Preprint
Article

This version is not peer-reviewed.

Optimization of In-Situ Growth of Al/InAs Hybrid Systems on GaAs for the Development of Quantum Electronic Circuits

A peer-reviewed article of this preprint also exists.

Submitted:

13 December 2024

Posted:

16 December 2024

Read the latest preprint version here

Abstract
Hybrid systems consisting of highly transparent channels of low-dimensional semiconductors between superconducting elements allow the formation of quantum electronic circuits. They are therefore among the novel material platforms which could pave the way to scalable quantum computation. To this aim, InAs two-dimensional electron gases are among the ideal semiconductor systems due to their vanishing Schottky barrier; however, their exploitation is limited by the unavailability of commercial lattice-matched substrates. We show that in-situ growth of super-conducting aluminum on near-surface InAs metamorphic 2DEGs can be performed by Molecular Beam Epitaxy on GaAs substrates with state-of-the art quality. Adaptation of the metamorphic growth protocol has allowed to reach low-temperature electron mobilities up to 1.3×10^5 cm^2/Vs in Si-doped InAs/In0.81Ga0.19As 2DEGs placed 10 nm from the surface with charge density up to 1×10^12/cm2. Shubnikov-de Haas oscillations on Hall bar structures show well-developed quantum Hall plateaus including the Zeeman split-features. XRD and cross-sectional TEM experiments demonstrate the coexistence of (011) and (111) crystal domains in the Al layers. Resistivity of 10-nm-thick Al films as a function of temperature was comparable to the best Al layers on GaAs, and superconducting proximity effect was observed in a Josephson junction.
Keywords: 
;  ;  ;  

1. Introduction

The path to the implementation of reliable and fault-tolerant quantum computers relies on the availability of suitable material platforms. In this regard the coupling of a semiconducting material with a superconductor allows the realization of a hybrid system in which certain properties of the superconductor can be harnessed in conjunction with the tunability offered by semiconducting materials [1,2,3,4,5]. The transport properties and the formation of localized states at the boundaries of these hybrid systems have gained much attention in recent years due to their potential applications in the field of quantum computing [6,7,8,9].
In these hybrid systems, growth of high-quality superconducting thin films with transparent interfaces to a low-D semiconductor is expected to improve the coherence time of supra-semi qubits and enable strong qubit-qubit coupling [10]. Therefore, these semiconductor-superconductor hybrid systems used as a platform for qubits such as Andreev qubits, gatemons, or topological systems such as Kitaev chains, Kitaev-transmons etc are among the promising candidates for quantum computation applications [11,12,13,14,15]. The basic components are (a) narrow strips of semiconductor Two-Dimensional Electron Gases (2DEGs) with a strong spin−orbit coupling, (b) a transparent interface between the superconductor and semiconductor, (c) proximity-induced superconductivity in the semiconductor with an external magnetic field to reach the topological superconducting regime [10]. Therefore, the ideal candidates for the constituent materials supporting these qubits with superconducting elements are low-bandgap semiconductors such as InAs, possessing a large Lande’s g-factor and strong spin-orbit coupling. Moreover, aluminum as a superconducting film has a long superconducting coherence length and is compatible with standard fabrication techniques. The controlled proximity effect with superconductors is the critical aspect for many applications [16,17] and it can best be implemented by separating the 2DEGs in InAs quantum wells from epitaxially grown aluminum by a thin enough InGaAs barrier [18,19,20].
In recent years, hybrid systems consisting of a shallow InAs 2DEGs coupled to Al on different substrates have been investigated. The highest reported 2DEG mobility was reached on almost lattice-matched GaSb substrates, allowing growth of InAs quantum wells (QW) with thickness up to 24 nm and low-T electron mobility µ ~ 2×106 cm2 /Vs [21]. The growth on the more technologically relevant and resistive InP and GaAs wafers limits the InAs QW thickness to a few nm due to strain, with mobility (µ) up to ~ 106 cm2 /Vs and ~ 7.1×105 cm2 /Vs on InP and GaAs, respectively [22,23]. Among these latter substrates, GaAs substrates would represent the best choice, despite the higher lattice mismatch to InAs (7 %) with respect to InP (3 %), as they are more resistive (which is an advantage for high-frequency operations) and less costly.
The above mobilities were reached in deep quantum wells with the 2DEG located about 100 nm below the top surface, making them inadequate for proximity-induced superconductivity studies. As the 2DEG approaches the surface, surface scattering decreases the electron mobility [24]. Therefore, it is important to investigate protocols to reduce mobility degradation in near-surface 2DEGs while preserving the ease with which superconductivity can be induced.
In the initial part of our study, we have optimized shallow InAs 2DEG structures grown on GaAs substrates using Molecular Beam Epitaxy (MBE) and performed low-T transport studies on these samples. 1D Poisson-Schrödinger (PS) simulations were used to optimize the thickness of the top In0.81Ga0.19As barrier, in a way to guarantee that the electron wavefunction approaches the surface, while still preserving a high enough mobility to ensure ballistic transport. In the second part of the paper, we have optimized the in-situ Al layer deposition inside the MBE reactor, in order to obtain continuous Al films on the InAs 2DEGs [25]. Al deposition is conformal to the underlying semiconductors, preserving the cross-hatched pattern typical for metamorphic growth. XRD and cross-sectional TEM experiments showed evidence for a crystalline structure, mostly oriented in the [011] direction. Resistivity measurements as a function of temperature gave values comparable to the best single-crystal Al film grown on GaAs. Josephson junctions were fabricated on our InGaAs/InAs 2DEG with epitaxial Al, which exhibited superconducting proximity effects [26].

2. Material and Methods

Solid source Molecular Beam Epitaxy (MBE) was used to grow In0.81Al0.19As/In0.81Ga0.19As/ InAs Quantum Wells (QW) on a semi-insulating GaAs (001) substrate. The metamorphic QW region was grown over a strain-relieving step-graded InxAl1-xAs buffer terminated with a 300 nm thick In0.84Al0.16As layer to ensure optimal strain relaxation and maximize the low-T electron mobility in deep 2DEGs [23]. The QW region consists of a 50 nm thick In0.81Al0.19As barrier, followed by a 9 nm In0.81Ga0.19As, 7nm InAs and a top In0.81Ga0.19As barrier whose thickness d varied from 120 to 0 nm as shown in Figure 1a. After setting appropriate values for d as discussed below, the charge density in shallow QWs was tuned by Si δ-doping at 7 nm in the lower In0.81Al0.19As barrier.
Al thin films were deposited in-situ on optimized shallow InAs QW structures inside the MBE system without exposing the sample surface to air. This ensures that the Al is deposited on an oxide-free, as-grown semiconductor surface, while guaranteeing at the same time the best metal material quality. Aluminum was deposited after letting the system pump down the residual arsenic overnight [27]. To prevent aluminum from de-wetting after semiconductor growth, samples were cooled down to about −50°C before deposition by switching off the manipulator heater and idling the effusion cells [28] [29]. The C-type manipulator thermocouple was calibrated for temperatures in the range from -170 to +125 °C following Ref. [30]. Although the absolute temperature value on the wafer surface may deviate from the thermocouple reading, this method nevertheless provides a calibration for sample-to-sample reproducibility. Different samples were grown with aluminum layer thicknesses ranging from 10 to 50 nm. Al thickness was calibrated within 2% either by a step profilometer after etching the film or with X- Ray reflectivity (XRR) on a nominally 50-nm-thick film deposited directly on GaAs. Figure 2 shows the XRR curve where the Kiessig fringe spacing gives an Al thickness of 50±1 nm. The persistence of oscillations is a signature of the flatness of the top surface and of the bottom Al interface [31].
The properties of 50-nm-thick Al/In0.81Ga0.19As/InAs samples were compared with those of equivalent Al films grown directly on GaAs (001) epitaxial surfaces with the same procedure.
To benchmark the quality of in-situ aluminum growth, we tried deposition on the InAs/GaAs heterostructures using three different ex-situ procedures:
  • S-1: After the growth of InAs/GaAs, As4 capping was done in-situ in the MBE to protect the semiconductor surface from oxidation, followed by air exposure and then re-insertion into the MBE chamber. The As4 is then decapped at around 350°C, followed by 50 nm Al growth in the MBE with the protocol described above with pressure around 10-12 mbar.
  • S-2: The InAs/GaAs sample was As-capped and exposed to air as in S-1 and then inserted in a sputtering chamber followed by As4 decapping and 50 nm Al growth at room temperature with a background pressure around 10-7 mbar.
  • S-3: The InAs/GaAs (without the capping layer) was oxidized by air exposure and then inserted in the sputtering chamber where 50 nm Al was grown as in S-2.
Atomic Force Microscopy topographic images were acquired in contact mode (AC mode) with an MFP-3D instrument (Asylum Research/Oxford Instruments) using a silicon cantilever (NSC36 Mikromasch, radius of curvature < 10 nm, spring constant 0.6-2 N/m). Images were analyzed with Gwyddion software [32] to extract the RMS roughness of the different samples. The structural properties of the films were analyzed with X-Ray Diffraction (XRD) at the MCX beamline of Elettra Synchrotron (Trieste, Italy) using a Huber high resolution X-ray diffractometer at an X-ray energy of 8 keV [33]. High-resolution transmission electron microscopy (HR-TEM) experiments were performed in a JEOL 2010 UHR field emission gun microscope operated at 200 kV, with a measured spherical aberration coefficient Cs of 0.47 ± 0.01 mm. Cross-sectional TEM specimens were prepared using a combination of typical mechanical polishing, dimpling, and ion milling techniques.
Hall measurements on bare 2DEGs were performed at 4.2 K on ~ 4×4 mm2 van der Pauw (vdP) structures using four-terminal conventional lock-in technique with an excitation current of 2 µA at 20 Hz. Selected samples were fabricated in a Hall Bar (HB) geometry with the length/width aspect ratio of 1:2. Four-terminal resistivity measurements of Al layers were done on ~1x4 mm2 stripes from 4.2 K to 300 K. Josephson Junctions (JJs) with the length of a few hundred nm were fabricated on InAs/Al platforms using electron beam lithography (EBL), wet etching, electron beam evaporation, and thermal Atomic Layer Deposition (ALD) for a 50-nm-thick gate dielectric Al2O3. Measurements of the JJs were done in a dilution flow refrigerator at 35 mK base temperature using standard lock-in technique, and DC current-voltage I(V) measurements with an NI USB 6341 Multifunction DAQ. To fine tune the magnetic field, we used a Yokogawa GS200 DC Voltage / Current Source.

3. Results and Discussions

3.1. Optimization of InAs QW Structures

As discussed earlier; to obtain high-quality semiconductor/superconductor nano-systems we need to achieve proximity-induced superconductivity. Two important factors for a good proximity effect are a small enough distance of the InAs 2DEGs from the surface and a high enough electron mobility. To find the best compromise between these conflicting requirements, we have investigated the effect of the thickness d of the In0.81Ga0.19As barrier separating the 7-nm InAs QW from the surface in undoped 2DEGs. Fig. 1 (b) shows the charge density n and electron mobility µ at 4K as a function of d in the 0-120 nm range on vdP structures. It can be seen that µ is independent of d down to about 30 nm at values around µ = 8 × 105 cm2/Vs, consistently with what we previously found on similar samples after optimization of the buffer layer [23]. Mobility then decreases sharply to 3.6 × 104 cm2/Vs at d = 10 nm, 1.2 × 104 cm2/Vs at d = 5 nm, and 6.1 × 102 cm2/Vs at d = 0 nm. Conversely, n is largely independent of d in the whole range, at values ≈ 3-4 × 1011 cm-2. Mobility degradation as the top barrier thickness is made thinner is attributed to the strengthening of remote Coulomb scattering on charges trapped at the semiconductor/oxide interface forming at the top surface [34].
These findings can be interpreted in the light of one-dimensional Poisson-Schrödinger (PS) simulations performed as a function of d in the same range [35]. In the simulations we set an n-type background doping of nB = 4 × 1016 cm-3 in the In0.81Ga0.19As barriers, while the Fermi level at the surface EF was pinned 15 meV below the conduction band minimum. Conduction and valence band edges, as well as the 3D electron density profiles, are shown in Figure 3a–c for three representative values of d. The chosen values of nB and EF ensured that n in the InAs QW remains constant at around 3.5 - 4 × 1011 cm-2 independently of d, as can be seen in Fig. 3(d) (red squares). Note that nB is slightly larger and EF slightly smaller than what we found in equivalent systems with an In concentration x = 0.75, where the electron density in the QW decreased at depths lower than 150 nm due to Fermi level pinning at the surface [36]. This is consistent with the fact that InGaAs alloys tend to become more n-type as the In content increases [37]. Profiles in Fig. 3 (a-c) show that about 69% of the electron density is confined into the InAs QW. Besides, as the thickness of the top In0.81Ga0.19As barrier decreases, a non-negligible fraction of the electron densities extends up to the top surface (see red oval in Fig. 3(c)). The 3D electron density at the surface is plotted as a function of d in Fig. 3 (d) (blue squares). Simulations show that this density is effectively zero for d ≥ 40 nm, while at d = 30 nm it rises to about 3.05 × 1012 cm-3 and then increases roughly exponentially with decreasing d, becoming more than 2 × 1017 cm-3 for InAs QWs placed directly on the surface. This increase correlates directly with the mobility decrease observed for d < 40 nm (Fig. 1(b)), and confirms the role of surface scattering as the mechanism limiting electron mobility for shallow InAs 2DEGs [38]. Based on the above considerations, we have selected a QW depth of 10 nm as the best compromise between preserving a high enough mobility and the requirements of interface transparency to a superconductive layer on the surface.
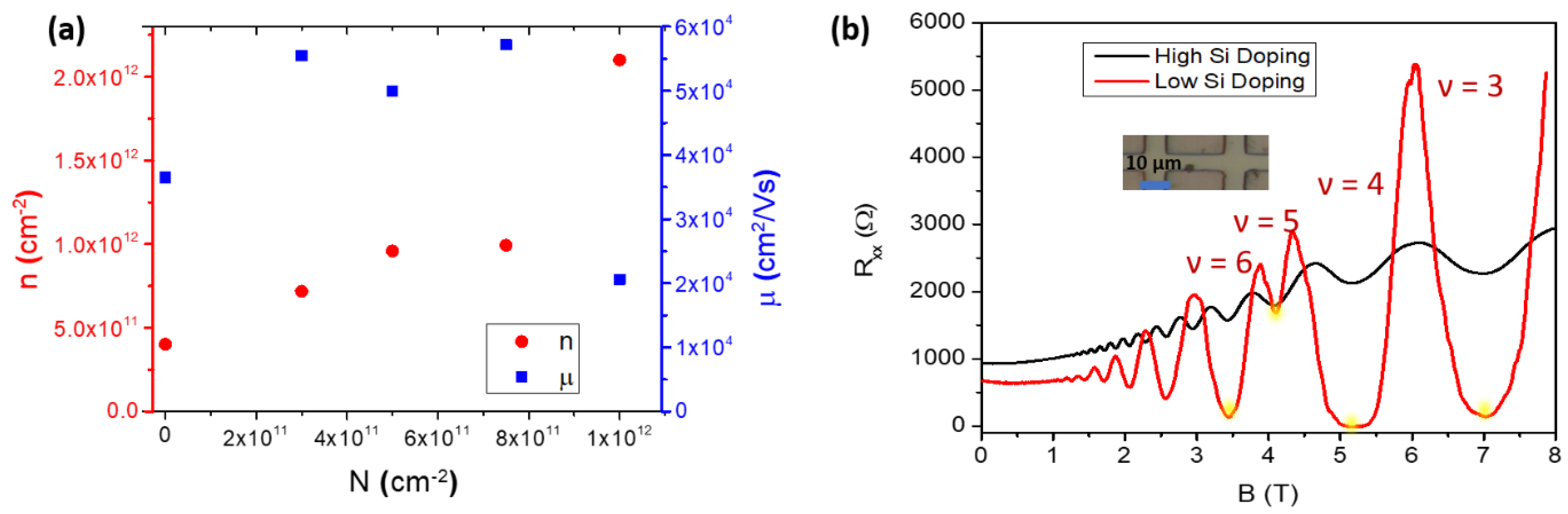
Remote Si doping is necessary to increase the carrier density in a controlled way, in case higher densities than those forming naturally in this material system are needed. The tuning of electron density in shallow (10 nm) InAs 2DEGs was achieved through a Si δ-doping layer in the InAlAs barrier at a setback of 7 nm from the InGaAs/InAs QW. By changing the Si donor concentration N, we were able to tune n from 4 × 1011 cm-2 to more than 1012 cm-2 for d = 10 nm as shown in Figure 4a. Corresponding mobility µ increases up to ~ 6 × 104 cm2 /Vs for a doping concentration N = 7.5 × 1011 cm-2 and then it drops sharply for higher N.
Further analysis was done through Shubnikov-de Haas (SdH) oscillations in a Hall bar geometry (Figure 4b). On the sample with N = 3 × 1011 cm-2 the SdH behave as expected for a single-subband single conducting channel, showing well-developed quantum Hall minima with Zeeman-split features at Landau level filling factors ν=3, 5 (red curve) with corresponding plateaus in Rxy (not shown). Based on their period with 1/B, the charge density is close to the one measured with classical Hall effect at low field (about 5.5 × 1011 cm-2). The mobility measured in Hall bar geometry here was about 8.6 × 104 cm2 /Vs, thus much higher than the corresponding one from vdP (and as high as 1.3 × 105 cm2 /Vs in another device). The discrepancy is possibly due to the inherent anisotropic nature of the scattering mechanisms present in metamorphic growth and to the associated cross-hatched morphology (see Fig. 5 and Ref. [39]), which should become more evident in shallow 2DEGs, which are more affected by surface roughness effects. Since the Hall bar is oriented in the lower roughness [1 1 ¯ 0] direction, while the vdP geometry averages between the two <110>, the former may result in a higher electron mobility. On the sample with the highest Silicon δ doping (N = 1 × 1012 cm-2) the oscillations do not go to zero and are superimposed to a strong background, while the carrier density from their period is 50% less of what we measure with classical Hall effect. This, together with the degraded mobility, suggests the formation of a parallel conductive channel at the Si δ-doping layer.
For a single density of N (5 × 1011 cm-2), we reduced the In0.81Ga0.19As top barrier thickness to 5 nm, which resulted in a decrease of electron mobility, as measured on vdP samples, from 5.5 × 104 cm2 /Vs to about 2.3 × 104 cm2 /Vs. This could provide an option in case 2DEGs shallower than 10 nm should be needed in order to increase interface transparency.

3.2. Characterization of Al Thin Films and Devices

3.2.1. Structural Characterizations

The morphological properties of the epitaxial surfaces were investigated by AFM. Aluminum grown in-situ on an InAs QW (Figure 5 (a)) exhibits an anisotropic cross-hatch pattern due to the underlying semiconductor and typical for metamorphic growth [40]. The samples with Al grown directly on GaAs layer - not shown – also mimic the underlying semiconductor surface. The RMS surface roughness is 3.0 nm, very close to the values obtained on bare InGaAs [34], showing that the aluminum deposition forms a continuous 2D film conformal to the underlying semiconductor layers [41,42].
The samples with ex-situ Al layers: S-1, S-2 and S-3 (Fig. 5 b to d) are conformal to the underlying semiconductor as well, and show similar cross hatch patterns, with a RMS roughness comparable or slightly higher to the in-situ Al sample, although sputtered Al (S-2,3, Fig. 5 c,d ) seems to exhibit a short-range granularity that is absent for MBE-deposited Al. Nevertheless, all our samples have a smoother surface morphology than those grown using different methods such as E-gun evaporation, where RMS roughness ~ 7-8 nm was observed [43].
XRD analysis of the 50-nm Al film grown in-situ on the InAs QW is compared to an equivalent film grown directly on epitaxial GaAs. Fig. 6 shows symmetric (004) Bragg 2-theta scans for both samples obtained with synchrotron radiation at the MCX beamline, Elettra. In both cases, the main peak at 2ϴ = 66.45° comes from the GaAs substrate [44].
For Al grown on GaAs, only a single strong Al (111) peak at 38.14° is observed. Interference fringes confirm the film quality, along with the thickness of 50 nm. On the other hand, the sample grown on InAs, apart from the complex structure on the left of the GaAs (004) peak due to the InAlAs buffer and to the QW region marked as BL, shows two Al-related diffraction peaks: one at 38.14° corresponding to Al (111) and one at 65.2° (Al (02-2)). The intensity of Al (111) is about 100 times less than in the Al/GaAs (001) case, and is likewise 2 orders of magnitudes weaker than the (02-2) peak, despite its reference intensity being 3 times larger. This suggests that the Al film is mainly oriented in the (011) direction, with isolated (111) regions. Around the Al (111) peak a few satellite peaks are visible, which may indicate the presence of defects. The lattice parameters inferred from the Al (111) peak are 7.028 Å on InAs and 7.025 Å on GaAs, consistent with the one of bulk Al (7.014 Å). Similarly, based on the (02-2) peak the lattice parameter for the Al/InAs sample is 1.424 Å, very close to the bulk value of 1.431 Å, which indicates that the film is relaxed both on GaAs and in both domains on InAs.
Figure 6. 2θ XRD scans of 50-nm Al grown in-situ on GaAs (black) and on InAs/GaAs heterostructures (red).
Figure 6. 2θ XRD scans of 50-nm Al grown in-situ on GaAs (black) and on InAs/GaAs heterostructures (red).
Preprints 142855 g006
More details about the structural and crystalline quality of the Al films were assessed by cross-sectional TEM measurements. The bright-field TEM image in Figure 7a depicts the growth of the in-situ 50-nm Al layer on the InAs/InGaAs (001) QW, revealing the presence of defects within its structure. These defects are better identified in Figure 7b,c as twin planes, stacking faults, and twin boundaries.
A HRTEM images of the Al layer grown on GaAs is shown in Fig.8 (a), and images of Al on InAs/InGaAs (001) QW are displayed in Fig. 8 (b, c), demonstrating the crystalline nature of the Al layer throughout its thickness. Furthermore, the interface between Al and the underlying semiconductor is found to be abrupt at the monolayer (ML) level. The smoothness of the semiconductor surface in the image indicates that the presence of the boundary is not associated with either a surface step or a crystallographic defect in the semiconductor.
To determine the orientation and strain of the Al layers, Fast-Fourier transform (FFT) patterns were obtained from the HRTEM images. The insets in Figure. 8a–c display the corresponding FFTs obtained from the regions marked in the respective squares with the zone axis along the [110] direction. The FFT in Figure 8a illustrates that the Al layer on GaAs grows uniformly in the (111) orientation.
In contrast, the Al layer grown on the InAs/InGaAs QW exhibits an out-of-plane direction primarily oriented along (011) (Figure 8b). Upon closer inspection, we found the existence of isolated regions between twin boundaries growing along (111) (Figure 8c). Therefore, Al layers grown on InAs/InGaAs QW predominantly exhibit regions oriented along (011), with fewer regions aligned along (111). The lattice parameters, as calculated with FFT, are 7.02 Å for Al (111) both on GaAs and on InAs, and 1.45 Å for Al (02-2). These observations are consistent with the XRD analysis, and confirm that all Al films are fully relaxed. In general, epitaxy of Al on GaAs is inherently constrained by the matching of the respective crystalline structures and lattice parameters, which set the elastic energy template. However, thermodynamic and kinetic limitations strongly affect the growth mode and orientation, through controllable parameters such as Al deposition temperature and semiconductor surface stoichiometry and step density. This resulted in Al films oriented along (011), (001), (111) or in mixed-phase domains (see, e.g., [45]), depending on the growth conditions. In particular, films grown at about 0°C on As-rich GaAs (001) resulted in (111) single crystals [43], or polycrystalline Al with (111) dominant orientation [45], while this orientation was not observed for films grown at higher temperatures or on As-stabilized GaAs surfaces ([45] and references therein). This is consistent with our findings, since our Al (111) single crystals are obtained at about −50°C on As-rich c(4x4) surfaces, obtained by cooling down the epitaxial GaAs films in As flux. Regarding Al/InAs films, our TEM and XRD results are consistent with the findings of Ref. [46], which revealed that the orientation of Al layer switches from (111) to (011) when the in-plane lattice parameter of the underlying semiconductor exceeds 5.98 Å. Since in our case the in-plane lattice parameter is exactly the critical value, as inferred from the FFT analysis (see the pattern from the green area in Fig. 8 b), a mixture of the two orientations is observed. It is therefore reasonable to think that the lattice constant of the sample with the InAs QW is at or near the boundary between where (111) and (011) normal orientations in Al layers are favored [47]. The presence of defects (such as twin boundaries, dislocations and stacking faults) within the Al layer observed by TEM (see Fig. 7 (b,c)) confirm that the occurrence of satellite peaks around Al (111) peak in XRD analysis are defect-related [40].

3.2.2. Electrical Characterizations

Four-terminal resistivity measurements of Al layers were done on 1x4 mm2 samples from 4.2 K to 300 K with a testing current of 5 µA. Values of resistivity for a series of different Al films at 4 K and 300 K are shown in Table 1, together with the respective residual-resistance ratios (RRR), defined as R300K/R4K. Resistivities of 2.38 × 10-9 Ωm and 6.95 × 10-9 Ωm was achieved at 4 K for 50 nm and 10 nm, respectively (actual values should be even higher, especially for 10 nm, if one considers the 2-3-nm oxide layer forming on the Al surface [48]). Both resistivities and RRR increase with the Al layer thickness as size effects are less evident [49,50], and are comparable with those of state-of-the-art epitaxial Al layers deposited on GaAs [43,49], even though they are not single crystal domains. Besides, our high RRR values are a signature of the film quality, and the temperature dependencies for T > 70 K up to room temperature exhibit the same linear behavior of single-domain Al epitaxial films [43].
In Table 1 we also compare samples S-1, S-2 and S-3. The resistivities of samples grown by sputtering (S-2 and S-3) are 1-2 orders of magnitude higher than those of samples grown in-situ, and RRR’s are less than 5. On the other hand, the electrical quality of the capped-decapped sample S-1 is comparable to that of direct in-situ growth without air exposure. We conclude that ex-situ metal deposition through As capping-decapping of the semiconductor surface is a viable method to obtain hybrid systems with quality comparable to that of in-situ grown ones, and could find potential applications in case the employment of alternative superconductors, not available in the MBE chamber, is needed.
As a benchmark of the quality of our hybrid systems, we obtained evidence of superconductivity due to the 2DEG being proximitized to the epitaxial Al layer in a Josephson Junction. Fig. 9 shows the map of the differential resistance as a function of bias current and magnetic field at <100 mK in a 500-nm-long junction, where a supercurrent and its modulation with magnetic field is clearly visible. The Fraunhofer-like interference pattern suggests homogeneous current flow in the junction. The middle of the central lobe is shifted from 0 T, which can be explained with a remanent magnetic field inside the magnet. The size and sign of this shift depends on the previous measurements and magnetic sweep directions. There is a cut taken at the middle of the central lobe, represented by the black line, corresponding to the effective 0 T. The critical current in this case is around 150 nA. We note that the period of the oscillations is shorter than expected. Based on the length L= 500 nm and width W= 5 μm, without taking into account the magnetic field penetration depth in Al, we expect the period of oscillations to be Δ B = Φ 0 / L W 0.8   m T , where Φ 0 = 2.07 × 10 15   W b is the flux quantum. However, the experimentally observed period is roughly half this value, likely due to the increased penetration depth in the thin Al film, effectively lengthening the junction [51,52,53].

4. Conclusions

In this work, we have shown that Al/InGaAs/InAs systems grown metamorphically on GaAs (001) substrates can provide state-of-the-art hybrid material platforms for topological superconductor devices in terms of crystal quality and electrical characteristics. We have studied the dependence of the low-temperature transport characteristics of the InAs 2DEG as a function of the QW depth and found that, despite a substantial increase of surface scattering effects, a proper choice of the top barrier thickness (around 10 nm) ensures to maintain a large enough mobility (up to 1.3 × 105 cm2/Vs on delta-doped structures), while allowing at the same time the electron wave function to reach the surface. These transport properties compare favorably to those of state-of-the-art metamorphic shallow InAs 2DEGs grown on InP [54]. Thus, our shallow InAs QWs satisfy the requirements necessary to reach the topological superconducting regime by optimizing the mobility and distance of the QW from the surface and ensuring proximity effects.
Al layers were deposited in-situ in the MBE system on clean, oxide-free InGaAs/InAs QWs. XRD and TEM analyses showed a double domain crystal structure, with dominant (011) phases and isolated (111) grains. Our films, however, possess electrical characteristics comparable to those of state-of-the-art single-crystal layers grown on GaAs, and exhibit superconducting proximity effects in Josephson junctions. The observed phenomenology thus opens the way to the exploitation of hybrid qubits on GaAs-based technology.

Author Contributions

Conceptualization, G.B, M.K.; methodology, G.B, M.K.; validation, G.B., M.S., E.T.; formal analysis, M.K., G.B., M.S, E.T., P.R; investigation, M.K, M.S., T.P., E.T., P.B., P.R., J.R.P., P.P; data curation, M.K., M.S., E.T., P.R.; writing—original draft preparation, M.K, G.B.; writing—review and editing, M.K, G.B., P.M, S.C, M.S., E.T; supervision, G.B., E.T., P.M. ,S.C., R.C.; funding acquisition, G.B., S.C., P.M., R.C.. All authors have read and agreed to the published version of the manuscript.
Figure 2020. under the FETOPEN Grant Agreement No. 828948 (AndQC); Horizon Europe Framework Program through the Pathfinder grant no. 101115315 (QuKiT) and 964398 (SuperGate); COST Action CA20116 OPERA and CA 21144 SUPERQUMAt - European Network for Innovative and Advanced Epitaxy; EU H2020 research and innovation programme under grant agreement No 101007417 within the framework of the NFFA-Europe Pilot Transnational Access Activity, proposal ID 380; Italian PNRR MUR project PE0000023-NQSTI financed by the European Union – Next Generation EU. P.B. and P.R. acknowledge the receipt of a fellowship from the ICTP Programme for Training and Research in Italian Laboratories, Trieste, Italy. The Momentum group work was supported by the Ministry of Culture and Innovation and the National Research, Development and Innovation Office within the Quantum Information National Laboratory of Hungary (Grant No. 2022-2.1.1-NL-2022-00004) and VEKOP 2.3.3-15-2017-00015, the OTKA grant PD134758 and K138433, ERC project Twistrain and the János Bolyai Research Scholarship of the Hungarian Academy of Sciences.

Conflicts of Interest

The authors declare no conflicts of interest. The funders had no role in the design of the study; in the collection, analyses, or interpretation of data; in the writing of the manuscript; or in the decision to publish the results.

References

  1. Aasen, D.; Hell, M.; Mishmash, R. v.; Higginbotham, A.; Danon, J.; Leijnse, M.; Jespersen, T. S.; Folk, J. A.; Marcus, C. M.; Flensberg, K.; Alicea, J. Milestones toward Majorana-Based Quantum Computing. Phys Rev X. [CrossRef]
  2. De Lange, G.; van Heck, B.; Bruno, A.; van Woerkom, D. J.; Geresdi, A.; Plissard, S. R.; Bakkers, E. P. A. M.; Akhmerov, A. R.; DiCarlo, L. Realization of Microwave Quantum Circuits Using Hybrid Superconducting-Semiconducting Nanowire Josephson Elements. Phys Rev Lett 2015, 115. [Google Scholar] [CrossRef] [PubMed]
  3. Larsen, T. W.; Petersson, K. D.; Kuemmeth, F.; Jespersen, T. S.; Krogstrup, P.; Nygård, J.; Marcus, C. M. Semiconductor-Nanowire-Based Superconducting Qubit. Phys Rev Lett 2015, 115. [Google Scholar] [CrossRef] [PubMed]
  4. Leijnse, M.; Flensberg, K. Quantum Information Transfer between Topological and Spin Qubit Systems. Phys Rev Lett, 2011; 107. [Google Scholar] [CrossRef]
  5. Kjaergaard, M.; Suominen, H. J.; Nowak, M. P.; Akhmerov, A. R.; Shabani, J.; Palmstrøm, C. J.; Nichele, F.; Marcus, C. M. Transparent Semiconductor-Superconductor Interface and Induced Gap in an Epitaxial Heterostructure Josephson Junction. Phys Rev Appl 2017, 7. [Google Scholar] [CrossRef]
  6. Beenakker, C. W. J. Universal Limit of Critical-Current Fluctuations in Mesoscopic Josephson Junctions, Phys. Rev. Lett. 1991, 3836 (67). [CrossRef]
  7. Beenakker, C. W. J. Quantum transport in semiconductor-superconductor microjunctions, Phys. Rev. B 1992, 12841 (46). [CrossRef]
  8. Hays, M.; Fatemi, V.; Serniak, K.; Bouman, D.; Diamond, S.; de Lange, G.; Krogstrup, P.; Nygård, J.; Geresdi, A.; Devoret, M. H. Continuous Monitoring of a Trapped Superconducting Spin. Nat Phys 2020, 16, 1103–1107. [Google Scholar] [CrossRef]
  9. Deng, M. T; Vaitiekėnas, S; Hansen, E. B.; Danon, J.; Leijnse, M.; Flensberg, K.; Nygård, J.; Krogstrup, P.; Marcus, C.M.; Majorana bound state in a coupled quantum-dot hybrid-nanowire system, Science 2016, 354 (1557-1562). [CrossRef]
  10. Lee, J. S.; Shojaei, B.; Pendharkar, M.; McFadden, A. P.; Kim, Y.; Suominen, H. J.; Kjaergaard, M.; Nichele, F.; Zhang, H.; Marcus, C. M.; Palmstrøm, C. J. Transport Studies of Epi-Al/InAs Two-Dimensional Electron Gas Systems for Required Building-Blocks in Topological Superconductor Networks. Nano Lett 2019, 19, 3083–3090. [Google Scholar] [CrossRef] [PubMed]
  11. A Yu Kitaev, Unpaired Majorana fermions in quantum wires, Phys. -Usp. 2001, 44. [CrossRef]
  12. Reeg, C.; Dmytruk, O.; Chevallier, D.; Loss, D.; Klinovaja, J. Zero-Energy Andreev Bound States from Quantum Dots in Proximitized Rashba Nanowires. Phys Rev B 2018, 98. [Google Scholar] [CrossRef]
  13. Prada, E.; San-Jose, P.; de Moor, M. W. A.; Geresdi, A.; Lee, E. J. H.; Klinovaja, J.; Loss, D.; Nygård, J.; Aguado, R.; Kouwenhoven, L. P. From Andreev to Majorana Bound States in Hybrid Superconductor–Semiconductor Nanowires. Nature Reviews Physics, 1 October 2020. [Google Scholar] [CrossRef]
  14. Rančić, M. J. Exactly Solving the Kitaev Chain and Generating Majorana-Zero-Modes out of Noisy Qubits. Sci Rep 2022, 12. [Google Scholar] [CrossRef]
  15. Hassler, F.; Akhmerov, A. R.; Beenakker, C. W. J. The Top-Transmon: A Hybrid Superconducting Qubit for Parity-Protected Quantum Computation. New J Phys 2011, 13. [Google Scholar] [CrossRef]
  16. Sau, J. D.; Tewari, S.; das Sarma, S. Experimental and Materials Considerations for the Topological Superconducting State in Electron- and Hole-Doped Semiconductors: Searching for Non-Abelian Majorana Modes in 1D Nanowires and 2D Heterostructures. Phys Rev B Condens Matter Mater Phys 2012, 85. [Google Scholar] [CrossRef]
  17. Cole, W. S.; das Sarma, S.; Stanescu, T. D. Effects of Large Induced Superconducting Gap on Semiconductor Majorana Nanowires. Phys Rev B Condens Matter Mater Phys 2015, 92. [Google Scholar] [CrossRef]
  18. Fornieri, A.; Whiticar, A. M.; Setiawan, F.; Portolés, E.; Drachmann, A. C. C.; Keselman, A.; Gronin, S.; Thomas, C.; Wang, T.; Kallaher, R.; Gardner, G. C.; Berg, E.; Manfra, M. J.; Stern, A.; Marcus, C. M.; Nichele, F. Evidence of Topological Superconductivity in Planar Josephson Junctions. Nature 2019, 569, 89–92. [Google Scholar] [CrossRef]
  19. Zhang, T.; Lindemann, T.; Gardner, G. C.; Gronin, S.; Wu, T.; Manfra, M. J. Mobility exceeding 100,000 cm2/Vs in modulation-doped shallow InAs quantum wells coupled to epitaxial aluminum, Phys. Rev. Materials 2023, 7 (056201). [CrossRef]
  20. Nichele, F.; Drachmann, A. C. C.; Whiticar, A. M.; O’Farrell, E. C. T.; Suominen, H. J.; Fornieri, A.; Wang, T.; Gardner, G. C.; Thomas, C.; Hatke, A. T.; Krogstrup, P.; Manfra, M. J.; Flensberg, K.; Marcus, C. M. Scaling of Majorana Zero-Bias Conductance Peaks, Phys. Rev. Lett. 2017, 119. [Google Scholar] [CrossRef] [PubMed]
  21. Tschirky, T.; Mueller, S.; Lehner, C. A.; Fält, S.; Ihn, T.; Ensslin, K.; Wegscheider, W. Scattering Mechanisms of Highest-Mobility InAs/AlxGa1-XSb Quantum Wells. Phys Rev B 2017, 95. [Google Scholar] [CrossRef]
  22. Hatke, A. T.; Wang, T. ; Thomas, 2 C. ; Gardner, G.; Manfra, M. J. Mobility in excess of 106 cm2/Vs in InAs quantum wells grown on lattice mismatched InP substrates, Appl. Phys. Lett. 2017, 111. [Google Scholar] [CrossRef]
  23. Benali, A.; Rajak, P.; Ciancio, R.; Plaisier, J. R.; Heun, S.; Biasiol, G. Metamorphic InAs/InGaAs QWs with electron mobilities exceeding 7×105 cm2/Vs, J Cryst Growth 2022, 593 (126768). [CrossRef]
  24. Lee, J. S.; Shojaei, B.; Pendharkar, M.; Feldman, M.; Mukherjee, K.; Palmstrøm, C. J. Contribution of top barrier materials to high mobility in near-surface InAs quantum wells grown on GaSb(001), Phys. Rev. Materials 2019, 3 (014603). [CrossRef]
  25. Wickramasinghe, K. S.; Mayer, W.; Yuan, J.; Nguyen, T.; Jiao, L.; Manucharyan, V.; Shabani, J. Transport Properties of near Surface InAs Two-Dimensional Heterostructures. Appl Phys Lett 2018, 113. [Google Scholar] [CrossRef]
  26. Suominen, H. J.; Kjaergaard, M.; Hamilton, A. R.; Shabani, J.; Palmstrøm, C. J.; Marcus, C. M.; Nichele, F. Zero-Energy Modes from Coalescing Andreev States in a Two-Dimensional Semiconductor-Superconductor Hybrid Platform. Phys Rev Lett 2017, 119. [Google Scholar] [CrossRef]
  27. Gardner, G. C.; Fallahi, S.; Watson, J. D.; Manfra, M. J. Modified MBE hardware and techniques and role of gallium purity for attainment of two dimensional electron gas mobility >35×106 cm2/V s in AlGaAs/GaAs quantum wells grown by MBE. J Cryst Growth 2016, 441, 71–77. [Google Scholar] [CrossRef]
  28. Krogstrup, P.; Ziino, N. L. B.; Chang, W.; Albrecht, S. M.; Madsen, M. H.; Johnson, E.; Nygård, J.; Marcus, C. M.; Jespersen, T. S. Epitaxy of Semiconductor-Superconductor Nanowires. Nat Mater 2015, 14, 400–406. [Google Scholar] [CrossRef] [PubMed]
  29. Shabani, J.; Kjaergaard, M.; Suominen, H. J.; Kim, Y.; Nichele, F.; Pakrouski, K.; Stankevic, T.; Lutchyn, R. M.; Krogstrup, P.; Feidenhans’L, R.; Kraemer, S.; Nayak, C.; Troyer, M.; Marcus, C. M.; Palmstrøm, C. J. Two-Dimensional Epitaxial Superconductor-Semiconductor Heterostructures: A Platform for Topological Superconducting Networks. Phys Rev B 2016, 93. [Google Scholar] [CrossRef]
  30. Pappas, D. P.; Arnold, C. S. Application of W–Re Thermocouples for in Situ Ultrahigh Vacuum Use over a Wide Temperature Range. Review of Scientific Instruments 2005, 76. [Google Scholar] [CrossRef]
  31. Tiilikainen, J.; Tilli, J. M.; Bosund, V.; Mattila, M.; Hakkarainen, T.; Sormunen, J.; Lipsanen, H. Accuracy in X-Ray Reflectivity Analysis. J Phys D Appl Phys 2007, 40, 7497–7501. [Google Scholar] [CrossRef]
  32. Nečas, D.; Klapetek, P. Gwyddion: An Open-Source Software for SPM Data Analysis. Central European Journal of Physics, 20 February. [CrossRef]
  33. Rebuffi, L.; Plaisier, J. R.; Abdellatief, M.; Lausi, A.; Scardi, A. P. Mcx: A Synchrotron Radiation Beamline for X-Ray Diffraction Line Profile Analysis. Z Anorg Allg Chem 2014, 640, 3100–3106. [Google Scholar] [CrossRef]
  34. Nagaiah, P.; Tokranov, V.; Yakimov, M.; Koveshnikov, S.; Oktyabrsky, S.; Veksler, D.; Tsai, W.; Bersuker, G. Mobility and Remote Scattering in Buried InGaAs Quantum Well Channels with High-k Gate Oxide. Journal of Vacuum Science & Technology B, Nanotechnology and Microelectronics: Materials, Processing, Measurement, and Phenomena 2010, 28. [Google Scholar] [CrossRef]
  35. Tan, I. H.; Snider, G. L.; Chang, L. D.; Hu, E. L. A Self-Consistent Solution of Schrödinger-Poisson Equations Using a Nonuniform Mesh. J Appl Phys 1990, 68, 4071–4076. [Google Scholar] [CrossRef]
  36. Capotondi, F.; Biasiol, G.; Ercolani, D.; Grillo, V.; Carlino, E.; Romanato, F.; Sorba, L. Strain Induced Effects on the Transport Properties of Metamorphic InAlAs/InGaAs Quantum Wells. Thin Solid Films 2005, 484, (1–2). [Google Scholar] [CrossRef]
  37. Lee, S. T.; Lee, I. G.; Jang, H.; Kong, M.; Song, C.; Kim, C. Z.; Jung, S. H.; Choi, Y.; Kim, S.; Eom, S. keun; Seo, K. seok; Kim, D. H.; Ko, D. H.; Shin, C. S. High Performance InGaAs Channel MOSFETs on Highly Resistive InAlAs Buffer Layers. Solid State Electron 2021, 176. [Google Scholar] [CrossRef]
  38. Umansky, V.; de-Picciotto, R.; Heiblum, M. Extremely High-Mobility Two Dimensional Electron Gas: Evaluation of Scattering Mechanisms. Appl Phys Lett 1997, 71, 683–685. [Google Scholar] [CrossRef]
  39. Ercolani, D.; Biasiol, G.; Cancellieri, E.; Rosini, M.; Jacoboni, C.; Carillo, F.; Heun, S.; Sorba, L.; Nolting, F. Transport anisotropy in In0. 75 Ga0.25 As two-dimensional electron gases induced by indium concentration modulation, Phys Rev B 2008, 77. [Google Scholar] [CrossRef]
  40. Chang, K. H.; Gilbala, R.; Srolovitz, D. J.; Bhattacharya, P. K.; Mansfield, J. F. Crosshatched Surface Morphology in Strained III-V Semiconductor Films. J Appl Phys 1990, 67, 4093–4098. [Google Scholar] [CrossRef]
  41. Liu, H. W.; Lin, F. C.; Lin, S. W.; Wu, J. Y.; Chou, B. T.; Lai, K. J.; Lin, S. Di; Huang, J. S. Single-Crystalline Aluminum Nanostructures on a Semiconducting GaAs Substrate for Ultraviolet to Near-Infrared Plasmonics. ACS Nano 2015, 9, 3875–3886. [Google Scholar] [CrossRef] [PubMed]
  42. Tsai, Y. H.; Wu, Y. H.; Ting, Y. Y.; Wu, C. C.; Wu, J. S.; Lin, S. Di. Nano- to Atomic-Scale Epitaxial Aluminum Films on Si Substrate Grown by Molecular Beam Epitaxy. AIP Adv 2019, 9. [Google Scholar] [CrossRef]
  43. Lin, S. W.; Wu, J. Y.; Lin, S. Di; Lo, M. C.; Lin, M. H.; Liang, C. Te. Characterization of Single-Crystalline Aluminum Thin Film on (100) GaAs Substrate. Jpn J Appl Phys 2013, 52. [Google Scholar] [CrossRef]
  44. Tournet, J. Growth and Characterization of Epitaxial Al Layers on GaAs and Si Substrates for Superconducting CPW Resonators in Scalable Quantum Computing Systems; 2015. https://hdl.handle.net/10012/9550.
  45. Tournet, J.; Gosselink, D.; Miao, G. X.; Jaikissoon, M.; Langenberg, D.; McConkey, T. G.; Mariantoni, M.; Wasilewski, Z. R. Growth and Characterization of Epitaxial Aluminum Layers on Gallium-Arsenide Substrates for Superconducting Quantum Bits. Supercond Sci Technol 2016, 29. [Google Scholar] [CrossRef]
  46. Lovygin, M. V.; Borgardt, N. I.; Kazakov, I. P.; Seibt, M. Electron Microscopy of an Aluminum Layer Grown on the Vicinal Surface of a Gallium Arsenide Substrate. Semiconductors 2015, 49, 337–344. [Google Scholar] [CrossRef]
  47. Wang, T.; Thomas, C.; Diaz, R. E.; Gronin, S.; Passarello, D.; Gardner, G. C.; Capano, M. A.; Manfra, M. J. The Dependence of Aluminum Lattice Orientation on Semiconductor Lattice Parameter in Planar InAs/Al Hybrid Heterostructures. J Cryst Growth, 1255. [Google Scholar] [CrossRef]
  48. Chou, B. T.; Chou, Y. H.; Wu, Y. M.; Chung, Y. C.; Hsueh, W. J.; Lin, S. W.; Lu, T. C.; Lin, T. R.; Lin, S. Di. Single-Crystalline Aluminum Film for Ultraviolet Plasmonic Nanolasers. Sci Rep 2016, 6. [Google Scholar] [CrossRef]
  49. Fan, Y. T.; Lo, M. C.; Wu, C. C.; Chen, P. Y.; Wu, J. S.; Liang, C. Te; Lin, S. Di. Atomic-Scale Epitaxial Aluminum Film on GaAs Substrate. AIP Adv 2017, 7. [Google Scholar] [CrossRef]
  50. Lin, S. W.; Wu, Y. H.; Chang, L.; Liang, C. Te; Lin, S. Di. Pure Electron-Electron Dephasing in Percolative Aluminum Ultrathin Film Grown by Molecular Beam Epitaxy. Nanoscale Res Lett 2015, 10, 1–7. [Google Scholar] [CrossRef] [PubMed]
  51. Sütő, M.; Prok, T.; Makk, P.; Kirti, M.; Biasiol, G.; Tóvári, E.; Csonka, S. Near-Surface InAs 2DEG on a GaAs Substrate: Characterization and Superconducting Proximity Effect. Phys. Rev. B 2022, 106. [Google Scholar] [CrossRef]
  52. Gubin, A. I.; Il’in, K. S.; Vitusevich, S. A.; Siegel, M.; Klein, N. Dependence of Magnetic Penetration Depth on the Thickness of Superconducting Nb Thin Films. Phys Rev B Condens Matter Mater Phys 2005, 72. [Google Scholar] [CrossRef]
  53. Pearl, J. Current Distribution in Superconducting Films Carrying Quantized Fluxoids. Appl Phys Lett 1964, 5, 65–66. [Google Scholar] [CrossRef]
  54. Wickramasinghe, K. S.; Mayer, W.; Yuan, J.; Nguyen, T.; Jiao, L.; Manucharyan, V.; Shabani, J. Transport Properties of near Surface InAs Two-Dimensional Heterostructures. Appl Phys Lett 2018, 113. [Google Scholar] [CrossRef]
Figure 1. (a) schematics of the growth sequence of Al- InAs/GaAs hybrid system. (b): low-temperature (T=4.2 K) electron charge density and mobility in undoped InAs 2DEG as a function of d (distance of QW from surface).
Figure 1. (a) schematics of the growth sequence of Al- InAs/GaAs hybrid system. (b): low-temperature (T=4.2 K) electron charge density and mobility in undoped InAs 2DEG as a function of d (distance of QW from surface).
Preprints 142855 g001
Figure 2. (a) X- Ray reflectivity (XRR) of 50 nm thick Al on the InAs/GaAs heterostructures.
Figure 2. (a) X- Ray reflectivity (XRR) of 50 nm thick Al on the InAs/GaAs heterostructures.
Preprints 142855 g002
Figure 3. (a, b, and c) 1D Poisson-Schrödinger simulations at various thicknesses d of the top In0.81Ga0.19As barrier (60 nm, 30 nm, and 10 nm, respectively). Valence and conduction band profiles are indicated in orange and blue, while 3D electron density is indicated in black. (d) Electron charge density in the quantum well and 3D density at the surface estimated with PS simulations. The background doping in the In0.81Al0.19As barriers was set to 4 × 1016 cm-3, while the value of the Fermi level EF was pinned 15 meV below the conduction band edge at the surface.
Figure 3. (a, b, and c) 1D Poisson-Schrödinger simulations at various thicknesses d of the top In0.81Ga0.19As barrier (60 nm, 30 nm, and 10 nm, respectively). Valence and conduction band profiles are indicated in orange and blue, while 3D electron density is indicated in black. (d) Electron charge density in the quantum well and 3D density at the surface estimated with PS simulations. The background doping in the In0.81Al0.19As barriers was set to 4 × 1016 cm-3, while the value of the Fermi level EF was pinned 15 meV below the conduction band edge at the surface.
Preprints 142855 g003
Figure 4. (a) Mobility and carrier density with respect to Si δ-doping density N, measured at 4 K on vdP structures. (b) Magnetotransport on non-gated Hall bars: longitudinal resistance (RXX) as a function of the out of plane magnetic field B at T=1.5 K for the samples with N= 1 × 1012 cm-2 (black) and N = 3 × 1011 cm-2 (red). Inset shows the optical photo of a similar Hall bar.
Figure 4. (a) Mobility and carrier density with respect to Si δ-doping density N, measured at 4 K on vdP structures. (b) Magnetotransport on non-gated Hall bars: longitudinal resistance (RXX) as a function of the out of plane magnetic field B at T=1.5 K for the samples with N= 1 × 1012 cm-2 (black) and N = 3 × 1011 cm-2 (red). Inset shows the optical photo of a similar Hall bar.
Preprints 142855 g004
Figure 5. AFM scan of (a) 50 nm thick Al grown in-situ on InAs/GaAs heterostructure sample (blue arrow indicates the [-110] direction), and samples (b) S-1, (c) S-2 and (d) S-3. The RMS roughness is 3.0 nm, 3.0nm, 3.6 nm, and 3.3 nm, respectively.
Figure 5. AFM scan of (a) 50 nm thick Al grown in-situ on InAs/GaAs heterostructure sample (blue arrow indicates the [-110] direction), and samples (b) S-1, (c) S-2 and (d) S-3. The RMS roughness is 3.0 nm, 3.0nm, 3.6 nm, and 3.3 nm, respectively.
Preprints 142855 g005
Figure 7. Bright-field TEM images of (a) 50-nm thick Al grown on a InAs/InGaAs heterostructure, and (b) a micro twin plane with stacking faults and (c) twin boundaries in the Al layer grown on InAs/InGaAs heterostructure.
Figure 7. Bright-field TEM images of (a) 50-nm thick Al grown on a InAs/InGaAs heterostructure, and (b) a micro twin plane with stacking faults and (c) twin boundaries in the Al layer grown on InAs/InGaAs heterostructure.
Preprints 142855 g007
Figure 8. HRTEM images of a 50-nm Al layer grown on a) GaAs (001) and (b), (c) on InAs/InGaAs heterostructure, highlighting the high crystalline quality of the heterostructures. Insets within the figures show corresponding FFTs obtained from the regions marked with squares. The zone axis of Al layer is [110]. These FFTs reveal that Al layer on InAs/InGaAs heterostructure exhibits the out-of-plane directions along both (011) and (111).
Figure 8. HRTEM images of a 50-nm Al layer grown on a) GaAs (001) and (b), (c) on InAs/InGaAs heterostructure, highlighting the high crystalline quality of the heterostructures. Insets within the figures show corresponding FFTs obtained from the regions marked with squares. The zone axis of Al layer is [110]. These FFTs reveal that Al layer on InAs/InGaAs heterostructure exhibits the out-of-plane directions along both (011) and (111).
Preprints 142855 g008
Figure 9. 2D map of the differential resistance as a function of the magnetic field (x axis) and bias current (y axis) for a 500-nm-long Josephson Junction below 100 mK temperature.
Figure 9. 2D map of the differential resistance as a function of the magnetic field (x axis) and bias current (y axis) for a 500-nm-long Josephson Junction below 100 mK temperature.
Preprints 142855 g009
Table 1. Resistivity values at 4 K and 300 K for different samples grown during this work and compared with the state-of-the-art values [43,49].
Table 1. Resistivity values at 4 K and 300 K for different samples grown during this work and compared with the state-of-the-art values [43,49].
Al layer thickness ρ 4 K (Ω.m) ρ 300 K (Ω.m) RRR
10 nm on InAs/GaAs 6.95×10-9 2.22×10-8 3.19
50 nm on InAs/GaAs 2.38×10-9 3.05×10-8 12.8
50 nm on GaAs 3.14×10-9 2.21×10-8 7.03
S-1 (50 nm) 1.28×10-9 3.11×10-8 24.26
S-2 (50 nm, Sputtering) 3.76×10-8 1.24×10-7 3.29
S-3 (50 nm, Sputtering) 5.44×10-8 1.33×10-7 2.44
10 nm on GaAs (MBE) [49] ~4×10-9 ~1×10-8 2.5
60 nm on GaAs (MBE) [43] 1.46×10-9 2.97×10-8 20.3
Disclaimer/Publisher’s Note: The statements, opinions and data contained in all publications are solely those of the individual author(s) and contributor(s) and not of MDPI and/or the editor(s). MDPI and/or the editor(s) disclaim responsibility for any injury to people or property resulting from any ideas, methods, instructions or products referred to in the content.
Copyright: This open access article is published under a Creative Commons CC BY 4.0 license, which permit the free download, distribution, and reuse, provided that the author and preprint are cited in any reuse.
Prerpints.org logo

Preprints.org is a free preprint server supported by MDPI in Basel, Switzerland.

Subscribe

Disclaimer

Terms of Use

Privacy Policy

Privacy Settings

© 2026 MDPI (Basel, Switzerland) unless otherwise stated