Submitted:
21 November 2024
Posted:
25 November 2024
You are already at the latest version
Abstract
Keywords:
1. Introduction
2. Search for Local Energy Minima of Multi-Core Nanoclusters
2.1. Method A: Solution of the Equation of Motion
2.2. Method B: Alignment Method
- (1)
- For the current state, the effective field on each moment is calculated;
- (2)
- Each moment is aligned along ;
- (3)
- The new effective field is calculated;
- (4)
- We check whether the convergence criterion is met ( is a small threshold). If not, the new magnetization state is accepted, and we return to step (1). If yes, the minimization is successfully completed.
2.3. Number of Energy Minima as the Function of the Particle Number
2.4. Absence of the Spin-Glass State in Densely Packed Magnetic Clusters
3. Evaluation of Energy Barriers in Multi-Core Nanoclusters
3.1. Method for Calculating Energy Barriers
- For too small values of k (elastic term negligible), the states are weakly connected, allowing all states to ’slide’ along the trajectory into the start and end energy minima.
- For k being too large (elastic term dominates the motion of the states in phase space), the energy barrier height is overestimated, because the excessive spring force shortens the trajectory, causing it to pass through the point at a higher energy than the saddle point.
3.2. Distinguishing Between True and False Optimal Transitions
- (1)
- Using the NEB method, a transition path between the i-th and j-th minima was found; this transition is shown in Figure 5, where intermediate states () are marked as blue circles.
- (2)
- Small random perturbations of magnetic moments of all particles in the states close to the saddle point were introduced, so that we obtained slightly different states which are still close to the saddle.
- (3)
- Several minimization attempts were performed starting from these states. If these attempts always ended up in one of the two minima or , then we assumed that there are no additional intermediate local minima between the states or along the transition path. Hence this path was marked as ’true’ and used to compute the corresponding energy barrier. If any different minimum was found by this procedure, then the transition is most likely not a direct transition and it was excluded from further analysis.
3.3. Optimization of the Energy Barrier Search
- (A.1)
- The distances (10) between and all other minima from this set are calculated.
- (A.2)
- All other minima are ordered into a list according to their proximity to . The minimum with the number l in this list is assigned to the l-th shell of neighbours.
- (B.1)
- Transition paths between all minima and their nearest neighbours (shell #1) are calculated. For each transition we check, whether it is a ’true’ one.
- (B.2)
- Step B.1 is repeated for the next shell, until no true transitions for the current shell are found.
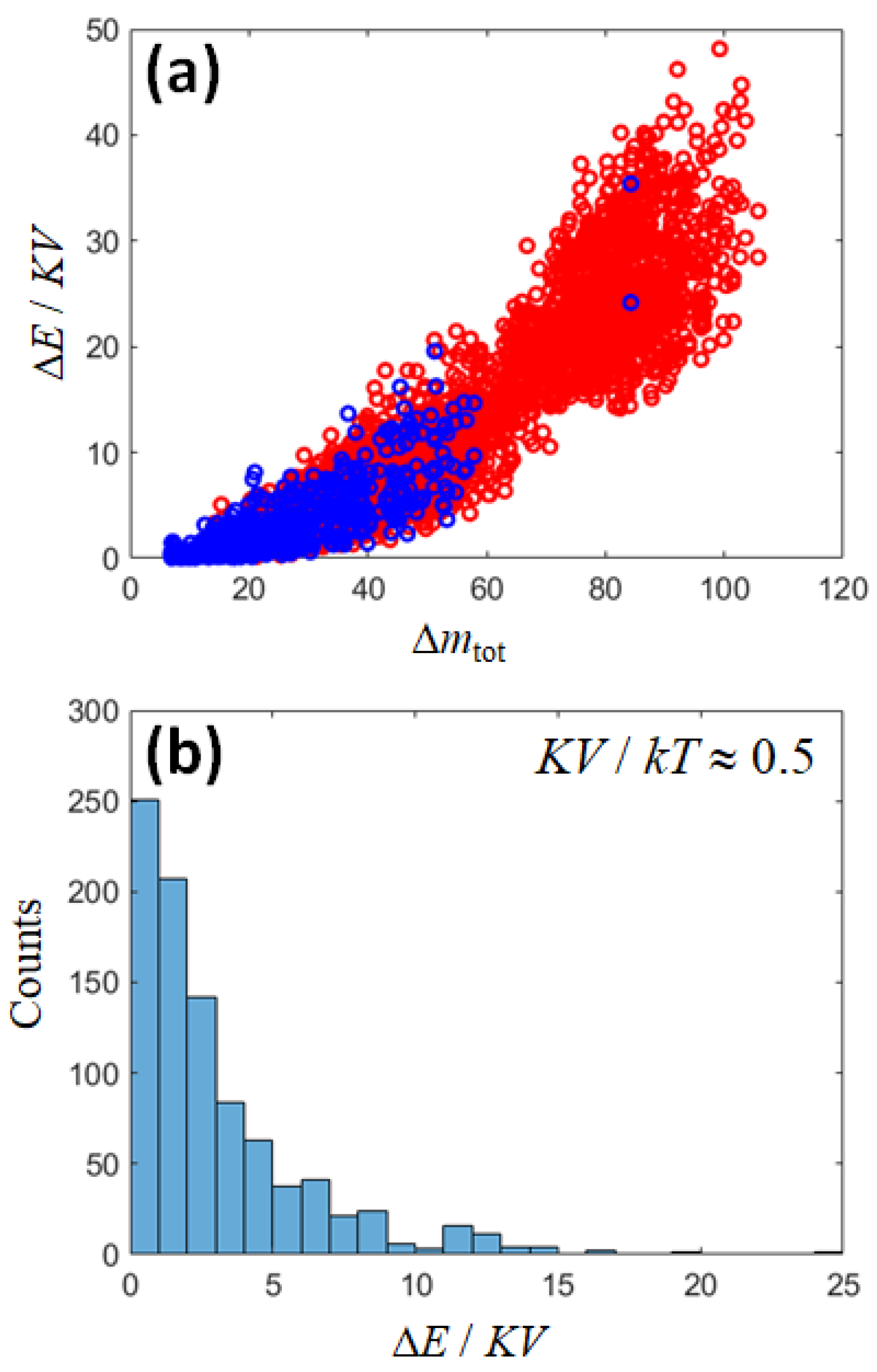
4. Distribution of Energy Barriers in Clusters of Magnetic Nanoparticles
5. Discussion
6. Conclusions
Acknowledgments
References
- Liu, X.; Chen, H.; Chen, X.; Alfadhl, Y.; Yu, J.; Wen, D. Radiofrequency heating of nanomaterials for cancer treatment: Progress, controversies, and future development. Appl. Phys. Rev. 2015, 2, 011103. [Google Scholar] [CrossRef]
- Périgo, E.; Hemery, G.; Sandre, O.; Ortega, D.; Garaio, E.; Plazaola, F.; Teran, F.J. Fundamentals and advances in magnetic hyperthermia. Appl. Phys. Rev. 2015, 2, 041302. [Google Scholar] [CrossRef]
- Angioletti-Uberti, S. Theory, simulations and the design of functionalized nanoparticles for biomedical applications: A Soft Matter Perspective. npj Comp. Mat. 2017, 3, 48. [Google Scholar] [CrossRef]
- El-Boubbou, K. Magnetic iron oxide nanoparticles as drug carriers: clinical relevance. Nanomedicine 2018, 13, 953. [Google Scholar] [CrossRef]
- et al., T.K.C. From Single-Core Nanoparticles in Ferrofluids to Multi-Core Magnetic Nanocomposites. Nanomaterials 2020, 10, 2178. [CrossRef]
- Gubin, S. Magnetic Nanoparticles; WILEY-VCH: Weinheim, 2009. [Google Scholar]
- Taylor, R.; Coulombe, S.; Otanicar, T.; Phelan, P.; Gunawan, A. Small particles, big impacts: A review of the diverse applications of nanofluids. J. Appl. Phys. 2013, 113, 011301. [Google Scholar] [CrossRef]
- Plouffe, B.; Murthy, S.; Lewis, L. Fundamentals and application of magnetic particles in cell isolation and enrichment: a review. Rep. Prog. Phys. 2015, 78, 016601. [Google Scholar] [CrossRef]
- Vallabani, N.S.; Singh, S. Recent advances and future prospects of iron oxide nanoparticles in biomedicine and diagnostics. Biotech 2018, 8, 279. [Google Scholar] [CrossRef]
- Dutz, S.; Hergt, R. Magnetic particle hyperthermia — a promising tumour therapy? Nanotechnology 2014, 25, 452001. [Google Scholar] [CrossRef]
- Pourmiri, S.; Tzitzios, V.; Hadjipanayis, G.; Brassea, B.M.; El-Gendy, A. Magnetic properties and hyperthermia behavior of iron oxide nanoparticle clusters. AIP Advances 2019, 9, 125033. [Google Scholar] [CrossRef]
- Wu, K.; Su, D.; Saha, R.; Wong, D.; Wang, J.P. Magnetic Particle Spectroscopy-based Bioassays: Methods, Applications, Advances, and Future Opportunities. J. Phys. D: Applied Phys 2019. [Google Scholar] [CrossRef]
- Talebloo, N.; Gudi, M.; Robertson, N.; Wang, P. Magnetic Particle Imaging: Current Applications in Biomedical Research. J. Magn. Res. Imaging 2020, 51, 1659. [Google Scholar] [CrossRef] [PubMed]
- Ivanov, A.; Camp, P. Theory of the dynamic magnetic susceptibility of ferrofluids. Phys. Rev. E 2018, 98, 050602. [Google Scholar] [CrossRef]
- Solovyova, A.Y.; Elfimova, E.A.; Ivanov, A.O.; Camp, P.J. Modified mean-field theory of the magnetic properties of concentrated, high-susceptibility, polydisperse ferrofluids. Physical Review E 2017, 96, 052609. [Google Scholar] [CrossRef]
- Lebedev, A.V.; Stepanov, V.I.; Kuznetsov, A.A.; Ivanov, A.O.; Pshenichnikov, A.F. Dynamic susceptibility of a concentrated ferrofluid: The role of interparticle interactions. Physical Review E 2019, 100, 032605. [Google Scholar] [CrossRef]
- Berkov, D.; Gorn, N.; Schmitz, R.; Stock, D. Langevin dynamic simulations of fast remagnetization processes in ferrofluids with internal magnetic degrees of freedom. J. Phys.: Cond. Matt. 2006, 18, S2595. [Google Scholar] [CrossRef]
- Berkov, D. Magnetization dynamics including thermal fluctuations: basic phenomenology, fast remagnetization processes and transitions over high-energy barriers. In Handbook of Magnetism and Advanced Magnetic Materials; Kronmüller, H., Parkin, S., Eds.; John Wiley & Sons, Ltd: Chichester, UK, 2007. [Google Scholar]
- Coffey, W.; Kalmykov, Y. Thermal fluctuations of magnetic nanoparticles: Fifty years after Brown. J. Appl. Phys. 2012, 112, 121301. [Google Scholar] [CrossRef]
- Lyutyy, T.; Hryshko, O.; Kovner, A. Power loss for a periodically driven ferromagnetic nanoparticle in a viscous fluid: The finite anisotropy aspects. Journal of Magnetism and Magnetic Materials 2018, 446, 87–94. [Google Scholar] [CrossRef]
- Zubarev, A.Y. Magnetic hyperthermia in a system of ferromagnetic particles, frozen in a carrier medium: Effect of interparticle interactions. Physical Review E 2018, 98, 032610. [Google Scholar] [CrossRef]
- Dutz, S.; Kettering, M.; Hilger, I.; Müller, R.; Zeisberger, M. Magnetic multicore nanoparticles for hyperthermia—influence of particle immobilization in tumour tissue on magnetic properties. Nanotechnology 2011, 22, 265102. [Google Scholar] [CrossRef]
- Nishimoto, K.; Ota, S.; Shi, G.; Takeda, R.; Trisnanto, S.; Yamada, T.; Takemura, Y. High intrinsic loss power of multicore magnetic nanoparticles with blood-pooling property for hyperthermia. AIP Advances 2019, 9, 035347. [Google Scholar] [CrossRef]
- Kahmann, T.; Ludwig, F. Magnetic field dependence of the effective magnetic moment of multi-core nanoparticles. J. Appl. Phys. 2020, 127, 233901. [Google Scholar] [CrossRef]
- Kuznetsov, A. Force acting on a cluster of magnetic nanoparticles in a gradient field: a Langevin dynamics study. J. Magn. Magn. Mat. 2019, 475, 415. [Google Scholar] [CrossRef]
- Trisnanto, S.; Takemura, Y. Dipolar field-induced asymmetric magnetization hysteresis of immobile superparamagnetic nanoclusters. J. Magn. Magn. Mat. 2019, 480, 132. [Google Scholar] [CrossRef]
- Ivanov, A.; Ludwig, F. Static magnetic response of multicore particles. Phys. Rev. E 2020, 102, 032603. [Google Scholar] [CrossRef]
- Usov, N.A.; Serebryakova, O.N.; Tarasov, V.P. Interaction Effects in Assembly of Magnetic Nanoparticles. Nanoscale Research Letters 2017, 12, 489. [Google Scholar] [CrossRef]
- Abu-Bakr, A.; Zubarev, A. Effect of ferromagnetic nanoparticles aggregation on magnetic hyperthermia. Eur. Phys. J. Special Topics 2020, 229, 323. [Google Scholar] [CrossRef]
- Ilg, P. Equilibrium magnetization and magnetization relaxation of multicore magnetic nanoparticles. Phys. Rev. B 2017, 95, 214427. [Google Scholar] [CrossRef]
- Parker, D.; Dupuis, V.; Ladieu, F.; Bouchaud, J.P.; Dubois, E.; Perzynski, R.; Vincent, E. Spin-glass behavior in an interacting gamma-Fe2O3 nanoparticle system. Physical Review B 2008, 77, 104428. [Google Scholar] [CrossRef]
- Cador, O.; Grasset, F.; Haneda, H.; Etourneau, J. Memory effect and super-spin-glass ordering in an aggregated nanoparticle sample. Journal of Magnetism and Magnetic Materials 2004, 268, 232–236. [Google Scholar] [CrossRef]
- Bandyopadhyay, M.; Dattagupta, S. Memory in nanomagnetic systems: Superparamagnetism versus spin-glass behavior. Physical Review B 2006, 74, 214410. [Google Scholar] [CrossRef]
- Fernández, J.F. Monte Carlo study of the equilibrium spin-glass transition of magnetic dipoles with random anisotropy axes. Physical Review B 2008, 78, 064404. [Google Scholar] [CrossRef]
- Konwar, K.; Kaushik, S.D.; Sen, D.; Deb, P. Dynamic spin freezing and magnetic memory effect in ensembles of interacting anisotropic magnetic nanoparticles. Physical Review B 2020, 102, 174449. [Google Scholar] [CrossRef]
- Jodrey, W.S.; Tory, E.M. Computer simulation of close random packing of equal spheres. Physical Review A 1985, 32, 2347–2351. [Google Scholar] [CrossRef] [PubMed]
- Berkov, D. Numerical simulations of quasistatic remagnetization processes in fine magnetic particle systems. J. Magn. Magn. Matt. 1996, 161, 337. [Google Scholar] [CrossRef]
- Binder, K.; Young, A. Spin Glasses: Experimental facts, theoretical concepts and open questions. Rev. Mod. Phys. 1986, 58, 801. [Google Scholar] [CrossRef]
- Dotsenko, V. Physics of the spin-glass state. Physics-Uspekhi 1993, 36, 455. [Google Scholar] [CrossRef]
- Chen, X.; Bedanta, S.; Petracic, O.; Kleemann, W.; Sahoo, S.; Cardoso, S.; Freitas, P.P. Superparamagnetism versus superspin glass behavior in dilute magnetic nanoparticle systems. Physical Review B 2005, 72, 214436. [Google Scholar] [CrossRef]
- Sasaki, M.; Jonsson, P.E.; Takayama, H.; Mamiya, H. Aging and memory effects in superparamagnets and superspin glasses. Physical Review B 2005, 71, 104405. [Google Scholar] [CrossRef]
- Suzuki, M.; Fullem, S.I.; Suzuki, I.S.; Wang, L.; Zhong, C.J. Observation of superspin-glass behavior in Fe3O4 nanoparticles. Physical Review B 2009, 79, 024418. [Google Scholar] [CrossRef]
- Alonso, J.J.; Alles, B.; Russier, V. Magnetic ordering of random dense packings of freely rotating dipoles. Physical Review B 2020, 102, 184423. [Google Scholar] [CrossRef]
- Viddal, C.A.; Roshko, R.M. Aging and memory effects in zero-field-cooled collections of two-level subsystems. Physical Review B 2006, 73, 172416. [Google Scholar] [CrossRef]
- Berkov, D. Numerical calculation of the energy barrier distribution in disordered many-particle systems: the path integral method. J. Magn. Magn. Mat. 1998, 186, 199–213. [Google Scholar] [CrossRef]
- Onsager, L.; Machlup, S. Fluctuations and irreversible processes. Phys. Rev. 1953, 91, 1505. [Google Scholar] [CrossRef]
- E, W.; Ren, W.; Vanden-Eijnden, E. String method for the study of rare events. Phys. Rev. B 2002, 60, 052301. [Google Scholar] [CrossRef]
- Jonsson, H.; Mills, G.; Jacobsen, K., Nudged elastic band method for finding minimum energy paths of transitions. In Classical and Quantum Dynamics in Condensed Phase Simulations; World Scientific, Singapore, 1998; chapter 16, pp. 385–404. [CrossRef]
- Dittrich, R.; Schrefl, T.; Suess, D. A path method for finding energy barriers and minimum energy paths in complex micromagnetic systems. J. Magn. Magn. Mat. 2002, 250, L12. [Google Scholar] [CrossRef]
- Dittrich, R.; Schrefl, T.; Forster, H. Energy barriers in magnetic random access memory elements. IEEE Trans. Magn. 2003, 39, 2839. [Google Scholar] [CrossRef]
- Berkov, D. Density of energy barriers in fine magnetic particle systems. IEEE Trans. Magn. 2002, MAG-38, 2637. [Google Scholar] [CrossRef]
- Zheng, R.; Gu, H.; Zhang, B.; Liu, H.; Zhang, X.; Ringer, S.P. Extracting anisotropy energy barrier distributions of nanomagnetic systems from magnetization/susceptibility measurements. Journal of Magnetism and Magnetic Materials 2009, 321, L21–L27. [Google Scholar] [CrossRef]
- Semenova, E.K.; Berkov, D.V.; Gorn, N.L. Evaluation of the switching rate for magnetic nanoparticles: Analysis, optimization, and comparison of various numerical simulation algorithms. Phys. Rev. B 2020, 102, 144419. [Google Scholar] [CrossRef]
- Berkov, D.; Semenova, E.K.; Gorn, N.L. Single-stage direct Langevin dynamic simulations of transitions over arbitrarily high energy barriers: Concept of energy-dependent temperature. Phys. Rev. B 2021, 104, 224408. [Google Scholar] [CrossRef]









Disclaimer/Publisher’s Note: The statements, opinions and data contained in all publications are solely those of the individual author(s) and contributor(s) and not of MDPI and/or the editor(s). MDPI and/or the editor(s) disclaim responsibility for any injury to people or property resulting from any ideas, methods, instructions or products referred to in the content. |
© 2024 by the authors. Licensee MDPI, Basel, Switzerland. This article is an open access article distributed under the terms and conditions of the Creative Commons Attribution (CC BY) license (http://creativecommons.org/licenses/by/4.0/).
