs (Fig. 13c); central Brazil ……..………………………………………………………………….. N. magnifica
Subpetiolar process convex or straight medially (Fig. 3b, 12d); head dorsum with scant appressed golden pilosity (Fig. 1c), otherwise pilosity more abundant (Fig. 8c, e) but not as described in prior lead ……………...…... 4
4 (3) Posterior face of petiolar node glabrous (Fig. 4a); head dorsum with irregular, not continuous costae (Fig. 12d) better discernible on lateral side of head; eastern Brazil……………………………………….…………….... N. glabra
Posterior face of petiolar node striate, punctate or with mixture of both (Fig. 4b); costae on head dorsum less irregular than above, and continuous, without breaks (Fig. 8e) …………………………………………………………..... 5
Figure 3. Petiole in lateral view. a. Subpetiolar process notched medially (☿ N. magnifica); b. Subpetiolar process horizontally straight or feebly convex medially (N. glabra). spp: subpetiolar process. Arrowhead on b. shows an incision.
Figure 3. Petiole in lateral view. a. Subpetiolar process notched medially (☿ N. magnifica); b. Subpetiolar process horizontally straight or feebly convex medially (N. glabra). spp: subpetiolar process. Arrowhead on b. shows an incision.
Preprints 144083 g034
Figure 4. Posterior face of petiolar node. a. Glabrous face, posteroventral nodal margin (in yellow dashed) showing scrobiculae (☿ N. glabra); b. Striate-punctate face, posteroventral nodal margin smooth (☿ N. magnifica).
Figure 4. Posterior face of petiolar node. a. Glabrous face, posteroventral nodal margin (in yellow dashed) showing scrobiculae (☿ N. glabra); b. Striate-punctate face, posteroventral nodal margin smooth (☿ N. magnifica).
Preprints 144083 g035
5 (4) Posteroventral margin of petiolar node scrobiculate (Fig. 4a); mid-lateral margin of node with incision (Fig. 3b); meso and metapleuron mostly micropunctate (Fig. 8a); western and central Amazonia………... N. caxiuana
Posteroventral margin of petiolar node smooth (Fig. 4b); mid-lateral margin of node without incision (Fig. 3a); meso and metapleuron costate (Fig. 12a) ……………………………………………………………………………….. 6
6 (5) Propodeum costate, except posterior face which has scattered piligerous punctae, costae on mesonotum are somewhat continued with those of propodeum (Fig. 5a, link); prora lip-shaped, comparatively small but well-discernible in lateral view (Fig. 9d); eastern Brazil……..….….... N. dorsilinea
Propodeum mostly striate, dorsally with micro striae, and posteriorly with scattered piligerous punctate, costae of mesonotum reach only its posterior margin (Fig. 5b); prora tiny or vestigial, not discernible in lateral view (Fig. 10a); eastern Brazil ……………………………………………….... N. dropsy
Figure 5. Mesosoma in lateral view. a. Propodeum costate (☿ N. dorsilinea); b. Propodeum striate (☿ N. dropsy). ms: mesonotum; ppd: propodeum.
Figure 5. Mesosoma in lateral view. a. Propodeum costate (☿ N. dorsilinea); b. Propodeum striate (☿ N. dropsy). ms: mesonotum; ppd: propodeum.
Preprints 144083 g036

5. Taxonomy

5.1. Synoptic list

In parentheses the known castes per species: ☿ – worker; ♂ – male.
Neoponera caxiuana Troya, sp. nov. [Brazil: Pará; southern Colombia] (☿)
Neoponera dorsilinea Troya, sp. nov. [Brazil: Bahia] (☿)
Neoponera dropsy Troya, sp. nov. [Brazil: Bahia] (☿)
Neoponera emiliae Forel, 1901[Venezuela, Colombia, Ecuador] (☿)
Neoponera glabra Troya, sp. nov. [Brazil: Bahia] (☿)
Neoponera magnifica (Borgmeier, 1929) [Brazil: Goiás, Mato Grosso] (☿)
Neoponera metanotalis (Luederwaldt, 1918) [Brazil: São Paulo, Minas Gerais] (☿)
Neoponera emiliae species-group (unidentified ♂, incertae sedis) [Brazil: Rio de Janeiro]
Neoponera emiliae Species-Group Differential Diagnosis
For practical purpose only, and following the phylogenetic organization of Neoponera sensu Troya et al. (unpublished), the seven species belonging to this group can be subdivided in two subclades, both easily diagnosable because these show well-identified apomorphies: the first contains N. emiliae and N. metanotalis, while the second is composed by N. magnifica and four newly described species: N. caxiuana, N. dorsilinea, N. dropsy, N. glabra.
The first subclade, hereafter referred as N. emiliae, can be diagnosed as follows: basal (non-masticatory) mandibular margin longer than half length of internal (masticatory) margin; proximal corner of masticatory mandibular margin moderately acute, bearing at least one denticle; malar carina either present (N. emiliae), though not easily recognizable due to surrounding striae, or vestigial (N. metanotalis), here the carina is replaced by a longitudinal, shallow groove which is surrounded by striae; propodeal spiracle oval; subpetiolar process subtriangular with a straight inclined posterior region (also called dome, see further below). The second subclade, hereafter referred as N. magnifica, is diagnosed as follows: basal mandibular margin shorter than half length of internal mandibular margin; proximal corner of masticatory mandibular margin round and unarmed; dorsum of head and pronotum costate; malar carina vestigial, replaced by swelling covered by surrounding costae; propodeal spiracle either oval or slit-shaped; subpetiolar process shovel-shaped (see below for extended details about this structure); epipygium medially coriaceous.
Worker (and probably queen). Species in this group are mostly dark-bodied, comparatively big-headed (in particular species of the N. magnifica subclade), rarely collected epigeic foragers. The ancestor of the N. emiliae group arguably displayed the least derived morphological and behavioral attributes of the Neoponera (Troya et al., unpublished). Some of these attributes related to, for example, foraging niche, and reproductive biology are possibly shared with the species allocated in the recently discovered, putative sister genus of Neoponera, “N. emiliae-2” (sensu Troya and Lattke 2022). The queen is unknown in this group though hypothetically it would be dealate ergatoid, a trait which is present in all species of “N. emiliae-2”. The workers are overall large sized, as estimated by the variable total length accurate (TLa), when compared to workers of other species-groups (Fig. 6a); however, if only the head length (HL) or the head width (HW) are accounted for, this caste shows the largest morphospace among all Neoponera (Figs. 6b, c).
Workers of the N. emiliae group have at least two easily distinguished apomorphies: a well-marked, cross ribbed groove located on the ventrolateral pronotal margin (Fig. 10a), and a blunt, raised posterolateral propodeal carina (Fig. 10b). A third trait, the frontal carina posteriorly exceeding, or at least reaching posterior eye margin, is “almost” apomorphic because it is present in all examined specimens, except for one of N. emiliae from Meta, Colombia (ATPFOR2070), where this carina does not reach such eye margin. In Neoponera, the frontal carina is a stable feature, and the degree to which it is (apparently) extended posterad is measured by comparing their posterior limits relative to the position of the eyes on head. Therefore, another form of characterizing this last trait in species of this group is by stating that the eye is placed anteriorly on head, so that the frontal carina frequently surpasses its posterior margin. The combination of these traits plus those indicated in the key to Neoponera groups in Troya and Lattke (2022) should suffice to distinguish species in this group from any other in the genus.
Figure 6. Approximate size-range distribution among workers of Neoponera species-groups (a – c), and among species in the N. emiliae group (d), as estimated by the variables: Total length accurate (TLa), Head length (HL), and Head width (HW). Red dots are outliers.
Figure 6. Approximate size-range distribution among workers of Neoponera species-groups (a – c), and among species in the N. emiliae group (d), as estimated by the variables: Total length accurate (TLa), Head length (HL), and Head width (HW). Red dots are outliers.
Preprints 144083 g037
The reader, however, can also use the following information to further compare specific body traits of species in this group with other Neoponera and even with other morphologically similar ponerines such as Pachycondyla, Mayaponera, Rasopone, and N. emiliae-2:
1) The mid clypeal margin is either convex or acute (Fig. 1a, c), or is straight to slightly concave (Fig. 1b), always projected anteriorly over the basal margin of mandible, when mandibles are closed. An acute and anteriorly projected clypeus is typically seen in most species of the N. crenata group, for example in N. unidentata (link), and in N. concava belonging to “N. emiliae-2”, but in this latter species the projection is even more acute (link); the convex form, not necessarily acute, is present in many lineages across the six species-groups in the genus, plus N. rostrata. The concave form, which in the N. emiliae group has been detected only in a variant of N. metanotalis, from Bahia, Brazil (ATPFOR1997), is less common in the genus, except for some species of the N. aenescens group where this trait is clearly displayed, for example, N. aenescens (link), N. chyzeri. Out of the genus, the concavity is found for example, in some species of Pachycondyla, like P. impressa (link), P. crassinoda, in Rasopone, like R. ferruginea (link).
2) Antennal scape comparatively short, either not reaching posterior head margin, when pulled posterad (only seen in N. magnifica, Fig.13), or exceeding such margin by one to 1.5 times apical scape width (Fig. 1b). The antennal scape is relatively long in almost all Neoponera, this is, exceeding posterior head margin by at least one apical scape width. Only in N. fisheri (link), from the N. foetida group, the scape is even shorter than in N. magnifica. In all species of “N. emiliae-2” the scape is very long, surpassing the posterior head margin by about 4 times apical scape width.
3) The eye is proportionally small, it occupies ca. 1/5 head length, and is placed slightly anteriorly on head (Fig. 1a – c). Except for most species in the N. aenescens (e.g., N. eleonorae, link) and N. laevigata (e.g., N. marginata, link) groups, where the eye is also placed anteriorly on head, the eye on the rest of Neoponera species is either placed medially on head (e.g., N. globularia, link), most species, or slightly posterior to head midlength (e.g., N. apicalis, link). In Mayaponera, Rasopone and Pachycondyla, the eye is always placed anteriorly on head, e.g., P. crassinoda (link), and occupies less than 1/5 head length. In “N. emiliae-2” the eye occupies ca. 1/4 (or less) of head length, and is slightly placed posterior to head midlength, for example in N. venusta (link).
4) The ventrolateral pronotal groove is almost exclusive for this group. Within Neoponera, it was regained few times, as in for example N. goeldii, from the N. crenata group; in all cases, however, the groove is not heavily sculpted (scrobiculate or cross ribbed).
5) The notopropodeal suture is present, sometimes feebly cross ribbed (only in the N. emiliae subclade), but does not form a groove (Fig. 11b). In many Neoponera, for example, N. villosa (link), N. carbonaria (link), N. rostrata (link), which belong to the foetida, aenescens, and the monotypic rostrata groups, respectively, such suture is well-marked on cuticle and grooved. In contrast, it is completely absent or vestigial in most Pachycondyla, feebly impressed in Rasopone, and usually well-marked and grooved in Mayaponera and in “N. emiliae-2”.
6) The propodeal spiracle is either oval (Fig. 7f, 11a, 12a) in most species and only in two species, N. magnifica, and N. maginifica-5 it is slit-shaped (Fig. 8d), as in all other Neoponera. The oval form is arguably derived from the ancestral circular form which is an apomorphic trait in species of “N. emiliae-2”. The form of the propodeal spiracle, circular/oval, or slit-shaped, is homoplastic in Ponerinae, the circular form is displayed in for example, Mayaponera, Simopelta, Thaumatomyrmex, which are part of the Pachycondyla genus-group sensu Schmidt and Shattuck (2014) where Neoponera belongs to, as well as in a number of other genera across that subfamily. Although these transformations are not significantly relevant in a phylogenetic context since they are frequently gained and lost across the Ponerinae (pers. obs.), these are useful for diagnosing clades and subclades in Neoponera.
7) The petiolar node is somewhat scale-shaped (Fig. 2a, b): higher than long in lateral view, and concave on the nodal posterior face (Fig. 3a), except for N. emiliae where this surface is just feebly concave to flat. This is a singular and distinctive trait of this species-group among the Neoponera, but is also shared with species in “N. emiliae-2”, with some variations though. In the Pachycondyla group no other species shows a similar nodal shape, except perhaps for P. procidua (link), but the nodal posterior surface in that species is not concave but flat. In Mayaponera, the shape of the node could also be referred as scale-shaped, but it is evidently more triangular, as seen in lateral view, than in most species of the N. emiliae group.
8) The subpetiolar process is either shovel-shaped (Fig. 3a, b): posteriorly grooved, as seen in lateral view, present in species of the N. magnifica subclade, or subtriangular and without posterior groove, which is characteristic of the N. emiliae subclade). According to Troya and Lattke (unpublished revision of the N. crenata group) the subpetiolar process in Neoponera is formed by an anteriorly acute cusp or keel, and a posteriorly convex to relatively flat, sometimes inclined region, which is called “dome”. A subtriangular subpetiolar process is commonly seen in most Neoponera, Pachycondyla, and Mayaponera, while in Rasopone the shovel-shaped form is the norm and potentially apomorphic (see Longino and Branstetter 2020). In “N. emiliae-2” both forms are present. The shovel-shaped form in the N. emiliae group may be straight (Fig. 3b) or concave (Fig. 3a) medially; and when the process is subtriangular the dome is either feebly convex (e.g., N. metanotalis, Fig. 2b), or straight (e.g., N. emiliae, Fig. 2a). The subtriangular form in most Neoponera shows a relatively high variation, for example, sometimes with a convex (e.g., some species in the N. crenata group – link), or relatively horizontal flat dome (e.g., N. laevigata – link, N. donosoi – link), or sometimes inclined posteriorly and straight (e.g., N. mashpi – link) so that a true dome is not discernible.
9) The epipygium is either medially glabrous (members of the N. emiliae subclade), or coriaceous (members of the N. magnifica subclade, Fig. 9e). The glabrous surface is shared by all species in Neoponera, with certain modifications, for example, sometimes showing larger surfaces than others. In Pachycondyla, Mayaponera and Rasopone the epipygium is also medially glabrous.
Male. Until recently, the N. emiliae group was the only clade for which this caste was missing. Thanks to Julio Chaúl, from the Department of Entomology at Universidade Federal de Viçosa, who loaned to us an unidentified specimen represented on Fig. 7, the male is finally assigned to this group, although without affinities with currently known species. To put the morphology of this specimen in the genus context, the following unique and shared traits are provided so as to help distinguishing it from all Neoponera species, as well as from males of “N. emiliae-2” and Pachycondyla. The male caste in Igaponera, which is currently considered sister to Neoponera (Troya et al. 2022), is still unknown.
1) The clypeus is feebly convex in lateral view (Fig. 7a), and does not project anteriorly. Among Neoponera males, this trait is unique; the clypeus in remaining males can be: globular-shaped (broadly convex as seen laterally), either projecting anteriorly (e.g., members of the N. laevigata group), or not (e.g., members of the N. foetida and N. crenata groups, and N. rostrata); or, the clypeus is less convex than in the prior state but anteriorly projected (e.g., members of the N. apicalis group). The clypeus in most known males of Pachycondyla also have a similar shape in lateral view, but their ocelli are smaller than the antennal socket acetabulum, while in N. emiliae the ocelli are bigger than said structure. In “N. emiliae-2” the clypeus is not globular, nor feebly convex, it shows an intermediate state like in the N. apicalis group but it is not projected anteriorly; also, the ocelli in males of “N. emiliae-2” are tiny, approximately five times smaller than the antennal socket acetabulum.
2) The eye is relatively large, it occupies ca. 2/3 of head length (Fig. 7d). This is similar only to the known male of N. rostrata. In the remaining males in the genus the eye is smaller, its maximum length is either smaller than half head length, e.g., members of the N. laevigata group, or longer than half head length, e.g., members of the N. apicalis group, but never as indicated above. The eye of all known Pachycondyla is smaller than half head length, while that of “N. emilae-2” is slightly longer, but not as long as in the male of the N. emiliae group.
3) The well-marked mesopleural sulcus reaches just a fraction of the ventral mesopleural plate. This feature is very similar to that found in the crenata and foetida groups, as well as in the two examined males of “N. emiliae-2”. In contrast, in examined males of the N. apicalis group, and in N. aenescens (the sole examined male in the aenescens group), the sulcus clearly runs into the ventral mesopleural surface, almost reaching the pronotal posteroventral margin. In N. rostrata, the sulcus is deeply impressed on the cuticle, clearly deeper than most Neoponera males, and fades away just before reaching the mesopleural ventral region. In some Pachycondyla, the sulcus reaches the posteroventral pronotal margin, e.g., P. crassinoda, and in others do not, but in all examined males of that genus it exceeds the lateral mesopleural region.
4) The posterior propodeal face has a well-marked, raised carina (Fig. 7f) which runs across the entire posterolateral and posterodorsal propodeal border. A similar feature is found in males of N. rostrata, in N. apicalis, and in N. commutata. In all other Neoponera males this carina is either present but weakly raised, e.g., members of the N. crenata group; or entirely absent, members of the N. foetida group. In examined males of Pachycondyla the carina is also variable, it can be well-marked and raised dorsally, but vanishing ventrally, as in P. impressa, or well-marked and raised across the entire margin as in P. crassinoda. In “N. emiliae-2” this carina is completely absent.
5) The propodeal spiracle is oval (Fig. 7f). This is another unique feature amongst males in Neoponera and thus far the strongest evidence suggesting this specimen belongs to the N. emiliae group. In the remaining Neoponera species this spiracle is slit-shaped. Amongst examined workers of the N. emiliae group, only those belonging to the N. emiliae subclade show a very similar spiracular form; in workers of the N. magnifica subclade the spiracle is either oval, but comparatively longer than that in the N. emiliae subclade, or slit-shaped.
Neoponera emiliae group male description. Measurements (n = 1): HW: 0.8; HL: 1.27; EL: 0.88; SL: 0.3; WL: 3; PrW: 1.22; MsW: 1.3; MsL: 1.2; PW: 0.75; PH: 1; PL: 0.85; GL: 3.5; A3L: 1.28; A4L: 1.3; A3W: 1.4; A4W: 1.56; TLa: 7.7; TLr: 8.62. Indices. CI: 62.99; OI: 110; SI: 152.5; MsI: 108.33; LPI: 85.0; DPI: 88.24.
Note: this specimen is still unassignable to any species; due to its oval spiracle, however, it may potentially fit under N. emiliae or N. metanotalis.
Head. Frontal view: subrhomboid. Mandible spatulate, longer than wide, acute apically. About 2.5 mandalus (maximum length) fit on mandibular dorsum, mandibular apex, when mandible is closed, slightly surpasses lateral margin of labrum; labrum small, about 4.5 times shorter than maximum clypeal width. Prementum with well-developed transverse dome. Palp formula: 6,4. Stipes mostly smooth; internal longitudinal groove present. Labrum dorsum smooth. Clypeus anteromedially straight to slightly concave; in lateral view, dorsal surface relatively straight to slightly convex, not inflated. Area between posterior margin of clypeus and supraclypeal area without depression. Posterior supraclypeal area acute. Supraclypeal area slightly protruding from cuticule, followed posteriorly by tenuously impressed inter-antennal socket carina. Distance between internal margins of antennal sockets less than one socket diameter. Torular lobe small but well-developed, not projecting over internal margin of antennal acetabulum. Malar carina absent. Eye suboval, notched near mid-length; maximum length slightly more than half head length, convex, globose, placed at cephalic mid-length. Ocellar area weakly protruding from cuticle, placed posterad to vertex. Anterior ocellus maximum length subequal to that of posterior ocelli. Ocelli approximately equidistant to each other; distance between anterior and posterior ocelli approximately 0.5 times anterior ocellus maximum length. Occipital carina present, well-developed. Scape cylindrical, one third longer than pedicel; first flagellomere longer than second. Mesosoma. Lateral view: Dorsal margin convex. Pronotum with weak, blunt, barely distinguishable humeral carina. Anterior subalar area approximately as broad as tegular maximum width. Mesopleural sulcus well-developed, slightly reaching ventral mesopleural region. Metanotal trough weakly impressed. Metapleuropropodeal suture relatively shallow. Posterolateral margin of propodeal declivity carinate, running along the posterodorsal propodeal margin. Anterolateral propodeal corner rounded. Propodeal spiracle oval. Posteroventral cuticular flap at metapleural gland opening well-developed, forming a vertically-oriented, salient carina; gland orifice completely visible in posterolateral view. Pheromone venting canal at metapleural gland opening absent. Dorsal view: mesoscutum about as long as broad, about two times length of mesoscutellum; anterior mesoscutal impression linear, well-marked. Parapsidal lines weakly impressed, slightly divergent. Notauli present, strongly impressed, cross ribbed, not meeting posteriorly. Transscutal sulcus well-developed. Scutoscutellar sulcus present, slightly arched posterad, strongly impressed, cross ribbed, not separating mesoscutum from mesoscutellum. Mesoscutellum subrectangular, domed. Metascutellum well-developed, clearly discernible dorsally, surface with slightly salient longitudinal carina. Anterodorsal median propodeal sulcus present, weakly impressed. Posterior face of propodeal declivity mostly flat. Propodeal lateral margins subparallel in posterodorsal view. Ventral view: probasisternum triangular-shaped, strongly grooved. Probasisternal posterior projection acute. Mesosternal process poorly developed. Metasternal process well-developed, inclined posterad, 20°-30° in lateral view, fang-shaped, flattened anteroposteriorly; apex about as long as mid height of metacoxal internal margin, space between lobes wider than width of each, internal margins divergent, external margins straight to slightly convergent. Wings. Hyaline. Slightly iridescent. Forewing venation Ogata type Ia: submarginal cells 1, 2 and discoidal present, vein 2M present, reduced, 2r-rs offset from Rs+M; Rs+M approximately three times longer than 2M, setose layer evenly covering surface. Hindwing venation Cantone and Von Zuben Type I: basal and subbasal cells and vein 2M present, 1R well-developed, 1Rs well-developed. Jugal lobe present. Hindwing bearing 10 hamuli. Legs. Mesofemur roughly equally thick as metafemur, in dorsal or ventral view. Ventral surface of meso- and metafemora convex from base to apex. Tibial spur formula 2(1s, 1p), 2(1s, 1p). Anterior mid tibial spur about half-length of posterior spur. Anterior hind tibial spur about half-length of posterior spur. Pretarsal claw arched, with well-developed preapical tooth. Arolium present, roughly 0.5 times length of pretarsal claw. Petiole. Lateral view: Petiolar node anterior margin straight, inclined ca. 30° posterad; posterior margin straight, inclined ca. 30° anterad; anterior and posterior margins reaching approximately same level dorsally; middorsal margin convex, highest point at nodal longitudinal midline; posterior face mostly flat. Subpetiolar process subtriangular, with blunt, keel-shaped, grooved anterior cusp, followed posteriorly by relatively flat region bordered by longitudinal carinae, mostly smooth, with two weakly raised longitudinal carinae medially. Lateral projection of anteroventral nodal carina highly reduced. Lateral nodal carina well-impressed but short, not reaching nodal midlength. Anteroventral nodal carina incomplete, strongly concave medially. Gaster. Lateral view: Prora well-developed, small, projected anterad, not hidden by helcium laterally. Anterior margin of tergum of A3 convex. Cinctus well-impressed, cross ribbed. Dorsal view: Tergum of A3 slightly longer than A4. Abdominal sternum 7 with even surface, not concave, bearing scattered erect and suberect hairs. Spine at posterior margin of tergum of A8 well-developed, extending posterad, beyond posterior margin of sternum of A9, acute, slightly flattened laterally. Sternum of A9 longer than broad, posterior margin acute. Pygostyles present, about three times longer than broad. Pilosity. Body with sparse, flexuous, brownish, erect and suberect hairs. Appressed pubescence moderately abundant, especially on gastral dorsum, though integument always discernible.
Figure 7. Neoponera emiliae species-group, unidentified ♂︎. a. Lateral view; b. Dorsal view; c. Head in dorsal view; d. Head in frontal view; e. Fore and hind wings; f. Propodeum and node in posterodorsal view; g. Left antenna (broken, only nine antenommeres shown).
Figure 7. Neoponera emiliae species-group, unidentified ♂︎. a. Lateral view; b. Dorsal view; c. Head in dorsal view; d. Head in frontal view; e. Fore and hind wings; f. Propodeum and node in posterodorsal view; g. Left antenna (broken, only nine antenommeres shown).
Preprints 144083 g038
Most erect hairs on body dorsum approximately equal to scape length. Meso- and metatarsi bearing scant spine-like setae and abundant finer setae. Color. Overall body brownish black, brilliant. Antennae dark brown, mandibles yellowish. Sculpture. Integument polished, with mixture of abundant shallowly impressed punctae on gaster, and relatively more deeply impressed on rest of body. Striae on head absent; mesosoma bearing strong striae on axilar areas; propodeum with abundant coarse, irregular rugae. Striae on petiolar node absent.

5.2. Species Accounts

The following species diagnoses include only the minimum features the reader will require to identify each species, in combination with the taxonomic key. Other useful diagnostic characters were mentioned above under the differential diagnosis for the present species-group. Although the queen is unknown, it likely is very similar to the worker as observed in all other Neoponera groups, thus all diagnoses may also apply to that caste as well.

5.2.1. Neoponera caxiuana sp. nov.

Figures. 8: a – f (☿); 15: (distribution).
Type material. Holotype. 1☿; BRAZIL: Pará: Melgaço, Caxiuanã [national preserve], Estação Científica Ferreira Penna, 1°45’S, 51°31’W, Plote IV Transecto 7-300, 28.x.2003, Pitfall 04, J. Souza & C. Moura leg., (INPA: INPAHYM034544).
Etymology. The specific epithet is a toponym after the well-preserved Amazonian Floresta Nacional de Caxiuanã, among the oldest reserves in Brazil, located in northern Pará state, and a source of future discoveries due to its high ant diversity (Harada 2016). The name is a noun in apposition, thus invariable.
Worker and queen diagnosis. Posterior head margin weakly concave (Fig. 8c); meso and metapleuron with shallow micropunctae (Fig. 8a); lateral propodeal side with scant well-impressed striae (Fig. 8a); in lateral view, petiolar node distinctly higher than long, anterior and posterior margins reaching nodal top at about same level (Fig. 8d); ventroposterior nodal margin scrobiculate (Fig. 8d); posterior nodal face with scattered micropunctae (Fig. 8b); prora well-developed, acute tip directed anterad (Fig. 8d).
Worker description. Measurements (n = 2; holotype in parenthesis): HW: 2.8-2.85 (2.85); HL: 3.05-3.1 (3.05); EL: 0.6-0.6 (0.6); SL: 2.31-2.4 (2.4); WL: 4.09-4.1 (4.09); PrW: 2.15-2.15 (2.15); MsW: 1.4-1.5 (1.4); MsL: 0.85-0.88 (0.85); PW: 1.9-2.1 (2.1); PH: 1.9-2.1 (1.9); PL: 1.05-1.05 (1.05); GL: 5.16-5.7 (5.16); A3L: 2.3-2.34 (2.3); A4L: 2.05-2.1 (2.05); A3W: 2.65-2.8 (2.8); A4W: 2.4-2.46 (2.4); TLa: 12.54-12.69 (12.54); TLr: 13.35-13.95 (13.35). Indices. CI: 90.32-93.44 (93.44); OI: 21.05-21.43 (21.05); SI: 82.5-84.21 (84.21); MsI: 164.71-170.45 (164.71); LPI: 50-55.26 (55.26); DPI: 180.95-200 (200).
Head. Frontal view: subquadrate. Mandible triangular, longer than wide, distal region moderately bent ventrad, dorsolateral margin weakly sinuous medially. Masticatory margin of mandible with four teeth distally followed by four to six denticles proximally. Prementum with well-developed transverse dome. Prementum and moderately impressed groove distally. Palp formula: 4,4. Stipes mostly smooth, internal longitudinal groove present. Labrum dorsum mostly smooth, finely striated basally. Clypeus anteromedially convex, with truncate extension projecting anterad. Posterior margin of frontoclypeal sulcus not reaching ocular mid-length. Frontal carina surpassing ocular posterior margin, medially. Torular lobe subtriangular, almost completely covering acetabulum of antennal socket, posterolateral margin straight. Malar carina absent, though malar region is slightly raised. Eye suboval, maximum length ca. one-fifth head length, convex, surpassing lateral margin of head, placed slightly anterior to cephalic mid-length. Posterior margin of head concave. Occipital carina strongly reduced. Scape, when pulled posterad, surpassing posterior margin of head by half apical scape width. Mesosoma. Lateral view: Dorsal margin slightly convex. Pronotum carinate, with carina not projecting from cuticle. Anapleural sulcus well-developed, completely dividing mesopleuron in anepisternum and katepisternum. Posterolateral margin of propodeal declivity with blunt, slightly salient carina. Propodeal spiracle slit-shaped. Ventrolateral propodeal declivity without deep groove. Posteroventral cuticular flap at metapleural gland opening well-developed, slightly bent dorsad, gland orifice clearly visible in posterolateral view. Pheromone venting canal at metapleural gland opening present, well-developed, mostly smooth. Posterior face of propodeal declivity flat. Propodeal lateral margins parallel at base, convergent dorsad. Ventral view: probasisternum triangular-shaped, strongly grooved. Probasisternal posterior projection acute. Mesosternal process well-developed, fang-shaped, internal margins of lobes slightly convergent, not parallel, relatively flattened anteroposteriorly, inclined posterad ca. 20–30 degrees in lateral view, space between lobes approximately equal to width of each. Metasternal process well-developed, inclined posterad, 20°-30° in lateral view, triangular-shaped, flattened anteroposteriorly, apex about as long as mid height of metacoxal internal margin, space between lobes wider than width of each, internal margins running parallel. Metasternal process external margins straight to slightly convergent. Legs. Mesofemur slightly thicker than metafemur, in dorsal or ventral view. Ventral surface of meso- and metafemora slightly flattened roughly on distad two thirds. Tibial spur formula 2(1s, 1p), 2(1s, 1p). Anterior mid tibial spur half-length of posterior spur. Anterior hind tibial spur about 2.5 times shorter than posterior spur. Pretarsal claw arched, unarmed (without accessory teeth on surface). Arolium present, roughly three times shorter than pretarsal claw. Petiole. Lateral view: Petiolar node with straight anterior margin and convex posterior margin, posterior margin shorter than anterior margin, posterior face concave. Subpetiolar process shovel-shaped, with keel-shaped anterior cusp, followed by posterior horizontally straight region, dome and anterior cusp strongly rugose. Lateral projection of anteroventral nodal carina absent. Lateral nodal carina absent. Anteroventral nodal carina incomplete, feebly concave medially. Gaster. Lateral view: Prora well-developed, small, with acute tip projected anterad, not hidden by helcium laterally. Anterior margin of tergum of A3 straight. Dorsalmost limit of anterior tergal margin of A3 below nodal dorsal margin. Meeting region of anterior margin of tergum of A3 with its dorsal margin relatively angled. Anterodorsal margin of tergum of A3 convex. Cinctus weak. Dorsal view: Tergum of A3 slightly longer than A4. Posterior dorsum of epipygium coriaceous. Color. Mandibles feebly lighter than remaining body, legs ferruginous brown. Pilosity. Body with scant, flexuous, golden to dark golden, erect and suberect hairs which are mostly present ventrally. Appressed pubescence not abundant, mostly present on head, mesosoma and gaster, posterior face of petiole with significantly less piligerous punctae. Most erect hairs on body dorsum smaller than maximum eye length. Scape pilosity mostly pruinose but not abundant. Meso- and metatarsi bearing abundant spine-like setae and tiny appressed and suberect fine setae. Posterior ventrolateral margin of hypopygium (just next to the base of sting) bearing scattered flexuous hairs, shorter than eye maximum length. Posterior dorsum of epipygium surrounded by ca. 20 long flexuous hairs, longer than eye maximum length. Sculpture. Integument polished. Striae on head present as costae dorsally, and ventrally concentric, mandibles without striae dorsally, mesosoma, except for posterior propodeal face and most mesopleuron, completely covered by strong to moderately impressed costae. Striae on petiolar node absent.
Comments. Neoponera caxiuana is a relatively large species among those of the N. emiliae group (Fig. 6d). Within the species belonging to the N. magnifica subclade only N. glabra can be considered most similar to it since both share certain traits as the shape of the petiole bearing an incision on the lateral margin, and the scrobiculae on the nodal posteroventral margin. These two species, however, are easily separable since the posterior nodal face of N. caxiuana is punctate, and that of N. glabra is glabrous; in addition, the meso and metapleuron of N. caxiuana are mostly punctate, not costate as in N. glabra. This latter feature distinguishes N. caxiuana from the rest of species in the N. magnifica subclade, except for N. magnifica which also shows a similar sculpture, but this species has two patches of appressed golden pilosity and a medially notched petiolar node, both traits absent in N. caxiuana.
Out of the N. magnifica subclade, maybe N. metanotalis approximates its general shape, but the latter lacks costae and its clypeal anterior margin is medially straight to concave, not acute and convex.
Figure 8. Neoponera caxiuana sp. nov. Holotype ☿ (INPA: INPAHYM034544). Brazil: Pará. a. Lateral view; b. Dorsal view; c. Head in frontal view; d. Posterior region of propodeum and petiole in lateral view; e. Detail of costae on head; f. Collection labels.
Figure 8. Neoponera caxiuana sp. nov. Holotype ☿ (INPA: INPAHYM034544). Brazil: Pará. a. Lateral view; b. Dorsal view; c. Head in frontal view; d. Posterior region of propodeum and petiole in lateral view; e. Detail of costae on head; f. Collection labels.
Preprints 144083 g039
The three examined specimens show very little variation in body size and shape; they only differ slightly on the amount of punctae on the posterior nodal face, and in the pleural sculpture, also with punctae, which if feebly more impressed on the holotype. Also, the tip of the prora in the holotype is slightly more acute than in the other two specimens.
A. Troya checked a fourth specimen record (IAvH-E-34321) identified as N. magnifica by Tania Arias (Arias 2003), which was collected in the Napo moist forests, in the southern Colombian department of Putumayo, northwestern Amazonia. Arias recognized some differences on the mesonotum and propodeal sculpture, as compared to the characters provided by Borgmeier (1929) in his description of N. magnifica. Arias sent to us two images of the specimen she studied; these images depict the body in lateral view, pronotum in dorsal view, and partially the head dorsum. This specimen is very similar to N. caxiuana mostly due to the shape of the petiolar node which is distinctly higher than long, and shows an incision on its margin; it also seems to show punctae on the mesonotum and propodeum, but these are definitely not costate. These three traits are diagnostic of N. caxiuana. However, this specimen shows two regions of golden, seemingly appressed hairs on the head dorsum; since the image is not clear enough, and the head is obliquely oriented (instead of fully frontally), it is not possible to accurately recognize if such regions actually represent the golden and dense hairy patches which, thus far, are diagnostic only for N. magnifica. The head dorsum of N. caxiuana has appressed golden pilosity laterally on head (Fig. 8c, e) but these hairs are much less dense than in N. magnifica. Arias deposited this specimen in IAVH, Villa de Leyva, Colombia. A. Troya revised the Neoponera in that collection but could not find it. Some other important characters defining the N. emiliae group, such as head sculpture, clypeal margin, details of the node, are not discernible in such images. Therefore, we leave this specimen as variant of N. caxiuana until someone finds it, and/or additional material from said region becomes available.
Distribution notes. Neoponera caxiuana is known only from the Amazon biome: two records from northeastern Pará in the ecoregion of Xingu-Tocantins-Araguaia moist forests, and a single record from northwestern Mato Grosso, in a site between the Cerrado and the Mato Grosso seasonal forests.
Natural history notes. As with all its subclade partners, N. caxiuana is possibly an underground nester and/or chooses preformed cavities to grow its colonies. All examined specimens were collected through pitfall traps in well-preserved, mature forests.
Other material examined. 4☿️. BRAZIL – Mato Grosso: • 1☿️; Brasnorte, Fazenda Herminia; -12.1212, -58.0045; alt. 310m; 2017-12-01; Ferreira, J. leg.; pitfall; (DZUP). – Pará: • 1☿️; Floresta Nacional Caxiuanã, Estação Científica Ferreira Pennna; -1.75, -51.5167; alt. 44m; 2003-10-28; Souza, J.; Moura, C. leg.; pitfall; (INPA). 1☿️; Serra dos Carajás, Floresta Nacional do Tapirapé-Aquiri; -6.2667, -50.5667; alt. 350m; 2018-10-16; Oliveira, D. E.; Siqueira, F. F. leg.; pitfall; (DZUP). COLOMBIA – Putumayo: • 1☿️; Parque Nacional Natural La Paya, Cabaña la Paya; 0.1172, -74.9333; alt. 330m; 2002-04-15; Cobete, R. leg.; pitfall; (IAVH).
Geographic range. Southern Colombia, Brazil: Mato Grosso, Pará.

5.2.2. Neoponera dorsilinea sp. nov.

Figures. 9: a – f (☿); 15: (distribution).
Type material. Holotype. 1☿; BRAZIL: Bahia: Igrapiúna, Reserva da Michelín, 22-26.vii.2008 – 14.ix.2013, K. Benati et al. [leg.], 5747 [collector’s code], (CPDC: ATPFOR1965).
Etymology. The name of the species is derived from the Latin words: dorsum meaning “back”, and līnea meaning “line, thread”, in allusion to the costae on the propodeum. The name is a noun in apposition, thus invariable.
Worker and queen diagnosis. Posterior head margin feebly concave (Fig. 9c), ventrally with gross, concentric striae; pleural and entire propodeal surface (except posterior face), with irregularly-shaped, well-impressed costae (Fig. 5a, 9a, link); posterior face of petiolar node mostly with longitudinal striae; prora small, lip-shaped, always discernible laterally (Fig. 9d).
Worker description. Measurements (n = 3; holotype in parenthesis): HW: 2.65-2.95 (2.8); HL: 2.9-3.2 (3); EL: 0.55-0.65 (0.6); SL: 2.1-2.45 (2.45); WL: 3.46-4.1 (3.9); PrW: 2.0-2.1 (2); MsW: 1.45-1.5 (1.5); MsL: 0.8-0.9 (0.8); PW: 1.75-2 (1.8); PH: 1.7-1.8 (1.7); PL: 1.0-1.1 (1); GL: 4.15-5.54 (5.54); A3L: 2.15-2.25 (2.2); A4L: 1.85-2.1 (2); A3W: 2.5-2.55 (2.55); A4W: 2.25-2.35 (2.3); TLa: 11.46-12.65 (12.1); TLr: 11.51-13.44 (13.44). Indices. CI: 91.38-93.33 (93.33); OI: 20.75-22.03 (21.43); SI: 77.97-87.5 (87.5); MsI: 161.11-187.5 (187.5); LPI: 57.14-61.11 (58.82); DPI: 175.0-181.82 (180).
Head. Frontal view: subquadrate. Mandible triangular, longer than wide, distal region moderately bent ventrad, dorsolateral margin mostly straight. Masticatory margin of mandible with four teeth distally followed by four to five denticles proximally. Prementum with well-developed transverse dome. Prementum and strongly impressed transverse groove distally. Palp formula: 4,4. Stipes mostly smooth, internal longitudinal groove present. Labrum dorsum smooth. Clypeus anteromedially convex, with relatively acute extension of the cuticle projecting anterad. Posterior margin of frontoclypeal sulcus not reaching ocular mid-length. Frontal carina surpassing ocular posterior margin, medially. Torular lobe subtriangular, covering approximately 90% of acetabulum of antennal socket, posterolateral margin straight. Malar carina absent, though malar region is slightly raised. Eye suboval, maximum length ca. one-fifth head length, convex, surpassing lateral margin of head, placed slightly anterior to cephalic mid-length. Posterior margin of head concave. Occipital carina absent. Scape , when pulled posterad, surpassing posterior margin of head by half apical scape width. Mesosoma. Lateral view: Dorsal margin slightly convex. Pronotum carinate, with carina not projecting from cuticle. Anapleural sulcus well-developed, completely dividing mesopleuron in anepisternum and katepisternum, masked by surrounding striae. Posterolateral margin of propodeal declivity with blunt, salient carina. Propodeal spiracle oval to suboval. Ventrolateral propodeal declivity without deep groove. Posteroventral cuticular flap at metapleural gland opening well-developed, slightly bent dorsad, gland orifice clearly visible in posterolateral view. Pheromone venting canal at metapleural gland opening present, well-developed, mostly smooth. Notopropodeal suture vestigial. Posterior face of propodeal declivity flat. Propodeal lateral margins parallel at base, convergent dorsad. Ventral view: probasisternum triangular-shaped, bearing tiny groove medially. Probasisternal posterior projection with spine. Mesosternal process well-developed, tooth-shaped, internal margins of lobes running parallel, relatively flattened anteroposteriorly, inclined posterad ca. 10 degrees in lateral view, space between lobes approximately equal to width of each. Metasternal process well-developed, inclined posterad, ca. 10° in lateral view, triangular-shaped, flattened anteroposteriorly, apex about as long as mid height of metacoxal internal margin, space between lobes wider than width of each, internal margins divergent. Metasternal process external margins straight to slightly convergent. Legs. Mesofemur slightly thicker than metafemur, in dorsal or ventral view. Ventral surface of meso- and metafemora slightly flattened roughly on distad two thirds. Tibial spur formula 2(1s, 1p), 2(1s, 1p). Anterior mid tibial spur half-length of posterior spur. Anterior hind tibial spur about 2.5 times shorter than posterior spur. Pretarsal claw arched, unarmed (without accessory teeth on surface). Arolium present, roughly three times shorter than pretarsal claw. Petiole. Lateral view: Petiolar node with slightly concave anterior margin and convex posterior margin, posterior margin shorter than anterior margin, posterior face concave. Subpetiolar process shovel-shaped, with mostly round anterior cusp, followed by posterior horizontally straight region, dome with transverse, strongly impressed striae. Lateral projection of anteroventral nodal carina highly reduced. Lateral nodal carina absent. Anteroventral nodal carina incomplete, feebly concave medially. Gaster. Lateral view: Prora well-developed, small, projected anterad, not hidden by helcium laterally. Anterior margin of tergum of A3 straight. Dorsalmost limit of anterior tergal margin of A3 below nodal dorsal margin. Meeting region of anterior margin of tergum of A3 with its dorsal margin acute. Anterodorsal margin of tergum of A3 slightly convex. Cinctus weak. Dorsal view: Tergum of A3 slightly longer than A4. Posterior dorsum of epipygium coriaceous. Color. Body black, mandibles feebly lighter than remaining body, legs ferruginous brown. Pilosity. Body with scant, flexuous, golden to dark golden, erect and suberect hairs which are mostly present ventrally. Appressed pubescence present, mostly fine small hairs distributed across integument which is easily discernible. Most erect hairs on body dorsum approximately equal to maximum eye length. Scape pilosity mostly pruinose but not abundant. Meso- and metatarsi bearing abundant spine-like setae and tiny appressed and suberect fine setae. Posterior ventrolateral margin of hypopygium (just next to the base of sting) bearing scattered flexuous hairs, usually longer than eye maximum length. Posterior dorsum of epipygium surrounded by ca. 20 long flexuous hairs, as long as maximum eye length. Sculpture. Integument polished. Striae on head present as costae dorsally, and ventrally concentric, mandibles without striae dorsally, mesosoma, except for posterior propodeal face, completely covered by strong to moderately impressed costae. Striae on petiolar node present, feebly impressed, slightly more discernible on posterior face.
Figure 9. Neoponera dorsilinea sp. nov. Holotype ☿ (CPDC: ATPFOR1965). Brazil: Bahia, except, e. ☿ from Brazil, Minas Gerais (UFVLABECOL000003). a. Lateral view; b. Dorsal view; c. Head in frontal view; d. Petiolar node in lateral view; e. Epipygium in posterolateral view; f. Collection labels. pr: prora. Image in e. by Julio Chaúl.
Figure 9. Neoponera dorsilinea sp. nov. Holotype ☿ (CPDC: ATPFOR1965). Brazil: Bahia, except, e. ☿ from Brazil, Minas Gerais (UFVLABECOL000003). a. Lateral view; b. Dorsal view; c. Head in frontal view; d. Petiolar node in lateral view; e. Epipygium in posterolateral view; f. Collection labels. pr: prora. Image in e. by Julio Chaúl.
Preprints 144083 g040
Comments. Neoponera dorsilinea is a relatively large species among those in the N. emiliae group (Fig. 6d, TLa: 11.46 – 12.65 mm); this taxon is very similar to N. dropsy, and both are putative sisters (Troya et al., unpublished). The easiest way to separate them is by examining the prora, which is, at least from the material examined, always discernible laterally in N. dorsilinea (Fig. 9d), whereas the prora of the other is tiny, or in exceptional cases, vestigial so that it is almost indistinguishable in lateral view (Fig. 10a). Other differences between these two taxa were cited under the N. dropsy treatment.
Neoponera glabra and N. caxiuana are also similar, thus potentially confusable with N. dorsilinea; the reader can examine the following features to distinguish them: the posteroventral head margin of N. dorsilinea has a ventrally-directed, feebly protruding tumulus (Fig. 9a, 10a) which is absent in N. glabra and N. caxiuana; the propodeum (except for its posterior face) is entirely costate; these costae, as seen laterally (mostly), are nearly continuous with those on the mesonotum (link), whereas in the other species the propodeum bears only few, shallow and weakly impressed costae, mixed with microstriae (Fig. 5b); the posteroventral margin of the petiolar node is smooth in N. dorsilinea, while that region is scrobiculate in the other two species (Fig. 4a).
Neoponera dorsilinea could also be confused with N. magnifica, in lesser degree though than those which preceded since this species has two well-noticeable patches of appressed golden hairs, and the subpetiolar process is notched medially. No other species in the N. emiliae group, nor in the genus has these peculiarities.
The specimens examined are virtually identical and differ only in the depth and shape of the propodeal costae on the anterodorsal median region, which are less impressed in the holotype. For reference, the reader can see in AntWeb.org one specimen from Samarco, Minas Gerais (link) which neatly depicts well-impressed propodeal costae.
Distribution notes. The only four records known of N. dorsilinea belong from southeastern Bahia, where the holotype belongs from, and from eastern Minas Gerais; the elevational range spans from near the sea level up to about 800 m, and as N. dropsy, it lives in the ecoregions of Bahia Interior forests and Bahia Coastal forests.
Natural history notes. As hypothesized for its subclade partners, this epigeic species possibly nests underground or opportunistically inside preformed cavities on the soil surface, like tree roots, broken sticks, death stems. The scant records found which, thus far, reflects a reduced distribution for this species is a matter of concern. As hypothesized for N. magnifica, likely the populations of N. dorsilinea are small, with possibly small colony sizes. If this is supported in future research, the species would potentially be proposed under risk of extinction, in particular due to pervasive degradation of its natural habitat in eastern Bahia and Minas Gerais (Nemésio et al. 2016, Neves et al. 2021).
Other material examined. 3☿️. BRAZIL – Bahia: • 1☿️; Itororó; -15.1158, -40.0646; alt. 600m; 2000-03-01; Santos, J. R.; Campos, D. O. leg.; (CPDC). – Minas Gerais: • 1☿️; 5 km NNE Ipaba; -19.3667, -42.4; alt. 277m; 2016-06-12; Santos, et al. leg.; pitfall; (DZUP). 1☿️; Samarco; -20.2306, -43.4497; alt. 750m; Paolucci, L. leg.; pitfall; (UFVLABECOL).
Geographic range. Eastern Brazil: Bahia, Minas Gerais.

5.2.3. Neoponera dropsy sp. nov.

Figures. 10: a – d (☿); 15: (distribution).
Type material. Holotype. 1☿; BRAZIL: Bahia: Vit. [Vitória] da Conquista, Poço Escuro [forest reserve], 40°50’28”S, 40°50’20”W, 9-17.i.2001, J.C.S. Carmo [leg.], 5309a [collector’s code], (MEPN: ATPFOR2060). Paratypes. 3☿ [same data as for holotype], (CPDC: ATPFOR2163, DZUP: ATPFOR1962, ICN: ATPFOR2139).
Etymology. The specific name is derived from the Greek ὕδωρ (húdōr, “water”), but here I consider the archaic synonym for “edema”, which in new Latin means “swelling”, in allusion to the feebly convex projection, or tumulus, on the posteroventral head corner.
Worker and queen diagnosis. Posterior head margin concave (Fig. 10c), ventrally with coarse, concentric striae; posteroventral head corner with ventrally directed tumulus (Fig. 10a); pleural surface and lateral propodeal side with shallowly impressed costae (Fig. 10a); posterior face of petiolar node with mixture of longitudinal and concentric striae; prora tiny or vestigial, hardly seen in lateral view (Fig. 10a).
Worker description. Measurements (n = 6; holotype in parentheses): HW: 2.75-3.2 (2.98); HL: 3.0-3.25 (3.2); EL: 0.5-0.65 (0.6); SL: 2.0-2.45 (2.38); WL: 3.7-4.0 (4); PrW: 1.85-2.25 (2.2); MsW: 1.3-1.51 (1.4); MsL: 0.8-1.3 (0.9); PW: 1.8-2 (1.99); PH: 1.5-2 (1.98); PL: 0.9-1.1 (1.08); GL: 4.3-5 (5); A3L: 1.6-2.52 (2.39); A4L: 2.05-2.15 (2.05); A3W: 2.05-2.75 (2.6); A4W: 1.95-2.5 (2.36); TLa: 11.47-12.77 (12.72); TLr: 11.9-13.28 (13.28). Indices. CI: 91.67-100 (93.12); OI: 18-22.03 (20.13); SI: 72.73-79.66 (79.8); MsI: 107.69-187.5 (155.56); LPI: 50.0-65.38 (54.55); DPI: 180.0-200.0 (184.26).
Head. Frontal view: subquadrate. Mandible triangular, longer than wide, distal region moderately bent ventrad, dorsolateral margin mostly straight. Masticatory margin of mandible with four teeth distally followed by four to five denticles proximally. Prementum with well-developed transverse dome, and strongly impressed transverse groove distally. Palp formula: 4,4. Stipes mostly smooth, internal longitudinal groove present. Labrum dorsum smooth. Clypeus anteromedially convex, with relatively acute extension of the cuticle projecting anterad. Posterior margin of frontoclypeal sulcus not reaching ocular mid-length. Frontal carina surpassing ocular posterior margin, medially. Torular lobe subtriangular, almost completely covering acetabulum of antennal socket, posterolateral margin straight. Malar carina absent, though malar region is slightly raised. Eye suboval, maximum length ca. one-fifth head length, convex, surpassing lateral margin of head, placed slightly anterior to cephalic mid-length. Posterior margin of head concave. Occipital carina absent. Scape, when pulled posterad, barely reaching posterior margin of head. Mesosoma. Lateral view: Dorsal margin slightly convex. Pronotum carinate, with carina not projecting from cuticle. Anapleural sulcus well-developed, usually completely dividing mesopleuron in anepisternum and katepisternum and, sometimes masked by surrounding striae. Posterolateral margin of propodeal declivity with blunt, salient carina. Propodeal spiracle oval to suboval. Ventrolateral propodeal declivity without deep groove. Posteroventral cuticular flap at metapleural gland opening well-developed, slightly bent dorsad, gland orifice clearly visible in posterolateral view. Pheromone venting canal at metapleural gland opening present, well-developed, mostly smooth. Notopropodeal suture vestigial dorsally and shallowly impressed laterally, not forming groove though. Posterior face of propodeal declivity flat. Propodeal lateral margins parallel at base, convergent dorsad. Ventral view: probasisternum triangular-shaped, bearing tiny groove medially. Probasisternal posterior projection acute. Mesosternal process poorly developed, tooth-shaped, internal margins of lobes running parallel, subconical, space between lobes broader than width of each. Metasternal process well-developed, inclined posterad, 20°-30° in lateral view, triangular-shaped, slightly flattened anteroposteriorly, apex shorter than half height of metacoxal internal margin, space between lobes wider than width of each, internal margins divergent. Metasternal process external margins straight to slightly convergent. Legs. Mesofemur thickened medially, feebly thicker than metafemur, in dorsal or ventral view. Ventral surface of meso- and metafemora slightly flattened roughly on distad two thirds. Tibial spur formula 2(1s, 1p), 2(1s, 1p). Anterior mid tibial spur half-length of posterior spur. Anterior hind tibial spur about 2.5 times shorter than posterior spur. Pretarsal claw arched, unarmed (without accessory teeth on surface). Arolium present, roughly three times shorter than pretarsal claw. Petiole. Lateral view: Petiolar node with slightly concave anterior margin and convex posterior margin, posterior margin shorter than anterior margin, posterior face concave. Subpetiolar process shovel-shaped, with keel-shaped anterior cusp, followed by posterior horizontally straight region, dome with transverse, strongly impressed striae. Lateral projection of anteroventral nodal carina highly reduced. Lateral nodal carina absent. Anteroventral nodal carina incomplete, feebly concave medially. Gaster. Lateral view: Prora strongly reduced to tiny projection which is partially hidden by helcium. Anterior margin of tergum of A3 straight at base and slightly projected anterad at dorsum. Dorsalmost limit of anterior tergal margin of A3 slightly below nodal dorsal margin. Meeting region of anterior margin of tergum of A3 with its dorsal margin acute. Anterodorsal margin of tergum of A3 slightly convex. Cinctus weak. Dorsal view: Tergum of A3 slightly longer than A4. Posterior dorsum of epipygium coriaceous. Color. Body with black cuticle, mandibles feebly lighter than remaining body, legs black blended with ferruginous brown. Pilosity. Body with scant, flexuous, golden to dark golden, erect and suberect hairs which are mostly present ventrally. Appressed pubescence present, mostly fine small hairs distributed across integument which is easily discernible. Most erect hairs on body dorsum approximately equal to maximum eye length. Scape pilosity mostly pruinose but not abundant. Meso- and metatarsi bearing abundant spine-like setae and tiny appressed and suberect fine setae. Posterior ventrolateral margin of hypopygium (just next to the base of sting) bearing scattered flexuous hairs, usually longer than eye maximum length. Posterior dorsum of epipygium surrounded by 20–40 long flexuous hairs, longer than eye maximum length. Sculpture. Integument polished. Striae on head present as costae dorsally, and ventrally concentric, mandibles usually finely striate dorsally, mesosoma bearing costae dorsally on pronotum and mesonotum, propodeum finely rugose. Striae on petiolar node present, feebly impressed, slightly more discernible on posterior face.
Comments. Neoponera dropsy is a relatively large form among those of the N. emiliae group (Fig. 6d, TLa: 11.47 – 12.77 mm); its most similar lineage is N. dorsilinea (Fig. 9), both apparently occurring in sympatry at least in their northern known distribution, mid-eastern Bahia (Fig. 15). They can be separated by examining the following two characters: 1) The lateral and dorsal side of the propodeum of N. dropsy show shallow striae which can also be seen as microrugosities (Fig. 10a), so that a notorious difference is evident as compared to the costae on the mesonotum (Fig. 10b); in N. dorsilinea, the propodeum is almost completely covered by costae, so that dorsally it appears these to form a continuum with the costae on the mesonotum (link). 2) The prora is tiny to vestigial in N. dropsy; when tiny it is hardly discernible in lateral view, while in N. dorsilinea is lip-shaped and small, but easily discernible (Fig. 9d). A third trait, the subpetiolar process, in the holotype and paratypes of N. dropsy is slightly longer than that of N. maginifica-2, and it seems to have a slightly deeper groove posteriorly, which is only weakly grooved in the same structure of N. maginifica-2. However, these latter differences are not notorious and the reader may only rely on the two traits described above.
The other three species of the N. magnifica subclade are relatively less similar to N. maginifica-1 but still potentially confusable between every other; the user may focus on the traits mentioned under N. magnifica treatment, and also on the following: N. dropsy has a posteroventral, weakly protruding tumulus, which is only shared with N. dorsilinea; the mesosternal process is reduced so that the lobes slightly emerge from cuticle, their length is about one or at most two times their width, in contrast to all other species where these lobes are well-developed and longer, three (or more) times longer than broad.
Figure 10. Neoponera dropsy sp. nov. Holotype ☿ (MEPN: ATPFOR2060). Brazil: Bahia. a. Lateral view; b. Lateral view; c. Head in frontal view; d. Collection labels.
Figure 10. Neoponera dropsy sp. nov. Holotype ☿ (MEPN: ATPFOR2060). Brazil: Bahia. a. Lateral view; b. Lateral view; c. Head in frontal view; d. Collection labels.
Preprints 144083 g041
Distribution notes. Thus far, the only records found for N. dropsy belong from three sites in southeastern Bahia, spanning an elevational range between 800 m up to about 1100 m; these specimens, all collected in the early 2000’s lie on the ecoregions of Bahia Coastal forests and Bahia Interior forests (da Silva 2018).
Natural history notes. Besides being a probable soil dweller and possibly predator, nothing is known about its behavior or biology. As noted in N. magnifica, however, this species may possibly nest underground or in cavities of e.g., sticks, stems, on soil surface, as some specimens had ground particles sticked to their bodies. The restricted known distribution of this species is a matter of concern, as stated previously for its group partners. The conservation risk of its populations increases since these live in arguably, the most human-threatened biome in South America (Zalles et al. 2021).
Other material examined. 5☿️. BRAZIL – Bahia: • 1☿️; 5 km NW of Jussari; -13.8333, -39.1667; alt. 41m; 1999-05-26; Carmo, J. C. S.; Santos, J. R. M. leg.; (CPDC). 1☿️; Barra do Choça; -14.6333, -40.9167; alt. 888m; 2005-01-08; Conceição E. S. leg.; (DZUP). 1☿️; Barra do Choça; -14.8659, -40.5778; alt. 873m; (CPDC). 2☿️; Barra do Choça; -14.8659, -40.5781; alt. 873m; 2001-01-08; Conceição, E. S. leg.; (CPDC).
Geographic range. Eastern Brazil: Bahia.

5.2.4. Neoponera emiliae Forel, 1901

Figures.11: a – c (☿); 15: (distribution).
Neoponera emiliae Forel, 1901: 349. ☿ lectotype [by designation of MacKay & MacKay, 2010 311], Venezuela, Porto Cabello, A. Forel [leg.], (MHNG, AntWeb CASENT0907239) [image examined, link]. Paralectotypes: 2 ☿ [same data as for lectotype], (MHNG) [not examined].
Combinations. In Pachycondyla: Brown, 1995: 305; in Neoponera: Schmidt and Shattuck, 2014: 151.
Status as species. Emery, 1911: 72; MacKay & MacKay, 2010: 311 (redescription).
Worker (and probably queen) diagnosis. Head slightly longer than broad, densely punctate; antennal scape, when pulled posterad, exceeding posterior head margin by about 1 to 1.5 times apical scape width (Fig. 11c); anterior mid clypeal margin relatively acute (Fig. 1a); posterior face of petiolar node with piligerous punctae (Fig. b); prora well-developed, keel-shaped, either truncate (specimens from Venezuela, link), or acute with tip directed ventrad (specimens from Colombia, Fig.11a); body covered with abundant appressed, copperish hairs.
Worker. Measurements (n = 3): HW: 1.85-1.9; HL: 2.15-2.15; EL: 0.45-0.45; SL: 1.65-1.75; WL: 3-3.05; PrW: 1.3-1.45; MsW: 0.95-1; MsL: 0.6-0.65; PW: 1.3-1.35; PH: 1.2-1.25; PL: 0.8-1; GL: 3.15-3.55; A3L: 1.4-1.5; A4L: 1.45-1.55; A3W: 1.6-1.75; A4W: 1.7-1.7; TLa: 8.8-9.25; TLr: 9.1-9.75. Indices. CI: 86.05-88.37; OI: 23.68-24.32; SI: 89.19-92.11; MsI: 153.85-158.33; LPI: 64.0-83.33; DPI: 135.0-162.5.
Figure 11. Neoponera emiliae Forel, 1901. ☿ (MEPN: ATPFOR2070). Colombia: Meta. a. Lateral view; b. Dorsal view; c. Head in frontal view.
Figure 11. Neoponera emiliae Forel, 1901. ☿ (MEPN: ATPFOR2070). Colombia: Meta. a. Lateral view; b. Dorsal view; c. Head in frontal view.
Preprints 144083 g042
Comments. Neoponera emiliae is the smallest species of the N. emiliae group (Fig. 6d, ☿ TLa = 8.8 – 9.3 mm). Nine specimens were examined (two from images) from this rarely collected taxon, they belong from Colombia, Venezuela, and Ecuador; a single specimen was identified from this latter country but unfortunately it is lost, we could not compare it with the current specimen set, but we assume it is similar to those from Colombia. The following variations were detected between the material from Colombia vs. that from Venezuela: larger body size (TLa ~ 9 mm), vs. smaller (TLa ~ 7.5 mm); the antennal scape exceeds the posterior head margin by 0.5 times apical scape width, vs. 1.5 times said measurement; humeral carina blunt but evident, vs. reduced and poorly discernible; prora well-developed, keel-shaped with acute tip directed ventrad, vs. tiny, lip-shaped. Apparently, these differences would be enough evidence to propose two distinct lineages among these populations, being those from Venezuela the “true” N. emiliae since their morphology match that of the lectotype from Puerto Cabello, just 40 km west from Estación Biológica Rancho Grande in the state of Aragua. However, prior observations of some Neoponera belonging to other species groups suggest that morphological plasticity is more common in this genus than previously expected. Wild (2005) and Delabie et al. (2008) cite some notorious examples of populational variations in broadly-ranged and sympatric species like N. apicalis (Latreille) and some related to N. villosa (Fabricius). We confirmed their observations and detected other cases in for example, N. bugabensis, N. curvinodis, N. inversa, which belong to the N. foetida group, where body regions like the humeral and propodeal carina, and the shape of the petiolar node have certain degree of plasticity; or in N. fiebrigi, from the N. crenata group, for which marked body size differences were found between populations from the mid-southern Atlantic Forest vs. those from the southern Atlantic Forest and the Humid Chaco in Paraguay.
The Venezuelan and Colombian populations of N. emiliae are geographically broadly separated, and belong to different ecoregions, which is another factor potentially justifying its taxonomic split. Nonetheless, the scarcity of material prevents distinction of clear morphological discontinuities which would support absence of gene flow among these forms. At least three of the above said traits, namely, body size, the carinae, and the prora, are expected to show some level of intraspecific plasticity in other Neoponera, like N. curvinodis or N. inversa. Yet, despite being hard to diagnose, both are considered good species, which is also supported in the genus phylogeny (Troya et al., unpublished). Only one N. emiliae specimen, from the Venezuelan population, is represented in such tree. We expect that by including at least another from the Colombian region the blurry be swept off around the hypothesis of whether these are species-specific variations, or represent changes mirroring true (recently?) separated lineages.
Neoponera emiliae can only be confused with its siter lineage, N. metanotalis; they differ though in two traits: the anterior mid clypeal margin is convex, relatively acute in N. emiliae, while in N. metanotalis is straight or even slightly concave; the body dorsum has abundant appressed, copperish pilosity in N. emiliae, while that of N. metanotalis is significantly less hairy, so that the cuticle seems polished, and also these hairs are pale golden.
Distribution notes. Records of N. emiliae span from ca. 200 m to ca. 1200 m elevation, the latter found in the humid habitats of Cordillera de la Costa montane forests in Venezuela; whereas the Colombian specimens belong from the Los Llanos and Aguirre-Villavicencio dry forests, at the western side of the Cordillera Oriental. The specimen from Ecuador was collected in a private reserve located on the Northwestern Andean montane forests ecoregion.
Natural history notes. Almost nothing is known about the biology of this epigeic forager, but see Mackay and Mackay (2010).
Material examined. 8☿️. COLOMBIA – Meta: • 2☿️; Acacias, Araguaney ; 3.9518, -73.7002; alt. 490m; 2004-04-23; Florez, E. leg.; (ICN). 1☿️; Finca Versalles; 3.2727, -73.0879; alt. 206m; 2004-04-19; Flores, E. leg.; pitfall; (MEPN). 1☿️; La Esmeralda; 3.2727, -73.0879; alt. 206m; 2005-04-25; Flores, E. leg.; pitfall; (MEPN). 1☿️; Parque Nacional Natural Tinigua; 3.9899, -73.966; alt. 1800m; 1992-01-01; L. T.; C. E. leg.; (IAvH). • ECUADOR – Pichincha: • 1☿️; Pichincha, Reserva Otongachi; -0.321, -78.951; alt. 770m; (MEPN?). • VENEZUELA – Aragua: • 1☿️; Est. Biol. Rancho Grande; 10.3531, -67.6798; alt. 1200m; 2008-08-13; Longino, J. leg.; (JTLC). 1☿️; Est. Biol. Rancho Grande; 10.3531, -67.6798; alt. 1200m; 2008-08-13; J. Longino leg.; bait; (JTLC). – Carabobo: • 1☿️; Puerto Cabello; 10.4731, -68.0125; (MHNG).
Geographic range. Venezuela, Colombia, Ecuador.

5.2.5. Neoponera glabra sp. nov.

Figures. 12: a – f (☿); 15: (distribution).
Type material. Holotype. 1☿; BRAZIL: Bahia: Esplanada, Baixio, 12 06 52 S, 37 41 49 W, 06.x.2010, M. L. O. Travassos [leg.], E763 [collector’s code], (CPDC: ATPFOR1993).
Etymology. The specific epithet is derived from the singular Latin glaber meaning “hairless, smooth, bald”. This referes thus, to the glabrous surface of the nodal posterior face.
Worker diagnosis. Posterior head margin feebly concave (Fig. 12c); ventrolateral head surface with concentric striae, progressively fading toward midcentral region; head dorsum with irregularly-shaped, not continuous costae (Fig. 12d); propodeum with shallowly-impressed, fused punctae (Fig. 12a, b); meso and metapleuron with irregular costae (Fig. 12a, e); posterior face of petiolar node glabrous (Fig. 4a); mid-lateral nodal margin with incision (Fig. 12e); ventroposterior nodal margin scrobiculate (Fig. 4a, 12e); prora well-developed, with blunt tip directed anterad (Fig. 12e).
Worker description. Measurements (n = 3, holotype in parenthesis): HW: 2.5-2.6 (2.55); HL: 2.7-2.8 (2.7); EL: 0.55-0.6 (0.55); SL: 2-2.25 (2); WL: 3.3-3.85 (3.4); PrW: 1.75-2.05 (1.75); MsW: 1.2-1.25 (1.2); MsL: 0.75-0.85 (0.75); PW: 1.7-2 (1.75); PH: 1.6-1.75 (1.6); PL: 0.9-1.05 (0.9); GL: 3.8-5 (4.7); A3L: 1.85-1.95 (1.95); A4L: 1.9-1.95 (1.95); A3W: 2.3-2.35 (2.3); A4W: 2.05-2.2 (2.05); TLa: 10.7-11.55 (10.9); TLr: 11.5-11.95 (11.7). Indices. CI: 92.59-94.44 (94.44); OI: 21.57-24 (21.57); SI: 78.43-86.54 (78.43); MsI: 147.06-160 (160); LPI: 55.88-60 (56.25); DPI: 178.95-194.44 (194.44).
Head. Frontal view: subquadrate. Mandible triangular, longer than wide, distal region moderately bent ventrad, dorsolateral margin mostly straight. Masticatory margin of mandible with four teeth distally followed by four to five denticles proximally. Prementum with well-developed transverse dome. Prementum and round groove distally. Palp formula: 4,4. Stipes mostly smooth, internal longitudinal groove present. Labrum dorsum mostly smooth, finely striated basally. Clypeus anteromedially convex, with relatively acute extension of the cuticle projecting anterad. Posterior margin of frontoclypeal sulcus not reaching ocular mid-length. Frontal carina surpassing ocular posterior margin, medially. Torular lobe subtriangular, almost completely covering acetabulum of antennal socket, posterolateral margin slightly convex. Malar carina absent, though malar region is slightly raised. Eye suboval, maximum length between one-fourth and one-fifth head length, convex, surpassing lateral margin of head, placed slightly anterior to cephalic mid-length. Posterior margin of head concave. Occipital carina strongly reduced. Scape, when pulled posterad, surpassing posterior margin of head by half apical scape width. Mesosoma. Lateral view: Dorsal margin slightly convex. Pronotum carinate, with carina not projecting from cuticle. Anapleural sulcus well-developed, completely dividing mesopleuron in anepisternum and katepisternum. Posterolateral margin of propodeal declivity slightly marginated. Propodeal spiracle oval to suboval. Ventrolateral propodeal declivity without deep groove. Posteroventral cuticular flap at metapleural gland opening well-developed, slightly bent dorsad, gland orifice clearly visible in posterolateral view. Pheromone venting canal at metapleural gland opening present, well-developed, mostly smooth. Posterior face of propodeal declivity flat. Propodeal lateral margins parallel at base, convergent dorsad. Ventral view: probasisternum triangular-shaped, strongly grooved. Probasisternal posterior projection with spine. Mesosternal process well-developed, fang-shaped, internal margins of lobes running relatively parallel, relatively flattened anteroposteriorly, inclined posterad ca. 30–45 degrees in lateral view, space between lobes approximately equal to width of each. Metasternal process well-developed, inclined posterad, ca. 45° in lateral view, triangular-shaped, flattened anteroposteriorly, apex slightly higher than half height of metacoxal internal margin, space between lobes wider than width of each, internal margins divergent. Metasternal process external margins convergent. Legs. Mesofemur slightly thicker than metafemur, in dorsal or ventral view. Ventral surface of meso- and metafemora slightly flattened roughly on distad two thirds. Tibial spur formula 2(1s, 1p), 2(1s, 1p). Anterior mid tibial spur slightly longer than half-length of posterior spur. Anterior hind tibial spur about 2.5 times shorter than posterior spur. Pretarsal claw arched, unarmed (without accessory teeth on surface). Arolium present, roughly three times shorter than pretarsal claw. Petiole. Lateral view: Petiolar node with straight anterior margin and convex posterior margin, posterior margin shorter than anterior margin, posterior face concave. Subpetiolar process shovel-shaped, with keel-shaped anterior cusp, followed by posterior horizontally straight region, dome with transverse, feebly impressed striae. Lateral projection of anteroventral nodal carina well-developed, with blunt tip projecting dorsad. Lateral nodal carina absent. Anteroventral nodal carina incomplete, feebly concave medially. Gaster. Lateral view: Prora well-developed, small, projected anterad, not hidden by helcium laterally. Anterior margin of tergum of A3 straight. Dorsalmost limit of anterior tergal margin of A3 below nodal dorsal margin. Meeting region of anterior margin of tergum of A3 with its dorsal margin relatively angled. Anterodorsal margin of tergum of A3 slightly convex. Cinctus weak. Dorsal view: Tergum of A3 slightly longer than A4. Posterior dorsum of epipygium coriaceous. Color. Appendages mostly ferruginous black, mandibles lighter than overall body. Pilosity. Body with scant, flexuous, golden to dark golden, erect and suberect hairs which are mostly present ventrally. Appressed pubescence not abundant, mostly present on head and mesosoma, petiole and gaster with significantly less piligerous punctae. Most erect hairs on body dorsum smaller than maximum eye length. Scape pilosity mostly pruinose but not abundant. Meso- and metatarsi bearing abundant spine-like setae and tiny appressed and suberect fine setae. Posterior ventrolateral margin of hypopygium (just next to the base of sting) bearing scattered flexuous hairs, shorter than eye maximum length. Posterior dorsum of epipygium surrounded by sparse, ca. 10 long flexuous hairs, longer than eye maximum length. Sculpture. Integument polished. Striae on head present as costae dorsally, and ventrally concentric, mandibles finely striate dorsally, mesosoma, except for posterior propodeal face, completely covered by strong to moderately impressed costae. Striae on petiolar node absent.
Figure 12. Neoponera glabra sp. nov. Holotype ☿ (CPDC: ATPFOR1993). Brazil: Bahia. a. Lateral view; b. Dorsal view; c. Head in frontal view; d. Detail of striae on head; e. Posterior region of propodeum and petiole in lateral view (same individual with different hue); f. Collection labels.
Figure 12. Neoponera glabra sp. nov. Holotype ☿ (CPDC: ATPFOR1993). Brazil: Bahia. a. Lateral view; b. Dorsal view; c. Head in frontal view; d. Detail of striae on head; e. Posterior region of propodeum and petiole in lateral view (same individual with different hue); f. Collection labels.
Preprints 144083 g043
Comments. Neoponera glabra is a medium-sized taxon among species in the N. emiliae group (Fig. 6d, TLa: 10.7 – 11.55 mm). The irregular-shaped costae on its head dorsum, some of which fuse with each other forming random variable patterns which are particularly noticeable on the lateral side over the internal eye margin (Fig. 12d), plus the glabrous posterior nodal face, are good defining characters which differentiates this species from every other in this species-group. The costae on the head dorsum of all other species in the N. magnifica subclade are mostly straight, and the posterior nodal face is either punctate or striate, or with a mixture of both. Despite such unique features, only N. caxiuana could be confused with N. glabra, but the meso and metapleuron of the former are punctate, not costate as in N. glabra.
Since only three specimens are known, all from eastern Bahia (Fig. 15), no major conclusion about potential apomorphies is possible, nevertheless, the three specimens are mostly identical which may be no surprise since the sites where the collections sites are in relative proximity: two of these lie in the Bahia Coastal forests (where the holotype was found) at about the sea level, and are separated by about 70 km from each other; whereas the third specimen was collected from a contact zone between the Caatinga biome and the Bahia Interior forests, an ecoregion of the Atlantic Forest biome (da Silva 2018), at about 750 m elevation, located 200 km west from the other sites.
Current phylogenetic data suggest that N. glabra is the least derived lineage of the N. magnifica subclade (Troya et al., unpublished), and in terms of genetic divergence this lineage is about 2.5 % different from its closest lineage, N. dropsy. Since only three species were sequenced (one specimen/species) in the N. magnifica subclade, is almost impossible to infer potential ancestral states for these apparently not so related lineages, as judged by their relative long branches. Based exclusively on the morphology of all species in the N. emiliae group, however, it seems that, for example, the irregularly-shaped costae of N. glabra could illustrate part of the traits which putatively were present in the ancestor of this subclade.
Natural history notes. The examined specimens were collected through Winkler extractors and directly by hand, and as the other species in this group, N. glabra likely is an underground nester and/or uses preformed cavities like hollowed sticks or dead stems for colony founding.
Other material examined. 2☿️. BRAZIL – Bahia: • 1☿️; Mata de São João; -12.5311, -38.3013; alt. 42m; 2012/08; Melo, T. S. leg.; hand collected; (MEPN). 1☿️; Milagres; -12.9, -39.85; alt. 753m; 2010-10-23; Ulysséa, M. A.; Medina, A. M.; Campos, E. M. leg.; Winkler; (MZSP).
Geographic range. Brazil: eastern Bahia.

5.2.6. Neoponera magnifica (Borgmeier, 1929)

Figures. 13: a – d (☿); 15: (distribution).
Pachycondyla magnifica Borgmeier, 1929: 196. 2 ☿ syntype, Brazil, Staat Goyaz [Goiás], Campinas [today a region in the city of Goiânia], ii.1928, P.J.S. Schwarzmaier, C. ss. R. leg., No. 3751 [Borgmeier’s collection code], (MCZC, MZSP [examined]). Note: one ☿ at MZSP labeled as “lectotypus” by Borgmeier (Fig. 9) is in fact part of the syntype material.
Combinations. In Neoponera: Schmidt & Shattuck, 2014: 151.
Status as species. Kempf, 1961: 198 (redescription); MacKay & MacKay, 2010: 451 (redescription).
Worker (and probably queen) diagnosis. Head with two patches of appressed, golden hairs (Fig. 13c); antennal scape, when pulled posterad barely reaching, or at most exceeding posterior head margin by less than half apical scape width (Fig. 13c); posterior head margin straight to weakly concave (Fig. 13c, link); mesonotum either with horizontal, vertical, or oblique well-impressed striae (Fig. 13b); propodeum and pleural regions with mixture of shallow microstriae and micropunctae; subpetiolar process medially notched (Fig. 3a); posterior nodal face with mixture of shallow striae and punctae.
Worker. Measurements (n = 5): HW: 2.6-3.1; HL: 2.85-3.35; EL: 0.5-0.6; SL: 1.95-2.25; WL: 3.65-4.25; PrW: 2.0-2.35; MsW: 1.25-1.4; MsL: 0.9-1; PW: 1.85-1.95; PH: 1.7-1.9; PL: 0.95-1.1; GL: 5.16-8; A3L: 2.4-2.7; A4L: 2.05-2.2; A3W: 2.65-2.8; A4W: 2.35-2.7; TLa: 12.15-13.6; TLr: 12.86-16.7. Indices. CI: 86.67-95.16; OI: 17.74-21.15; SI: 66.1-84.62; MsI: 131.58-150; LPI: 52.78-57.89; DPI: 177.27-200.
Comments. Neoponera magnifica is the largest taxon of the N. emiliae group (Fig. 6d, TLa = 12.15 – 13.6 mm). From the scant specimens examined, all belonging from the Cerrado biome in Brazil, almost no differences in their morphology were noted, except for the relative amount and depth of striae on the mesonotum and posterior face of the petiolar node. The syntype from Campinas (today a neighborhood of the city capital of Goiânia), state of Goiás, for example, has a mesonotum with oblique and concentric striae, while in specimens from Anápolis, Goiás (DZUP549378), and Ribas do Rio Pardo, Mato Grosso do Sul (DZUP549545), this structure shows concentric, and vertical striae, respectively. As for the nodal posterior face, the syntype shows scattered, feebly impressed, vertical and concentric striae. A similar pattern is displayed on the specimen from Anápolis, while in the specimen from Mato Grosso do Sul the striae are vertical and well-marked on the whole nodal surface. As judged from other species in this subclade, it seems that the depth, amount and orientation of striae and punctae vary from site to site. This does not apply though to the material of N. maginifica-1 sp. nov. where all specimens were almost identical.
Neoponera magnifica is very similar to all its subclade partners, except for N. glabra which is smaller (TLa ~ 11 mm), without pilose patches on head dorsum, and the subpetiolar process is horizontally straight medially. The following features of N. magnifica distinguish it from the rest of species in the subclade: the head dorsum has a pair of golden patches of pilosity (vs. absent in the other species); the subpetiolar process is notched or concave medially (vs. horizontally straight or feebly convex); and the propodeal spiracle is slit-shaped (vs. oval, except for N. caxiuana which also shows a slit-shaped spiracle).
Mackay and Mackay (2010) believed this species should be placed in its own species-complex (here considered species-group since this and its related lineages are diagnosable), due to its unusual morphology. They realized that in doing so all the other members of the N. emiliae group would require also their own group. Mackay and Mackay (2010) were correct, in part, because N. magnifica, and now its subclade partners, are sister to the species of the N. emiliae subclade, but unrelated to those of “N. emiliae-2”, which they had placed in the N. emiliae group.
Species of the N. magnifica subclade may be considered unique among the Neoponera, mostly because of their costate sculpture, the comparatively small eyes placed anteriorly on a relatively large cranium, and the extravagant cephalic golden patches (though this is autapomorphic only for N. magnifica). Some of these traits are apparently plesiomorphic residues from closely related genera as Pachycondyla and Igaponera which show similar morphologies. Moreover, these traits, for example, the heavily costate cuticle which is thought to reduce wear and tear in epigeic scavengers, are among the few vestiges in the genus, and this is telling its very origins from the ground as commented by Schmidt and Shattuck (2014). This is also reflected in the tree topology of Neoponera as the ancestor of the lineages in the N. emiliae group is the first diverging node in the genus (Troya et al., unpublished).
Figure 13. Neoponera magnifica (Borgmeier, 1929). Syntype ☿ (MZSP). Brazil: Goiás. a. Lateral view; b. Dorsal view; c. Head in frontal view; d. Collection labels.
Figure 13. Neoponera magnifica (Borgmeier, 1929). Syntype ☿ (MZSP). Brazil: Goiás. a. Lateral view; b. Dorsal view; c. Head in frontal view; d. Collection labels.
Preprints 144083 g044
Distribution notes. Current N. magnifica populations are restricted to a relatively small region of the Cerrado biome in Brazil; records belong from central Goiás and southern Mato Grosso do Sul, spanning an altitudinal range between ca. 700 m to ca. 1000 m.
Natural history & conservation notes. Almost nothing is known about the biology or behavior of this enigmatic species; it seems though they nest underground, or at least on cavities on the floor surface, since almost all examined specimens had their bodies coated with traces of ground. Although no information was provided on the specimen labels of the examined material, including the syntype, these specimens were likely collected randomly by hand or by pitfall traps. The two specimens from southern Mato Grosso do Sul were collected in 2017, while those from Goiás and Distrito Federal date back 50 – 90 years ago. Today, the original vegetation of these regions has been virtually entirely replaced by human-driven production zones where cattle ranching and agriculture dominate, and has increased in recent decades (Bell 2019, Vale et al. 2019, ForestWatch.org 2021). Maybe, the rarity of specimens of N. magnifica in natural history collections is not due to their putative cryptic behavior, but perhaps due to its reproductive behavior producing small colonies; if this is confirmed, then it would also be the case for all species in the N. emiliae group for which very low capture events are recorded as well. Whether this hypothesis is challenged or not in future research while collection efforts increase, the underlying conservation issue remains. Populations of N. magnifica, if still exist in the Cerrado regions of Goiás, are likely prone to extinction; the impact of human development coupled with intentional fire events in a number of sites in that state (Pivello et al. 2021, Zalles et al. 2021) can dramatically reduce the likelihood of survival of most organisms. The populations from Mato Grosso do Sul have perhaps a more promissory future, however, since the natural land cover to the south of that state is apparently increasing (ForestWatch.org 2021).
Material examined. 8☿️. BRAZIL – Goiás: • 1☿️; Anapolis; -16.3285, -48.9534; alt. 1000m; 1969-01-16; Kempf, W. leg.; (MZSP). 1☿️; Anápolis; -16.3285, -48.9534; alt. 1000m; 1969-01-16; Kempf, W. leg.; (DZUP). 1☿️; Campinas; -16.661, -49.2924; alt. 703m; 1928/02; Schwarzmaier leg.; (MZSP). 1☿️; Campinas; -16.661, -49.2924; alt. 703m; 1928-10-10; Schwarzmaier leg.; (MZSP). 1☿️; Campinas; -16.661, -49.2924; alt. 703m; Schwarzmaier leg.; (MZSP). 1☿️; Distrito Federal; -15.7, -47.8; alt. 1000m; 1961-10-01; Araujo, R. L. leg.; (MZSP). – Mato Grosso do Sul: • 1☿️; Assentamento Lagoa Grande; -21.9833, -55.3167; alt. 430m; 2017-01-01; Lopez, V. leg.; (MuBio-UFGD). 1☿️; Ribas do Rio Pardo; -21.0899, -53.7005; alt. 460m; 2017-08-14; Aranda, R. leg.; (ZSUP).
Geographic range. Brazil’s central (?) and southern Cerrado.

5.2.7. Neoponera metanotalis (Luederwaldt, 1918)

Figures. 14: a – d (☿); 15: (distribution).
Pachycondyla metanotalis Luederwaldt, 1918: 54. ☿ holotype, Brazil, Minas Gerais, Christina, H. Luederwaldt (leg.), 17.195 [Luederwaldt’s collection code], (MZSP) [examined].
Combination in Neoponera: Schmidt & Shattuck, 2014: 151.
Status as species. Borgmeier, 1923: 70; Kempf, 1961: 200 (redescription); MacKay & MacKay, 2010: 460 (redescription).
Worker and queen diagnosis. Antennal scape, when pulled posterad, exceeding posterior head margin by about 0.5 to 1 X apical scape width (Fig. 1b); mid clypeal margin horizontally straight (Fig. 1b); mesosoma mostly punctate, with feebly to well-impressed striae dorsolaterally on propodeum (link); posterior face of petiolar node either glabrous (link), or with scattered to abundant piligerous punctae; prora well-developed, either lip-shaped (with round tip, link) or truncate (link).
Figure 14. Neoponera metanotalis (Luederwaldt, 1918). Holotype ☿ (MZSP). Brazil: Minas Gerais. a. Lateral view; b. Dorsal view; c. Head in frontal view; d.; Collection labels.
Figure 14. Neoponera metanotalis (Luederwaldt, 1918). Holotype ☿ (MZSP). Brazil: Minas Gerais. a. Lateral view; b. Dorsal view; c. Head in frontal view; d.; Collection labels.
Preprints 144083 g045
Worker. Measurements (n = 4): HW: 1.95-2.35; HL: 2.2-2.55; EL: 0.35-0.55; SL: 1.75-2.35; WL: 3-3.65; PrW: 1.4-1.6; MsW: 0.85-1.2; MsL: 0.65-0.75; PW: 1.35-1.55; PH: 1.2-1.5; PL: 0.75-1; GL: 2.8-4.45; A3L: 1.5-1.65; A4L: 1.55-1.75; A3W: 1.85-2.15; A4W: 1.75-2.1; TLa: 9.15-10.6; TLr: 8.9-10.95. Indices. CI: 88.64-95.56; OI: 16.28-23.4; SI: 87.23-109.3; MsI: 128.57-160; LPI: 53.33-70.83; DPI: 155.0-187.5.
Comments. Neoponera metanotalis is the second smallest species of the N. emiliae group (Fig. 6d, TLa = 9.2 – 10.6 mm). As N. emiliae, this amongst the least commonly collected taxon of this species-group, but also amongst species in the genus. Interestingly, from the scant six workers known, all belonging from a central region of the Atlantic Forest in Brazil, eastern Bahia – BA, Minas Gerais – MG (the holotype is from here), and São Paulo – SP (Fig. XX), the following variations were detected: the antennal scape exceeds the posterior head margin by about one apical scape width in specimens from MG and SP, while the specimen from BA shows a smaller antennal scape, exceeding said margin by 0.5 times apical scape width; the posterior face of petiolar node has piligerous punctae, either scant to abundant in specimens from SP, or mostly glabrous in those from MG and BA; the node is shorter in specimens from SP and MG (PL = 0.75 – 0.85 mm) than that from BA (PL = 1 mm); the posterior nodal margin of the specimen from BA is clearly less inclined than the equivalent from those of SP and MG; the prora in all specimens is well-developed, but in specimens from SP and BA it is truncate, while in the rest it is lip-shaped; the specimen from BA is larger (TLa = 10.6 mm) than those from SP and MG (TLa = 9.15 – 9.80 mm). The morphology of the specimens from SP and MG mostly fits the morphology of the holotype, while the specimen from BA (link) likely represents a populational variant. Since these variations are not strongly diverging from the diagnostic features here considered, and given the scarcity of specimens involved, it seems prudent to leave it as such, while eventually additional material is found. In terms of genetic divergence, on the other hand, the Neoponera phylogeny depicts a relatively broad distance (1.68 %) of this variant with respect to a specimen representing the population of MG (Troya et al., unpublished). Since only two specimens were included in the analysis, however, is impossible to support any hypothesis of lineage split between these populations whose records belong from similar ecoregions (Serra do Mar coastal forests and Bahia Interior forests) in terms vegetation type, which is predominantly seasonal moist forest (da Silva 2018).
Neoponera metanotalis is most similar to its sister lineage N. emiliae among species in this group. Differences between these two lineages were cited already under the N. emiliae treatment (see above).
Distribution notes. The elevational range of this species spans from ca. 600 m to ca. 1300 m.
Natural history notes. This is probably a terrestrial forager, maybe predatory species. The two records of SP were collected using Winkler extractors, while the other records from MG and BA were possibly obtained directly by hand. Besides this, nothing is known about its biology.
Material examined. 6☿️. BRAZIL – Bahia: • 1☿️; 18 km N of Itororò; -14.95, -40.0333; alt. 600m; 2000-08-08; Lacau, S. leg.; (CPDC). – Minas Gerais: • 1☿️; Caparaó; -20.4193, -41.8514; alt. 1350m; 2011-12-05; Chaul, J. leg.; (DZUP). 1☿️; Christina; -22.21, -45.26; 1905-03-19; Luederwaldt, H. leg.; (MZSP). – São Paulo: • 2☿️; Parque Estadual Serra do Mar, núcleo Cunha; -23.25, -45.0; alt. 1147m; 2001-04-21; Tavarés, A. A.; Silva, R. R. leg.; Winkler; (MZSP). 1☿️; REBIO do Alto da Serra de Paranapiacaba; -23.8067, -47.1233; alt. 919m; 1962-09-24; Werner, R. leg.; (DZUP).
Geographic range. Eastern Brazil.
Figure 15. Distribution of examined species records of the N. emiliae species group. Empty arrow belongs to N. magnifica, record from AntWeb.org.
Figure 15. Distribution of examined species records of the N. emiliae species group. Empty arrow belongs to N. magnifica, record from AntWeb.org.
Preprints 144083 g046

References

  1. AntCat. 2022. AntCat (2022) An online catalogue of the ants of the world by Barry Bolton. Available from https//www. antcat.org. (accessed Mar 2022).
  2. Arias, T. 2003. Nuevos registros de especies de hormigas de la subfamilia Ponerinae (Hymenoptera: Formicidae) para Colombia. Caldasia. 25: 429–431.
  3. Arnold, M. L. 1992. Natural hybridization as an evolutionary process. Annu. Rev. Ecol. Syst. 23: 237–261.
  4. Bell, S. 2019. Cattle in the Backlands: Mato Grosso and the Evolution of Ranching in the Brazilian Tropics. AAG Rev. Books. 7: 235–237. [CrossRef]
  5. Bolton, B. 1994. Identification guide to the ant genera of the world, Harvard Univ. Press. [CrossRef]
  6. Bolton, B. 1995. A new general catalogue of the ants of the world. Harvard University Press, Cambridge, Mass.
  7. Borgmeier, T. 1923. Catalogo systematico e synonymico das formigas do Brasil. 1 parte. Subfam. Dorylinae, Cerapachyinae, Ponerinae, Dolichoderinae. Arch. do Mus. Nac. (Rio Janeiro). 22–103.
  8. Borgmeier, T. 1929. Zur Kenntnis der brasilianischen Ameisen. Rev. Española Entomol. 195–214. [CrossRef]
  9. Boudinot, B. E. 2013. The male genitalia of ants: Musculature, homology, and functional morphology (Hymenoptera, Aculeata, Formicidae). J. Hymenopt. Res. 30: 29–49. [CrossRef]
  10. Boudinot, B. E. 2015. Contributions to the knowledge of Formicidae (Hymenoptera, Aculeata): a new diagnosis of the family, the first global male-based key to subfamilies, and a treatment of early branching lineages. Eur. J. Taxon. 120: 1–62. [CrossRef]
  11. Branstetter, M. G., and J. T. Longino. 2022. UCE Phylogenomics of New World Cryptopone (Hymenoptera: Formicidae) Elucidates Genus Boundaries, Species Boundaries, and the Vicariant History of a Temperate–Tropical Disjunction. Insect Syst. Divers. 6.
  12. Branstetter, M. G., and L. Sáenz. 2012. Las hormigas (Hymenoptera: Formicidae) de Guatemala, pp. 12–22. In Cano, B., Schuster, J.C. (eds.), Biodivers. Guatemala. Universidad del Valle de Guatemala, Guatemala.
  13. Brown, W. 1973. A comparison of the Hylean and Congo-west African rain forest ants faunas, p. 350. In Meggers, B.J., Ayensu, E.S., Duckworth, W.D. (eds.), Trop. For. Ecosyst. Africa South Am. a Comp. Rev. Smithsonian Institution Press, Washington, D.C.
  14. Brown, W. L. 1995. Untitled. Taxonomic changes in Pachycondyla and Neoponera attributed to Brown., pp. 302–311. In Bolton, B. (ed.), A New Gen. Cat. Ants World. Cambridge, Mass.: Harvard University Press, 504 pp., USA.
  15. Cantone, S. 2017. Winged ants – The male. Dichotomous key to genera of winged male ants in the world. Behavioral ecology of mating flight. São Paulo: Autopubblicato.
  16. Cantone, S., and C. J. Von Zuben. 2019. The Hindwings of Ants: A Phylogenetic Analysis. Psyche (London). 2019.
  17. Dallwitz, M. 1980. A general system for coding taxonomic descriptions. Taxon. 29: 41–46. [CrossRef]
  18. Dejean, A. 1990. Influence de l’environnement pré-imaginal et précoce dans le choix du site de nidification de Pachycondyla (= Neoponera) villosa (Fabr.)(Formicidae, Ponerinae). Behav. Processes. 21: 107–125.
  19. Delabie, J. H. C., C. S. F. Mariano, L. F. Mendes, S. G. Pompolo, and D. Fresneau. 2008. Problemas apontados por estudos morfológicos, ecológicos e citogenéticos no gênero Pachycondyla na região neotropical: o caso do complexo apicalis, pp. 196–222. In Vilela, E.F., Santos, I.A., Schoereder, J.H., Lino Neto, J., Campos, L.A.O., Serrão, J.E. (eds.), Insetos Sociais Da Biol. à Apl. Editora da Univ. Federal de Viçosa, 442 p., Viçosa, MG.
  20. Delsinne, T., F. J. Serna, M. Leponce, and B. E. Boudinot. 2019. Capítulo 13. Glosario de morfología, pp. 387–457. In Fernández, F., Guerrero, R., Delsinne, T. (eds.), Hormigas Colomb. Universidad Nacional de Colombia, Bogotá.
  21. Emery, C. 1890. Voyage de M. E. Simon au Venezuela (Décembre 1887 - Avril 1888). Formicides. Ann. la Société Entomol. Fr. 55–76.
  22. Emery, C. 1901. Notes sur les sous-familles des dorylines et ponérines (famille des Formicides). Ann. la Société Entomol. Belgique. 45: 32–54. [CrossRef]
  23. Emery, C. 1904. Zur Kenntniss des Polymorphismus der Ameisen. Zool. Jahrbücher. Suppl. 587–610. [CrossRef]
  24. Emery, C. 1911. Hymenoptera. Fam. Formicidae. Subfam. Ponerinae, p. 124. In Wytsman, P. (ed.), Genera Insectorum. Bologne.
  25. Fabricius, J. C. 1804. Systema Piezatorum secundum ordines, genera, species, adjectis synonymis, locis, observationibus, descriptionibus. Brunswick: C. Reichard.
  26. Fernandes, I. O., M. L. De Oliveira, and J. H. C. Delabie. 2014. Description of two new species in the Neotropical Pachycondyla foetida complex (Hymenoptera: Formicidae: Ponerinae) and taxonomic notes on the genus. Myrmecological News. 19: 133–163.
  27. Fernández, F., and R. J. Guerrero. 2019. Capítulo 17. Subfamilia Ponerinae, pp. 509–553. In Fernández, F., Guerrero, R.J., Delsinne, T. (eds.), Hormigas Colomb. Universidad Nacional de Colombia, Bogotá.
  28. Fernandez, F., and E. E. Palacio. 1995. Hormigas de Colombia IV: nuevos registros de géneros y especies. Caldasia. 17: 587–596.
  29. Fernández, F., E. E. Palacio, W. P. MacKay, and E. S. MacKay. 1996. Introducción al estudio de las hormigas (Hymenoptera: Formicidae) de Colombia, pp. 349–412. In Andrade, M.G., Amat García, G., Fernández, F. (eds.), Insectos Colomb. Estud. Escogidos. Academia Colombiana de Ciencias Exactas, Físicas y Naturales, 541 pp., Bogotá.
  30. Field, D. L., D. J. Ayre, R. J. Whelan, and A. M. Young. 2011. Patterns of hybridization and asymmetrical gene flow in hybrid zones of the rare Eucalyptus aggregata and common E. rubida. Heredity (Edinb). 106: 841–853. [CrossRef]
  31. Forel, A. 1899. Biologia Centrali-Americana; or, contributions to the knowledge of the fauna and flora of Mexico and Central America. In- secta. Hymenoptera. Vol. III. (Formicidae.), Biol. Cent. Hym. London.
  32. Forel, A. 1901. Nouvelles espèces de Ponerinae. (Avec un nouveau sous-genre et une espèce nouvelle d’Eciton). Rev. Suisse Zool. 325–353.
  33. ForestWatch.org. 2021. Tree cover change Brazil. (www.globalforestwatch.org.).
  34. Gallardo, A. 1918. Las hormigas de la República Argentina. Subfamilia Ponerinas. An. del Mus. Nac. Hist. Nat. Buenos Aires. 1–112.
  35. De Geer, C. 1773. Mémoires pour servir à l’histoire des insectes. Tome troisième. Pierre Hesselberg, 696 pp., Stockholm.
  36. Gomes, J. P., L. Iannuzzi, and I. R. Leal. 2010. Response of the ant community to attributes of fragments and vegetation in a northeastern Atlantic rain forest area, Brazil. Neotrop. Entomol. 39: 898–905.
  37. Google. 2022. Google Earth. (https://earth.google.com.).
  38. Gutiérrez-Valencia, J., G. Chomicki, and S. S. Renner. 2017. Recurrent breakdowns of mutualisms with ants in the neotropical ant-plant genus Cecropia (Urticaceae). Mol. Phylogenet. Evol. 111: 196–205. [CrossRef]
  39. Harada, A. Y. 2016. State of Art of Ants (Hymenoptera: Formicidae) at Caxiuan&#227;, Melgaco, Par&#225;, Brazil. Adv. Entomol. 04: 115–132.
  40. Harris, R. A. 1979. Glossary of surface sculpturing. Occas. Pap. Entomol. 32. [CrossRef]
  41. Keller, R. A. 2011. A phylogenetic analysis of ant morphology (Hymenoptera: Formicidae) with special reference to the poneromorph subfamilies. Bull. Am. Museum Nat. Hist. 2011: 1–90. [CrossRef]
  42. Kempf, W. W. 1961. As formigas do gênero Pachycondyla Fr. Smith no Brasil (Hymenoptera: Formicidae). Rev. Bras. Entomol. 189–204. [CrossRef]
  43. Kempf, W. W. 1972. Catálogo Abreviado das formigas da Região Neotropical (Hymenoptera: Formicidae). Stud. Entomol.
  44. Lepeletier de Saint-Fargeau, A. 1835. Histoire naturelle des insectes. Hyménoptères. Tome I. Paris: Roret, Paris.
  45. Longino, J. 2010. Ants of Costa Rica. (https://ants.biology.utah.edu/AntsofCostaRica.html).
  46. Longino, J. T., and M. G. Branstetter. 2020. Phylogenomic Species Delimitation, Taxonomy, and ‘Bird Guide’ Identification for the Neotropical Ant Genus Rasopone (Hymenoptera: Formicidae), Insect Syst. Divers.
  47. Lucas, C., D. Fresneau, K. Kolmer, J. Heinze, J. H. C. Delabie, and D. B. Pho. 2002. A multidisciplinary approach to discriminating different taxa in the species complex Pachycondyla villosa (Formicidae). Biol. J. Linn. Soc. 75: 249–259.
  48. Luederwaldt, H. 1918. Notas myrmecologicas. Rev. do Mus. Paul. 29–64.
  49. MacKay, W., and E. Mackay. 2010. The systematics and biology of the New World ants of the genus Pachycondyla (Hymenoptera: Formicidae). Edwin Mellen Press.
  50. Mackay, W. P. 2008. Género Pachycondyla, pp. 170–200. In Jiménez, E., Fernández, F., Arias, T.M., Lozano-Zambrano, F.H. (eds.), Sist. Biogeogr. y Conserv. Las Hormigas Cazadoras Colomb. Instituto de Investigación de Recursos Biológicos Alexander von Humboldt, XIV + 609 pp., Bogotá.
  51. Mayr, E. 1942. Systematics and the Origin of Species, 14th Editi. ed. Columbia University Press, New York.
  52. Mayr, G. 1862. Myrmecologische Studien. Verhandlungen der Kais. Zool. Gesellschaft Wien. 649–776. [CrossRef]
  53. Mayr, G. 1863. Formicidarum index synonymicus. Verhandlungen der Kais. Zool. Gesellschaft Wien. 385–460. [CrossRef]
  54. Mayr, G. 1866. Myrmecologische Beiträge. Sitzungsberichte der Kais. Akad. der Wissenschaften Wien. Math. Classe. Abteilung I. 484–517.
  55. Mayr, G. 1886. Notizen über die Formiciden-Sammlung des British Museum in London. Verhandlungen der Kais. Zool. Gesellschaft Wien. 353–368. [CrossRef]
  56. Mendoza-Ramírez, M., J. Gutiérrez-Rodríguez, C. Poteaux, P. Ornelas-García, and A. Zaldívar-Riverón. 2019. Late Pleistocene genetic diversification and demographic expansion in the widely distributed neotropical ant Neoponera villosa (Ponerinae). Mitochondrial DNA Part A DNA Mapping, Seq. Anal. 30: 296–306. [CrossRef]
  57. Narendra, A., and W. A. Ribi. 2017. Ocellar structure is driven by the mode of locomotion and activity time in Myrmecia ants. J. Exp. Biol. 220: 4383–4390. [CrossRef]
  58. Nemésio, A., D. P. Silva, J. C. Nabout, and S. Varela. 2016. Effects of climate change and habitat loss on a forest-dependent bee species in a tropical fragmented landscape. Insect Conserv. Divers. 9: 149–160. [CrossRef]
  59. Neves, F. M., G. Alvarez, F. F. Corrêa, and J. B. L. Silva. 2021. Drivers of vulnerability to climate change in the southernmost region of Bahia (Brazil). Soc. Nat. 34. [CrossRef]
  60. Ogata, K. 1991. A generic synopsis of the poneroid complex of the family Formicidae (Hymenoptera). Part II. Subfamily Myrmicinae. Bull. Inst. trop. Agric. Kyushu Univ. 14: 61–149.
  61. Orivel, J., A. Souchal, P. Cerdan, and A. Dejean. 2000. Prey capture behavior of the arboreal ponerine ant Pachycondyla goeldii.pdf. Sociobiology. 35: 131–140.
  62. Pérez-Lachaud, G., F. H. Rocha, C. Pozo, L. A. Kaminski, N. Seraphim, and J. P. Lachaud. 2021. A new ant-butterfly symbiosis in the forest canopy fills an evolutionary gap. Sci. Rep. 11: 1–11. [CrossRef]
  63. Perez, B., J. P. Lachaud, and D. Fresnau. 1985. La division del trabajo en la hormiga primitiva Neoponera villosa. Folia Entomol. Mex. 65: 119–130.
  64. Pivello, V. R., I. Vieira, A. V. Christianini, D. B. Ribeiro, L. da Silva Menezes, C. N. Berlinck, F. P. L. Melo, J. A. Marengo, C. G. Tornquist, W. M. Tomas, and G. E. Overbeck. 2021. Understanding Brazil’s catastrophic fires: Causes, consequences and policy needed to prevent future tragedies. Perspect. Ecol. Conserv. 19: 233–255. [CrossRef]
  65. Rebolledo Monsalve, E., P. Jiménez Prado, J. Molinero Ortiz, and T. Toulkeridis. 2022. Differences in Fish Abundance in Rivers under the Influence of Open-Pit Gold Mining in the Santiago-Cayapas Watershed, Esmeraldas, Ecuador. Water. 1–21. [CrossRef]
  66. Retzius, A. J. 1783. Caroli de Geer. Genera et species insectorum e generosissimi auctoris scriptis extraxit, digessit, Latine quoad partem reddidit, et terminologiam insectorum Linneanam addidit. Leipzig.
  67. Roger, J. 1860. Die Ponera artigen ameisen. Berliner Entomol. Zeitschrift. 4: 278–312. [CrossRef]
  68. Roger, J. 1861. Die Ponera-artigen Ameisen (Schluss). Berliner Entomol. Zeitschrift. 1–54. [CrossRef]
  69. Roger, J. 1863. Verzeichniss der Formiciden-Gattungen und Arten. Berliner Entomol. Zeitschrift. 1–65. [CrossRef]
  70. Santos, R. P., C. S. F. Mariano, J. H. C. Delabie, M. A. Costa, K. M. Lima, S. G. Pompolo, I. O. Fernandes, E. A. Miranda, A. F. Carvalho, and J. G. Silva. 2018. Genetic characterization of some Neoponera (Hymenoptera: Formicidae) Populations within the foetida Species Complex. J. Insect Sci. 18: 1–7. [CrossRef]
  71. Schmidt, C. 2013. Molecular phylogenetics of ponerine ants (Hymenoptera: Formicidae: Ponerinae). 3647: 201–250. [CrossRef]
  72. Schmidt, C. A., and S. O. Shattuck. 2014. The Higher Classification of the Ant Subfamily Ponerinae (Hymenoptera: Formicidae), with a Review of Ponerine Ecology and Behavior. [CrossRef]
  73. Serna, F., and W. MacKay. 2010. A descriptive morphology of the ant genus Procryptocerus (Hymenoptera: Formicidae). J. Insect Sci. 10. [CrossRef]
  74. da Silva, J. M. C. 2018. Bahia Interior Forest. (https://www.worldwildlife.org/ecoregions/nt0104).
  75. Smith, F. 1858. Catalogue of hymenopterous insects in the collection of the British Museum. Part VI. Formicidae. London: British Museum, London.
  76. Thompson, D. B. 1999. Genotype-environment interaction and the ontogeny of diet-induced phenotypic plasticity in size and shape of Melanoplus femurrubrum (Orthoptera: Acrididae). J. Evol. Biol. 12: 38–48. [CrossRef]
  77. Tozetto, L., and J. E. Lattke. 2020. Revealing male genital morphology in the giant ant genus Dinoponera with geometric morphometrics. Arthropod Struct. Dev. 57: 100943. [CrossRef]
  78. Troya, A., and J. Lattke. 2022. Neoponera Emery, 1901 (Hymenoptera: Formicidae) revisited: 1. The N. laevigata species-group. Insect Syst. Evol. 1901: 1–76. [CrossRef]
  79. Troya, A., F. Marcineiro, J. E. Lattke, and J. Longino. 2022. Igaponera curiosa, a new ponerine genus (Hymenoptera: Formicidae) from the Amazon. Eur. J. Taxon. 823: 82–101. [CrossRef]
  80. Vale, P., H. Gibbs, R. Vale, J. Munger, A. Brandão, M. Christie, and E. Florence. 2019. Mapping the cattle industry in Brazil’s most dynamic cattle-ranching state: Slaughterhouses in Mato grosso, 1967-2016. PLoS One. 14: 1–25. [CrossRef]
  81. West-Eberhard, M. J. 2005. Phenotypic accommodation: Adaptive innovation due to developmental plasticity. J. Exp. Zool. 304: 610–618. [CrossRef]
  82. Weyna, A., L. Bourouina, N. Galtier, and J. Romiguier. 2022. Detection of F1 Hybrids from Single-genome Data Reveals Frequent Hybridization in Hymenoptera and Particularly Ants. Mol. Biol. Evol. 39: 1–13. [CrossRef]
  83. Wheeler, W. M. 1908. The ants of Texas, New Mexico and Arizona. (Part I.). Bull. Am. Museum Nat. Hist. 399–485.
  84. Wild, A. L. 2005. Taxonomic revision of the Pachycondyla apicalis species complex (Hymenoptera: Formicidae). 25: 1–25.
  85. Wilson, E. O. 1955. A Monographic Revision of the Ant Genus Lasius. Bull. Mus. Comp. Zool. [CrossRef]
  86. Yoder, M. J., I. Mikó, K. C. Seltmann, M. A. Bertone, and A. R. Deans. 2010. A gross anatomy ontology for hymenoptera. PLoS One. 5: e15991. [CrossRef]
  87. Zalles, V., M. C. Hansen, P. V. Potapov, D. Parker, S. V. Stehman, A. H. Pickens, L. L. Parente, L. G. Ferreira, X. P. Song, A. Hernandez-Serna, and I. Kommareddy. 2021. Rapid expansion of human impact on natural land in South America since 1985. Sci. Adv. 7: 1–12. [CrossRef]
Disclaimer/Publisher’s Note: The statements, opinions and data contained in all publications are solely those of the individual author(s) and contributor(s) and not of MDPI and/or the editor(s). MDPI and/or the editor(s) disclaim responsibility for any injury to people or property resulting from any ideas, methods, instructions or products referred to in the content.
Copyright: This open access article is published under a Creative Commons CC BY 4.0 license, which permit the free download, distribution, and reuse, provided that the author and preprint are cited in any reuse.
Prerpints.org logo

Preprints.org is a free preprint server supported by MDPI in Basel, Switzerland.

Subscribe

Disclaimer

Terms of Use

Privacy Policy

Privacy Settings

© 2026 MDPI (Basel, Switzerland) unless otherwise stated