Preprint
Article

This version is not peer-reviewed.

Selective O2/N2 Separation Using Grazyne Membranes: A Computational Approach Combining Density Functional Theory and Molecular Dynamics

A peer-reviewed article of this preprint also exists.

Submitted:

26 November 2024

Posted:

27 November 2024

You are already at the latest version

Abstract
The separation of oxygen (O2) and nitrogen (N2) from air is a process of utmost importance today, as both species are vital for numerous fundamental processes essential for our development. Membranes designed for selective molecule separation have become the material of choice for re-searchers, primarily due to their ease of use. The present study proposes grazynes, 2D car-bon-based materials consisting of sp and sp2 C atoms, as suitable membranes for separating O2 and N2 from air. By combining static density functional theory (DFT) calculations with molecular dynamics (MD) simulations, we address this issue through a comprehensive examination of the thermodynamic, kinetic, and dynamic aspects of molecule diffusion across the nano-engineered pores of grazynes. The studied grazyne structures have demonstrated the ability to physisorb both O2 and N2, preventing material saturation, with diffusion rates exceeding 1 s-1 across a tem-perature range of 100-500 K. Moreover, they exhibit a selectivity of ca. 2 towards O2 at 300 K. In-deed, MD simulations with equimolar mixtures of O2:N2 indicated a selectivity towards O2 in both grazynes with ca. twice as many O2 filtered molecules in the [1],[2]{2}-grazyne and with O2 representing ca. 88% of the filtered gas in the [1],[2]{(0,0)2}-grazyne. [1],[2]{2}-grazyne shows higher permeability for both molecules compared to the other grazyne, with O₂ demonstrating particularly enhanced diffusion capacity across both membranes. Further MD simulations in-corporating CO2 and Ar confirm O2 enrichment, particularly with [1],[2]{(0,0)2}-grazyne, which increased the presence of O2 in the filtered mixture by 26% with no evidences of CO2 molecules.
Keywords: 
;  ;  ;  ;  ;  

1. Introduction

The Earth's atmosphere is made up of a number of different gases, which form a perfect mixture so that life on our planet has been able to develop for millions of years. Among all the present gases, there are two that stand out above the rest: Oxygen (O2) and nitrogen (N2), both essential for the existence of life on Earth. N2 represents 78% of the composition of the atmosphere [1], and, without it, life as we know it could not be understood, due to the so-called nitrogen cycle, where N2 moves between the atmosphere, soil, living beings and water, thus nourishing plants, and regulating the food chain. On the other hand, O2 represents 21% of the gases present in the atmosphere [1], and, like N2, is one of the most important chemical elements since it is present, directly, or indirectly, in almost all known biological functions. The combination of these two compounds forms a perfect mixture for the survival of living beings but, sometimes, one needs to separate them to be able to use them in different processes of technological importance. Thus, N₂ is used, for instance, in food and beverage packaging as a colorless, inert, and odorless compound in the so-called modified atmosphere packaging (MAP) [2], which reduces the oxidation of the product, as well as the growth of aerobic microbes [3] Due to its inert nature, N2 is commonly used in chemistry to create an inert atmosphere, especially for those reactions involving highly reactive compounds [4]. Furthermore, N2 also plays a crucial role in processes like the Haber-Bosch (HB), where atmospheric N2 is used as a reactant under high pressure and temperature to produce ammonia (NH3), which is subsequently used, along with other compounds such as carbon dioxide (CO2) or sulfuric acid (H2SO4), in the production of nitrogen fertilizers. As for O2, it is also used in MAP [2], but its applications go far beyond this. For instance, the steel industry is the largest consumer of pure O2, using it in the process of blowing high-carbon steel [5]. In the chemical industry, commercial O2 or oxygen-enriched air is used in the synthesis of controlled oxidation products [5]. Additionally, O₂ has medical uses, such as in oxygen therapy, which is used to treat any condition that affects the body ability to obtain and use oxygen [6].
Even though the separation of these gases —by the so-called chemical resolution— might seem simple, this statement could not be further from truth. The high stability and concomitant low reactivity of both molecules makes it difficult to separate them. In the recent years, the use of different types of membranes has become a suited solution to this problem. Different types of membranes exist, predominantly categorized into organic and inorganic families. Organic membranes are principally constituted of polymers [7] whereas inorganic membranes comprise materials such as carbon and ceramics, which are mainly made of Al, Si, Ti or Zn [8]. This latter group of membranes has been shown to be thermally stable and chemically resistant, but with very high production costs in full-scale processes [9]. Over the recent years, carbon-based membranes have gained significant attention, particularly after the discovery of graphene [10]. Membranes composed of porous materials have emerged as candidates for molecular separation, taking advantage of the difference in diffusion energies to selectively facilitate some given species permeation. Noteworthy examples include graphene oxide (GO) membranes, which have demonstrated high selectivity in separating various gas mixtures [11]. Encouraging results have also been observed on graphene nanostructures and reduced GO (rGO) applied in biogas upgrading processes [12,13]. Additionally, nanoporous graphene has exhibited notable efficiency in the separation of gas mixtures such as H2/N2, owing to their exceptional pore tunability [14]
Another class of carbon-based materials exhibiting favorable results are graphynes [15,16] single-sheet C-based materials as graphene, but characterized by combining C atoms with sp- and sp2-hybridizations in an ordered fashion. These structures are proposed as gas separation membranes due to their structural versatility, enabling the nanoengineering of their pores at will. The study of graphynes has given rise to a novel structural variant named grazynes [17], which comprise graphene stripes with sp2 hybridization linked by acetylenic linkages. From an electronic perspective, grazyne materials exhibit novel electronic transport that occurs perpendicular to the acetylene bonds [18]. Besides, the grazyne family is also highly tunable, similarly to graphynes, either through elongation of acetylene units or graphene stripes, or by creating vacancies on the acetylene linkers. In fact, the first investigations into the application of grazynes as separation materials have yielded promising results in biogas upgrading [19] and in the separation of N2/CO2 from air mixtures [20].
The present study aims at exploring, by computational methods, whether the separation of N2/O2 gases mixtures is effectively suitable when using adapted grazyne structures as separation membranes. The study, carried out in a comprehensive, multiscale way, encompasses the examination of thermodynamic, kinetic, and dynamic aspects demonstrating the ability of both O2 and N2 surfaces to physisorb, with diffusion rates exceeding 1 s-1 across a temperature range of 100-500 K. Moreover, they exhibit a selectivity of ca. 2 towards O2 at 300 K. Molecular dynamics (MD) simulations with equimolar mixtures of O2:N2 indicated a selectivity towards O2 in both grazynes with ca. twice as many O2 filtered molecules Further MD simulations incorporating CO2 and Ar confirm O2 enrichment, particularly with [1],[2]{(0,0)2}-grazyne, which increased the presence of O₂ in the filtered mixture by 26%, with no evidences of CO2 molecules.

2. Computational Details

This study is based on computational simulations employing periodic density functional theory (DFT) calculations with the Vienna ab initio simulation package (VASP) [21]. The core electron density was described by the projector augmented wave (PAW) method [22], while the valence electron density expanded on a planewave basis set with a kinetic energy cutoff of 415 eV. To address exchange-correlation (xc) effects, the Perdew-Burke-Ernzerhof (PBE) xc functional was utilized [23]. Additionally, Grimme's D3 description of dispersive forces (PBE-D3) [24] has been added to precisely capture dispersion interactions. Isolated O2 and N2 molecules were fully optimized at Γ k-point within a large cubic unit cell with dimensions of 10×10×10 Å3, setting electronic and ionic convergence thresholds at 10−6 eV and 10−5 eV, respectively.
The investigated grazynes, named as [1],[2],{2}-grazyne and [1],[2]{(0,0),2}-grazyne, were chosen based on their favorable outcomes in biogas upgrading [11]. These grazynes are made with one-dimensional graphene stripes linked each other by pairs of acetylenic bonds. Both structures feature a pore characterized by two consecutive acetylenic vacancies, see Figure 1 and Figure 2. The main difference lies in the arrangement of acetylenic bonds within the pore region: The [1],[2],{2}-grazyne contains a single acetylenic row between consecutive pore units, while the [1],[2]{(0,0),2}-grazyne exhibits two adjacent acetylenic rows followed by two vacancies, as indicated by the {(0,0),2} notation. For any clarification on the nomenclature of this type of materials, we refer to the literature where it is explained in detail [9].
These grazynes were fully optimized after introducing a perpendicular vacuum region of 10 Å above and below the membrane. This configuration aimed to prevent interactions between periodically repeated layers of grazyne. A Monkhorst-Pack k-point grid of 10×10×1 was used to ensure energy convergence below the chemical accuracy threshold of 1 kcal·mol−1, ca. 0.04 eV. The optimized cell parameters for each grazyne model can be found in Table 1. The pore sizes in both grazyne structures were estimated using different methods resulting in pore areas of 59.27 Å2 using C atoms as single points, value that reduces into 44.27 Å2 when subtracting the C atomic covalent radius and 52.57 Å2 considering Bader’s procedure [12].
The determination of diffusion transition states (TS) corresponding to the passage of the molecules across the pore was systematically conducted. Initially, the center of mass of both N2 and O2 molecules was aligned with the geometric center of the pore and positioned ca. 4 Å above the layer, and oriented either perpendicular or parallel to the grazyne plane. Throughout the optimization process, the membrane furthest carbon atom from the diffusion pore was kept frozen, while all other atoms were allowed to freely relax, to avoid membrane sheet drifting. Then, the molecule was gradually brought closer to the pore until the TS and the adsorbed state were reached. Minima and TS were characterized through frequency analysis, involving the construction and diagonalization of the Hessian matrix obtained by finite atomic displacements of 0.03 Å length.
The adsorption energy for O2 and N2 molecules is computed through the following expression;
E ads i = E S / i ( E S + E i )
where E S / i represents the energy with the ith species adsorbed on the grazyne surface, E S is the energy of the pristine grazyne layer, and E i is the energy of the ith species in vacuum and in their own ground state. Furthermore, the energy barrier for the diffusion across the membrane, E b i , is obtained through,
E b i = E TS , i E S / i
being E TS , i the energy of the TS for the ith molecule diffusion across the grazyne pore. Both terms, E ads i and E b i , were gained by adding the zero point energy (ZPE) term, defined as;
E ZPE = 1 2 j NMV h υ j
where h is the Planck’s constant, and υ j are the normal modes of vibration (NMV). The summation runs over all the NMV in the case of minima whereas in the case of TS structures the imaginary frequency is not included.
In addition, the rate constants associated to the diffusion process have been computed by means of the transition state theory (TST), according to the following expression;
r i = k B T h q vib , i q vib , i ads e E b i k B T
where k B is the Boltzmann’s constant, T is the temperature, and q vib , i and q vib , i ads represent the vibrational partition functions corresponding to the TS and the adsorption minimum, respectively. Since both states imply a strong interaction between the molecule and the membrane, only the vibrational partition function is considered, as;
q vib , i ads = j NMV 1 1 e h v j k B T
Once the rates for each species are obtained, the selectivity of O2 relative to N2, denoted as S O 2 / N 2 , can be determined according to,
S O 2 / N 2 = r O 2 r N 2
Furthermore, the description of desorption rates, r des , i , in grazyne structures becomes possible. To achieve this, we applied the concept of a late TS within the framework of TST as follows;
r des , i = S des , i ν des , i e E ads i k B T
where S des , i is the desorption coefficient, with values ranging from 0 to 1, representing the probability of an adsorbed molecule being desorbed. In this study, a desorption coefficient of one was assumed for both species. The term ν des , i is defined as;
ν des , i = k B T h q trans , i gas q rot , i gas q vib , i gas q vib , i ads
where q trans , i gas , q rot , i gas , and q vib , i gas   represent the translational, rotational, and vibrational partition functions, respectively, for the ith species in the gas phase. The term q vib , i ads was previously introduced and refers to the vibrational partition function of the same species in the adsorbed state.
Finally, the rate for a non-activated adsorption process can be determined using the Hertz-Knudsen equation:
r ads , i = S 0 , i   p i A 2 π m i k B T
in which S 0 , i represents the sticking coefficient that quantifies the probability that a molecule, upon reaching the membrane, will remain adsorbed. The terms   p i   , m i , and A denote the partial pressure, molecular mass, and adsorption area associated with N2 and O2, respectively. We define A as a·b, where these parameters are reflected in Table 1. The used sticking coefficient value is the conservative value of 0.2, consistent with values reported in similar studies [25].
Additionally, classical MD simulations were carried out using the large-scale atomic/molecular massively parallel simulator (LAMMPS) package [26]. The simulation boxes used were 61.272×148.584×140 Å3 for the [1],[2],{2}-grazyne and 81.696×148.584×140 Å3 for the [1],[2]{(0,0),2}-grazyne. The grazyne membranes were located at half the z axis length along the xy plane, creating two sections with equal volumes. The AIREBO force field was employed to define the interactions of the grazyne layer [27], thanks to its well representation of interatomic interactions within materials and compounds, predominantly constituted of carbon and hydrogen [28,29]. In the case of gas molecules, the intermolecular interactions were modelled by Lennard-Jones 12-6 potential plus a Coulomb interaction term [30] as;
V n o n b o n d e d r i j = q i q j 4 π ε 0 r i j + 4 ε i j ( ( σ i j / r i j ) 12 σ i j / r i j ) 6
where ε 0 is the vacuum permittivity, ε i j   and σ i j are the Lennard-Jones parameters of the ij interaction, r i j is the interatomic distance between pairs, and q i and q j denote the partial atomic charges of the ij pair species. All the values used are listed in Table 2 and correspond to the transferable potentials phase equilibria (TraPPE) force field for the oxygen [31], which establishes a 1.210 Å bond length between oxygens, accompanied by a massless dummy atom positioned at the molecular center of mass. A charge of -0.113 e was assigned to each of the two oxygen atoms, balanced by the charge assigned to the dummy atom of 0.226 e. The N2 molecules were modeled based on the methodology proposed by Murthy et al. [32], with a bond length of 1.098Å. In order to account for the experimental quadrupole moment inherent to the molecule, a massless dummy atom was placed at the center of mass with a charge of 0.964 e, thereby equalizing the charges of -0.482 e assigned to each nitrogen. The CO2 molecule was modeled according to the elementary physical model (EPM2) [33], in which the oxygen atoms are located at a bond length of 1.149 Å with respect carbon atom, resulting in a linear molecular geometry. The charge assigned to the C atom is 0.6512 e while on each oxygen atom the charge corresponds to -0.3256 e. Finally, Argon atoms have been modeled as a single particle with zero charge [20]. The unlike pair parameters were calculated using the arithmetic Lorentz-Berthelot combination rules. During the MD simulations the molecules were treated as rigid entities.
All MD simulations were conducted under the canonical NVT ensemble, where the number of particles, N, the volume, V, and the temperature, T, of the system were fixed. Different values of pressure were studied to assess its significance in the process. To control the temperature of the system and keep it constant throughout the simulation, the Nose-Hoover thermostat was employed [34,35,36]. Initially, the gas mixture was thermalized for 100 ps, a process done avoiding gas-membrane interaction. To do so, the gas molecules are confined between two rigid walls, one directly above the grazyne membrane and another one at a distance ranging from 20 Å to 50 Å from the grazyne, depending on the desired pressure. Once reached the desired temperature, the lower wall was removed and relocated at the bottom edge of the simulation box, then starting the diffusion process that was sustained over 500 ps, time that constitutes the production stage.
The number of molecules that diffuse across the surface within the production stage is commonly used to compute the membrane permeability, P i , defined as [14],
P i = N i A · t
where N i are the moles of net permeated gas molecules, A corresponds to the membrane area, and t , to the simulation time.

3. Results

3.1. DFT results

Before presenting the results obtained from DFT calculations, a series of considerations are needed. First, to determine whether a molecule is capable of passing through the pore, it is desirable to obtain values below 1 eV for diffusion energy barriers. In this sense, previous studies have determined that values below 0.3 eV would be adequate to ensure that molecules diffuse through these materials [11]. Furthermore, it is necessary to obtain low E a d s i values since high adsorption values would lead to chemisorption processes instead of physisorption. Chemisorption would imply that the molecules could remain captured on the grazyne membrane surface instead of permeating through, making grazyne membranes effectively scrubber materials, and to act as membranes, it would be necessary to find suitable techniques to regenerate and clean grazynes from these adsorbed molecules.
Moreover, when investigating single molecules diffusion, scenarios involving the simultaneous presence of two molecules in the same pore are excluded, given their low probability, and the repulsive interactions they would have, frustrating their diffusion through the grazyne structure. Consequently, single passage of O2 and N2 molecules across grazyne membranes was studied yet considering two possible molecular orientations for each molecule type; either with the molecular axis being perpendicular and parallel to the grazyne plane. The obtained energetic values are listed in Table 3. For both structures the adsorption of O2 molecules is stronger than that of N2, regardless of the considered orientation. Another positive income comes from the fact that both species physisorb ensuring no blockage of the membrane. In addition, diffusion O2 barriers are totally non-sensitive to the molecular orientation whereas N2 slightly prefers the perpendicular path. According to the energetic values reported in Table 3, the [1],[2]{(0,0),2}-grazyne membrane exhibits lower diffusion barriers than [1],[2],{2}-grazyne.
The TS visual inspection helps at identifying different situations. For instance, TS (cf. Figure 3) for N2 is obtained when the adsorbate is positioned at 0 Å from the pore center, with the layer in a completely flat conformation. In the case of O2, the TS corresponds to the molecule slightly tilted from the completely perpendicular orientation in both structures.
The adsorbed states of the molecules also appear to be distinct. For O2, grazyne bulges toward the molecule, indicating an attraction between the two parts. Conversely, for N2 the same grazyne bulges away from the molecule, resulting in a repulsive interaction, as observed in Figure 4. Apparently, the energy differences shown in Table 3 could be attributed to these structural discrepancies obtained in the TS and adsorbed state of each molecule.

3.2. Rate Constants and Selectivity

According to the energy barriers obtained in the previous section, O2 should pass more easily than N2 on both grazyne membranes. In order to further verify this hypothesis, rate constants have been calculated for each species at different temperatures by means of Eq. (4) and represented in Figure 5. For each rate constant the two orientations studied —perpendicular and parallel— have been considered. Clearly, O2 exhibits a higher diffusion in both grazynes, reaching values ca. 12 s⁻¹ at 500 K. For both O2 and N2, the [1],[2],{2}-grazyne yields the largest rate constant values, being the difference with the values obtained in [1],[2]{(0,0)2}-grazyne very small, though. Furthermore, with an increase in temperature, the rate constant also rises, as expected. The temperature trend observed can be explained from a physical perspective, where higher temperatures provide molecules with greater kinetic energy and velocity, thereby facilitating the diffusion across the pores. According to the different rate constants, it is reasonable to consider both membranes for O2/N2 separation and identify the appropriate range of temperatures and pressures that enhance the separation.
Figure 6 represents the selectivity of both membranes towards O2 as a function of temperature. The results evidence that, as the temperature increases, both membranes become less selective. Thus, at 150 K ,the selectivity value is 3.5 and 3.2 for [1],[2]{(0,0)2}-grazyne and [1],[2],{2}-grazyne, respectively. However, at 300 K both grazyne membranes achieve a selectivity value of 1.8 indicating that approximately twice as much O2 would be filtered from the mixture ensuring the capability of purifying a mixture of these gases even at room temperature.

3.3 Kinetic Phase Diagrams

The analysis of the ability of materials to adsorb molecules is essential in designing effective filtration systems. The effectiveness of a material in this regard depends on its ability to adsorb target molecules upon, and if so, in the regeneration for a continued use. To evaluate this process, we created Kinetic Phase Diagrams (KPDs) that illustrate the adsorption and desorption tendency of N2 and O2 on both grazynes as a function of the temperature and pressure of the system [37,38]. Under equilibrium conditions, the rates of adsorption and desorption are equal. This equilibrium prompts the search for specific temperatures and pressures that achieve this balance. Figure 7 clearly shows two different regions; one where molecular adsorption is preferred, and another region where desorption is preferred, separated by the equilibrium line. Keeping that in mind, it is worth noting that O2 exhibits a superior adsorption range on both types of grazynes, consistent with the stronger E a d s i values reported in Table 3, vide supra.
The [1],[2]{(0,0),2}-grazyne displays lower adsorption range, positioning it as a slightly more favorable option for operating at high pressure and temperature conditions. However, what is most significant is that under standard conditions (p = 1 atm and T = 300 K), neither of the molecular species exhibit a propensity for adsorption, making these grazynes potential candidates for their use as separation membranes, as they would not, in principle, get their pores poisoned by gas adsorption.

3.4. Molecular Dynamics

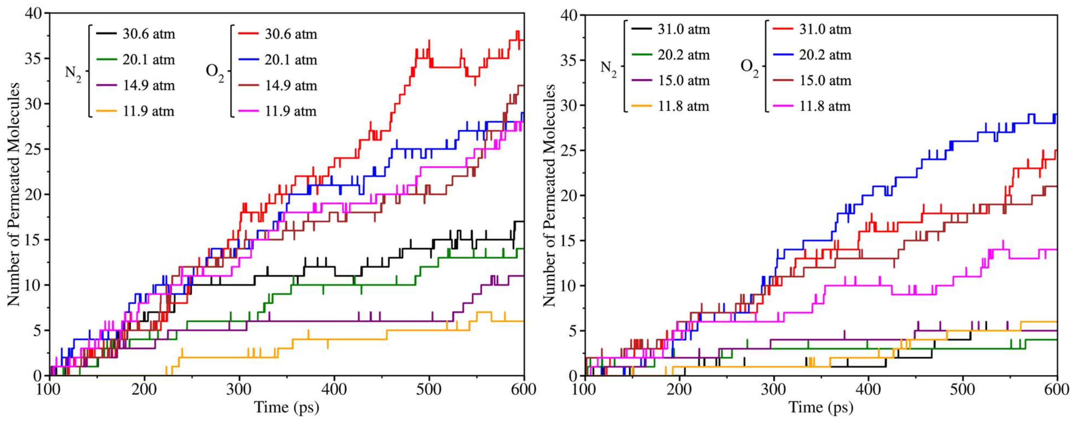
Molecular dynamics (MD) simulations allow a direct comparison with results obtained by DFT calculations and check whether both methodologies are in line and complement each other. While MD focuses on capturing the dynamic aspects of processes, DFT has so far been limited to addressing thermodynamics and static kinetic approximations. The results of these MD simulations —the number of molecules of each species crossing the membrane— have been used to calculate the permeability of grazynes from Eq. (13). Here two types of simulations can be differentiated depending on the gas mixture that has been used. In the first type, a gas mixture with equimolar composition of O2 and N2 has been modeled (i.e. 64 molecules of O2 and 64 molecules of N2) and the diffusion across both membranes evaluated at different pressures. The results of these simulations are shown in Table 4. Here, O2 exhibited a greater capacity for crossing the membrane, a fact that is consistent with a lower DFT energy barrier associated to O2 (cf. Table 3). To be exact, approximately twice as many O2 molecules were filtered in [1],[2],{2}-grazyne. In the [1],[2]{(0,0)2}-grazyne, the difference is even more noticeable where O2 represented approximately 88% of the total filtered gas species, which implies an increase of ca. 38%. These differences are maintained for all pressure values, where a small tendency to decrease the number of filtered molecules with decreasing pressure can be seen. In fact, the values reported in Table 4 show that by decreasing the operative pressure the membrane generates a purer O2 phase using the [1],[2],{2}-grazyne. Note that the pressure indicated for each simulation represents only the initial pressure of the gas on the feeding side. However, the deformation and vibration of the membrane over time slightly modifies the cell volume and shape at each timestep, making it challenging to accurately evaluate the feed pressure throughout the simulation.
By tracking the molecules that come across the membrane at each timestep enables the generation of Figure 8, where the number of molecules in the permeated side are represented over time. The thermalization process, occurring from 0 to 100 ps, is omitted. Initially, both molecules exhibit a comparable diffusion rate. However, before reaching 200 ps, there is a noticeable shift in trends. Nitrogen diffusion appears to decelerate, whereas oxygen maintains its initial diffusion pattern unaltered.
By using the data reported in Table 4, the permeability was computed and represented in Figure 9. Comparing both grazynes, it becomes evident that [1],[2],{2}-grazyne exhibits higher permeability values for both molecules, thus being a less restrictive membrane to O2/N2 diffusion. Furthermore, O2 molecules displayed elevated permeability values across both grazynes, underscoring their superior diffusion capacity.

3.5. O2 direct air capture

Considering the results obtained through DFT and MD analyses, it appears plausible to achieve the separation of these molecules using the studied grazynes, thanks to their different diffusion rates and permeability, with oxygen showing greater ease of passage through the membranes. However, the study carried out up to this point only considers N2 and O2 molecules, when there are more compounds in the air that can affect the separation. To have a more representative view regarding the separation of these molecules, a new set of MD simulations were carried out considering, apart from N2 and O2, CO2 molecules and Ar atoms—the main compounds after N2 and O2 in air—, plus the mixture was made so that the composition was as close as possible to that of atmospheric dry air. Table 5 shows the number of molecules and their contribution to the four components initial mixture.
The size of the simulation box was expanded to accommodate all the molecules, being of 152.524 × 373.576 × 2996.384 Å3 for the [1],[2],{2}-grazyne and 204.240 × 373.575 × 2996.384 Å3 for the [1],[2]{(0,0),2}-grazyne.
Table 6 brings together the results obtained in these simulations. The trend observed in the previous simulations is replicated also here, where the filtered gas was notably enriched in O2. Particularly noteworthy is the result for the [1],[2]{(0,0)2}-grazyne, where oxygen increases its presence up to 47% when it only constituted 21% in the initial mixture. On the other hand, N2 presence is reduced to 60% and 51% in the [1],[2],{2}- and [1],[2]{(0,0)2}-grazyne, respectively. However, a downside of these simulations is the permeation of CO2, which, despite starting with only 4 initial molecules, managed to penetrate the [1],[2],{2} membrane, as anticipated based on previous findings where CO2 diffusion was documented [11,12]. Moreover, the quantity of filtered molecules is greatly influenced by their interaction with the membrane, particularly when the approach occurs perpendicular or parallel to its surface. This fact underscores the significance of understanding the molecular dynamics and structural characteristics of the membrane to predict and optimize separation processes effectively. The [1],[2]{(0,0)2}-grazyne remained impermeable to CO2 initially, though with prolonged simulation, some CO2 molecules might penetrate this membrane, akin to the other model. While argon atoms also crossed the membranes, their inert nature renders them non-threatening. From a broader perspective, [1],[2],{2}-grazyne allows a greater number of total molecules to pass compared to its counterpart, indicating its less restrictive nature. Specifically, 932 molecules were filtered in [1],[2],{2}, whereas only 452 in [1],[2]{(0,0)2}. Despite this, the gas filtered through [1],[2],{2} is less enriched in O2, representing only a 37%. According to these results, it is notorious the effectiveness of both membranes to generate richer O2 mixtures directly from N2/O2 and dry air mixtures.

4. Conclusions

The present DFT and MD calculations analyzing N2 and O2 permeation through nano-engineered grazyne membranes in a holistic fashion, considering thermodynamic, kinetic, and dynamic aspects yield consistent results, indicating the potential use of grazynes to separate N2 and O2 from air. DFT calculations show the physisorption of both molecules on the grazyne membrane models, preventing the pore obstruction by chemical adsorption, further confirmed by KPD under working temperature and pressure conditions. Additionally, the DFT calculations suggest that the two types of molecules could permeate the membrane in two different orientations: Perpendicular and parallel. In this sense, O2 exhibited a significantly higher diffusion capacity compared to N2, attributed to its smaller diffusion barriers. This trend is reflected in the diffusion rates where O2 obtained systematically higher rates than N2 but being both rates higher than 1 s-1. Despite the significant differences in the values, working at low temperatures would be preferable to enhance selectivity towards O2.
MD simulations with equimolar mixtures of O2:N2 clearly indicate a selectivity towards O2 in both grazynes. To be precise, approximately twice as many O2 molecules were filtered in [1],[2],{2}-grazyne whereas in the [1],[2]{(0,0)2}-grazyne, the difference is even more pronounced, with O2 representing ca. 88% of the filtered gas, implying an increase of ca. 38%. These data align perfectly with the selectivity obtained through DFT calculations, where a selectivity towards O2 close to 2 at 300 K was observed. The simulations show promising results also in the case of dry air. Here, the trend observed for the O2/N2 mixture was confirmed, with O2 being enriched in the permeate gas for both grazynes. Particularly noteworthy is the result for the [1],[2]{(0,0)2}-grazyne, where oxygen increases its presence by 26%, nearly constituting half of the filtered gas (i.e., 47%), despite only constituting 21% of the initial gas. On the other hand, [1],[2],{2}-grazyne allows a greater number of molecules to diffuse across the membrane, indicating its less restrictive nature. However, despite this difference, the gas filtered through [1],[2],{2} is less enriched in O2, representing only 37%. Nonetheless, the objective of obtaining enriched oxygen mixtures remains achievable.
All in all, the present study, which explores the energetics, kinetics, and dynamics of O2 separation from N2 using engineered grazyne membranes, paves the way for their application. However, the results underscore that it is essential to control the operating conditions to maximize the separation efficiency. Further research may be necessary to understand the separation behavior and consider the possible impact of other species present in untreated O2/N2 streams.

Author Contributions

F. V. and P. G. co-conceived and supervised the work. F. V. designed the DFT calculations, while P. G. designed the MD simulations. A. C. carried out all the calculations and wrote codes to handle data. All authors analyzed the data. A. C. wrote the initial manuscript draft which was later revised and edited by all the authors.

Funding

The research has been supported by the Spanish Ministry of Science, Innovation and Universities (MICIUN) MCIN/AEI/10.13039/501100011033 PID2021-126076NB-I00, TED2021-129506B-C22, and PID2022-138180OB-I00 projects, funded partially by FEDER Una manera de hacer Europa, and Unidad de Excelencia María de Maeztu CEX2021-001202-M grants, including funding from European Union and, in part, by and COST Action CA18234 by the Generalitat de Catalunya grant 2021SGR00079. F.V. thanks the ICREA Academia Award 2023 Ref. Ac2216561. A. C. thanks MICIUN for his PhD grant with Ref. PRE2022-101313.

Data Availability Statement

Data available upon request from the authors.

Conflicts of Interest

The authors declare no conflicts of interest.

References

  1. Cox, A.N. Allen's Astrophysical Quantities, 4th ed, Springer New York: New York, USA, 2002; pp. 258–259.
  2. Oliveira, M.; Abadias, M.; Usall, J.; Torres, T.; Teixidó, N.; Viñas, I. Application of modified atmosphere packaging as a safety approach to fresh-cut fruits and vegetables – A review. Trends Food Sci. Technol. 2015, 46, 13–26. [Google Scholar] [CrossRef]
  3. Sandhya, S. Modified atmosphere packaging of fresh produce: Current status and future needs. LWT - Food Sci. Technol. 2010, 43, 381–392. [Google Scholar] [CrossRef]
  4. Greenwood, N.N.; Earnshaw, A. Chemistry of the Elements, 2nd ed.; Elsevier, UK, 2012, pp. 409–11.
  5. Emsley, J. Nature's Building Blocks: An A-Z Guide to the Elements, 2nd ed.; Oxford University Press: Oxford, UK, 2001; pp. 297–304. [Google Scholar]
  6. Sjöberg, F.; Singer, M. The medical use of oxygen: a time for critical reappraisal. J. Intern. Med. 2013, 274, 505–528. [Google Scholar] [CrossRef] [PubMed]
  7. Ulbricht, M. Advanced functional polymer membranes. Polymer 2006, 47, 2217–2262. [Google Scholar] [CrossRef]
  8. Samaei, S.M.; Gato-Trinidad, S.; Altaee, A. The application of pressure-driven ceramic membrane technology for the treatment of industrial wastewaters—a review. Sep. Purif. Technol. 2018, 200, 198–220. [Google Scholar] [CrossRef]
  9. Asif, M.B.; Zhang, Z. Ceramic membrane technology for water and wastewater treatment: A critical review of performance, full-scale applications, membrane fouling and prospects. Chem. Eng. J. 2021, 418, 129481. [Google Scholar] [CrossRef]
  10. Novoselov, K.S.; Geim, A.K.; Morozov, S.V.; Jiang, D.; Zhang, Y.; Dubonos, S.V.; Grigorieva, I.V.; Firsov, A.A. Electric Field Effect in Atomically Thin Carbon Films. Science 2004, 306, 666–669. [Google Scholar] [CrossRef]
  11. Jiao, S.; Xu, Z. Selective Gas Diffusion in Graphene Oxides Membranes: A Molecular Dynamics Simulations Study. ACS Appl. Mater. Interfaces 2015, 7, 9052–9059. [Google Scholar] [CrossRef]
  12. Chen, J.; Li, W.; Li, X.; Yu, H. Improving Biogas Separation and Methane Storage with Multilayer Graphene Nanostructure via Layer Spacing Optimization and Lithium Doping: A Molecular Simulation Investigation. Environ. Sci. Technol. 2012, 46, 10341–10348. [Google Scholar] [CrossRef]
  13. Covarrubias-García, I.; Quijano, G.; Aizpuru, A.; Sánchez-García, J.L.; Rodríguez-López, J.L.; Arriaga, S. Reduced graphene oxide decorated with magnetite nanoparticles enhance biomethane enrichment. J. Hazard. Mater. 2020, 397, 122760. [Google Scholar] [CrossRef]
  14. Du, H.; Li, J.; Zhang, J.; Su, G.; Li, X.; Zhao, Y. Separation of Hydrogen and Nitrogen Gases with Porous Graphene Membrane. J. Phys. Chem. C 2011, 115, 23261–23266. [Google Scholar] [CrossRef]
  15. Balaban, A.T.; Rentea, C.C.; Ciupitu, E. Chemical graphs. VI. Estimation of the relative stability of several planar and tridimensional lattices for elementary carbon. Rev. Roum. Chim. 1968, 13, 231–247. [Google Scholar]
  16. Malko, D.; Neiss, C.; Viñes, F.; Görling, A. Competition for graphene: graphynes with direction-dependent Dirac cones. Phys. Rev. Lett. 2012, 108, 086804. [Google Scholar] [CrossRef] [PubMed]
  17. Kamalinahad, S.; Viñes, F.; Gamallo, P. Grazynes: Carbon-Based Two-Dimensional Composites with Anisotropic Properties. J. Phys. Chem. C 2019, 123, 27140–27149. [Google Scholar] [CrossRef]
  18. Alcón, I.; Papior, N.; Calogero, G.; Viñes, F.; Gamallo, P.; Brandbyge, M. Acetylene-Mediated Electron Transport in Nanostructured Graphene and Hexagonal Boron Nitride. J. Phys. Chem. Lett. 2021, 12, 11220–11227. [Google Scholar] [CrossRef]
  19. Viñes, F.; Calzada, A.; Gamallo, P. Thermodynamic, kinetic and dynamic aspects of biogas upgrading using nano-engineered grazynes. J. CO2 Util. 2023, 71, 102459. [Google Scholar] [CrossRef]
  20. Calzada, A.; Gamallo, P.; Viñes, F. On the CO2 Harvesting from N2 Using Grazyne Membranes. ChemSusChem 2024, 17, e202400852. [Google Scholar] [CrossRef]
  21. Kresse, G.; Furthmüller, J. Efficiency of ab-initio total energy calculations for metals and semiconductors using a plane-wave basis set. Comput. Mater. Sci. 1996, 6, 15–50. [Google Scholar] [CrossRef]
  22. Blöchl, P.E. Projector augmented-wave method. Phys. Rev. B 1994, 50, 17953–17979. [Google Scholar] [CrossRef]
  23. Perdew, J.P.; Burke, K.; Ernzerhof, M. Generalized Gradient Approximation Made Simple. Phys. Rev. Lett. 1996, 77, 3865–3868. [Google Scholar] [CrossRef]
  24. Grimme, S.; Antony, J.; Ehrlich, S.; Krieg, H. A consistent and accurate ab initio parametrization of density functional dispersion correction (DFT-D) for the 94 elements H-Pu. J. Chem. Phys. 2010, 132, 154104. [Google Scholar]
  25. Prats, H.; Mcaloone, H.; Viñes, F.; Illas, F. Ultra-high selectivity biogas upgrading through porous MXenes. J. Mater. Chem. A 2020, 8, 12296–12300. [Google Scholar] [CrossRef]
  26. Plimpton, S.; Crozier, P.; Thompson, A. LAMMPS-large-scale atomic/molecular massively parallel simulator. Sandia Natl. Lab. 2007.
  27. Stuart, S.J.; Tutein, A.B.; Harrison, J.A. A reactive potential for hydrocarbons with intermolecular interactions. J. Chem. Phys. 2000, 112, 6472–6486. [Google Scholar] [CrossRef]
  28. Sun, C.; Boutilier, M.S.H.; Au, H.; Poesio, P.; Bai, B.; Karnik, R.; Hadjiconstantinou, N.G. Mechanisms of molecular permeation through nanoporous graphene membranes. Langmuir 2014, 30, 675–682. [Google Scholar] [CrossRef]
  29. Cao, K.; Feng, S.; Han, Y.; Gao, L.; Ly, T.H.; Xu, Z.; Lu, Y. Elastic straining of free-standing monolayer graphene. Nat. Commun. 2020, 11, 284. [Google Scholar] [CrossRef]
  30. Vujić, B.; Lyubartsev, A.P. Transferable force-field for modelling of CO2, N2, O2 and Ar in all silica and Na+ exchanged zeolites. Model. Simul. Mater. Sci. Eng. 2016, 24, 045002. [Google Scholar] [CrossRef]
  31. Zhang, L.; Siepmann, J.I. Direct calculation of Henry's law constants from Gibbs ensemble Monte Carlo simulations: Nitrogen, oxygen, carbon dioxide, and methane in ethanol. Theor. Chem. Acc. 2006, 115, 391–397. [Google Scholar] [CrossRef]
  32. Murthy, C.; Singer, K.; Klein, M.; McDonald, I. Pairwise additive effective potentials for nitrogen. Mol. Phys. 1980, 41, 1387–1399. [Google Scholar] [CrossRef]
  33. Harris, J.G.; Yung, K.H. Carbon Dioxide's Liquid-Vapor Coexistence Curve and Critical Properties as Predicted by a Simple Molecular Model. J. Phys. Chem. 1995, 99, 12021–12024. [Google Scholar] [CrossRef]
  34. Nosé, S. A unified formulation of the constant temperature molecular dynamics methods. J. Chem. Phys. 1984, 81, 511–519. [Google Scholar] [CrossRef]
  35. Nosé, S. A molecular dynamics method for simulations in the canonical ensemble. Mol. Phys. 1984, 52, 255–268. [Google Scholar] [CrossRef]
  36. Hoover, W.G. Canonical dynamics: Equilibrium phase-space distributions. Phys. Rev. A 1985, 31, 1695–1967. [Google Scholar] [CrossRef] [PubMed]
  37. Morales-Slvador, R.; Gouveia, J.D.; Morales-García, Á.; Viñes, F.; Gomes, J.R.B.; Illas, F. Carbon Capture and Usage by MXenes, ACS Catal. 2021, 11, 11248–11255.
  38. Jurado, A.; Ibarra, K.; Morales-García, Á.; Viñes, F.; Illas, F. Adsorption and Activation of CO2 on Nitride MXenes: Composition, Temperature, and Pressure effects. ChemPhysChem 2021, 22, 2456. [Google Scholar] [CrossRef]
Figure 1. Top view of [1],[2],{2}-grazyne. Dark and light green spheres correspond to sp- and sp2-C atoms, respectively, while white spheres denote H atoms. The red lines fence the unit cell.
Figure 1. Top view of [1],[2],{2}-grazyne. Dark and light green spheres correspond to sp- and sp2-C atoms, respectively, while white spheres denote H atoms. The red lines fence the unit cell.
Preprints 140967 g001
Figure 2. Top view of [1],[2]{(0,0),2}-grazyne. Color code as in Figure 1.
Figure 2. Top view of [1],[2]{(0,0),2}-grazyne. Color code as in Figure 1.
Preprints 140967 g002
Figure 3. Side (top) and top (bottom) views of the TSs corresponding to the diffusion process of N2 (left) and O2 (right) across the [1],[2],{2}-grazyne (upper images) or the [1],[2]{(0,0),2}-grazyne (lower images). Blue spheres denote N atoms while red ones denote O atoms. The rest of the code coloring as in Figure 1.
Figure 3. Side (top) and top (bottom) views of the TSs corresponding to the diffusion process of N2 (left) and O2 (right) across the [1],[2],{2}-grazyne (upper images) or the [1],[2]{(0,0),2}-grazyne (lower images). Blue spheres denote N atoms while red ones denote O atoms. The rest of the code coloring as in Figure 1.
Preprints 140967 g003
Figure 4. Side (top) and top (bottom) views of the N2 (left) and O2 (right) molecules adsorbed states on the [1],[2],{2}-grazyne (upper images) and the [1],[2]{(0,0),2}-grazyne (lower images). Coloring code as in Figure 2.
Figure 4. Side (top) and top (bottom) views of the N2 (left) and O2 (right) molecules adsorbed states on the [1],[2],{2}-grazyne (upper images) and the [1],[2]{(0,0),2}-grazyne (lower images). Coloring code as in Figure 2.
Preprints 140967 g004
Figure 5. Rate constants, r i , for O2 and N2 diffusion across the grazyne membranes as a function of temperature.
Figure 5. Rate constants, r i , for O2 and N2 diffusion across the grazyne membranes as a function of temperature.
Preprints 140967 g005
Figure 6. O2 selectivity over N2 for the studied grazynes in the range of 100-500 K.
Figure 6. O2 selectivity over N2 for the studied grazynes in the range of 100-500 K.
Preprints 140967 g006
Figure 7. KPD of [1],[2],{2}-grazyne (black for N2 and green for O2) and [1],[2]{(0,0)2}-grazyne (blue for N2 and red for O2) as a function of gas pressure and temperature. White regions denote preference for desorption (DES), whereas faded ones go for adsorbed situations (ADS). The grey dotted line indicates a total pressure of p = 1 atm and T = 300 K.
Figure 7. KPD of [1],[2],{2}-grazyne (black for N2 and green for O2) and [1],[2]{(0,0)2}-grazyne (blue for N2 and red for O2) as a function of gas pressure and temperature. White regions denote preference for desorption (DES), whereas faded ones go for adsorbed situations (ADS). The grey dotted line indicates a total pressure of p = 1 atm and T = 300 K.
Preprints 140967 g007
Figure 8. Number of O2 and N2 molecules permeated across [1],[2],{2}-grazyne (left) and [1],[2]{(0,0)2}-grazyne (right) membranes as a function of simulation time, at T = 300 K, and at different gas pressures.
Figure 8. Number of O2 and N2 molecules permeated across [1],[2],{2}-grazyne (left) and [1],[2]{(0,0)2}-grazyne (right) membranes as a function of simulation time, at T = 300 K, and at different gas pressures.
Preprints 140967 g008
Figure 9. Permeability at different gas stream pressures for O2 or N2 on both studied grazyne membranes and at T = 300 K.
Figure 9. Permeability at different gas stream pressures for O2 or N2 on both studied grazyne membranes and at T = 300 K.
Preprints 140967 g009
Table 1. Optimized cell parameters, a and b , for [1],[2],{2}- and [1],[2]{(0,0),2}-grazyne membranes.
Table 1. Optimized cell parameters, a and b , for [1],[2],{2}- and [1],[2]{(0,0),2}-grazyne membranes.
Grazyne a / Å b / Å
[1],[2],{2} 7.659 18.573
[1],[2]{(0,0),2} 10.212 18.573
Table 2. Non-bonded parameters for O2, N2, CO2, and Ar.
Table 2. Non-bonded parameters for O2, N2, CO2, and Ar.
Molecule i q i / e ε i k b 1   / eV σ i / Å
O2 O -0.1130 49.000 3.020
dummy +0.2260
N2 N -0.4820 36.400 3.320
dummy +0.9640
CO2 C +0.6512 28.129 2.757
O -0.3256 80.507 3.033
Ar Ar 0.0 119.800 3.405
Table 3. Adsorption energies E a d s i , and diffusion energy barriers, E b i , for O2 and N2 on both grazyne structures, for perpendicular and parallel orientations. All values are given in eV.
Table 3. Adsorption energies E a d s i , and diffusion energy barriers, E b i , for O2 and N2 on both grazyne structures, for perpendicular and parallel orientations. All values are given in eV.
Grazyne Perpendicular Parallel
E a d s O 2 E b O 2 E a d s N 2 E b N 2 E a d s O 2 E b O 2 E a d s N 2 E b N 2
[1],[2]{2} -0.41 0.06 -0.18 0.22 -0.41 0.06 -0.17 0.27
[1],[2]{(0,0),2} -0.32 0.02 -0.15 0.20 -0.30 0.02 -0.13 0.29
Table 4. Number of permeated gas molecules for both grazyne membranes for an equimolar initial mixture of O2/N2 at T = 300 K and at different pressures.
Table 4. Number of permeated gas molecules for both grazyne membranes for an equimolar initial mixture of O2/N2 at T = 300 K and at different pressures.
[1],[2],{2}-grazyne [1],[2]{(0,0)2}-grazyne
Pressure (atm) 30.6 20.1 14.9 11.9 31.0 20.2 15.0 11.8
#O2 37 28 32 28 25 29 21 14
#N2 17 14 11 6 5 4 5 6
%O2 68.5 66.7 74.4 82.4 83.3 87.8 80.8 70.0
Table 5. Gas mixture composition used in the MD simulations.
Table 5. Gas mixture composition used in the MD simulations.
Molecule Type Number of Molecules %
N2 7800 77.97
O2 2100 20.99
Ar 100 1.00
CO2 4 0.04
Table 6. Number of molecules filtered through the grazyne membranes for a N2/O2/Ar/CO2 mixture.
Table 6. Number of molecules filtered through the grazyne membranes for a N2/O2/Ar/CO2 mixture.
[1],[2],{2}-grazyne [1],[2]{(0,0)2}-grazyne
#Permeated Molecules %Filtered gas #Permeated Molecules %Filtered gas
N2 562 60.30 231 51.11
O2 351 37.66 213 47.12
Ar 18 1.93 8 1.77
CO2 1 0.11 0 0.00
Disclaimer/Publisher’s Note: The statements, opinions and data contained in all publications are solely those of the individual author(s) and contributor(s) and not of MDPI and/or the editor(s). MDPI and/or the editor(s) disclaim responsibility for any injury to people or property resulting from any ideas, methods, instructions or products referred to in the content.
Copyright: This open access article is published under a Creative Commons CC BY 4.0 license, which permit the free download, distribution, and reuse, provided that the author and preprint are cited in any reuse.
Prerpints.org logo

Preprints.org is a free preprint server supported by MDPI in Basel, Switzerland.

Subscribe

Disclaimer

Terms of Use

Privacy Policy

Privacy Settings

© 2026 MDPI (Basel, Switzerland) unless otherwise stated