Preprint
Review

This version is not peer-reviewed.

Recent Progress in Research on Design and Use of Archimedes Screw Turbine: A Review

A peer-reviewed article of this preprint also exists.

Submitted:

20 November 2024

Posted:

21 November 2024

You are already at the latest version

Abstract
Due to the ever-increasing demand for clean energy derived from renewable sources, new options for obtaining it are being sought. The energy of water streams, compared to wind energy or solar energy, has the advantage that it can be supplied continuously. A relatively new solution used in hydropower is the AST (Archimedes Screw Turbine), which perfectly complements the possibilities of energy use of water courses. This solution can be used at lower heads and lower flows than is the case with power plants using Kaplan, Francis or similar turbines. An AST power plant is cheaper to build, operate, and has less negative environmental impact than traditional solutions. Accordingly, research is being conducted to improve the efficiency of the AST in terms of its environmental impact, efficiency, length, angle of inclination and others. These studies revealed sources of losses, optimal operating conditions, and turbine design methods. They also showed a much lower environmental impact of Archimedes turbines compared to the others. In the course of compiling this review, the authors noticed some differences regarding the description by different authors of the characteristic geometric dimensions of turbines and other quantities.
Keywords: 
;  ;  ;  ;  ;  

1. Introduction

Climate change is caused mainly by anthropogenic greenhouse gas (GHG) emissions caused by burning fossil fuels used in energy production. Uncontrolled GHG emissions are the main cause of the greenhouse effect in the atmosphere, generating the phenomenon of global warming [1]. The world’s energy demand is almost 80% covered by fossil fuels as a result of which a huge amount of CO2 is emitted into the atmosphere [2,3] . The use of renewable energy sources is becoming a necessity in the face of climate change caused by the growing consumption of conventional energy sources. Despite the steady increase in the share of renewable energy sources in the global balance of energy production, this share is still too small. In addition, solar or wind energy depends on weather conditions, which has a significant impact on the forecasting of electricity production from these sources. A much more stable renewable energy source is hydropower and especially water fall energy. According to the REN21 [4] (Renewable Energy Policy Network for the 21ST Century) report, renewable energy capacity (including hydropower) was 3.146 GW in 2021. Including the capacity of hydroelectric power plants (excluding pure pumped storage power plants) amounted to 1,195 GW, which is over 30 percent . This shows the very high importance of hydropower in ensuring the energy security of the World.
In terms of installed capacity, hydropower plants can be classified as follows [1]:
  • Large - Higher than 100 MW;
  • Medium - 10–100 MW;
  • Small - 1-10 MW;
  • Mini - 10 kW–1 MW;
  • Micro - 5-100 kW;
  • Pico - Less then 5 kW.
The construction of large hydropower plants requires high costs, both economically and environmentally. There is the necessity of flooding large areas, incurring significant financial expenses for the construction of infrastructure related to damming the water and installing turbines, and significant interference with the physical properties of the river downstream. Small and micro hydropower plants, due to the relatively low economic outlay for their construction, and their low environmental interference, can be included in the concept of sustainable development in the area of electricity production. In addition, they also perform the function of water flow regulation. This is of great importance in maintaining proper water retention, important in agricultural production especially in the face of increasingly frequent droughts causing water deficits [5]. Francis, Kaplan and propeller turbines are most commonly used in small hydropower plants. Small and micro hydroelectric power plants with an AST are characterized - compared to hydroelectric power plants using a Kaplan or Francis turbine - by lower investment [6] and much lower environmental impact [7]. In addition, they can be operated at lower gradients and low flows, which significantly increases the number of potential localizations [8] unavailable to traditional solutions. Research is being carried out on the possibility of using advanced methods and materials for the construction of AST in order to increase hardiness and durability. This was extensively described in the article by Ubando et al. [9].
This article presents the latest trends and research directions regarding the properties, and potential use of the AST in small hydropower plants complementing the review presented by Waters and Aggis [10] in 2015.

2. Archimedes Screw

As one of the earliest hydraulic machines [11], the Archimedes screw is constructed of one, or more, spiral blades wrapped around a central cylinder [12]. This screw is mounted in a surrounding trough. There is a small gap between the screw and the trough, allowing the turbine to rotate freely. It was probably invented by Archimedes of Syracuse (c. 287-212 BC) a Greek inventor, mathematician and physicist [13]. Archimedes’ screw, as he comprehend it, was a pump used, among other things, for irrigation and drainage of agricultural land in particular [13,14]. Nowadays, Archimedes screws are also used as high-volume pumps [15] .
Waters and Aggidis, in their review article [10], described the history, applications and current research (until 2015) on the AST. Due to the growing interest in obtaining electricity from renewable sources, research on the possibilities of the AST should be intensified.

3. Operational Advantages

In reviewing articles on the AST, the authors noted that there are differences in the designations of various structural and geometric components of the turbine. This introduces significant difficulties in comparing the research results of different authors. In order to standardize the nomenclature used in articles describing research on the AST, recommended solution is presented by Dellinger et al. [16] (Figure 1) and used by most researchers.
Geometrical parameters:
Outer radius of the screw - Ra (m);
Inner radius of the screw - Ri (m);
Inlet water level – hin;
Outlet water level - hout;
Bucket head - dh;
Rotational speed of the screw – n (rpm);
Pitch of the screw - S (m);
Length of the shaft - L (m);
Threaded length of the screw - LB (m);
Hydraulic head – H (m);
Number of blades - N;
Maximal gap between screw a through - ssp (m);
Inclination of the screw - β (°).
Flow conditions:
Flow rate - Q (m3 · s 1 ).

4. Materials and Methods

4.1. Environment Impact

Elements of environmental interference, particularly the impact on river fauna, have been identified by Janicka et al. [17]. It indicated that the factors that should be paid special attention are:
  • the geometry of turbine cannot cause mechanical damage to fish fauna (the shape of rotor blades and spaces available for fish flow with dimensions characteristic for a given river ecosystem),
  • pressures inside the flow device must not damage the gills of fish (pressures causing cavitation are not allowed),
  • the design of turbine should ensure that the lubricant does not come into contact with river water (bearings are raised above water level),
  • the noise of device should not exceed 80 dB,
  • the device should be optimized in terms of vibration emission (installing anti-vibration solutions),
  • installation of the device should have the least possible construction interference with the existing water threshold/natural damming,
  • the device should enable free fish migration, including upstream (e.g. hydroelevator system),
  • ensuring adequate durability of the device (e.g. by applying coatings on the rotor blades),
  • the device should ensure the use of a water threshold with natural falls (usually low or ultra-low), which will enable the use of existing, natural dams.
The effects of the rotor geometry of selected turbines on mechanical damage to fish have been described by Mueller et al. [18]. Among other things, they presented a study on the effect of AST size on mortality of passing fish. The study was conducted for turbines of different diameters at similar rotational speeds. They showed that lower fish mortality occurred in the larger diameter turbine. Havn et al. [19] performed a study on the downstream migration of salmon smolts through low-fall hydropower plants. They showed no or low immediate mortality of less than 10%, but pointed out that injury in fresh water can increase it in the long-term. In contrast, the researchers paid more attention to the effect of fish mortality as a function of turbine speed. Pauwels et al [20] presented results for three types of fish and three low rotational speeds. They found that there were significant differences in injury and mortality (Figure 2) between eel, roach and bream. Speed of the screw tested had little effect on injury, mortality and physical conditions during passage through the turbine.
Their research shows that at low rotational speeds, most fish passing through survives. Renardy et al. [21,22,23] showed the behavior of fish flowing through a power plant equipped with an AST and two Kaplan turbines. For two groups of fish, the choice of flow path through the power plant was observed. The first group was tracked through RFID (Radio-Frequency Identification) technology, while the second group was radio-tracked with an ATS F1410 (Advanced Telemetry Systems) transmitter. The study showed that a comparable number of individuals flowed through the Kaplan turbines compared to the AST. Almost half of the fish flowed through the bypass made before the Kaplan turbines [21]. In the next step of their study, they also investigated the efficiency of passing. They showed that passing through Archimedes turbine took around 6 min. [23]. Similar case study was made by Knott et al. [24]. Their research showed the importance of flow on behavior of fish. Their latest study found that most fish pass through the dam within the first hour. Most flowed through the Pelton turbine relative to the Archimedean turbine at a ratio of two to one. In a review done by Yoosef Doost et al. [25] the authors did not cite articles from the period under our review in the chapter Environmental and Social Advantages. There was also a review written by Koukouvinis and Anagnostopoulos [26] where they point out that the AST’s showed positive results as a fish-friendly solution. An interesting solution was presented by Lichtneger et al. showing a study of a double rotary screw [27]. This solution is the first two-way fish ladder. With this system, fish and other animals can migrate freely in both directions without significant risk of injury. Under the appropriate operating conditions of the presented solution, it is possible to produce electricity in a reasonably safe manner for water animals.
These studies have shown that Archimedes turbines have a lower environmental impact than other similar turbines. Mortality rates near or below 37% (roach 19%, eel 3%) show improvement over typical solutions that had higher mortality rates. Proposals were also put forward to further reduce injuries. Positive impact on safety of aquatic fauna will have the use of bumpers, soundproofing and dimensions that provide significant space. Working conditions were also an important factor. The reduction in mortality at higher turbine speed was emphasized. There is a visible demand for extended research on the impact of technical and work parameters on minimizing the mortality of river fauna. There is also a need to conduct thoroughly research on the impact of AST on river fauna.

4.2. AST Efficiency

In recent studies in the period 2015-2023, the efficiency of AST’s ranges from 30% to 90%. Efficiencies just above 80% were demonstrated by the authors (Figure 3) [7,16,28,29,30] which generally confirms data from Waters review [10].
Comparable results in simulation studies were obtained by Shahverdi [31], who obtained an efficiency of 83.4% (Table 1) for a number of blades of four and a slope of 27°.
Saroinsong [32], on the other hand, showed an efficiency of 89% at 50 rpm and a pitch of 25° in laboratory tests. Siswantara et al [33] on a laboratory model obtained efficiencies of up to 30% at the lowest turbine pitch tested 36°. The team of Lee and Lee [34] built a turbine model in a sealed and closed system that, according to their results, achieved efficiencies of 95%. Computer simulations by Shahverdi et al. [35] showed an efficiency of 90.83% with a turbine length of 6m, with a single blade and an inclination angle of 20°. Another simulation study [36] showed that for a turbine with 3 blades, the highest efficiency of 83% was obtained for a slope of 24.9°. Their latest work utilizes Gray Wolf Optimization model [37]. The results gave them boundaries of overall dimensions which give the efficiency of 86-89,5%. The importance of blade number was suggested by Erinofiardi et al [38]. Their research showed that the highest efficiency is achieved between 5-9 blades with peak at 7. Alonso-Martinez et al [39] showed the highest efficiency of 90% in studies on industrial-scale facilities. In another study on a laboratory model, Saroinsong et al. [40] determined an AST efficiency of 89% at a 25° inclination. Eswanto et al. [41] laboratory results showing that efficiency increases as water flow increases. However, the tests were conducted at very high speeds (from 130 to 290 rpm.) and large angles of inclination (even 60) achieving AST efficiencies of around 80%. Similar research was conducted by Abbas et al. [42]. The research focused on the impact of the jet on turbine efficiency. Their research showed that the turbine has one optimum at a given operating point. Computerized neural networks were presented by Paturi et al. [43] as a method for predicting the efficiency of a turbine based on its dimensions and operating parameters.
An interesting approach to determining the effect of flow rate and load on hydrodynamic behavior and turbine performance was proposed by Zamani et al. [44] conducting research on an Archimedes screw generator. In their study, they varied the turbine’s braking torque with the generator’s load resistance and flow rate, thereby determining static characteristics. They include the speed, power, output torque and efficiency of the AST laboratory model. Then they verified the above research by applying the modeling method using genetic algorithms [45]. In the next article [46], they presented the possibility of scaling Archimedes turbines using the Froude blades as a model example of carrying out comprehensive research using a lab station.
Studies have clearly demonstrated the ability to maintain AST efficiency at the level of 90% or higher, which is comparable to the best solutions currently used. The statistics of the obtained results show that when currently used technical solution, the highest efficiency is achieved with an inclination range of 20-27 degrees and 4-7 blades. However, it’s the same research indicates the need for more extensive research on the range of more than 4 blades.

4.3. AST Losses

One of the topics of recent research has been to determine the sources of AST losses. Simmons and Lubitz [47] investigated in simulations what effect leakage in the space between the screw and the bearing has on losses. They also analysed the amount of leakage across the surface of the screw. They observed a significant increase in power loss occurring as the rotational speed increased. They found that this increase is related to shear stress. These conclusions are confirmed in simulations by Shahverdi et al. [36] where power losses increase with increasing speed. This is especially evident at rotational speeds above 10 rad · s 1 . Kozyn and Lubitz [48] conducted a comparative study with Lubitz’s results obtained in 2014 based on calculations. They divided them into bearing losses, hydraulic friction losses, immersion losses (as in the study by Dillinger et al [28] Figure 1) and losses due to the shape of the turbine outlet (Figure 4).
The results showed a linear relationship between losses and turbine load, and that power losses due to friction are proportional to the square of the turbine speed. Rohmer et al [29] show that leakage losses are the second largest source of losses reaching up to 5%. Alonso-Martinez et al [39] found that in ideal AST’s, 100% fill provides the best performance. However, due to the rotation of the screw, overflow losses occur above 85% fill and the screw efficiency decreases. To ensure 85% fill in the buckets, active velocity control was proposed to adjust the rotational speed to ze decrease in stream size.

5. Criteria for Optimal Selection

5.1. Variable Speed Influence

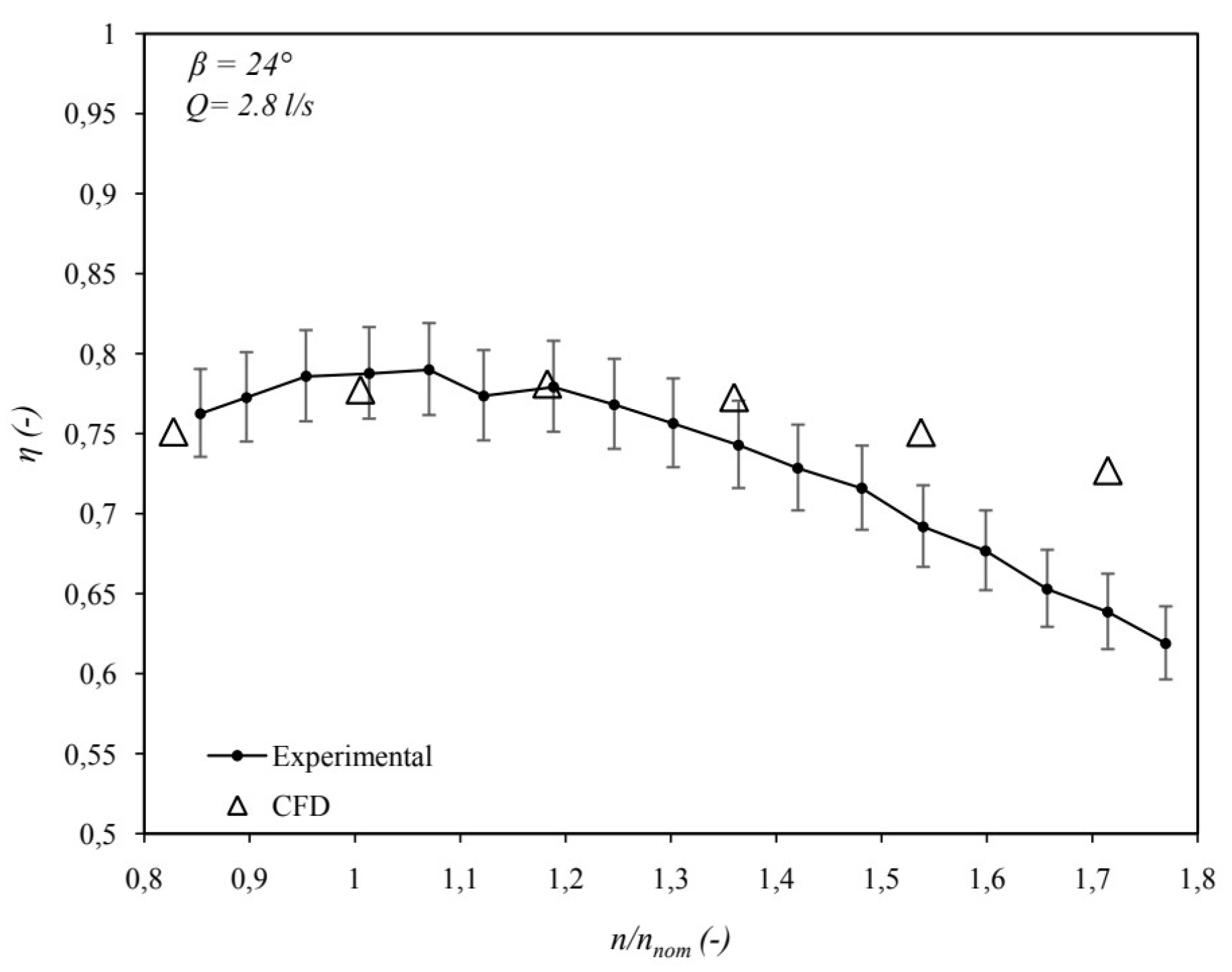
According to a study by Shahverdi et al. [36] decreasing the turbine speed when using low pitch angles (20°-30°) and under-filling the turbine has no significant effect on turbine efficiency. Similar results are presented in the work of Dellinger et al. (Figure 5) [16,28,49]. This is confirmed by the results of the 2012-2013 study [50,51].
It is seen that the main sources of AST losses are turbine overfilling, blade surface friction, bearing friction and leakage. Further research on minimizing these phenomena may lead to increased efficiency.

5.2. Length Influence

Shahverdi et al [35] performed simulation studies for four lengths of AST’s (4 - 7 m), varying the pitch angle and rotational speed. They showed that as the length of the turbine increases, its mechanical power also increases. However, at the same time, frictional resistance increases, as a result of which, above a certain specified length of the AST (in this case 6m), its efficiency decreases. Research has shown that it is possible to determine the optimal turbine length at a certain angle of inclination, for which maximum turbine efficiency is obtained. In addition to research on optimizing the turbine length to achieve maximum efficiency, one should also consider the possibility of reducing frictional resistance. This would make it possible to achieve higher outputs of a given turbine with optimal efficiency.

5.3. Selection of Overall Dimensions

In selecting the overall dimensions of an AST for a given water slope and flow rate, different ways have been adopted to solve the problem. The first way proposed by YoosefDoost and Lubitz [52,53] is based on the use of a series of indices calculated by means of analytical equations, which were developed on the basis of information from literature. Here they proposed a general analytical equation for estimating the diameter and other geometric properties of Archimedes screws. They also developed a simple algorithm to design an AST, which is included in Figure 6. The algorithm contains all the necessary equations and conducts calculations one by one to determine the basic geometric quantities of the Archimedes turbine, such as the outer diameter - DO, inner diameter - Di, and Screw’s pitch or period - S. This is a good example of an effort to unify the design of AST’s.
The second way is to use numerical simulation methods. Bouvant et al. [54], in their work, performed a series of numerical simulations to determine the optimal turbine dimensions as a function of geometric parameters, such as axis length, blade spacing, blade pitch relative to the longitudinal axis of the propeller and Di/DO diameter ratio. The simulations showed that changes in the Di/DO diameter ratio had the biggest impact on turbine efficiency. Lisiecki et al [55] used Bayesian optimization techniques in terms of determining design and operational parameters. The goal of their study was to find a compromise between the cost of construction and the amount of energy produced by the AST. On the other hand, Simmons et al. [56] presented observations on the design of hydroelectric power plants with an AST based on collected measurements and information from fifteen hydroelectric power plants in the UK. The study covered turbines ranging from 24 to 355 kW. Their observations covered the main turbine parameters such as inclination angle, diameter ratio, pitch and screw length, number of blades, number of screws and variable speed systems. Such an extensive field study made it possible to provide a lot of reliable data to validate the CFD (computational fluid dynamics) model presented in the article. In the following paper, Simmons et al. [57] to determine a comprehensive dataset of parameters such as length, diameter, number of blades, fill level, pitch angle and surface roughness, they proposed using a full-scale CFD AST model. They used the principle of linear superposition to develop a combined, general back-of-the-envelope equation that described the relationship between each parameter and torque in operating Archimedean screw generators.

5.4. Tilt Angle Influence

The inclination angle of a turbine is one of the most important design parameters of an AST. Shahverdi [31] showed that with the ratio Do/H = 0.731 there is an increase in efficiency as the number of helixes increases. The highest efficiency was obtained for the highest number of helixes (4) for an inclination of the screw of 27°. The study shows that as the angle increases, the number of helixes should be increased to obtain higher efficiencies. Saroinsong et al. [32] in laboratory bench tests showed that the highest efficiency of a turbine having three helixes was obtained at an inclination of the screw of 25°. In other cases, the efficiency decreased as the angle increased. Edirisinghe et al. [58] created a simulation model of the turbine and contrasted their results with the laboratory results of Dillinger et al. [16]. They then optimized the turbine for operation at 45°. It turned out that as the angle of inclination increased, the pitch and bucket size had to be reduced to maintain a high efficiency factor. In this case, the simulation showed that the turbine efficiency at a 45-degree angle could be maintained at 82.1% for a speed of 54.58 rpm.
Simmons et al. [56] suggest that the optimal inclination of the screw is site-specific and depends on the geometry of the screw, among other things, the number of blades. The turbine they studied showed the highest efficiency at 22° of inclination, confirming results from their simulations, which showed the highest efficiencies between 20° and 25° of inclination. The simulations showed that as the number of blades increased, the optimal turbine inclination angle increased. Thakur [24], in his laboratory studies for a single-blade turbine, obtained the highest efficiency for a pitch angle of 22° and a distance between blades of 0.3m. Shahverdi et al. [35] conducted a series of simulations of AST’s for different turbine lengths (from 4 to 7 meters), number of blades (from 1 to 5) and pitch angles (17-45°). Based on the simulations, he found that the highest efficiency (90.83%) was achieved by a single-blade turbine with a length of 6 meters and 20° of inclination. In subsequent simulation studies Shahverdi et al. [36] on a three-blade turbine for two constant flows and three different angles, the highest efficiency was achieved for an angle of 24.9°, confirming previous results [35]. Optimal angles inclination of the screw, depending on the number of helixes and geometric dimensions, range from 20-25°. Erinofiardi et al. [59] tested AST efficiencies under laboratory conditions for three pitch angles (22°,30°,40°). They found at the lowest angle tested (22°), the turbine achieved the highest efficiency.

5.5. Rotational Speed Influence

The factor that has the greatest impact on the efficiency of an AST with regard to its rotational speed is frictional losses, which are usually estimated by the square of the rotational speed. This means that increasing the rotational speed of an Archimedean screw has a significant impact on the decrease in its efficiency (even for the maximum fill factor) [29,40,49,51,59].
The studies of Figure 7 and Figure 8 showed that overflow resulting from decreasing speed causes additional overflow losses and increasing speed causes increasing friction losses. These relationships show that it is possible to determine the maximum speed of the turbine, and thus the maximum flow rate up to which we are able to operate with high efficiency. Testing under laboratory conditions a turbine with three blades Saroinsong et al. [40] proved its higher efficiency for higher speeds at higher turbine heads (Figure 9). This relationship may have important implications for solutions used in hydroelectric power plants with higher inclination of the screw. Indarto et al. [60] demonstrated in laboratory tests the nonlinear relationship between flow and turbine speed using rotational speeds unusual for an Archimedean turbine (about 900 rpm.).

5.6. Diameter Influence

Shahverdi [31] defined a range of Do/H ratios = 0.435 - 0.731 in which AST efficiency studies should be conducted, but he did not define or provide a source for these ratios. He conducted CFD simulations of an AST in this range, determining the effect of the Do/H ratio on turbine efficiency (Figure 10). The simulations showed that the optimal value of the ratio was 0.731, which is the upper limit of the assumed range. One could conclude from this that it would be worthwhile to extend the research limit to values above 0.731.
On the other hand, Bouvant et al. [54] studied the dependence of turbine efficiency on the Di/Do ratio. They demonstrated the existence of such a relationship and described it mathematically. They performed a series of CFD simulations and, based on them, concluded that the optimal Di/Do ratio was 0.5515. Similar studies were conducted by Lisicki et al [55], but their results were inconclusive. The most common result of the optimization methods showed Di/Do = 0.53. YoosefDoost and Lubitz [52] proposed a simplified method for selecting the outer diameter based on flow and a defined η ratio that takes into account the screw geometry and fill level. Simmons et al. [57] showed that outer diameter has a proportional impact on the performance of turbine.

5.7. Degree of Filling Influence

Rohmer et al. [29] developed a numerical model of an AST to determine the water level at the turbine inlet as a function of flow rate and rotation speed. The model also allows determination of the degree of filling of the space between the turbine blades. Edirisinghe et al. [58], performing a simulation, showed that even at high gradients, efficiencies of 80% can be achieved. The condition is to maintain the maximum volume of water per bucket, by increasing the number of blade rotations (reducing the blade pitch) and maintaining a minimum gap between the blade and the trough. This research makes it possible to shorten the turbine, which in turn has a significant impact on frictional forces.
Rohmer et al. [29] developed a numerical model of an AST to determine the water level at the turbine inlet as a function of flow rate and rotation speed. The model also allows determination of the degree of filling of the space between the turbine blades. Edirisinghe et al. [58], performing a simulation, showed that even at high gradients, efficiencies of 80% can be achieved. The condition is to maintain the maximum volume of water per bucket, by increasing the number of blade rotations (reducing the blade pitch) and maintaining a minimum gap between the blade and the trough. This research makes it possible to shorten the turbine, which in turn has a significant impact on frictional forces.

6. Discusion

The Archimedes turbine brings new opportunities for utilizing water energy, particularly in locations with low water heads and relatively low flows. This is evident in the wide range of Archimedes turbine research around the world. An example of the use of unused watercourses is the analysis performed by Shahverdi and Maestre [61]. They conducted an extended analysis of the possible use of water energy supplied to agricultural fields. Taking into account the water flow needed to irrigate the fields, it showed the possibility of generating over 200 kWh per year for only three currently existing irrigation thresholds. Additionally, this action can reduce CO2 emissions. According to the author, the investment can pay off within 5.4 years. In 2015, a review by Waters and Aggidis [10] was published, comprehensively presenting research related to the design, operation and environmental impact of Archimedes turbines. This review deals with articles that appeared after 2015. At that time, the researchers focused most attention on determining turbine efficiency as a function of rotational speed, basic dimensions and inclination angles. They also paid considerable attention to the environmental impact of ASTs, sources of losses and flow rates. It is noticeable that there has been a significant decrease in interest in economic matters and operational research.
A considerable number of articles present research results obtained by using various types of numerical models and CFD simulations. They indicate the directions of fast, preliminary analysis of the phenomena occurring in the turbine, which is a good basis for building laboratory and mathematical AST models. In addition, the multi-criteria optimization method proposed by Rhomer et al. [29] deserves attention. Their multi-criterial optimization is worth considering as a universal turbine selection method for site needs, which is a good direction for future research. An in-depth analysis of the design theory and optimization methods related to the turbine conducted by the researchers was presented by Ubando et al. [62]. They pointed out that the main geometric parameters of an AST are diameter ratio, screw length, screw pitch, screw angle, number of blades and fill factor and their optimal values. In the future, more computational methods should be introduced into AST research and design, such as artificial intelligence, computational fluid dynamics, optimization techniques, high-speed estimation models and design for manufacturability.

6.1. New Directions of Research

Ductless Archimedes screw turbines (DAST) turned out to be a new research direction. Zhang et al. [63,64] using special algorithms, numerical methods and neural network modeling demonstrated the possibility of using DAST in deep water with currents and low velocity. Zitti et al. [65] presented the results of a DAST study demonstrating the possibility of developing a simple and inexpensive device that works at various depths. Maulana et al. focused on the number of turns [66] in their study. Their CFD simulations show that the most preferable pressure distribution in the turbine is for seven turns. They conducted similar studies for different numbers of blades (from 1 to 4) [67]. They obtained the most preferable pressure distribution for two blades. According to the authors, the research on DAST is at an early stage and requires further work considering more key turbine parameters.
A good line of research that considers environmental issues, especially the free migration of fish, is the solution proposed by Lichtinger et al. [27]. This is especially important in the aspect of obtaining a permit for the construction of a power plant in terms of minimizing the negative impact on the environment.
Sánchez et al. [68] proposed implementing a modular solution of the generation system, which may be a useful aspect of reducing implementation costs.

6.2. Integration with Other Renewable Energy Systems

The aspect of integrating water energy sources with systems of other green energy sources is very important. Research is being carried out on combining hydropower plants, including AST, with sources such as wind farms or photovoltaic systems. They demonstrate the complementation of sources and the need to use energy storage to optimize and stabilize the production process.
Jurasz and Ciapała [69] analyzed the cooperation between a run-of-river hydroelectric power plant and a photovoltaic power plant. The validity of the research was emphasized by the availability of sources throughout the year (Figure 12). The hydroelectric power plant was intended to complement the variable dynamics of the solar power plant’s generation during the day and generate stable power at night. Their analysis showed that the water capacity ensured that the solar power plant’s generation fluctuations were supplemented. They concluded that such a system would be limited by the available water energy potential.
Figure 11. Daily mean sum of irradiation and its variability within +/- two standard deviations and box plot for observed hourly flow rate – calculated based on the hourly time series covering the period 2006-2008. [69]
Figure 11. Daily mean sum of irradiation and its variability within +/- two standard deviations and box plot for observed hourly flow rate – calculated based on the hourly time series covering the period 2006-2008. [69]
Preprints 140309 g011
Further research [70] was supplemented with a retention reservoir. They showed that the use of the tank allows for increasing the installed photovoltaic power and smoothing the daily production characteristics of the entire system.
Conceptual studies using power generated from an Archimedean turbine to drive the pump of the Organic Rankine Cycle System were performed by Shahverdi et al. [71]. The concept is a unique solution among those implemented in recent years, as it assumes the direct use of the mechanical energy of water for the technological process.
To summarize, research conducted in the field of water energy integration in complex systems is significant and being developed. Water has the potential to store energy and can be used not only for generation, but also for energy accumulation, which allows energy generated from other sources to be stored and generation supplemented in moments of intense variability. Flowing water can also be used as part of another generation system, such as thermal systems.

7. Conclusions

The unquestionable advantages of using an AST are related to its ability to be used at low heads and low flows. They are gaining importance considering the increase in water shortages. The nature of the turbine’s operation allows the use of rivers that have not been previously considered due to too low of a head, too low of a flow or increased environmental restrictions. In addition, during the period under review, researchers mainly focused on studying the efficiency of Archimedes turbines depending on selected physical parameters of the river or geometric parameters of the turbine itself, as well as changes in rotational speed. The analysis of the efficiency of the ASTs studied is made more difficult by the lack of uniformity in the graphical presentation of the results. Rohmer et al. [29] and Simmons and Lubitz [47] present the dependence of turbine efficiency as a function of turbine rotational speed. Dellinger and others [16,28] present the dependence of turbine efficiency as a function of ratio n/nnom. Thakur and others [30] presented the dependence of efficiency on flow with turbine load in kilograms. Dellinger et al [28] present the dependence of efficiency on the Q/Qnom ratio. In addition, losses from turbine overfilling, leakage and friction were important focus factors. According to the authors, there is a need to unify the designations of the characteristic dimensions of the turbine to improve the process of comparing and verifying the test results of different researchers. Such a proposal is presented in the initial part of the review.
According to the authors, future research on the use of the Archimedes turbine should use more advanced turbine modeling and design techniques and focus on such issues as reducing the negative impact on the river’s fauna, optimizing the inclination angle and friction losses. It would be advisable to seek the use of larger inclination angles, which will affect the length of the turbine, reduce its weight and frictional forces. The reduction of frictional forces can also be influenced by using new solutions in support bearings or reducing the weight of the turbine itself using new materials or other solutions.

Funding

The results presented in this paper were obtained as part of a comprehensive study financed by the University of Warmia and Mazury in Olsztyn, Faculty of Technical Sciences, Department of Electrical, Power, Electronic and Control Engineering (grant No. 16.610.001-110).

Conflicts of Interest

The authors declare no conflict of interest.

References

  1. Wang, C.H.; Tong, Y.W.; Loh, K.C.; Wang, R.; Li, X. Advanced technologies on sustainable energy and environment: SET2016 virtual special issue. Energy 2017, 137, 350–352. [Google Scholar] [CrossRef]
  2. Agency, U.S.E.P. Global Greenhouse Gas Emissions Data. Available online: https://www.epa.gov/ghgemissions/global-greenhouse-gas-emissions-data, (accessed on 16 February 2024).
  3. bioenergii dla regionu, K. Klaster bioenergii dla regionu. Available online: https://www.bioenergiadlaregionu.eu/gfx/baza_wiedzy/98/lik1.pdf (accessed on 24 November 2024).
  4. 21st CENTURY, R.E.P.N.F.T. RENEWABLE ENERGY POLICY NETWORK FOR THE 21st CENTURY. Available online: https://www.ren21.net/wp-content/uploads/2019/05/GSR2022_Full_Report.pdf (accessed on 16 February 2024).
  5. Repository, J.R.C.P. Drought in Europe 23. https://publications.jrc.ec.europa.eu/repository/handle/JRC133025, accessed on 16.02.2024. 20 March.
  6. Oliveira, P.F.G.; Martins, N.M.C.; Fontes, P.; Covas, D. Hydroenergy Harvesting Assessment: The Case Study of Alviela River. Water 2021, 13. [Google Scholar] [CrossRef]
  7. Purece, Cristian.; Corlan, Lilica. Archimedean screw as fish-friendly turbines for harnessing hydropower potential. E3S Web Conf. 2021, 286, 02007–10.1051. [CrossRef]
  8. of Infrastructure, M. Elektrownie wodne: wciąż wiele do zrobienia. Available online: https://raport.togetair.eu/woda/przyszlosc-rzek-akwenow-i-zeglugi-srodladowej/elektrownie -wodne-wciaz-wiele-do-zrobienia (accessed on 16 February 2024).
  9. Ubando, A.T.; Marfori, I.A.V.; Peradilla, M.S.; Sy, C.L.; Calapatia, A.M.A.; Chen, W.H. Sustainable Manufacturability of Archimedes Screw Turbines: A Critical Review. Journal of Manufacturing and Materials Processing 2022, 6. [Google Scholar] [CrossRef]
  10. Waters, S.; Aggidis, G.A. Over 2000 years in review: Revival of the Archimedes Screw from Pump to Turbine. Renewable and Sustainable Energy Reviews 2015, 51, 497–505. [Google Scholar] [CrossRef]
  11. Müller, G.; Senior, J. Simplified theory of Archimedean screws. Journal of Hydraulic Research 2009, 47, 666–669. [Google Scholar] [CrossRef]
  12. Simmons, S.; Lubitz, W. Archimedes Screw Generators for Sustainable Energy Development. 2017. 10.1109/IHTC.2017.8058176.
  13. Brada, K. WASSERKRAFTSCHNECKE ERMOGLICHT STROMERZEUGUNG UBER KLEINKRAFTWERKE. 1999.
  14. Buysse, D.; Mouton, A.M.; Stevens, M.; Van den Neucker, T.; Coeck, J. Mortality of European eel after downstream migration through two types of pumping stations. Fisheries Management and Ecology 2014, 21, 13–21. [Google Scholar] [CrossRef]
  15. Simmons, S.C.; Miller, L.; Lubitz, W.D. Review and Evaluation of Archimedes Screw Pump Design Guidance. Responsible Engineering and Living; Ting, D.S.K., Vasel-Be-Hagh, A., Eds.; Springer International Publishing: Cham, 2023; pp. 225–243. [Google Scholar]
  16. Dellinger, G.; Garambois, P.A.; Dellinger, N.; Dufresne, M.; Terfous, A.; Vazquez, J.; Ghenaim, A. Computational fluid dynamics modeling for the design of Archimedes Screw Generator. Renewable Energy 2018, 118, 847–857. [Google Scholar] [CrossRef]
  17. Janicka, A.; Molska, J.; Świeściak, J.; Włostowski, R.; Włóka, A.; Zawiślak, M. Designing a Small Water Power Plant in Poland in the Aspect of Minimizing the Impact on River Ecosystem. Rocznik Ochrona Środowiska 2021, 23, 332–345. [Google Scholar] [CrossRef]
  18. Mueller, M.; Knott, J.; Pander, J.; Geist, J. Experimental comparison of fish mortality and injuries at innovative and conventional small hydropower plants. Journal of Applied Ecology 2022, 59, 2360–2372. [Google Scholar] [CrossRef]
  19. Havn, T.; Sæther, S.; Thorstad, E.; Teichert, M.; Heermann, L.; Diserud, O.; Borcherding, J.; Tambets, M.; Økland, F. Downstream migration of Atlantic salmon smolts past a low head hydropower station equippped with Archimedes screw and Francis turbines. Ecological Engineering 2017, 105, 262–275. [Google Scholar] [CrossRef]
  20. Pauwels, I.S.; Baeyens, R.; Toming, G.; Schneider, M.; Buysse, D.; Coeck, J.; Tuhtan, J.A. Multi-Species Assessment of Injury, Mortality, and Physical Conditions during Downstream Passage through a Large Archimedes Hydrodynamic Screw (Albert Canal, Belgium). Sustainability 2020, 12. [Google Scholar] [CrossRef]
  21. Renardy, S.; Benitez, J.P.; Tauzin, A.; Dierckx, A.; Nzau Matondo, B.; Ovidio, M. How and where to pass? Atlantic salmon smolt’s behaviour at a hydropower station offering multiple migration routes. Hydrobiologia 2020, 847, 469–485. [Google Scholar] [CrossRef]
  22. Renardy, S.; Ciraane, U.D.; Benitez, J.P.; Dierckx, A.; Archambeau, P.; Pirotton, M.; Erpicum, S.; Ovidio, M. Combining fine-scale telemetry and hydraulic numerical modelling to understand the behavioural tactics and the migration route choice of smolts at a complex hydropower plant. Hydrobiologia 2023, 850, 3091–3111. [Google Scholar] [CrossRef]
  23. Renardy, S.; Ciraane, U.D.; Benitez, J.P.; Dierckx, A.; Gelder, J.; Silva, A.T.; Archambeau, P.; Dewals, B.; Pirotton, M.; Erpicum, S.; Ovidio, M. Assessment of the Attractiveness and Passage Efficiency of Different Fish Passage Solutions at a Hydropower Plant by Combining Fine Scale 2D-Telemetry and Hydraulic Numerical Modelling. Environments 2023, 10. [Google Scholar] [CrossRef]
  24. Knott, J.; Mueller, M.; Pander, J.; Geist, J. Downstream fish passage at small-scale hydropower plants: Turbine or bypass? Frontiers in Environmental Science 2023, 11. [Google Scholar] [CrossRef]
  25. YoosefDoost, A.; Lubitz, W.D. Archimedes Screw Turbines: A Sustainable Development Solution for Green and Renewable Energy Generation—A Review of Potential and Design Procedures. Sustainability 2020, 12. [Google Scholar] [CrossRef]
  26. Koukouvinis, P.F.; Anagnostopoulos, J. State of the Art in Designing Fish-Friendly Turbines: Concepts and Performance Indicators. Energies 2023, 16. [Google Scholar] [CrossRef]
  27. Lichtneger, P.; Sindelar, C.; Habersack, H.; Zeiringer, B.; Lechner, C.; Mayer, G.; Struska, N.; Albrecht, W. Performance tests and evaluation of hydropower plant with double rotating hydropower screw system. Građevinar 2018, 70, 361–368. [Google Scholar] [CrossRef]
  28. Guilhem Dellinger, Abdelali Terfous, P.A.G.; Ghenaim, AExperimental investigation and performance analysis of Archimedes screw generator. Journal of Hydraulic Research 2016, 54, 197–209. [CrossRef]
  29. Rohmer, J.; Knittel, D.; Sturtzer, G.; Flieller, D.; Renaud, J. Modeling and experimental results of an Archimedes screw turbine. Renewable Energy 2016, 94, 136–146. [Google Scholar] [CrossRef]
  30. Kumar Thakur, N.; Thakur, R.; Kashyap, K.; Goel, B. Efficiency enhancement in Archimedes screw turbine by varying different input parameters – An experimental study. Materials Today: Proceedings 2022, 52, 1161–1167, nternational Conference on Smart and Sustainable Developments in Materials, Manufacturing and Energy Engineering. [Google Scholar] [CrossRef]
  31. Shahverdi, K. Modeling for prediction of design parameters for micro-hydro Archimedean screw turbines. Sustainable Energy Technologies and Assessments 2021, 47, 101554. [Google Scholar] [CrossRef]
  32. Saroinsong, T.; Soenoko, R.; Wahyudi, S.; Sasongko, M. Performance of three-bladed Archimedes screw turbine. 2016, 11, 9491–9495. [Google Scholar]
  33. Siswantara, A.; Warjito; Budiarso; Harmadi, R.; Gumelar S., M.; Adanta, D. Investigation of the α angle´s effect on the performance of an Archimedes turbine. Energy Procedia 2019, 156, 458–462, 5th International Conference on Power and Energy Systems Engineering (CPESE 2018). [Google Scholar] [CrossRef]
  34. Lee, M.D.; Lee, P.S. Modelling the Energy Extraction from Low-Velocity Stream Water by Small Scale Archimedes Screw Turbine. Journal of King Saud University - Engineering Sciences 2023, 35, 319–326. [Google Scholar] [CrossRef]
  35. Shahverdi, K.; Loni, R.; Ghobadian, B.; Gohari, S.; Marofi, S.; Bellos, E. Numerical Optimization Study of Archimedes Screw Turbine (AST): A case study. Renewable Energy 2020, 145, 2130–2143. [Google Scholar] [CrossRef]
  36. Shahverdi, K.; Loni, R.; Maestre, J.; Najafi, G. CFD numerical simulation of Archimedes screw turbine with power output analysis. Ocean Engineering 2021, 231, 108718. [Google Scholar] [CrossRef]
  37. Shahverdi, K.; Najafi, G.; Mamat, R.; Ghazali, M.F.; EI-Shafy, A.; Mousa, M. Introducing a design procedure for Archimedes Screw Turbine based on optimization algorithm. Energy for Sustainable Development 2023, 72, 162–172. [Google Scholar] [CrossRef]
  38. Erinofiardi, E.; Koirala, R.; Shiwakoti, N.; Date, A. Sustainable Power Generation Using Archimedean Screw Turbine: Influence of Blade Number on Flow and Performance. Sustainability 2022, 14. [Google Scholar] [CrossRef]
  39. Alonso-Martinez, M.; Suárez Sierra, J.L.; Coz Díaz, J.J.d.; Martinez-Martinez, J.E. A New Methodology to Design Sustainable Archimedean Screw Turbines as Green Energy Generators. International Journal of Environmental Research and Public Health 2020, 17. [Google Scholar] [CrossRef] [PubMed]
  40. Saroinsong, T.; Soenoko, R.; Wahyudi, S.; Sasongko, M. Fluid Flow Phenomenon in a Three-Bladed Power-Generating Archimedes Screw Turbine. Journal of Engineering Science and Technology Review 2016, 9, 72–79. [Google Scholar] [CrossRef]
  41. Eswanto, E.; Hasan, H.; Razlan, Z.M. An Analysis on Performance of Pico-hydro with Archimedes Screw Model Viewed from Turbine Shaft Angle. International Journal of Engineering 2023, 36, 10–18. [Google Scholar] [CrossRef]
  42. Abbas, Z.; Waqas, M.; Khan, S.S.; Khatoon, R.; Larkin, S.; Zhao, L. Numerical and experimental investigation of an Archimedes screw turbine for open channel water flow application. Energy Science & Engineering 2024, 12, 1317–1336. [Google Scholar] [CrossRef]
  43. Paturi, U.M.R.; Cheruku, S.; Reddy, N.S. Artificial neural networks modelling for power coefficient of Archimedes screw turbine for hydropower applications. Journal of the Brazilian Society of Mechanical Sciences and Engineering 2022, 44, 447–10.1007/s40430-022-03757-8. [Google Scholar] [CrossRef]
  44. Zamani, M.; Shafaghat, R.; Alizadeh Kharkeshi, B. Experimental Investigation on the Effect of Flow Rate and Load on the Hydrodynamic Behavior and Performance of an Archimedes Screw Turbine. International Journal of Engineering 2023, 36, 733–745. [Google Scholar] [CrossRef]
  45. Zamani, M.; Shafaghat, R.; Alizadeh Kharkeshi, B. Numerical Study of the Hydrodynamic Behavior of an Archimedes Screw Turbine by Experimental Data in order to Optimize Turbine Performance: The Genetic Algorithm. Journal of Applied and Computational Mechanics 2023, 9, 1060–1075. [Google Scholar]
  46. Zamani, M.; Shafaghat, R.; Alizadeh Kharkeshi, B. Enhancing Performance Evaluation of Archimedes Screw Turbines under Optimal Conditions: A Focus on Flow Rate Analysis, Empirical Equations, and Comparative Scaling Methods. Iranica Journal of Energy & Environment 2024, 15, 123–134. [Google Scholar]
  47. Simmons, S.C.; Lubitz, W.D. Analysis of internal fluid motion in an Archimedes screw using computational fluid mechanics. Journal of Hydraulic Research 2021, 59, 932–946. [Google Scholar] [CrossRef]
  48. Kozyn, A.; Lubitz, W.D. A power loss model for Archimedes screw generators. Renewable Energy 2017, 108, 260–273. [Google Scholar] [CrossRef]
  49. Dellinger, G.; Garambois, P.A.; Dufresne, M.; Terfous, A.; Vazquez, J.; Ghenaim, A. Numerical and experimental study of an Archimedean Screw Generator. IOP Conference Series: Earth and Environmental Science 2016, 49, 102002–10.1088. [Google Scholar] [CrossRef]
  50. Lyons, M.; Lubitz, W. Archimedes Screws for Microhydro Power Generation. 2013. 10.1115/ES2013-18067.
  51. Lashofer, A.; Hawle, W.; Kampel, I.; Kaltenberger, F.; Pelikan, B. State of technology and design guidelines for the Archimedes screw turbine. 2012.
  52. YoosefDoost, A.; Lubitz, W.D. Archimedes Screw Design: An Analytical Model for Rapid Estimation of Archimedes Screw Geometry. Energies 2021, 14. [Google Scholar] [CrossRef]
  53. YoosefDoost, A.; Lubitz, W.D. Design Guideline for Hydropower Plants Using One or Multiple Archimedes Screws. Processes 2021, 9. [Google Scholar] [CrossRef]
  54. Bouvant, M.; Betancour, J.; Velásquez, L.; Rubio-Clemente, A.; Chica, E. Design optimization of an Archimedes screw turbine for hydrokinetic applications using the response surface methodology. Renewable Energy 2021, 172, 941–954. [Google Scholar] [CrossRef]
  55. Lisicki, M.; Lubitz, W.; Taylor, G.W. Optimal design and operation of Archimedes screw turbines using Bayesian optimization. Applied Energy 2016, 183, 1404–1417. [Google Scholar] [CrossRef]
  56. Simmons, S.C.; Elliott, C.; Ford, M.; Clayton, A.; Lubitz, W.D. Archimedes screw generator powerplant assessment and field measurement campaign. Energy for Sustainable Development 2021, 65, 144–161. [Google Scholar] [CrossRef]
  57. Simmons, S.; Dellinger, G.; Lubitz, W.D. Effects of Parameter Scaling on Archimedes Screw Generator Performance. Energies 2023, 16. [Google Scholar] [CrossRef]
  58. Edirisinghe, D.S.; Yang, H.S.; Kim, M.S.; Kim, B.H.; Gunawardane, S.P.; Lee, Y.H. Computational Flow Analysis on a Real Scale Run-of-River Archimedes Screw Turbine with a High Incline Angle. Energies 2021, 14. [Google Scholar] [CrossRef]
  59. Erinofiardi.; Nuramal, A.; Bismantolo, P.; Date, A.; Akbarzadeh, A.; Mainil, A.K.; Suryono, A.F. Experimental Study of Screw Turbine Performance based on Different Angle of Inclination. Energy Procedia 2017, 110, 8–13, 1st International Conference on Energy and Power, ICEP2016, 14-16 December 2016, RMIT University, Melbourne, Australia. [Google Scholar] [CrossRef]
  60. Indarto, B.; Ramazhoni, D.A.; Bustomi, M.A. Characteristics Analysis of Archimedes Screw Turbine Micro Hydro Power Plants with Variations in Water Discharge. Journal of Physics: Conference Series 2021, 1805, 012029–10.1088. [Google Scholar] [CrossRef]
  61. Shahverdi, K.; Maestre, J.M. Holistic Framework for Canal Modernization: Operation Optimization, and Economic and Environmental Analyses. Water Resources Management 2023, 37, 6145–6164. [Google Scholar] [CrossRef]
  62. Ubando, A.T.; Marfori, I.A.V.; Peradilla, M.S.; Sy, C.L.; Calapatia, A.M.A.; Chen, W.H. Sustainable Manufacturability of Archimedes Screw Turbines: A Critical Review. Journal of Manufacturing and Materials Processing 2022, 6. [Google Scholar] [CrossRef]
  63. Zhang, D.; Guo, P.; Hu, Q.; Li, J. Parametric study and Multi-Objective optimization of a ductless Archimedes screw hydrokinetic Turbine: Experimental and numerical investigation. Energy Conversion and Management 2022, 273, 116423. [Google Scholar] [CrossRef]
  64. Zhang, D.; Guo, P.; Wang, Y.; Hu, Q.; Li, J. Performance analysis of a ductless Archimedes screw turbine array for deep-sea power supply. Ocean Engineering 2023, 288, 116113. [Google Scholar] [CrossRef]
  65. Zitti, G.; Fattore, F.; Brunori, A.; Brunori, B.; Brocchini, M. Efficiency evaluation of a ductless Archimedes turbine: Laboratory experiments and numerical simulations. Renewable Energy 2020, 146, 867–879. [Google Scholar] [CrossRef]
  66. Maulana, Muhammad Ilham.; Syuhada, Ahmad.; Almas, Fiqih. Computational Fluid Dynamic Predictions on Effects of Screw Number on Performance of Single Blade Archimedes Screw Turbine. E3S Web Conf. 2018, 67, 04027–10.1051. [Google Scholar] [CrossRef]
  67. Maulana, M.I.; Syuhada, A.; Nawawi, M. Blade number impact on pressure and performance of archimedes screw turbine using CFD. AIP Conference Proceedings 2018, 1931, 030037. [Google Scholar]
  68. Sánchez Alan, Cuenca.; Galeano, Willian Farinango.; Zambrano, Joan Murillo. Design of a micro-hydraulic generation system based on an Archimedes screw. Ingenius 2023, 29, 98–107. [Google Scholar] [CrossRef]
  69. Jurasz, J.; Ciapała, B. Solar–hydro hybrid power station as a way to smooth power output and increase water retention. Solar Energy 2018, 173, 675–690. [Google Scholar] [CrossRef]
  70. Jurasz, J.; Ciapała, B. Integrating photovoltaics into energy systems by using a run-off-river power plant with pondage to smooth energy exchange with the power gird. Applied Energy 2017, 198, 21–35. [Google Scholar] [CrossRef]
  71. Shahverdi, K.; Loni, R.; Ghobadian, B.; Monem, M.; Gohari, S.; Marofi, S.; Najafi, G. Energy harvesting using solar ORC system and Archimedes Screw Turbine (AST) combination with different refrigerant working fluids. Energy Conversion and Management 2019, 187, 205–220. [Google Scholar] [CrossRef]
Figure 1. Representation of the main AST parameters. [16]
Figure 1. Representation of the main AST parameters. [16]
Preprints 140309 g001
Figure 2. Mortality of roach, eel and bream. [20]
Figure 2. Mortality of roach, eel and bream. [20]
Preprints 140309 g002
Figure 3. Experimental and theoretical efficiency depending on the flow discharge. [16]
Figure 3. Experimental and theoretical efficiency depending on the flow discharge. [16]
Preprints 140309 g003
Figure 4. Experimentally determined power outlet drag losses for various outlet water level heights. Total flow rates are i) Q = 4.0 L · s 1 , ii) Q = 7.5 L · s 1 , iii) Q = 10.0 L · s 1 , iv) Q = 12.5 L · s 1 . [48]
Figure 4. Experimentally determined power outlet drag losses for various outlet water level heights. Total flow rates are i) Q = 4.0 L · s 1 , ii) Q = 7.5 L · s 1 , iii) Q = 10.0 L · s 1 , iv) Q = 12.5 L · s 1 . [48]
Preprints 140309 g004
Figure 5. Evolution of different theoretical losses plus experimental bearings losses depending on n/nnom with nnom = 90,6 rpm, β = 24° and Q = 3 l · s 1 . [28]
Figure 5. Evolution of different theoretical losses plus experimental bearings losses depending on n/nnom with nnom = 90,6 rpm, β = 24° and Q = 3 l · s 1 . [28]
Preprints 140309 g005
Figure 6. A fast and easy analytical method for designing AST. [52]
Figure 6. A fast and easy analytical method for designing AST. [52]
Preprints 140309 g006
Figure 7. Mechanical efficiency of the Archimedes screw as a function of the rotational speed. [29]
Figure 7. Mechanical efficiency of the Archimedes screw as a function of the rotational speed. [29]
Preprints 140309 g007
Figure 8. Experimental and modeled efficiency depending on n · n n o m . [49]
Figure 8. Experimental and modeled efficiency depending on n · n n o m . [49]
Preprints 140309 g008
Figure 9. The effect of turbine shaft slope toward the turbine efficiency and turbine rotation. [40]
Figure 9. The effect of turbine shaft slope toward the turbine efficiency and turbine rotation. [40]
Preprints 140309 g009
Figure 10. Efficiency variations vs. specific speed and inclination angle for dimensionless diameter different values, a) N = 2, b) N= 3, and c) N = 4. [31]
Figure 10. Efficiency variations vs. specific speed and inclination angle for dimensionless diameter different values, a) N = 2, b) N= 3, and c) N = 4. [31]
Preprints 140309 g010
Table 1. The optimum values of the blades numbers, the inclination angle, and efficiency. [31]
Table 1. The optimum values of the blades numbers, the inclination angle, and efficiency. [31]
Preprints 140309 i001
Disclaimer/Publisher’s Note: The statements, opinions and data contained in all publications are solely those of the individual author(s) and contributor(s) and not of MDPI and/or the editor(s). MDPI and/or the editor(s) disclaim responsibility for any injury to people or property resulting from any ideas, methods, instructions or products referred to in the content.
Copyright: This open access article is published under a Creative Commons CC BY 4.0 license, which permit the free download, distribution, and reuse, provided that the author and preprint are cited in any reuse.
Prerpints.org logo

Preprints.org is a free preprint server supported by MDPI in Basel, Switzerland.

Subscribe

Disclaimer

Terms of Use

Privacy Policy

Privacy Settings

© 2026 MDPI (Basel, Switzerland) unless otherwise stated