Preprint
Article

This version is not peer-reviewed.

Design and Numerical Investigation on Octagonal Barge-type FOWT with Counterweight Suspension System

A peer-reviewed article of this preprint also exists.

Submitted:

20 November 2024

Posted:

20 November 2024

You are already at the latest version

Abstract

This study aims at enhancing platform design and passive control technology, reducing maintenance costs and increasing stability and efficiency. This will improve the commercial viability of floating wind turbines as a renewable energy source. The selected site for this study is Hsinchu offshore water, Taiwan. Owing to shallow water conditions on the selected site, an octagonal barge-type platform was chosen for investigation of its suitability in this study. A counterweight suspension system was used to improve stability and avoid pitch resonance. Meanwhile, an octagonal barge platform carrying the NREL-5MW offshore wind turbine was designed. It uses SolidWorks for modeling, Ansys AQWA for hydrodynamic calculations, and Orcina OrcaFlex for wind/wave/current coupling dynamic analysis. Key research results include optimizing the counterweight suspension system and ensuring compliance with Det Norske Veritas (DNV) regulations, covering Ultimate Limit States (ULS), Accidental Limit States (ALS), Serviceability Limit States (SLS), and Fatigue Limit States (FLS). Thus, the major inspections include platform motions, mooring line tension, and suspension system tension during turbine operation and parking. Comparisons are made with and without the counterweight suspension system.

Keywords: 
;  ;  ;  ;  ;  

1. Introduction

1.1. Motivation

Taiwan has been working hard to create renewable energy in order to reach the goal of having net-zero carbon emissions by 2050. Out of all the renewable energy sources available in Taiwan, wind energy is the most commercialized. Wind speeds rise with increasing offshore distance, which makes offshore wind energy more appealing.In water depths greater than 50 meters, floating wind turbines become more competitive. However, stability has a big impact on how efficiently power is generated by floating wind turbines. Therefore, installing floating offshore wind turbines in the typhoon-prone Taiwan Strait requires careful assessment of suitable floating platforms to enhance overall economic efficiency. The purpose of this paper is to conduct inspections in compliance with Det Norske Veritas (DNV) standards and construct floating platforms based on the environmental conditions of the Taiwan Strait.

1.2. Literature Review

The design of floating platforms and counterweight suspension systems is the main topic of this study. Through a survey of the literature, the various kinds of floating platforms and counterweight suspension system designs are introduced in this part.

1.2.1. Types of Floating Platforms

According to Emilio et al. (2022), multiple designs are used by floating platforms to address stability in a variety of environmental circumstances. Based on their stability characteristics, they can generally be categorized into three main types: buoyancy stabilized, ballast stabilized, and mooring stabilized, as illustrated in Figure 1.
Buoyancy stabilized platforms provide stability through a larger waterplane area, which offers buoyancy. This design has the advantage of a shallower draft, making it suitable for the water depths in the Taiwan Strait. However, the larger waterplane area results in higher wave loads, leading to lower stability. Common examples of buoyancy-stabilized platforms include barge-type platforms and semi-submersible platforms, as shown in Figure 2.
Ballast stabilized platforms lower the center of gravity through a deeper draft and ballasting weight. This results in a small waterplane area and thus reduces wave loads, leading to high stability. However, the deeper draft makes it unsuitable for the water depths in the Taiwan Strait. A common example of a ballast-stabilized platform is the spar platform, as shown in Figure 2.
Mooring stabilized platforms use highly pre-tensioned mooring lines to provide stability. This high pre-tensioning limits the movement range of the floating platform, resulting in high stability. However, the risk of platform capsizing due to mooring line failure is increased, presenting significant risks in the harsh environmental conditions of the Taiwan Strait. A common example of a mooring-stabilized platform is the tension leg platform, as shown in Figure 2.
In recent years, many innovative floating platforms have been developed by improving upon the strengths and weaknesses of traditional floating platform types. For example, the TetraSpar, developed by Stiesdal Offshore Technologies, addresses the limitations of the spar platform, such as its inability to be assembled and towed nearshore. By utilizing a counterweight suspension system, the TetraSpar significantly reduces maritime engineering costs.

1.2.2. Design of Counterweight Suspension System

Ward et al. (2021) mentioned that the design of counterweight suspension systems is guided through dimensionless analysis. The primary parameters governing this design include the mass ratio μ , stiffness ratio κ , and inertia ratio ν .
  • Mass ratio μ
μ = m 2 m 1 + m 2
where m 1 and m 2 are the physical masses of the floater and counterweight, respectively.
  • Stiffness ratio κ
κ = N k c o s 2 θ z ρ g A w
where N is the number of suspension line, k is the suspension line stiffness, θ z is the angle between a suspension line and the vertical axes, and A w is the waterplane area.
  • Inertia ratio ν
ν = μ K 2 2 + r 2 1 μ K 1 2 + μ K 2 2 + r 2
where K 1 and K 2 are radius of gyration of floater and counterweight, r is the distance between each body’s center of gravity.

2. Methodology

2.1. Design Process

The design process for this study is as follows:
  • Selection and Improvement: Choose the type of floating platform based on the local environmental conditions and make necessary improvements.
  • Modeling: Use 3D modeling software to create the platform model and calculate its physical parameters.
  • Stability Analysis: Confirm the platform’s stability through static water analysis and iterate to find the optimal configuration by using ANSYS AQWA.
  • Hydrodynamic Analysis: Perform hydrodynamic calculations using ANSYS AQWA.
  • System Design and Testing: Use Orcina OrcaFlex to design the mooring and counterweight suspension systems. Conduct free decay tests to determine the natural period and calculate regular wave responses to obtain the Response Amplitude Operator (RAO). Compare different configurations for surge, heave, and pitch degrees of freedom to find the optimized counterweight suspension system solution
  • Criteria Check: Input environmental conditions and check against design criteria, including Ultimate Limit State (ULS), Accidental Limit State (ALS), Serviceability Limit State (SLS), and Fatigue Limit State (FLS) to ensure the design meets all necessary requirements.

2.2. Design Concept

According to the study by Johannessen et al. (2018), the design of floating platforms must consider six important factors: stability, natural period, assembly procedures, overall dimensions, mass, and cost. Therefore, the design concept will focus on the water depth and environmental conditions at the site, as well as assess the feasibility and cost of maritime engineering to determine the type of floating platform.
Based on the literature review, semi-submersible and barge-type platforms are considered suitable for shallow water areas due to their shallow draft. According to DNV-RP-0286, typical natural periods for different platform types are referenced in Table 1. Although both semi-submersible and barge-type platforms may experience resonance in vertical motion, this effect can be mitigated using heave plates. Additionally, barge-type platforms can further reduce vertical motion using moonpools.
Barge-type platforms are more prone to resonance in pitch motion. However, semi-submersible platforms have higher production costs. Therefore, the cost of semi-submersible platforms is higher than that of barge-type platforms. To increase the natural period of pitch motion, a counterweight suspension system can extend the natural period of pitch motion, making the barge-type platform a potentially suitable choice for the Taiwan Strait.
Based on the following design concept, the floating platform is illustrated in Figure 3. This floating platform is named Suspensa OctaFloat (SOF), due to its combination of an octagonal design and a counterweight suspension system.
For square barge-type platforms, The square shape has a larger surface area exposed to incoming wave forces, making it more susceptible to larger wave loads. To reduce the force area in the wave direction and address the construction difficulties of large-diameter cylindrical shapes and the potential vortex-induced vibrations (VIV), an octagonal design has been chosen as a solution.
Since barges are prone to resonance in vertical motion, which results in larger responses, moonpools and heave plates can be used to reduce vertical motion, thereby improving the safety of maintenance personnel and the stability of the floating platform during operation.
Due to the tendency of barges to resonate in pitch motion, the counterweight suspension system is used to increase the natural period of the floating platform’s pitch motion. This system can extend the natural period to approximately 16–18 seconds, while the 250-year return period peak period for the Taoyuan environment in the Taiwan Strait is 15 seconds. This means the counterweight suspension system can prevent pitch motion resonance and enhance stability under extreme conditions. Additionally, the counterweight suspension system lowers the center of gravity and provides restoring moment, making the floating platform more stable during operation.
Furthermore, given the frequent typhoons in the Taiwan Strait, the extreme conditions are quite severe. The barge design also allows for stabilization of the platform using ballast water in the event of suspension system failure, preventing platform capsizing if the suspension lines break.

2.3. Ansys AQWA

ANSYS AQWA, a hydrodynamic analysis software is used for modeling various applications such as floating structures, ships, FPSOs and FOWTs. It employs boundary element and finite element boundary methods to deal with potential flow problems. In its calculations, AQWA assumes the fluid is homogeneous, incompressible, inviscid, and irrotational, following the governing equation as Laplace equation. The software utilizes a three-dimensional Green’s function source distribution method and three-dimensional radiation and diffraction theory to compute first or second-order wave forces, added mass, radiation damping, and hydrostatic stiffness of the floating structure. This overview is based on the theoretical framework presented in the ANSYS AQWA Theory Manual (2021 R1), as shown in Figure 4.

2.4. Orcina OrcaFlex

OrcaFlex, a dynamic analysis software developed by Orcina, finds widespread use in various industries such as oil & gas, wet renewables, oceanography, seismic studies, defense, and aquaculture. Tests conducted in OrcaFlex cover a range of applications, including riser systems, mooring performance, pipelay and pipelines, towed systems, cable structures, and earthquake loading.
OrcaFlex calculates the wind thrust on the wind turbine using the Boundary Element Method (BEM), computes the wave forces using hydrodynamic parameters imported from Ansys AQWA, and determines the drag force using the drag coefficient.The floater’s motion and the tension on the mooring and suspension lines under various climatic circumstances are simulated by means of wind-wave-current coupling.
This study employs OrcaFlex to analyze the designs of the floating platform, mooring system, and counterweight suspension system. However, OrcaFlex lacks the capability to calculate three-dimensional diffraction and radiation in hydrodynamics. Therefore, we first conduct these hydrodynamic calculations in ANSYS AQWA and then import the results into OrcaFlex for further analysis.
Due to the diameter of the mooring and suspension lines being much smaller than the wavelength, they are considered small structural elements. Therefore, in OrcaFlex, the Morison equation is used, and the mooring and suspended lines are modeled using a finite element approach known as the lumped mass method (as shown in Figure 5).

2.5. Turbsim

TurbSim (Turbulence Simulation) is a wind field simulation tool developed by the National Renewable Energy Laboratory (NREL) for generating wind speed time series to simulate the variation of wind speeds in a wind field.
This study follows the IEC 61400-1 standard and utilizes the IEC Kaimal model along with the design conditions specified in DNV-ST-0437. For extreme conditions, the EWM is applied, whereas the NTM is used for operational conditions.

2.6. Fatigue Analysis

Mooring systems and suspension systems are subjected to continuous cyclic loading from metocean conditions. According to API RP 2SK, this study utilizes Palmgren-Miner’s rule in conjunction with the rainflow counting method. Figure 6 depicts the amplitude of mooring loading in the random variable load-time domain, while Figure 7 illustrates the rainflow cycle counting method. It is assumed that the uniaxial cycle counting method is employed for each load, and fatigue damage is calculated as follows:
D i = n i N i
where n i is number of cycles of operation, N i is the total number of cycles that produces failure at that stress level.
After that, the characteristic cumulative damage D C can be defined as the sum of all damages over a total of k blocks.
D C = i = 1 k n i N i  
The event of failure is defined as D C ≥ 1.0
The American Petroleum Institute (API) established a standard (API RP 2SK, 2005) that outlines the tension range linked to the fatigue life of each mooring component. In 2008, API introduced the T-N curve for mooring lines, which expresses the number of cycles to failure and the corresponding tension range as follows:
N = K T r R B S m
which can also be given as:
log N = log K m log ( T r R B S )
where N is defined as fatigue mechanism occurs after a certain number of cycles, T r is tension range, K intercept parameter of the curve, R B S is the reference breaking strength, and m is the slope of T-N curve.

2.7. Dynamic Response and Mooring System Criteria

To ensure the stability and safety of the floating platform under extreme and operational conditions, DNV-ST-0119 provides mooring system design specifications, DNV-RP-0286 presents guidelines for the dynamic response of the floating platform, and COREWIND D2.1 provides maximum surge offset requirement.
Mooring system design criteria (DNV-ST-0119)
For the mooring system, the design criteria are based on the Ultimate Limit State (ULS) (50-year return period sea state) and the Accidental Limit State (ALS). The following is a description of the mooring design specifications.
The design tension T d in a mooring line is the sum of two factored characteristic tension components T c , m e a n and T c , d y n
T d = γ m e a n · T c , m e a n + γ d y n · T c , d y n
in which T c , m e a n is characteristic mean tension, T c , d y n is characteristic dynamic tension, and γ m e a n and γ d y n are load factors given in Table 2.
The characteristic capacity of the body of the mooring line S c may be obtained from the minimum breaking strength S m b s of new components as:
S c = 0.95 · S m b s
The design criteria in the ULS and ALS are:
S c > T d
The above is the design criteria of the mooring system made of chain. Tension level of fibers should not exceed 70% MBS in ULS.
Ultimate and Serviceability Limit State values (DNV-RP-0286)
In DNV-RP-0286, there are criteria during operational load cases and non-operational load cases.
-
max. tilt at tower top during operational load cases e.g., DLC 1.2, 1.6 (SLS):
-
permanent value: 0.5 degrees
-
mean value in the time series: 5 degrees
-
max. value in the time series: 10 degrees
-
max. tilt at tower top during non-operational cases e.g., DLC 6.1, 6.2 (ULS): 15 degrees
-
max. acceleration at tower top during operational cases e.g., DLC 1.2, 1.6 (SLS): 0.3g
-
max. acceleration at tower top during non-operational cases e.g., DLC 6.1, 6.2 (ULS): 0.6g
COREWIND D2.1 noted that the maximum surge offset is 30 m under 100 meters water depth.
To summarize the above criteria, the following criteria will be verified in this study (as shown in Table 3).
Fatigue Limit State criteria (DNV-ST-0119)
In DNV-ST-0119, the design cumulative damage D D is obtained by multiplying the characteristic cumulative damage D C by the design fatigue factor D F F (as shown in Table 4).
D D = D F F · D C
The design criteria in fatigue are
D D 1.0

3. Numerical Setup

3.1. Site Selection

This study references the mean power density from the GLOBAL WIND ATLAS website to select target sites (as shown in Figure 8). This study focuses on the offshore area of Hsinchu, targeting a water depth of 100 meters, and employs an improved octagonal barge platform to enhance stability and power generation efficiency.

3.1.1. Environmental Conditions

The environmental conditions for this study are referenced from the Environmental Impact Assessment Reports of the EIA of Winds Of September Floating Offshore Project and the EIA of W1N. Simulations are conducted for operational conditions and turbine parking conditions according to design load cases 1 and 6 (DLC1.x & DLC6.x) specified in the DNV-ST-0437 standard. The dynamic response and tension of the mooring lines and suspension ropes are assessed under Ultimate Limit State (ULS), Serviceability Limit State (SLS), and Normal Sea State.
For the Ultimate Limit State, simulations use a 50-year return period wave condition combined with the extreme wind speed model (EWM) of 57 m/s specified for T-class wind turbines in the IEC-61400-1 standard, along with the extreme current speed statistics from the EIA of W1N. For the Serviceability Limit State, a 20-year statistical extreme winter wave condition is used in combination with the maximum wind thrust speed and current speed statistics from the EIA of W1N. Normal Sea State simulations employ the average winter significant wave height and period from the EIA of Winds Of September Floating Offshore Project, paired with the annual average wind speed and current speed from the EIA of W1N.
Since actual sea conditions consist of irregular waves, this study refers to the JONSWAP spectrum’s peak enhancement factor ( γ ) of 2.08 as suggested by Ou (1977) for the Taiwan Strait. The recommended simulation duration is set to 3 hours according to the standards.

3.2. Model Setup

This study employs the 5-MW reference offshore wind turbine designed by the National Renewable Energy Laboratory (NREL) and the improved octagonal barge platform designed in this study, named Suspensa OctaFloat (SOF).The parameters of the wind turbine and platform will be introduced in this section, along with a brief description of the specifications and setup of the mooring and counterweight suspension system.

3.2.1. Offshore Wind Turbine

Although most current studies use the IEA 15-MW reference wind turbine, this study employs the smaller NREL 5-MW reference wind turbine due to the new floating platform design (as shown in Figure 9). In the future, this design can be gradually scaled up to accommodate larger offshore wind turbines. The parameters of the NREL 5-MW offshore wind turbine are shown in Table 3, and its wind thrust curves are depicted in Figure 10.
Table 6. Parameters of NREL 5-MW Reference Wind Turbine.
Table 6. Parameters of NREL 5-MW Reference Wind Turbine.
Rating 5 MW
Rotor Orientation, Configuration Upwind, 3 Blades
Rotor Mass (Blade) 674,000 kg
Nacelle Mass 477,900 kg
Tower Mass, including Instrumentation 493,500 kg
COG tower 43.85 m
Hub Height 90 m
Cut-In, Rated, Cut-Out Wind Speed 3 m/s, 11.4 m/s, 25 m/s
Sum Mass (Rotor+ Nacelle+ Tower) 1,038,400 kg
XCG 14 m
YCG 0 m
ZCG 70.596116 m
Roll Inertia 2.40 × 10⁸ kg ∙ m 2    
Pitch Inertia 2.40 × 10⁸ kg ∙ m 2
Yaw Inertia 4.80 × 10⁸ kg ∙ m 2

3.2.2. Floating Platform

The design parameters of the SOF are shown in Table 7. Based on the design concept outlined in Chapter 2, the SOF is constructed from steel with an outer diameter of 48 meters. At its center, there is a 15×15 meter moonpool to suppress vertical motion. Since the wind turbine is installed on one side, the platform’s center of gravity is adjusted using ballast water and concrete within the compartments (as shown in Figure 11) to ensure that the center of gravity remains below the center of buoyancy and achieves the designed draft depth. A side view of the SOF with the counterweight suspension system in OrcaFlex is shown in Figure 12.

3.2.3. Mooring System

This study designs a 4×2 mooring system. However, due to the difficulty in passing design criteria under ALS (accidental limit state) scenarios where mooring lines might break, a 4×3 mooring design was also implemented. The 4×2 mooring system design is shown in Figure 13 and detailed in Table 8, while the 4×3 mooring system design is depicted in Figure 14 and detailed in Table 9.

3.2.4. Counterweight Suspension System

According to Borg et al. (2020) in the TetraSpar technical report, the ropes used in the counterweight suspension system of the TetraSpar design are made of polyester rope bundles. The literature indicates that polyester fibers have higher stiffness compared to nylon and polypropylene (as shown in Table 10), and they are more fatigue-resistant. Therefore, this study uses polyester rope bundles for the design.
In the literature review, Ward et al. (2021) used mass ratio, stiffness ratio, and inertia ratio as dimensionless parameters for optimizing the counterweight suspension system. Since this study employs a barge-type platform, its dimensionless parameters differ from those described for other floating platforms in the literature. Therefore, directly applying the optimized dimensionless parameter values from the literature is not suitable for this design. However, the physical significance of these dimensionless parameters can still serve as the foundation for the design.
The primary difference between the octagonal barge-type platform used in this study and the TetraSpar with a counterweight suspension system lies in the mass ratio. TetraSpar utilizes a lighter platform design with the main ballast weight concentrated in the counterweight suspension system to lower the center of gravity. In contrast, the SOF (Suspensa OctaFloat) adopts a barge-type platform design with a larger waterplane area, where ballast weight can be adjusted through ballast water and counterweight. The SOF uses the counterweight suspension system to dampen pitch motion and lower the center of gravity, thereby enhancing stability, resulting in a lower mass ratio.
In an effort to lower the chance of a counterweight suspension system failure, this low mass ratio design concept takes into account the severe typhoon wave conditions in the Taiwan Strait. Numerical simulations ensure that platform capsizing does not occur even if the suspension system fails. Due to the depth limitations of the Taiwan Strait, this study does not address deeper draft depths. The preliminary configuration of the counterweight suspension system is shown in Table 11. The detailed configuration will be determined in Chapter 4 through an optimization process, considering the inertia ratio and stiffness ratio parameters. The optimization process will sequentially optimize the geometry of the counterweight and the stiffness of the suspension lines. By applying the optimization results, this study compares the maximum tilt angle and drift range of the same platform with and without the optimized counterweight suspension system under different environmental conditions, simulated over a 3-hour period.

3.2.5. Case Symbol

This section outlines the case symbol used in this study. In the geometric optimization of the counterweight suspension system presented in Chapter 4, the counterweight suspension system is composed of various diameters and heights based on a cylindrical shape. Table 12 provides examples of the symbol, where D represents the diameter and H represents the height of the counterweight suspension system. NCSS denotes the absence of a counterweight suspension system.
In the optimization of suspension ropes in Chapter 4, the counterweight suspension system includes variations in the nominal diameter of the suspension ropes and the number of suspension ropes. Table 13 lists examples of the symbol, where R represents the nominal diameter of the suspension ropes and N represents the number of suspension ropes.
In the irregular wave simulations in Chapter 4, different environmental conditions are included. Table 14 lists examples of the simulation conditions symbol, where JH represents the significant wave height in the JONSWAP spectrum, T represents the peak period in the JONSWAP spectrum, and BS and BM indicate the breaking of suspension ropes or mooring lines, respectively. ULS, ALS, SLS, NM, and FLS represent Ultimate Limit State, Accidental Limit State, Serviceability Limit State, Normal Sea State, and Fatigue Limit State, respectively.

4. Results and Discussion

This section will conduct time-domain dynamic analysis of the SOF equipped with a counterweight suspension system under various environmental conditions. The simulations performed include:
  • Free decay tests to determine the natural periods in six degrees of freedom
  • Regular wave tests to optimize the counterweight suspension system using RAO
  • Irregular wave tests to examine compliance with standards
  • Fatigue analysis to assess the lifespan of the mooring lines and suspension lines

4.1. Free-Decay Test

In this study, free-decay tests were conducted to obtain the natural periods of the floating platform by converting time series data into frequency domain energy density spectra using Fast Fourier Transform (FFT), as shown in Figure 15. The initial displacements for translational degrees of freedom (Surge, Sway, Heave) were set to 5 meters, and the initial angles for rotational degrees of freedom (Roll, Pitch, Yaw) were set to 5 degrees. OrcaFlex, a numerical software based on potential flow theory, was used for the free-decay tests in this study. Since potential flow theory does not account for viscous effects, it is not possible to calculate damping coefficients from the time series data. Therefore, this study only calculates the natural periods and does not discuss linear and quadratic damping coefficients.
According to Table 15, the counterweight suspension system causes changes in the pitch natural period, resulting in two peak values. The primary peak increases to 18.75 seconds, while the secondary peak decreases to 8.83 seconds. Although the secondary peak may pose a risk of resonance under severe sea conditions, the response during resonance is significantly lower compared to the peak without the counterweight suspension system. Subsequent sections will compare the dynamic responses under various environmental conditions, including regular and irregular waves, to assess the overall improvements provided by the counterweight suspension system.

4.2. Regular Wave Test

This study uses regular waves to calculate the RAO, which represents the dynamic response amplitude per unit incident wave amplitude and is a dimensionless parameter. Initially, different counterweight geometries are evaluated to optimize the configurations for Surge, Heave, and Pitch degrees of freedom. Subsequently, different suspension line configurations are examined to optimize stiffness.

4.2.1. Counterweight Geometry Optimization

Since the counterweight geometry affects the inertia ratio of the platform and the counterweight suspension system, it is necessary to compare different counterweight geometries. This study references the cylindrical counterweight used by Borg et al. (2020), adopting a cylindrical shape for the counterweight geometry. Under the condition of using the same materials and maintaining a constant volume, variations in diameter and height are compared (as shown in Table 16) to obtain the optimized geometry for the cylindrical counterweight.
According to Figure 16, the Surge RAO exhibits a bimodal response when equipped with the counterweight suspension system (CSS). As the counterweight height increases, the peak values of the bimodal response decrease, reaching the lowest value when the height is close to the diameter (H75D070). When the counterweight height is significantly greater than the diameter (H90D065), the increased pitch motion caused by the counterweight leads to higher RAO peak values.
Figure 16 also shows that the Heave RAO displays a bimodal response after installing the CSS. The short-period resonance period remains unchanged with the CSS, while the long-period resonance occurs at 18 seconds. According to the EIA of W1N, the peak period of 250-year return period waves is 15 seconds, making the 18-second peak resonance less likely. Therefore, the impact of the CSS on Heave is relatively minor.
In Figure 16, the Pitch RAO reveals a bimodal response with the CSS installed. The peak value at the short period significantly decreases, and the minimum peak occurs when the counterweight height is close to the diameter (H75D070). According to the EIA of W1N, the peak period of 250-year return period waves is 15 seconds. The long-period resonance period increases with counterweight height, with H75D070 showing a resonance period of 20 seconds, indicating a lower likelihood of resonance. Thus, H75D070 is a preferable configuration for both short and long periods.
Based on the comprehensive assessment of the Surge, Heave, and Pitch RAO, H75D070 is the optimized configuration. In the following sections, H75D070 will be used as the default geometry for simulations.

4.2.2. Suspension Line Optimization

Based on the research by Borg et al. (2020) and studies on tuned mass dampers, the design of the counterweight suspension system is based on mass ratio, inertia ratio, and stiffness ratio. Among these, the stiffness ratio has a significant impact on the damping effectiveness of the counterweight suspension system.
Since a barge-type platform is used, to reduce the risk of capsizing in the event of counterweight suspension system failure, the counterweight mass is limited to 2000 metric tons to enhance the overall safety of the platform.
This chapter optimizes the suspension ropes by discussing the following two aspects:
Changing the diameter and number of suspension ropes while maintaining the same stiffness to examine whether different rope diameters affect the system under constant stiffness.
Fixing the rope diameter and varying the number of ropes to analyze the relationship between different stiffness ratios.
Table 17. Trials table of Discussion 1.
Table 17. Trials table of Discussion 1.
Case symbol Suspension linenominal diameter Number of ropes Stiffness ratio
D120N56 120 mm 56 (each side 14) 53.06
D130N48 130 mm 48 (each side 12) 53.36
D140N40 140 mm 40 (each side 10) 51.57
As shown in Figure 17, although the rope diameter varies, if the stiffness ratio is kept similar, the dynamic responses are quite close. Therefore, the results from Discussion 1 indicate that rope diameter does not have a direct relationship with the dynamic response.
Table 18. Trials table of Discussion 2.
Table 18. Trials table of Discussion 2.
Case symbol Suspension line
nominal diameter
Number of ropes Stiffness ratio
D130N40 130 mm 40 (each side 10) 44.47
D130N48 130 mm 48 (each side 12) 53.36
D130N56 130 mm 56 (each side 14) 62.26
From Figure 18, it can be observed that adjusting the number of ropes to change the stiffness ratio has a significant impact on pitch motion, even with the same nominal diameter. D130N40 exhibits a larger peak at a 9-second wave period, making it prone to resonance with swell and thus excluded from the options. Compared to D130N48, D130N56 has a shorter peak period in pitch motion. Although the peak value of D130N56 is lower than that of D130N48, the response at 18 seconds is higher. As the resonance period increases, the probability of occurrence decreases, and D130N56 would incur higher costs. Additionally, D130N56 shows a larger response in surge RAO. Therefore, D130N48 is considered the optimized configuration based on a comprehensive evaluation.
After completing the optimization of the counterweight suspension system, Table 19 provides the detailed design of the counterweight suspension system. This configuration will be used in the following sections for time-domain analysis under various environmental conditions, including ULS, ALS, SLS, Normal Sea State, and FLS. The aim is to compare the dynamic characteristics of the platform with and without the counterweight suspension system and to assess whether it meets the standards.

4.3. Irregular Wave Test

In physical or numerical modeling of real-time scenarios, this study employs irregular waves to simulate environmental conditions, ensuring that the floater with a counterweight suspension system can endure severe sea states. The emphasis is on evaluating the specifications for ULS, ALS, SLS, Normal Sea State, and FLS. This study will compare the performance of the floater with the counterweight suspension system against a floater without the suspension system, using the specifications outlined in Section 2.7.

4.3.1. Ultimate Limit State

According to the DNV-ST-0437 design load case for turbine parking conditions, the ULS Condition utilizes a 50-year return period wave condition and EWM wind model as shown in Table 20. For Hsinchu’s offshore area, which is prone to typhoons, a wind speed of T-class (57 m/s) should be used as recommended by IEC 61400-1. This study employs the IEC Kaimal turbulence model in conjunction with the EWM model for wind simulations.
For time-domain numerical simulations, environmental loads from 0 to 360 degrees must be simulated. The angular interval should be less than or equal to 30 degrees, and the simulation time should be at least 3 hours. Due to symmetry, simulations cover from 0 to 180 degrees, with an irregular wave simulation time set at 3 hours. The wind, wave, and current directions are aligned.
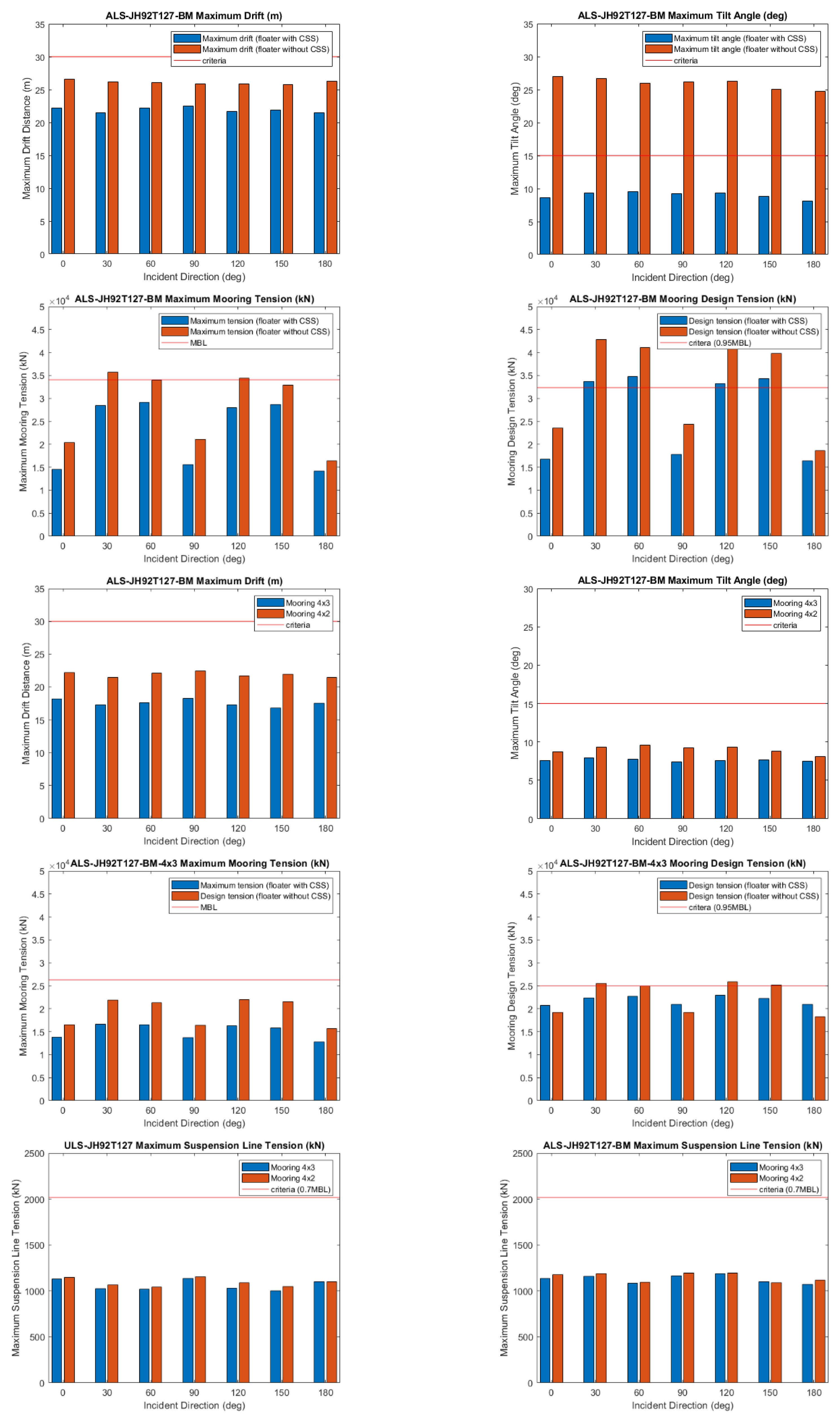
The simulation results should verify whether the drift range is within the 30-meter limit recommended by COREWIND D2.1, whether the maximum tilt angle is less than 15 degrees according to DNV-RP-0286, whether the maximum tension exceeds the minimum breaking force, and whether the ULS mooring design tension meets the DNV standards.
The dynamic response and mooring tension of the platform with and without a counterweight suspension system are compared using a 4×2 mooring system. Additionally, the differences between the 4×3 and 4×2 mooring systems are analyzed. During the simulations, standards and regulations are examined to ensure the design meets compliance requirements.
From Figure 19, the maximum drift range (1) shows that under ULS Condition, both with and without the CSS, the drift range is less than 30 meters. The presence of the CSS effectively reduces the drift range by approximately 20%. The maximum tilt angle (2) indicates that with the counterweight suspension system, the platform resonance is avoided, significantly reducing the dynamic response. The change to a 4×3 mooring configuration (6) further suppresses the maximum tilt angle. Mooring tension, both with and without the CSS (3)(4), shows that the maximum mooring tension of the platform with CSS is significantly improved and meets the design tension requirements. The comparison of the 4×3 mooring configuration (7)(8) also demonstrates significant improvements with the CSS, passing the design criteria. Therefore, under ULS Condition, both the 4×2 and 4×3 mooring configurations with the CSS pass the design criteria.

4.3.2. Accidental Limit State

In this study, the ALS Condition is set to simulate a scenario where a single mooring line breaks under 50-year return period environmental condition, with the highest mooring line tension facing the incoming waves. The simulation results should verify whether the drift range is within the 30-meter limit recommended by COREWIND D2.1, whether the maximum tilt angle is less than 15 degrees according to DNV-RP-0286, whether the maximum tension exceeds the minimum breaking force, and whether the ULS mooring design tension meets the DNV standards.
From Figure 20, the maximum drift range (1) shows that under ALS Condition, the drift range is less than 30 meters regardless of whether CSS is installed. The installation of CSS effectively reduces the drift range by approximately 20%. The maximum tilt angle (2) shows that with CSS installed, resonance of the platform is prevented, significantly reducing the dynamic response. In (6), the change to 4×3 mooring configuration further reduces the maximum tilt angle. The mooring tension (3)(4) indicates that the maximum tension in the mooring lines with CSS installed is significantly improved compared to the design tension. However, at 30, 60, 120, and 150 degrees, it still does not meet the design tension criteria, leading to the adoption of 4×3 mooring configuration. The comparison of 4×3 mooring configuration (7)(8) shows significant improvement with the CSS installed, passing the design criteria. In (9)(10), the maximum tension in the suspension ropes under ULS and ALS Condition also meets the design criteria. Therefore, under ALS Condition, only 4×3 mooring configuration with CSS installed passes the design criteria.
Additionally, this study considers the condition of suspension lines failure. The scenario of a single rope bundle failure at the maximum tension under ULS Condition is examined. The simulation results, as shown in Figure 21, indicate that the stiffness ratio decreases after the failure, leading to significant resonance at a wave period of 9 seconds, as depicted in the low stiffness ratio pitch RAO in Figure 18. This results in a severe reduction in platform stability. However, due to the low mass ratio, the platform does not capsize after the suspension lines failure, and the remaining suspension lines pass the design criteria. In practice, the stability of the barge platform can be enhanced through ballast control, allowing it to endure extreme condition until the severe sea condition end, after which repairs can be carried out.

4.3.3. Serviceability Limit State

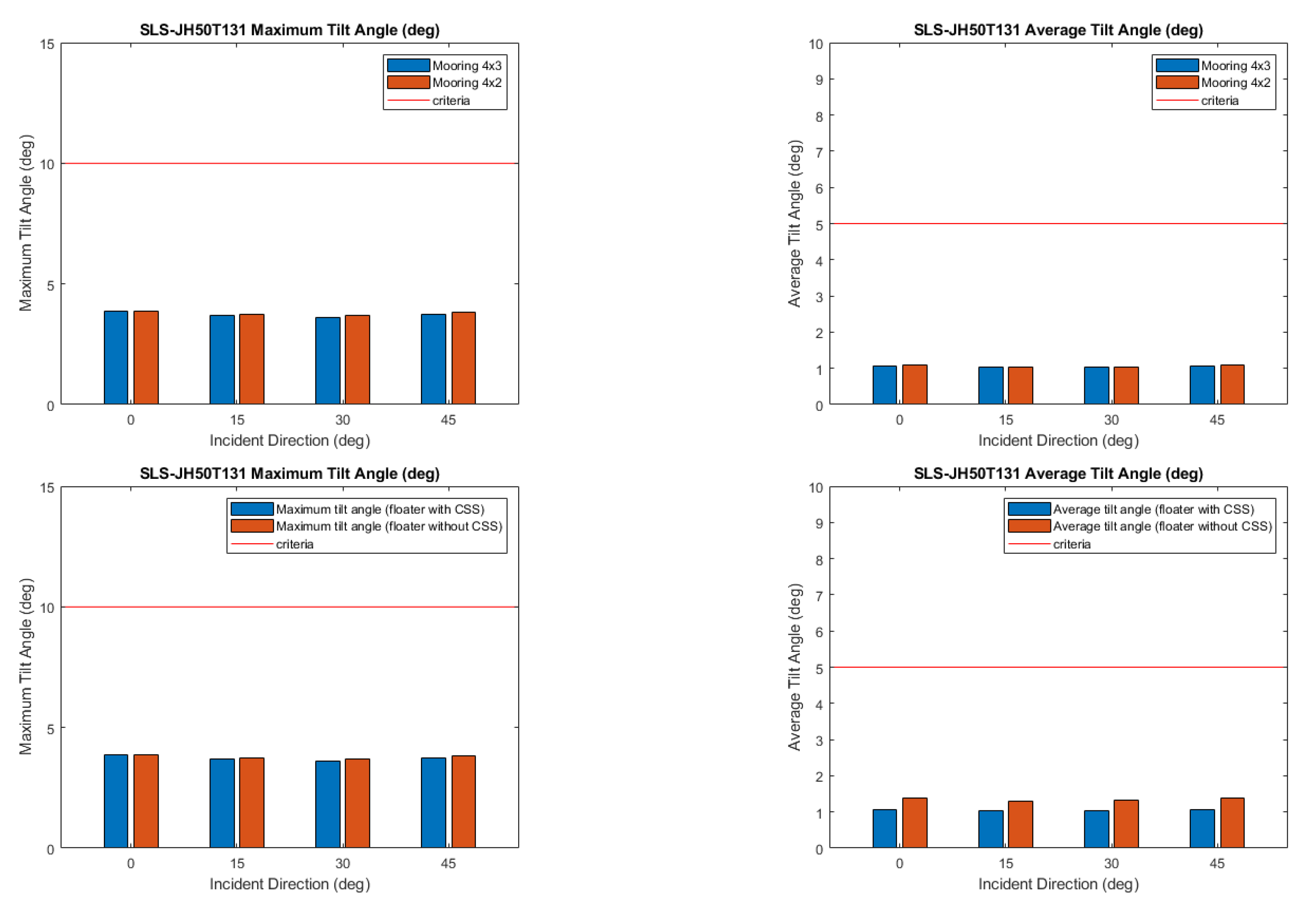
In this study, the SLS Condition is set to the extreme condition of the northeast monsoon. Therefore, the environmental condition is based on the most severe winter wave condition from the 20-year statistical data in the EIA of Winds Of September Floating Offshore Project, combined with the maximum wind thrust. Since the mooring regulations primarily consider ULS, ALS, and FLS Condition, the simulation results only assess whether the maximum tilt angle is less than 10 degrees and the average tilt angle is less than 5 degrees.
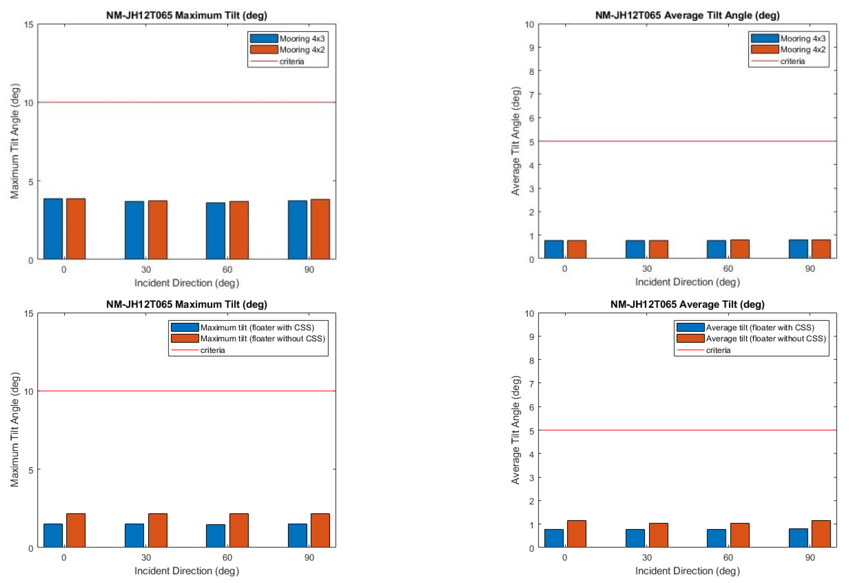
From Figure 22(1) and (2), under different mooring configurations, there is no significant difference in the maximum and average tilt angles under SLS Condition. Figure 22(3) and (4) show that while the maximum tilt angle does not vary significantly with the presence of CSS, the average tilt angle is significantly reduced. This suggests that under the maximum wind thrust SLS Condition, the maximum tilt angle is primarily driven by the tilt caused by maximum wind thrust, and thus CSS primarily provides a significant reduction in the average tilt angle under SLS Condition. Both configurations, with or without CSS, pass the design criteria in SLS Condition.

4.3.4. Normal Sea State

In this study, the Normal Sea State is set based on the average wave conditions of the northeast monsoon. Therefore, the environmental condition is referenced from the 20-year statistical data of winter average wave conditions in the EIA of Winds Of September Floating Offshore Project, along with the annual average wind speed. The simulation results should verify whether the maximum tilt angle is less than 10 degrees and whether the average tilt angle is less than 5 degrees.
Table 22. Environmental load for Normal Sea State.
Table 22. Environmental load for Normal Sea State.
Environmental Condition Normal Sea State
H s ( m ) 1.22
T p ( s ) 4.90
V r e f , T ( m / s ) 8.8
Wind profile NTM
U s u r f a c e ( m / s ) 0.40
Turbine Condition Operation
From Figure 23 (1)(2), it can be seen that under different mooring configurations, the trend is similar between Normal Sea State and SLS Condition, with no significant difference in the maximum and average tilt angles. In Figures 23 (3)(4), it is evident that the maximum and average tilt angles are significantly reduced when equipped with the CSS. Figure 24 shows that under both SLS and Normal Sea State, the maximum drift range is improved with the 4×3 mooring configuration. Regardless of whether the CSS is equipped, the design passes the criteria.

4.3.5. Fatigue Limit State

The fatigue analysis in this study utilizes the 20-year wave statistical data from the EIA of Winds Of September Floating Offshore Project, as shown in Table 23. The load direction is based on the wind rose diagram of the Hsinchu buoy from 1997 to 2011. For wind speed, a rated wind speed of 11.4 m/s is used in conjunction with NTM condition. Regarding ocean currents, the average surface current is 0.4 m/s according to the EIA of Winds Of September Floating Offshore Project. For conservative design, all environmental loads are assumed to be in the same direction as the waves.
The fatigue analysis method in this study uses T-N curves. According to API RP 2SK, the recommended values are m = 3.0 and K = 316 for studless chain; according to the American Bureau of Shipping (ABS), the recommended values for polyester ropes are m = 5.2 and K = 25,000.
Based on the T-N curve values for m and K, and incorporating the accumulated tension variations from environmental conditions, Table 24 provides the cumulative fatigue damage, design fatigue damage, and lifespan for the mooring lines and suspension lines. According to DNV-ST-0437, with a safety factor of DFF = 10, the design fatigue damage is less than 1, thus passing the fatigue standards.

5. Conclusions and Suggestions

5.1. Conclusions

In this study, the characteristics of different types of floating platforms were examined through the literature. Considering the water depth and environmental conditions offshore Hsinchu, semi-submersible platforms and barge-type platforms are identified as the main applicable floating platform types. The barge-type platform was chosen due to its simple manufacturing and lower cost advantages. Although the natural period of a barge-type platform is close to the wave period, which can lead to resonance, this study incorporates the TetraSpar concept by using a counterweight suspension system to alter the natural period of the floating platform and mitigate resonance under extreme sea conditions.
In this study, an initial configuration was used to compare the effects of the CSS in reducing peak values and changing the natural period during free decay tests. Subsequently, regular wave simulations were used to optimize the geometry and stiffness of the counterweight suspension system. Finally, following the standards outlined by DNV and COREWIND, the floating platform, mooring lines, and suspension ropes were tested under irregular waves based on the JONSWAP spectrum in various sea conditions to ensure the design meets international design criteria. Table 25 and Table 26 provide a summary of the criteria check for different configurations under irregular waves.
From Table 25 and Table 26, it can be seen that the floating platform equipped with CSS meets all the design criteria listed in this study under the 4×3 mooring configuration. Under ALS conditions, the 4×2 mooring configuration slightly exceeds the criteria. However, for floating platforms without CSS, neither the 4×2 nor the 4×3 mooring configurations meet the design criteria. Therefore, this study concludes that the optimal configuration is a floating platform equipped with CSS and utilizing the 4×3 mooring configuration.

5.2. Suggestions

In this study, from design to numerical simulation for design criteria checks, it is suggested that future validation should be carried out through hydraulic model testing, as there is no other publicly available data for validating the self-developed platform. Additionally, given the current trend towards larger wind turbines, the design concepts from this study could be applied to the DTU 10MW or IEA 15MW floating offshore wind turbines to meet the needs of commercialization.

Author Contributions

Conceptualization, Ray-Yeng Yang and Yung-Chun Sun; methodology, Ray-Yeng Yang and Yung-Chun Sun; software, Ray-Yeng Yang and Yung-Chun Sun; validation, Ray-Yeng Yang and Yung-Chun Sun; formal analysis, Ray-Yeng Yang and Yung-Chun Sun; investigation, Ray-Yeng Yang and Yung-Chun Sun; resources, Ray-Yeng Yang; data curation, Yung-Chun Sun; writing—original draft preparation, Yung-Chun Sun; writing—review and editing, Ray-Yeng Yang and Yung-Chun Sun; visualization, Ray-Yeng Yang and Yung-Chun Sun; supervision, Ray-Yeng Yang; project administration, Ray-Yeng Yang; funding acquisition, Ray-Yeng Yang; All authors have read and agreed to the published version of the manuscript.

Funding

This research was funded by National Science and Technology Council, Taiwan. Grant number 112-2221-E-006-053-MY3.

Data Availability Statement

Not applicable.

Acknowledgments

The authors are grateful for the support of National Science and Technology Council in Taiwan, under the grant numbers 112-2221-E-006-053-MY3.

Conflicts of Interest

The authors declare no conflict of interest.

References

  1. Ansys, A. (2013). AQWA theory manual. AQWA: Canonsburg, PA, USA.
  2. Borg, M. , Walkusch Jensen, M., Urquhart, S., Andersen, M. T., Thomsen, J. B., & Stiesdal, H. (2020). Technical definition of the Tetraspar demonstrator floating wind turbine foundation. Energies, 13(18), 4911. [CrossRef]
  3. DNV. (2018). DNV-OS-E303 Offshore fibre ropes. DNV.
  4. DNV. (2021). DNV-OS-E301 Position mooring. DNV.
  5. DNV. (2021). DNV-RP-0286 Coupled analysis of floating wind turbines. DNV.
  6. DNV. (2021). DNV-ST-0119 Floating wind turbine structures. DNV.
  7. DNV. (2021). DNV-ST-0437 Loads and site conditions for wind turbines. DNV.
  8. DNV. (2022). DNV-OS-E302 Offshore mooring chain. DNV.
  9. DNV. (2023). DNV-ST-N001 Marine operations and marine warranty. DNV.
  10. Environmental Protection Administration, Taiwan. (2017). Environment impact assessment of W1N. https://eiadoc.moenv.gov.tw/eiaweb/10.aspx? 1060.
  11. Environmental Protection Administration, Taiwan. (2023). Environment impact assessment of the Winds Of September Floating Offshore Project. https://eiadoc.moenv.gov.tw/eiaweb/11.aspx? 1120.
  12. Faraggiana, E. Giorgi, G., Sirigu, M., Ghigo, A., Bracco, G., Mattiazzo, G. (2022). A review of numerical modelling and optimisation of the floating support structure for offshore wind turbines. Journal of Ocean Engineering and Marine Energy, 8(3), 433‐456. [CrossRef]
  13. Hasselmann, K. , Barnett, T. P., Bouws, E., Carlson, H., Cartwright, D. E., Enke, K.,... Kruseman, P. (1973). Measurements of wind-wave growth and swell decay during the Joint North Sea Wave Project (JONSWAP). Ergaenzungsheft zur Deutschen Hydrographischen Zeitschrift, Reihe A.
  14. Hole, K. B. (2018). Design of mooring systems for large floating wind turbines in shallow water. NTNU.
  15. International Electrotechnical Commission. (2019). IEC 61400-1:2019: Wind energy generation systems—Part 1: Design requirements.
  16. Ikhennicheu, M. L. , Doole, S., Borisade, F., Matha, D., Dominguez, J. L., Durán Vicente, R., Habekost, T., Ramirez, L., Potestio, S., Molins, C., & Trubat, P. (2020). D2.1 Review of the state of the art of mooring and anchoring designs, technical challenges and identification of relevant DLCs. Technical Report. COREWIND Project. Available online: https://corewind.eu/wp-content/uploads/files/publications/COREWIND-D2.1-Review-of-the-state-of-the-art-of-mooring-and-anchoring-designs.
  17. Johannessen, M. (2018). Concept study and design of floating offshore wind turbine support structure. In.
  18. Jonkman, B. (2014). TurbSim user’s guide v2.00.00. National Renewable Energy Laboratory.
  19. Jonkman, J. , Butterfield, S., Musial, W., & Scott, G. (2009). Definition of a 5-MW reference wind turbine for offshore system development. https://www.osti.gov/biblio/947422.
  20. Justad, A. A. (2017). Wind turbines for the power supply for offshore fish farms: A case study for the Norwegian west coast. Universitetet i Agder; University of Agder.
  21. Lambert, D. L. , & Zuo, L. Vibration reduction of semisubmersible floating wind turbine using optimized tuned mass and tuned inerter dampers. IFAC-PapersOnLine, 2023, 56, 229–234. [Google Scholar] [CrossRef]
  22. Lee, Y.-L. , & Tjhung, T. Rainflow cycle counting techniques. Metal Fatigue Analysis Handbook: Practical Problem-solving Techniques for Computer-aided Engineering, 2011, 89.
  23. Li, C. , Zhuang, T. Y., Zhou, S. T., Xiao, Y. Q., & Hu, G. Passive vibration control of a semi-submersible floating offshore wind turbine. Applied Sciences-Basel, 2017, 7, 509. [Google Scholar] [CrossRef]
  24. Lin, T.-H. , & Yang, R. -Y. Stability analysis and environmental influence evaluation on a hybrid mooring system for a floating offshore wind turbine. Journal of Marine Science and Engineering 2023, 11, 2236. [Google Scholar] [CrossRef]
  25. Madsen, P. H. , & Risø, D. (2008). Introduction to the IEC 61400-1 standard. Risø National Laboratory, Technical University of Denmark.
  26. Morison, J. R. , Johnson, J. W., & Schaaf, S. A. The force exerted by surface waves on piles. Journal of Petroleum Technology, 1950, 2, 149–154. [Google Scholar] [CrossRef]
  27. Orcina Ltd. (n.d.). OrcaFlex manual. Daltongate, Ulverston, Cumbria LA12 7AJ, UK.
  28. Ou, S.-H. (1977). Parametric determination of wave statistics and wave spectrum of gravity waves. Tainan Hydraulics Laboratory of Water Resources Planning Commission-Ministry.
  29. Park, G. , Oh, K. -Y., & Nam, W. Parent nested optimizing structure for vibration reduction in floating wind turbine structures. Journal of Marine Science and Engineering, 2020, 8, 876. [Google Scholar] [CrossRef]
  30. Pereyra, B. T. (2018). Design of a counter weight suspension system for the Tetraspar floating offshore wind turbine. NTNU.
  31. Ward, J. C. , Goupee, A. J., Viselli, A. M., & Dagher, H. J. The effect of counterweight mass and line stiffness on the global dynamic performance of a hanging-mass floating offshore wind turbine. Journal of Offshore Mechanics and Arctic Engineering, 2021, 143, 052001. [Google Scholar] [CrossRef]
Figure 1. Classification of floating platforms.
Figure 1. Classification of floating platforms.
Preprints 140244 g001
Figure 2. Types of floating platforms.
Figure 2. Types of floating platforms.
Preprints 140244 g002
Figure 3. Design concept of Suspensa OctaFloat.
Figure 3. Design concept of Suspensa OctaFloat.
Preprints 140244 g003
Figure 4. Theoretical framework of Ansys AQWA.
Figure 4. Theoretical framework of Ansys AQWA.
Preprints 140244 g004
Figure 5. Lumped mass method in OrcaFlex.
Figure 5. Lumped mass method in OrcaFlex.
Preprints 140244 g005
Figure 6. Schematic diagram of load-time domain history.
Figure 6. Schematic diagram of load-time domain history.
Preprints 140244 g006
Figure 7. Rainflow cycle counting method.
Figure 7. Rainflow cycle counting method.
Preprints 140244 g007
Figure 8. Taiwan Wind Mean Power Density Map (Retrieve from: GLOBAL WIND ATLAS).
Figure 8. Taiwan Wind Mean Power Density Map (Retrieve from: GLOBAL WIND ATLAS).
Preprints 140244 g008
Figure 9. NREL 5-MW Reference Wind Turbine.
Figure 9. NREL 5-MW Reference Wind Turbine.
Preprints 140244 g009
Figure 10. NREL 5-MW Reference Wind Turbine Thrust Curve (right) (Resource: Chuang et al. (2021)).
Figure 10. NREL 5-MW Reference Wind Turbine Thrust Curve (right) (Resource: Chuang et al. (2021)).
Preprints 140244 g010
Figure 11. SuspensaOctaFloat perspective view (including ballast).
Figure 11. SuspensaOctaFloat perspective view (including ballast).
Preprints 140244 g011
Figure 12. Scale of Suspensa OctaFloat with NREL 5-MW wind turbine (side view).
Figure 12. Scale of Suspensa OctaFloat with NREL 5-MW wind turbine (side view).
Preprints 140244 g012
Figure 13. 4×2 Mooring system configuration in site Hsinchu (top view) (Unit: m).
Figure 13. 4×2 Mooring system configuration in site Hsinchu (top view) (Unit: m).
Preprints 140244 g013
Figure 14. 4×3 Mooring system configuration in site Hsinchu (top view) (Unit: m).
Figure 14. 4×3 Mooring system configuration in site Hsinchu (top view) (Unit: m).
Preprints 140244 g014
Figure 15. Power spectral density for six degrees of freedom.
Figure 15. Power spectral density for six degrees of freedom.
Preprints 140244 g015
Figure 16. Comparison of different counterweight geometries for surge, heave, and pitch DOFs.
Figure 16. Comparison of different counterweight geometries for surge, heave, and pitch DOFs.
Preprints 140244 g016
Figure 17. Comparison of surge, heave, and pitch RAO at the same stiffness ratio.
Figure 17. Comparison of surge, heave, and pitch RAO at the same stiffness ratio.
Preprints 140244 g017
Figure 18. Comparison of surge, heave, and pitch RAO at different stiffness ratios.
Figure 18. Comparison of surge, heave, and pitch RAO at different stiffness ratios.
Preprints 140244 g018
Figure 19. Validation of ULS Condition. (1)(2)(3)(4) Compare 4×2 mooring system with and without CSS for dynamic response and mooring tension. (5)(6) Compare the dynamic response of the platform between 4×2 and 4×3 mooring configurations. (7)(8) Compare the mooring tension of 4×3 mooring configuration with and without CSS.
Figure 19. Validation of ULS Condition. (1)(2)(3)(4) Compare 4×2 mooring system with and without CSS for dynamic response and mooring tension. (5)(6) Compare the dynamic response of the platform between 4×2 and 4×3 mooring configurations. (7)(8) Compare the mooring tension of 4×3 mooring configuration with and without CSS.
Preprints 140244 g019aPreprints 140244 g019b
Figure 20. Validation of ALS Condition. (1)(2)(3)(4) Compare 4×2 mooring system with and without CSS. (5)(6) Compare the dynamic response of platform between 4×2 and 4×3 mooring configurations. (7)(8) Compare the mooring tension of 4×3 mooring configuration with and without the CSS. (9)(10) Compare the suspension ropes tension.
Figure 20. Validation of ALS Condition. (1)(2)(3)(4) Compare 4×2 mooring system with and without CSS. (5)(6) Compare the dynamic response of platform between 4×2 and 4×3 mooring configurations. (7)(8) Compare the mooring tension of 4×3 mooring configuration with and without the CSS. (9)(10) Compare the suspension ropes tension.
Preprints 140244 g020
Figure 21. Maximum tilt angle (left) and suspension line tension (right) under suspension lines failure.
Figure 21. Maximum tilt angle (left) and suspension line tension (right) under suspension lines failure.
Preprints 140244 g021
Figure 22. Validation of SLS Condition. (1)(2) compare 4×2 and 4×3 mooring configurations, while (3)(4) compare floater with and without CSS under 4×3 mooring configuration.
Figure 22. Validation of SLS Condition. (1)(2) compare 4×2 and 4×3 mooring configurations, while (3)(4) compare floater with and without CSS under 4×3 mooring configuration.
Preprints 140244 g022
Figure 23. Validation of Normal Sea State. (1)(2) compare 4×2 and 4×3 mooring configurations, while (3)(4) compare floater with and without CSS under 4×3 mooring configuration.
Figure 23. Validation of Normal Sea State. (1)(2) compare 4×2 and 4×3 mooring configurations, while (3)(4) compare floater with and without CSS under 4×3 mooring configuration.
Preprints 140244 g023
Figure 24. Maximum drift range under different mooring configurations for SLS (left) and Normal Sea State (right) during operational conditions.
Figure 24. Maximum drift range under different mooring configurations for SLS (left) and Normal Sea State (right) during operational conditions.
Preprints 140244 g024
Table 1. Natural periods of different floating platform types (Resource: DNV-RP-0286).
Table 1. Natural periods of different floating platform types (Resource: DNV-RP-0286).
Type of motion Spar Semi-submersible TLP Barge
Units [s] [s] [s] [s]
Surge ~100 (catenary) ~100 (catenary) 15-60 2) ~100
Heave 25-40 3) 15-25 3) 1-2 5-10
Pitch 25-40 3) 25-40 3) 2-5 9-16
Yaw 5-20 1) 50-80 1) 8-20 2) 50-100 1)
1)
Yaw frequency is sensitive to mean line tension, water depth and mooring attachment point. Dependency maybe higher for shallow water (catenary).
2)
The large range in TLP periods reflect the sensitivity to water depth.
3)
Typically try to avoid wave frequency range
Table 2. Load factor requirements for design of mooring lines (DNV-ST-0119).
Table 2. Load factor requirements for design of mooring lines (DNV-ST-0119).
Limit state Load factor Consequence class
1 2
ULS γ m e a n 1.3 1.5
ULS γ d y n 1.75 2.2
ALS γ m e a n 1.00 1.00
ALS γ d y n 1.10 1.25
Table 3. Criteria be inspected in this study.
Table 3. Criteria be inspected in this study.
Standard Requirements Turbine State
Max tilt < ± 10 ° Operational
Mean tilt < ± 5 ° Operational
Max tilt < ± 15 ° Parking
Max drift < 30 m Both
Mooring design : S c > T d ULS and ALS
Fiber ropes design T m a x < 0.7 S m b s ULS and ALS
Table 4. Minimum requirements for design fatigue factors, DFF, for mooring line and steel tendon (DNV-ST-0119).
Table 4. Minimum requirements for design fatigue factors, DFF, for mooring line and steel tendon (DNV-ST-0119).
Consequence class DFF
1 5
2 10
Table 5. Environmental conditions in site Hsinchu, Taiwan.
Table 5. Environmental conditions in site Hsinchu, Taiwan.
Condition Normal Northeast monsoon (SLS) 50-year return period
(ULS)
H s   ( m / s ) 1.22 5.0 9.2
T p   ( s ) 6.5 13.1 12.7
V r e f   ( m / s ) 8.8 11.4 57
Wind profile NTM NTM EWM
U c   ( m / s ) 0.4 0.88 1.159
Turbine Operating Operating Parking
(Resource: EIA of Winds Of September Floating Offshore Project; NREL 5-MW Reference Offshore Wind Turbine).
Table 7. Parameters of Suspensa OctaFloat.
Table 7. Parameters of Suspensa OctaFloat.
Parameters Unit Value
Circumcircle diameter [m] 48
Freeboard [m] 5.4
Draft [m] 10.8
Floater weight [ton] 12,880
Turbine [-] NREL 5-MW
Suspended counterweight [ton] 2,000
CG (platform including ballast) [m] (-0.57,0,-7.15)
Table 8. 4×2 Mooring system configuration.
Table 8. 4×2 Mooring system configuration.
Parameter Value (unit)
Selected Site Hsinchu, Taiwan
Mooring system type Catenary type
Water depth 100 (m)
Anchor radius 720 (m)
Fairlead depth 8 (m)
Chain size and grade 200 (mm), R4S
MBL 34,048 (kN)
Table 9. 4×3 Mooring system configuration.
Table 9. 4×3 Mooring system configuration.
Parameter Value (unit)
Selected Site Hsinchu, Taiwan
Mooring system type Catenary type
Water depth 100 (m)
Anchor radius 720 (m)
Fairlead depth 8 (m)
Chain size and grade 180 (mm), R4
MBL 26,277.7 (kN)
Table 10. Formulas for synthetic rope MBL and axial stiffness (d is in meters).
Table 10. Formulas for synthetic rope MBL and axial stiffness (d is in meters).
Synthetic rope type MBL (kN) Axial stiffness (kN)
Nylon ropes (wet) 139357 d 2 1.18 × 10 5 d 2
Polyester ropes 170466 d 2 1.09 × 10 6 d 2
Polypropylene ropes 105990 d 2 1.06 × 10 6 d 2
Table 11. Counterweight suspension system preliminary design parameters.
Table 11. Counterweight suspension system preliminary design parameters.
Symbol L1(24,0), L2(0,24), L3(-24,0), L4(0,-24) (x,y: fairlead position)
Material Polyester rope bundle
Depth of counterweight 60.8 m under S.W.L. (top of counterweight)
Counterweight Cylinder geometry
Table 12. Case symbol of counterweight suspension system optimization.
Table 12. Case symbol of counterweight suspension system optimization.
Case symbol Counterweight height Counterweight diameter
H15D160 1.5 m 16.0 m
H25D120 2.5 m 12.0 m
H35D100 3.5 m 10.0 m
H45D090 4.5 m 9.0 m
H60D080 6.0 m 8.0 m
H75D070 7.5 m 7.0 m
H90D065 9.0 m 6.5 m
NCSS - -
Table 13. Case symbol of suspension line optimization.
Table 13. Case symbol of suspension line optimization.
Case symbol Suspension line nominal diameter Number of ropes
D130N40 130 mm 40 (10 ropes per bundle)
D130N48 130 mm 48 (12 ropes per bundle)
D130N56 130 mm 56 (14 ropes per bundle)
D120N56 120 mm 56 (14 ropes per bundle)
D140N40 140 mm 40 (10 ropes per bundle)
NCSS - -
Table 14. Case symbol of irregular wave simulation.
Table 14. Case symbol of irregular wave simulation.
Case symbol Significant wave height Peak period Direction(deg)
ULS-JH92T127 9.2 m 12.7 sec 0,30,60,90,120,150,180
ALS-JH92T127-BS 9.2 m 12.7 sec 0,30,60,90,120,150,180
ALS-JH92T127-BM 9.2 m 12.7 sec 0,30,60,90,120,150,180
SLS-JH50T131 5.0 m 13.1 sec 0,15,30,45
NM-JH12T065 1.22 m 6.5 sec 0,30,60,90
Table 15. Natural period of 6 DOFs (unit: second).
Table 15. Natural period of 6 DOFs (unit: second).
Natural Period Surge Sway Heave Roll Pitch Yaw
With CSS 46.16
42.86
46.16
42.86
9.84
7.31
18.75
8.70
18.75
8.83
24.00
Without CSS 40.01 40.01 9.84
7.23
12.77 13.05 23.08
(CSS: Counterweight suspension system).
Table 16. Counterweight geometry optimization trials.
Table 16. Counterweight geometry optimization trials.
Case symbol Counterweight height Counterweight diameter Moment of inertia I x x = I y y   ( t e · m 2 )
H15D160 1.5 m 16.0 m 64,000.0
H25D120 2.5 m 12.0 m 36,000.0
H35D100 3.5 m 10.0 m 25,000.0
H45D090 4.5 m 9.0 m 20,250.0
H60D080 6.0 m 8.0 m 16,000.0
H75D070 7.5 m 7.0 m 12,250.0
H90D065 9.0 m 6.5 m 10,562.5
NCSS - - -
Table 19. Counterweight suspension system detail configuration.
Table 19. Counterweight suspension system detail configuration.
Material Polyester rope bundle
Nominal diameter 130 mm
Number of ropes 48 (4 × 12)
Stiffness ratio κ = 53.36
MBL 2,880.88kN
Counterweight geometry Cylinder—H75D070
Table 20. Environmental load for ULS Condition.
Table 20. Environmental load for ULS Condition.
Environmental Condition ULS
H s ( m ) 9.2
T p ( s ) 12.7
V r e f , T ( m / s ) 57
Wind profile EWM
U s u r f a c e ( m / s ) 1.119
Turbine Condition Parking
Table 21. Environmental load for SLS Condition.
Table 21. Environmental load for SLS Condition.
Environmental Condition SLS
H s ( m ) 5.0
T p ( s ) 13.1
V r e f , T ( m / s ) 11.4
Wind profile NTM
U s u r f a c e ( m / s ) 0.88
Turbine Condition Operation
Table 23. Monthly wave height statistics of Hsinchu Buoys (2002~2021).
Table 23. Monthly wave height statistics of Hsinchu Buoys (2002~2021).
Month. Average significant wave height ( H s ) (m) Average wave period ( T z ) (sec) Load direction (deg) Exposure Time (hr)
January 1.3 5.0 0 744
February 1.2 4.9 0 672
March 1.0 4.7 0 744
April 0.8 4.5 22.5 720
May 0.6 4.3 22.5 744
June 0.7 4.2 90 720
July 0.6 4.2 90 744
August 0.6 4.5 90 744
September 0.9 4.8 0 720
October 1.2 4.9 0 744
November 1.2 4.9 0 720
December 1.4 5.0 0 744
(References: EIA of Winds Of September Floating Offshore Project, Central Weather Bureau).
Table 24. Maximum fatigue damage of mooring line and suspension line.
Table 24. Maximum fatigue damage of mooring line and suspension line.
Mooring configuration Material Lifespan (years) Cumulated damage D C Design damage D D Criteria
4 × 2 Chain 9.58E+02 1.04E-03 1.04E-02 Pass
Polyester (suspension line) 3.15E+07 3.17E-08 3.17E-07 Pass
4 × 3 Chain 2.44E+03 4.09E-04 4.09E-03 Pass
Polyester (suspension line) 3.45E+07 2.90E-08 2.90E-07 Pass
Table 25. Criteria check table for turbine parking conditions.
Table 25. Criteria check table for turbine parking conditions.
Cases Mooring configuration Max drift Max tilt angle Design Tension Suspension line
ULS-JH92T127 With CSS 4 × 2 Pass Pass Pass Pass
4 × 3 Pass Pass Pass Pass
ALS-JH92T127-BM 4 × 2 Pass Pass Fail Pass
4 × 3 Pass Pass Pass Pass
ULS-JH92T127 Without CSS 4 × 2 Pass Fail Fail -
4 × 3 Pass Fail Fail -
ALS-JH92T127-BM 4 × 2 Pass Fail Fail -
4 × 3 Pass Fail Fail -
Table 26. Criteria check table for operational conditions.
Table 26. Criteria check table for operational conditions.
Cases Mooring configuration Max drift Max tilt angle Average tilt angle Suspension line
SLS-JH50T131 With CSS 4 × 2 Pass Pass Pass Pass
4 × 3 Pass Pass Pass Pass
NM-JH12T065 4 × 2 Pass Pass Pass Pass
4 × 3 Pass Pass Pass Pass
SLS-
JH50T131
Without CSS 4 × 2 Pass Pass Pass -
4 × 3 Pass Pass Pass -
NM-JH12T065 4 × 2 Pass Pass Pass -
4 × 3 Pass Pass Pass -
Disclaimer/Publisher’s Note: The statements, opinions and data contained in all publications are solely those of the individual author(s) and contributor(s) and not of MDPI and/or the editor(s). MDPI and/or the editor(s) disclaim responsibility for any injury to people or property resulting from any ideas, methods, instructions or products referred to in the content.
Copyright: This open access article is published under a Creative Commons CC BY 4.0 license, which permit the free download, distribution, and reuse, provided that the author and preprint are cited in any reuse.
Prerpints.org logo

Preprints.org is a free preprint server supported by MDPI in Basel, Switzerland.

Subscribe

Disclaimer

Terms of Use

Privacy Policy

Privacy Settings

© 2026 MDPI (Basel, Switzerland) unless otherwise stated