Preprint
Article

This version is not peer-reviewed.

Development of High Glucosinolates-Retaining Lactic Acid Bacteria Co-Fermented Cabbage Products

A peer-reviewed article of this preprint also exists.

Submitted:

16 November 2024

Posted:

18 November 2024

You are already at the latest version

Abstract
Cabbage (Brassica oleracea var. capitata) is enriched with dietary fiber, vitamins, trace elements, and functional components like glucosinolates, essential for promoting health. This study aims to enhance the health benefits and nutritional content of cabbage through lactic acid fermentation using a bioreactor, with a particular focus on glucosinolates retention. The fermentation utilized a consortium of Lactiplantibacillus plantarum, known for its robust acidifying capabilities, and antioxidant-rich strains Lactobacillus acidophilus and Bifidobacterium longum. A 5-L bioreactor facilitated the controlled fermentation process. The efficacy of glucosinolate retention was quantitatively assessed alongside the analysis of antioxidant properties via DPPH and ABTS assays. Results indicated a notable enhancement in antioxidant capacity with a 16.32% increase in the DPPH radical scavenging rate compared to non-fermented cabbage. Glucosinolate retention was impressively sustained at 82.02% in bioreactor conditions. Storage stability tests conducted at 4°C revealed minimal degradation of glucosinolates, maintaining significant levels up to 14 days. This study underscores the potential of bioreactor-facilitated lactic acid fermentation in preserving and enhancing the nutritional and functional qualities of cabbage, thereby extending its market value and promoting sustainable agricultural practices.
Keywords: 
;  ;  ;  ;  

1. Introduction

Cabbage, a member of the Brassicaceae family, is characterized by its short growing period, easy availability, low cost, and high nutritional value, making it one of the most widely cultivated vegetables globally [1]. In 2020, global cabbage production reached 71 million tons, with major consumption areas being Asian countries such as Indonesia, South Korea and China [2]. Glucosinolates, secondary metabolites widely found in Brassicaceae plants, have been documented for their antioxidant properties, cardiovascular disease prevention, and anti-diabetic effects. Furthermore, they exhibit significant non-organ-specific anticancer activity in humans [3]. However, glucosinolates are prone to degradation or loss during cabbage processing due to the hydrolytic action of the myrosinase [4]. Therefore, it is necessary to develop a processing method that preserves the nutritional components of cabbage.
Lactic acid fermentation alters the chemical composition of cabbage by changing its organic acids, polysaccharides, free amino acids, phenolic compounds, and flavonoids [5]. During fermentation, the environment's pH is lowered due to the rapid production of organic acids by lactic acid bacteria, rendering myrosinase inactive at pH levels below 5. This inhibits the degradation of glucosinolates [6]. Vegetable fermentation typically employs solid-state fermentation systems, which promote microbial growth on the surface of the fermentation substrate. Solid-state fermentation is favored due to its low cost, ease of operation, and minimal liquid waste discharge [7]. Co-fermentation refers to the mixed culture of specially designated different microorganisms under aseptic conditions, either in anaerobic or aerobic environments [8]. In a co-fermentation, the interactions between microorganisms, including synergistic metabolism, mutualism, competition, and the influence of signal molecules, antibiotics, and toxins in the metabolites, affect the yield of target products and the generation of new substances within the co-fermentation system [5]. Co-fermentation technique has been applied in food, brewing and pharmaceutical industries [9,10,11].
To address the cabbage overproduction, this study aims to develop a fermented cabbage product with an extended shelf life and higher added value using microbial fermentation. Aiming to retain the glucosinolates of the fermented cabbage. Three lactic acid bacteria were used for co-fermentation include Lactiplantibacillus plantarum, known for its strong acid-producing ability, and two strains with significant antioxidant capacity, Lactobacillus acidophilus and Bifidobacterium longum. Finally, the fermentation process will be scaled up using a 5-L bioreactor, and the product's storage stability and probiotic activity will be evaluated.

2. Results

2.1. Measurement of Antioxidant Activity of Lactic Acid Fermented Cabbage.

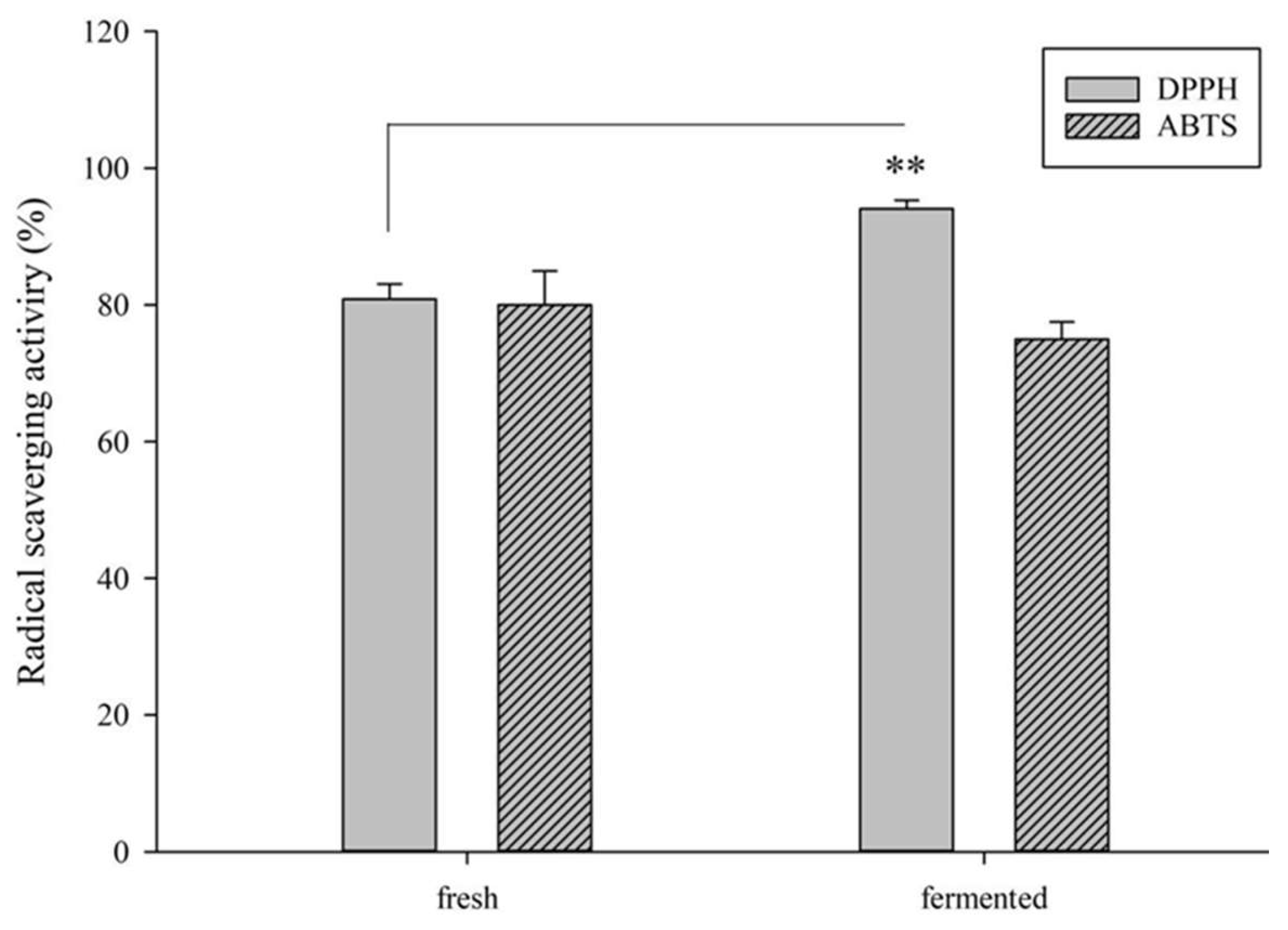
The results of the antioxidant activity before and after the fermentation of cabbage are summarized in (Figure 1). The DPPH radical scavenging rate increased by 16.32%. In contrast, the ABTS+ radical scavenging rate of the cabbage decreased by 6.27% after lactic acid fermentation (p > 0.05). It is hypothesized that the difference in the trends of antioxidant activity between the fresh cabbage and the fermented samples may be attributed to the water-soluble antioxidants present in fresh cabbage. In the processing of salted and dehydrated cabbage, some water-soluble antioxidants may have been lost, leading to a decrease in the ABTS+ radical scavenging capacity of the fermented cabbage. However, during the lactic acid fermentation process, extracellular polysaccharides with antioxidant properties are produced. Additionally, the enzymatic activity of the bacteria may facilitate the extraction of more fat-soluble antioxidants from the samples during ethanol extraction, resulting in an increased DPPH radical scavenging capacity.
The study investigated the changes in antioxidant activity of German sauerkraut fermented with Lactobacillus plantarum and Lactobacillus mesenteroides, either individually or in co-fermentation [12]. The results indicated that the highest antioxidant activity was achieved in the group fermented with L. plantarum alone for 5 days, and both the individual and co- fermentation groups exhibited higher antioxidant activity compared to the unfermented one. Similarly, previous study explored the effects of lactic acid fermentation on the glucosinolate content and antioxidant activity of local mustard greens in Korea [13]. Their study found that the ABTS+ radical scavenging ability of mustard greens decreased by approximately 4.74% during the first 7 days of fermentation. However, there was a significant upward trend in antioxidant capacity by day 14. The authors suggested that the loss of activity in some water-soluble antioxidants during the initial fermentation phase was due to changes in pH and temperature. As fermentation, the enzymatic reaction of lactic acid bacteria helped to release more antioxidants from the tissue. These findings align with the results of this study, confirming that lactic acid fermentation can enhance the antioxidant activity of cabbage samples, although some water-soluble antioxidant components may be lost during processing.
Figure 1. The antioxidant activity of fresh cabbage and lactic fermented cabbage. Each value was expressed as means (n = 3) and standard deviations were shown as error bar. Values marked by ** (p < 0.01) are significantly different by independent sample T test. fresh: fresh cabbage.
Figure 1. The antioxidant activity of fresh cabbage and lactic fermented cabbage. Each value was expressed as means (n = 3) and standard deviations were shown as error bar. Values marked by ** (p < 0.01) are significantly different by independent sample T test. fresh: fresh cabbage.
Preprints 139838 g001

2.2. Total Phenolic Compounds in Lactic Acid Fermented Cabbage.

The analysis of phenolic compound content in cabbage before and after fermentation is summarized in (Figure 2). The total phenolic compound increased slightly by 1.60% following fermentation. In contrast, the content of free phenols exhibited a significant increase of 41.13%, while the content of bound phenols significantly decreased by 49.59% (p < 0.05). In vegetables, phenolic compounds often exist in glycoside form, bound to sugars. During fermentation, the β-glucosidase enzyme produced by lactic acid bacteria can convert some of these bound phenolic compounds into free forms, thereby enhancing the free phenolic content of the fermented product while reducing the bound phenol content [14].
The research studied the changes in phenolic compound content during the fermentation of mustard greens to produce Korean kimchi. Their results indicated that the total phenolic compound content increased by 0.70% after one month of fermentation, showing no significant difference before and after fermentation [15]. Similarly, previous study investigated the effects of adding different solutes on the fermentation conditions and antioxidant activity of German sauerkraut [16]. Their findings revealed that the addition of 2.0% salt significantly increased the free phenol content from 0.46 mg GAE/g to 4.51 mg GAE/g after fermentation. These studies echo the findings of this experiment, demonstrating that while lactic acid fermentation may not significantly affect the total phenolic compound content in cruciferous vegetables, the hydrolysis of phenolic compounds and other bonding substances by lactic acid bacterial enzymes can significantly enhance the free phenol content.
Figure 2. Phenolic contents of fresh cabbage and lactic fermented cabbage. Each value was expressed as means (n = 3) and standard deviations were shown as error bar. Values marked by * (p < 0.05) and ** (p < 0.01) are significantly different by independent sample T test. fresh: fresh cabbage.
Figure 2. Phenolic contents of fresh cabbage and lactic fermented cabbage. Each value was expressed as means (n = 3) and standard deviations were shown as error bar. Values marked by * (p < 0.05) and ** (p < 0.01) are significantly different by independent sample T test. fresh: fresh cabbage.
Preprints 139838 g002

2.3. Total Flavonoid Content in Lactic Acid Fermented Cabbage.

The results of total flavonoid compounds in cabbage before and after fermentation are presented in (Figure 3). The total flavonoid content increased by 24.44% after fermentation. The glycosidases from lactic acid bacteria can degrade the flavonoid glycosides and some phenolic compounds in cabbage, producing free flavonoids, while esterase and tannase help break down flavonol-gallic acid complexes [17]. Additionally, pectinases from lactic acid bacteria can alter the cell wall structure, facilitating the release of more antioxidants. All of these enzymatic actions contribute to the increased total flavonoid content in fermented cabbage [18].
The research reported the effect of lactic acid fermentation on the total flavonoid content in cabbage [19]. The results showed that the total flavonoid content before and after fermentation was 0.29 μg QE/mg and 0.3 μg QE/mg, respectively. Although there was an upward trend, the difference was not significant compared to the pre-fermentation levels. Previous study examined the antioxidant activity of purple cabbage after fermentation with three strains of Lactobacillus. Their results indicated that within 24 hours of fermentation, there was no significant difference in total flavonoid content compared to the unfermented group [20]. However, after 48 hours of fermentation, all lactic acid bacteria groups showed a significant increasing trend in total flavonoid content, with the highest content in the group fermented with L. acidophilus. The findings of the above studies, along with the results presented here, confirm that lactic acid fermentation of cabbage helps to enhance total flavonoid content, thereby potentially increasing the antioxidant capacity and functional components of the product. Whether this increase is significant depends on the species of lactic acid bacteria used and the fermentation time.
Figure 3. The total flavonoid contents of fresh cabbage and lactic fermented cabbage. Each value was expressed as means (n = 3) and standard deviations were shown as error bar. fresh: fresh cabbage.
Figure 3. The total flavonoid contents of fresh cabbage and lactic fermented cabbage. Each value was expressed as means (n = 3) and standard deviations were shown as error bar. fresh: fresh cabbage.
Preprints 139838 g003

2.4. Measurement of Total Glucosinolates Retention in Lactic Acid Fermented Cabbage under Different Production Processes and Fermentation Conditions.

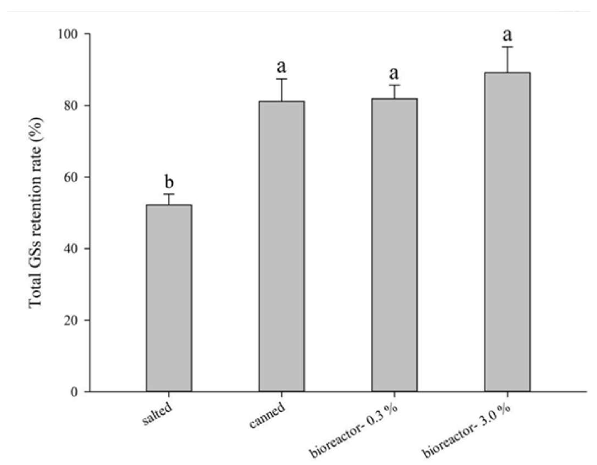
The results of the total glucosinolates retention in lactic acid fermented cabbage produced by different processes are shown in (Figure 4). The total glucosinolates retention in small-scale production samples was approximately 81.12%, compared to only 52.16% in traditional salted samples that were not fermented, confirming that the lactic acid produced by lactic acid bacteria during the fermentation process can lower the pH of the fermentation environment, rendering the inactivation of enzymes that hydrolyzes glucosinolatess, thereby enhancing the total glucosinolates retention in fermented cabbage. For samples produced using a bioreactor, the total glucosinolates retention was 89.16%, with no significant difference compared to small-scale fermentation samples. The results demonstrate that by scaling up in a bioreactor, the total glucosinolates retention can be maintained at the same level. However, the need to cultivate a large number of lactic acid bacteria for scaled-up production results in high production costs, necessitating tests to determine if the total inoculum can be reduced in large-scale production, using the content of functional components as a quality assessment indicator. When the total inoculum for fermentation was reduced from 3.0% (w/w) of the total weight of cabbage to 0.3% (w/w), the total glucosinolates retention in lactic acid fermented cabbage was 81.87%, with no significant difference. This result confirms that under reduced initial inoculum conditions, the bioreactor, due to its aeration and stirring capabilities, allows lactic acid bacteria to grow rapidly as a dominant strain in the fermentation environment.
In a study by Rayhane in 2019, the production of 6-pentyl-α-pyrone, lipase activity, amylase activity, and spore counts were investigated after fermenting mixed substrates with Trichoderma asperellum in flasks, glass tube columns, and bioreactors. The experimental results showed that T. asperellum achieved the highest concentration of the target metabolite (7.36 mg/g), enzyme activity, and spore count (8.54 × 10^9 spores/g) after 92 hours of fermentation in a solid-state bioreactor. The solid-state bioreactor can regulate humidity, airflow, and temperature, maintaining conditions optimal for microbial growth, thereby enhancing fermentation performance and extracellular enzyme activity [21].
Figure 4. The total glucosinolates retention of lactic fermented cabbage produced by different processes. Each value was expressed as means (n = 3) and standard deviations were shown as error bar. Values marked by different alphabet are significantly different by Duncan’s multiple range test (p < 0.05). salted: dehydrated cabbage by salted; canned: lactic fermented cabbage produced via small scale production; bioreactor- 0.3%: lactic fermented cabbage produced via 5 L bioreactor with 0.3% microbial inoculation size; bioreactor- 3.0%: lactic fermented cabbage produced via 5 L bioreactor with 3.0% microbial inoculation size.
Figure 4. The total glucosinolates retention of lactic fermented cabbage produced by different processes. Each value was expressed as means (n = 3) and standard deviations were shown as error bar. Values marked by different alphabet are significantly different by Duncan’s multiple range test (p < 0.05). salted: dehydrated cabbage by salted; canned: lactic fermented cabbage produced via small scale production; bioreactor- 0.3%: lactic fermented cabbage produced via 5 L bioreactor with 0.3% microbial inoculation size; bioreactor- 3.0%: lactic fermented cabbage produced via 5 L bioreactor with 3.0% microbial inoculation size.
Preprints 139838 g004

2.5. Storage Stability of Lactic Acid Fermented Cabbage and it’s Total Glucosinolates Retention.

The changes in pH values of lactic acid fermented cabbage stored at 4°C for 21 days are shown in Table 1. Throughout the 21 days of storage, the pH value showed almost no change, remaining around 3.86. A study investigated the effects of fermentation on the anthocyanin composition, antioxidant capacity, and quality of purple cabbage [22]. The results indicated that the pH value at the end of purple cabbage fermentation was 3.79, and during storage for 180 days, the pH value remained between 3.98 and 4.01, showing minimal change. The viable lactic acid bacteria count showed a significant downward trend during the first 0 to 7 days of storage, decreasing by approximately 3 log CFU/g. The decline may be due to that sauerkraut is not a nutrient-rich substrate, and in a 4°C storage environment, resulting in the death of some bacteria and a subsequent decrease in the viable lactic acid bacteria count.
The trend of total glucosinolates retention in lactic acid fermented cabbage during the storage process is shown in Table 1. The most significant loss occurred during the first 0 to 7 days, where the total glucosinolates retention rate decreased by 13.11%. This decline could be due to the continued decomposition of glucosinolatess by the enzymes produced from lactic acid bacteria and the cabbage's own myrosinase. Palani et al. (2016) recorded the changes in the content of glucosinolates compounds in cabbage during fermentation and storage were investigated [23]. The results showed that the content of the glucosinolates glucobrassicin in fermented cabbage significantly decreased after being stored at 4°C for 5 days, while its main decomposition products, ascorbigen and indole-3-carbinol, showed an increasing trend [23]. The findings from their study and the results of the current experiment both confirm that myrosinase and lactic acid bacteria may decompose glucosinolates during the storage process of fermented cabbage, leading to a decrease in glucosinolates content and retention rate. During the storage period of 7 to 14 days, the activity of both myrosinase and lactic acid bacteria that cause glucosinolates degradation gradually diminished, resulting in a slowing rate of decline in the total glucosinolates retention (66.49% to 67.89%). After 21 days of storage, the total glucosinolates retention did not show any significant decline, suggesting that the factors responsible for the loss of glucosinolates components in lactic acid fermented cabbage have completely lost their activity during the storage process. Song and Thornalley (2007) investigated the loss of glucosinolates in various cruciferous vegetables over a 7-day storage period [24]. The results indicated that the loss of glucosinolates ranged from approximately 11% to 27%, with the most significant loss occurring during the first three days of storage. For cabbage, the percentage loss of glucosinolates was 14%.

3. Materials and Methods

3.1. Materials and Chemicals.

The fresh cabbage used in this experiment was Brassica oleracea var. capitata (Early Autumn cabbage), purchased from a local supermarket in Taipei, Taiwan. The experimental reagents used in this study include peptone and agar, which were purchased from Bioshop, Burlington, Ontario, Canada. MRS broth was obtained from Hardy Diagnostics, Santa Maria, USA. Methanol (MeOH), ethanol (EtOH), acetone, and sulfuric acid were sourced from Echo Chemical Industry Co., Ltd., Miaoli, Taiwan. Additional reagents such as DPPH, Trolox, ABTS, sodium tetrachloropalladate (II), Folin-Ciocalteu’s phenol reagent, gallic acid, quercetin, pepsin, trypsin, and bile salts were purchased from Sigma-Aldrich. Potassium persulfate, hydrochloric acid, sodium hydroxide, and sodium carbonate were procured from Showa Chemical Industry Co., Ltd., Tokyo, Japan. Sodium nitrite was obtained from Tokyo Chemical Industry Co., Ltd., Tokyo, Japan, and aluminium (III) chloride was sourced from Alfa Aesar Fine Chemicals and Metals Co., Ltd., UK.

3.2. Experimental Strains.

The bacterial strains used in this experiment include Lactobacillus acidophilus BCRC 14079, B. longum BCRC 14634 and Lactiplantibacillus plantarum BCRC 11697. All strains were purchased from the Bioresource Collection and Research Center (BCRC) at the Food Industry Research and Development Institute (FIRDI), Hsinchu, Taiwan. Initially, 1.0% (v/v) of the frozen bacterial stock was inoculated into MRS broth and incubated at 37°C for 48 hours. Following the first activation, 1.0% (v/v) of the activated bacterial culture was inoculated into fresh MRS broth and incubated at 37°C for 24 hours. Simultaneously, a streak plate was performed using the first activated culture to ensure the purity of the strain by confirming the presence of single colonies. The strains were ready for use after completing the second activation.

3.3. Sample Preparation and Fermentation.

The sample preparation and fermentation process were modified from the method by previous research [24]. A 1.0% (v/v) inoculation of lactic acid bacteria culture was added to 200 mL of MRS broth and incubated statically at 30°C for 24 hours. After incubation, the culture was centrifuged at 6,000 ×g to remove the broth, and the total weight of the remaining lactic acid bacteria was measured. The bacterial pellet was resuspended in 10 mL of 0.1% (w/v) peptone water by shaking, creating the lactic acid bacteria solution for fermentation. Each prepared lactic acid bacteria-peptone water mixture was then added to cabbage slices in a ratio that the inoculation amount of each bacterial strain was 1.0% (w/w) of the cabbage slices material (Lactobacillus acidophilus BCRC 14079, B. longum BCRC 14634 and Lactiplantibacillus plantarum BCRC 11697 (1:1:1). The mixture was placed into sterilized sealed containers and statically fermented at 30°C for 24 hours to complete the lactic acid fermentation of the cabbage. For the scale-up production trial, a 5-liter solid-state bioreactor (FS-V-SA05P, Major Science, Taoyuan, Taiwan) was used. The parameters were as follows: fermentation temperature was set at 35°C, fermentation time was 24 hours, stirring speed was 5 rpm, and the inoculum of lactic acid bacteria was 0.3% and 3.0% (w/w) of the weight of the salted dehydrated cabbage.

3.4. Determination of Total Viable Lactic Acid Bacteria.

The determination of total viable lactic acid bacteria within fermented cabbage was modified from the study [26]. A 10 g sample was weighed and added to 90 mL of sterile peptone water to homogenize the sample. After homogenization, 1 mL of the sample suspension was serially diluted, and an appropriate dilution factor was selected to transfer 100 µL of the diluted sample onto MRS agar plates. The plates were then incubated at 30°C for 48 hours. and the colonies were counted to calculate the total viable lactic acid bacteria.

3.5. Antioxidant Activity of The Fermented Cabbage.

DPPH: A 0.5 g sample of freeze-dried fermented cabbage was combined with 5 mL of 80% (v/v) ethanol and extracted at 200 rpm, 25°C for 2 hours. Twenty μL of the diluted extract and 180 μL of 0.1 mM DPPH ethanol solution were combined using a 96-well plate. The reaction was carried out in the dark for 30 minutes and the absorbance was measured at 517 nm using a spectrophotometer, with the ethanol and sample extract serving as the blank control. DPPH scavenging ability was converted to trolox equivalent antioxidant capacity (TEAC) and expressed as trolox equivalent (mM) [27]. The DPPH free radical scavenging activity was calculated using the following formula: DPPH scavenging activity (%) = [1 − (A1 − A2) / A0] × 100 (%) where A0 is the absorbance of the control, A1 is the absorbance of the sample with DPPH, and A2 is the absorbance of the sample without DPPH.
ABTS: A 0.5 g sample of freeze-dried fermented cabbage was mixed with 5 mL of 80% (v/v) methanol and extracted at 200 rpm, 25°C for 2 hours. In a separate preparation, a 7.4 mM ABTS+ aqueous solution was mixed with a 2.6 mM potassium persulfate solution and allowed to react in the dark for 16 hours, forming a deep blue ABTS+ solution. This solution was then diluted with distilled water to achieve an absorbance of 0.70 ± 0.02 at 750 nm. In a 96-well plate, 20 μL of the diluted sample extract was added to 180 μL of the ABTS+ solution. The mixture was incubated in the dark for 6 minutes, after which the absorbance was measured at 734 nm using a spectrophotometer, with distilled water and the sample extract serving as the blank control. ABTS scavenging ability was further converted to TEAC and expressed as Trolox equivalent (mM) [28]. The ABTS+ free radical scavenging activity was calculated using the following formula: ABTS+ radical scavenging activity (%) = [1 − (A1 − A2) / A0] × 100 (%) where A0 is the absorbance of the control, A1 is the absorbance of the sample plus ABTS+, and A2 is the absorbance of the sample without ABTS+.

3.6. Total Glucosinolates Retention Rate Measurement.

Fifty g of the sample was mixed with 100 mL of distilled water and homogenized using a homogenizer for vacuum filtration. The mixture was then centrifuged at 8,000 ×g to remove impurities, yielding the sample extract. For the measurement, 100 µL of the extract was combined with 0.3 mL of distilled water and 3 mL of 2 mM Na2(PdCl4) solution and to react at room temperature for 1 hour. After the incubation, the absorbance was measured at 425 nm [29]. The obtained value was then substituted into the following formula to determine the total glucosinolate content in the sample (µmol/g): y (total glucosinolate content (µmol/g))= 1.4 + 118.86 × A425.

3.7. Determination of Phenolic Compounds.

A sample of 0.1 g of freeze-dried fermented cabbage sample was mixed with 1 mL of 80% (v/v) methanol and extracted using a rotary shaker at 200 rpm for 1 hour. The mixture was then centrifuged at 10,000 ×g at 4°C for 10 minutes. The supernatant was collected and filtered through a 0.22 µm filter membrane. The precipitate was subjected to a second extraction with 1 mL of a 70:30 (v/v) acetone/water solution, shaken at 250 rpm for 1 hour, and then centrifuged under the same conditions for 10 minutes. The resulting supernatant was again filtered through a 0.22 µm filter membrane to obtain the free phenolics fraction. For the third extraction, the precipitate was treated with 1 mL of methanol/H2SO4 (90:10, v/v) and heated in a water bath at 80°C for 2 hours. After centrifugation under the same conditions for 10 minutes, the supernatant was filtered through a 0.22 µm filter membrane to yield the bound phenolics fraction. Following the extraction steps, 100 µL of each of the above mentioned three extraction fractions was combined with 100 µL of 50% (v/v) Folin-Ciocalteu’s phenol reagent and mixed. Subsequently, 800 μL of a 5% (w/v) Na2CO3 solution was added, and the mixture was allowed to react at 40°C for 20 minutes. After the reaction, 200 μL of the mixture was transferred to a 96-well plate, and the absorbance was measured at 740 nm using a spectrophotometer, with methanol serving as the blank. A standard curve was prepared using gallic acid as the standard, allowing the sample absorbance values to be converted to gallic acid equivalents (mg GAE/g) [30].

3.8. Determination of Total Flavonoids.

A sample of 0.5 g of freeze-dried powder was mixed with 5 mL of 80% (v/v) ethanol and extracted using a rotary shaker at 200 rpm for 2 hours. The mixture was then centrifuged at 10,000 ×g and 4°C for 10 minutes, where the supernatant was collected and filtered through a 0.22 µm filter membrane. For the analysis, 200 µL of the filtered extract was combined with 30 µL of a 5% (v/v) sodium nitrite (NaNO2) solution, and the mixture was reacted in the dark at room temperature for 6 minutes. Following this, 60 µL of a 10% (v/v) aluminum chloride (AlCl3) solution was added, and the reaction continued for another 5 minutes in the dark at room temperature. Finally, 200 µL of 1N sodium hydroxide (NaOH) solution was added to the mixture, which was then centrifuged at 8,000 ×g for 30 seconds. The resulting supernatant was measured for absorbance at 520 nm using a spectrophotometer, with ethanol serving as the blank. A standard curve was prepared using quercetin as the standard, allowing the sample absorbance values to be converted to quercetin equivalents (mg QE/g) [31].

3.9. Storage Stability Test.

Samples of lactic acid co-fermented cabbage were stored in a refrigerator at 4°C for 21 days. Sampling was carried out at 0, 7, 14, and 21 days to measure various parameters, including pH, viable lactic acid bacteria counts, total glucosinolate retention, antioxidant capacity, total phenolic compound, and total flavonoid content [32].

3.10. Statistical Analysis.

All experiments were conducted in triplicate, and the data were analyzed using Microsoft Excel 2019. The results are presented as means ± standard deviation. Statistical analyses of the data were performed using IBM SPSS Statistics 23.0 (IBM, NY, USA), with significance at p < 0.05. For comparing means among multiple groups, Duncan's new multiple range test was employed to determine if there were statistically significant differences for the results.

4. Conclusions

In this study, a fermented cabbage process by using a 5-L bioreactor was introduced, B. longum BCRC 14634 and Lactobacillus acidophilus BCRC 14079, in combination with Lactiplantibacillus plantarum BCRC 11697, were co-fermented with cabbage to retain the antioxidant capacity as well as the glucosinolates of the fermented cabbage. The fermented cabbage showed that the content of free phenolic compounds increased by 41.13% compared to non-fermented cabbage, while the total flavonoid content increased by 24.44%. The lactic acid fermented cabbage can deactivate the myrosinase in cabbage by lowering the pH of the raw materials, achieving a total glucosinolates retention of 82.02%. For scale-up production, under fermentation conditions of 5 rpm and 35°C, the fermentation process kept the total glucosinolates retention with the reduction of the inoculum size. During the storage in a 4°C for 14 days, the total glucosinolates retention and the viable count of lactic acid bacteria decreased by 23.85% and 4.40 log CFU/g, respectively. The results confirm that the lactic acid bacteria fermentation of cabbage can produce fermented cabbage with a higher glucosinolates retention than that of traditional methods.

Author Contributions

Conceptualization, Funding, Writing-review & editing, Project Administration, and Supervision, C.-W.H. and K.-C.C.; Writing Original Draft and Supervision, C.-C.H.; Data curation and Formal Analysis, Y.-H.L; Resource and Writing-Review & Editing, S.-P.L, S.S., J. K.,K.-C.C. and T.-Y. T.

Funding

This project was funded by the National Science and Technology Council, Taiwan) (112-2320-B-002-013-MY3, 112-2221-E-002-040-MY3) and Ministry of Agriculture (111AS-11.1.1-FD-Z1(5)).

Institutional Review Board Statement

Not applicable.

Informed Consent Statement

Informed consent was obtained from all subjects involved in the study.

Data Availability Statement

The data presented in this study are available on request from the corresponding author.

Conflicts of Interest

The authors declare no conflict of interest.

References

  1. Zayed, A., Sheashea, M., Kassem, I. A., Farag, M. A. Red and White Cabbages: An Updated Comparative Review of Bioactives, Extraction Methods, Processing Practices, and Health Benefits. Crit. Rev. Food Sci. Nutr. 2022, 1, p.18. [CrossRef]
  2. Tahir, M. H., Mubashir, T., Schulze, M., Irfan, R. M. Thermochemical Conversion of Cabbage Waste to Bioenergy and Bio-chemicals Production. Int. J. Energy Res. 2022, 46, p. 20206-20215. [CrossRef]
  3. Miękus, N., Marszałek, K., Podlacha, M., Iqbal, A., Puchalski, C., Świergiel, A. H. Health Benefits of Plant-Derived Sulfur Compounds, Glucosinolates, and Organosulfur Compounds. Mol. 2020, 25, p.3804. [CrossRef]
  4. Palliyaguru, D. L., Yuan, J. M., Kensler, T. W., Fahey, J. W. Isothiocyanates: Translating the Power of Plants to People. Mol. Nutr. Food Res. 2018, 62, p.1700965. [CrossRef]
  5. Septembre-Malaterre, A., Remize, F., Poucheret, P. Fruits and Vegetables, as a Source of Nutritional Compounds and Phytochemicals: Changes in Bioactive Compounds during Lactic Fermentation. Int. Food Res. 2018, 104, p.86-99. [CrossRef]
  6. Nugrahedi, P. Y., Widianarko, B., Dekker, M., Verkerk, R., Oliviero, T. Retention of Glucosinolates during Fermentation of Brassica juncea: A Case Study on Production of Sayurasin. Euro Food Res. Tech. 2015, 240, p.559-565. [CrossRef]
  7. Thomas, L., Larroche, C., Pandey, A. Current Developments in Solid-State Fermentation. Biochem. Eng. J. 2013, 81, p.146-161. [CrossRef]
  8. Mohanakrishna, G., Pengadeth, D. Mixed Culture Biotechnology and its Versatility in Dark Fermentative Hydrogen Production. Biores. Tech. 2024, p.130286. [CrossRef]
  9. Lin, S. P., Chou, Y. C., Chen, C. E., Lai, Y. T., Hsieh, C. C., Tsai, T. Y., Cheng, K. C. Enhancing Miso Production with Optimized Puffed-Rice Koji and its Biological Function Evaluation. Food Biosci. 2024, p.104463. [CrossRef]
  10. Lai, Y. T., Hou, C. Y., Lin, S. P., Lo, Y. C., Chen, C. H., Hsieh, C. W., Cheng, K. C. Sequential Culture with Aroma-Producing Yeast Strains to Improve the Quality of Kyoho Wine. J. Food Sci. 2023, 88, p.1114-1127. [CrossRef]
  11. Huang, YC, Khumsupan, D, Lin, SP, Santoso, SP, Hsu, HY, Cheng, KC. Production of Bacterial Cellulose (BC)/Nisin Composite with Enhanced Antibacterial and Mechanical Properties Through Co-Cultivation of Komagataeibacter xylinum and Lactococcus lactis subsp. Lactis. Int. J. Biol. Macromol. 2024, 258, p.128977. [CrossRef]
  12. Zubaidah, E., Arum, M. S., Widyaningsih, T. D., Rahayu, A. P. Sauerkraut with the Addition of Lactobacillus Casei: Effects of Salt and Sugar Concentrations on Fermentation and Antioxidant Activity. Curr. Nutr. Food Sci. 2020, 16, p.1265-1269.
  13. Oh, S.-K., Kim, K.-W., Choi, M.-R. Changes in Glucosinolate Content of Dolsan Leaf Mustard Kimchi during Fermentation and Correlation with Antioxidant, Antihypertensive, and Antidiabetic Activities. J. Life Sci. 2018, 28, p.1290-1300. [CrossRef]
  14. Hsieh, C. C., Yu, S. H., Cheng, K. W., Liou, Y. W., Hsu, C. C., Hsieh, C. W., Cheng, K. C. Production and Analysis of Metabolites from Solid-State Fermentation of Chenopodium Formosanum (Djulis) Sprouts in a Bioreactor. Int. Food Res. 2023, 168, p.112707. [CrossRef]
  15. Park, S. Y., Jang, H. L., Lee, J. H., Choi, Y., Kim, H., Hwang, J., Seo, D., Kim, S., Nam, J.-S. Changes in the Phenolic Compounds and Antioxidant Activities of Mustard Leaf (Brassica juncea) Kimchi Extracts During Different Fermentation Periods. Food Sci. Biotech. 2017, 26, p.105-112. [CrossRef]
  16. Zubaidah, E., Susanti, I., Yuwono, S., Rahayu, A., Srianta, I., Blanc, P. Effect of Lactobacillus plantarum and Leuconostoc mesenteroides Starter Cultures in Lower Salt Concentration Fermentation on the Sauerkraut Quality. Food Res. 2020, 4, p.1038-1044. [CrossRef]
  17. Kuo, HC, Kwong, HK, Chen, HY, Hsu, HY, Hsieh, CW, Lin, HW, Chu, YL, Cheng, KC. Enhanced Antioxidant Activity of Chenopodium formosanum Koidz. by Lactic Acid Bacteria: Optimization of Fermentation Conditions. PLOS ONE. 2021, 16, p. e0249250. [CrossRef]
  18. Lee, H. J., Park, S. E., Choi, J. H., Kim, K. M. Biological Activity of Brassica oleracea var. capitata Fermented with Lactobacillus plantarum. Food Sci. Preser. 2022, 29, p.241-253. [CrossRef]
  19. Sun, Y. P., Chou, C. C., Yu, R. C. Antioxidant Activity of Lactic-Fermented Chinese Cabbage. Food Chem. 2009, 115, p.912-917. [CrossRef]
  20. Hunaefi, D., Gruda, N., Riedel, H., Akumo, D. N., Saw, N. M. M. T., Smetanska, I. Improvement of Antioxidant Activities in Red Cabbage Sprouts by Lactic Acid Bacterial Fermentation. Food Biotech. 2013, 27, p.279-302. [CrossRef]
  21. Rayhane, H., Josiane, M., Gregoria, M., Yiannis, K., Nathalie, D., Ahmed, M., Sevastianos, R. From Flasks to Single Used Bioreactor: Scale-Up of Solid State Fermentation Process for Metabolites and Conidia Production by Trichoderma asperellum. J. Envir. Manag. 2019, 252, p.109496. [CrossRef]
  22. Wiczkowski, W., Szawara-Nowak, D., Topolska, J. Changes in the Content and Composition of Anthocyanins in Red Cabbage and its Antioxidant Capacity during Fermentation, Storage and Stewing. Food Chem. 2015, 167, p.115-123. [CrossRef]
  23. Palani, K., Harbaum-Piayda, B., Meske, D., Keppler, J. K., Bockelmann, W., Heller, K. J., Schwarz, K. Influence of Fermentation on Glucosinolates and Glucobrassicin Degradation Products in Sauerkraut. Food Chem. 2016, 190, p.755- 762. [CrossRef]
  24. Song, L., Thornalley, P. J. Effect of Storage, Processing and Cooking on Glucosinolate Content of Brassica vegetables. Food Chem. Toxi. 2007, 45, p.216-224. [CrossRef]
  25. Xiong, T., Li, X., Guan, Q., Peng, F., Xie, M. Starter culture fermentation of Chinese sauerkraut: Growth, acidification and metabolic analyses. Food Control. 2014, 41, p.122-127. [CrossRef]
  26. Yoon, K. Y., Woodams, E. E., Hang, Y. D. Production of Probiotic Cabbage Juice by Lactic Acid Bacteria. Biores. Tech. 2006, 97, p.1427-1430. [CrossRef]
  27. Tabaszewska, M., Gabor, A., Jaworska, G., Drożdż, I. Effect of Fermentation and Storage on the Nutritional Value and Contents of Biologically- Active Compounds in Lacto-Fermented White Asparagus (Asparagus officinalis L.). LWT. 2018, 92, p.67-72.
  28. Jansone, L., Kampuse, S., Kruma, Z., Lidums, I. Evaluation of Physical and Chemical Composition of Concentrated Fermented Cabbage Juice. Res Rural Develop. 2021, 36. p.146. [CrossRef]
  29. Mawlong, I., Sujith Kumar, M., Gurung, B., Singh, K., Singh, D. A Simple Spectrophotometric Method for Estimating total Glucosinolates in Mustard De- Oiled Cake. Int. J. Food Prop. 2017, 20, p.3274-3281. [CrossRef]
  30. Abderrahim, F., Huanatico, E., Segura, R., Arribas, S., Gonzalez, M. C., Condezo- Hoyos, L. Physical Features, Phenolic Compounds, Betalains and total Antioxidant Capacity of Coloured Quinoa Seeds (Chenopodium quinoa Willd.) from Peruvian Altiplano. Food Chem. 2015, 183, p.83-90. [CrossRef]
  31. Rokayya, S., Li, C. J., Zhao, Y., Li, Y., Sun, C. H. Cabbage (Brassica oleracea L. var. capitata) Phytochemicals with Antioxidant and Anti- Inflammatory Potential. Asian Pacific J. Cancer Prev. 2013, 14, p.148. [CrossRef]
  32. Wiczkowski, W., Szawara-Nowak, D., Topolska, J. Changes in the content and composition of anthocyanins in red cabbage and its antioxidant capacity during fermentation, storage and stewing. 2015, Food Chem. 167, p.115-123.
Table 1. The Storage Test Result of Lactic Fermented Cabbage.
Table 1. The Storage Test Result of Lactic Fermented Cabbage.
Day 0 Day 7 Day 14 Day 21
pH value 3.86 ± 0.05a 3.86 ± 0.01a 3.87 ± 0.02a 3.87 ± 0.01a
LAB viable cell count (log CFU/g) 7.54 ± 0.19a 4.58 ± 0.13b 3.14 ± 0.22c N.D.
Total GSs retention rate (%) 90.34 ± 6.64a 77.23 ± 8.63ab 66.49 ± 9.90b 67.89 ± 12.46b
Firmness (N) 3.86 ± 2.15a 1.84 ± 0.66a 1.58 ± 0.86a 1.49 ± 0.37a
DPPH radical scavenging activity (μg TE /g) 91.32 ± 5.34a 92.44 ± 2.57a 72.08 ± 1.29b 76.19 ± 2.02b
ABTS+ radical scavenging activity (μg TE /g) 64.76 ± 6.17a 48.39 ± 2.93b 66.23 ± 0.25a 65.71 ± 6.12a
Total phenolic contents (mM GAE/g) 2.054 ± 0.38a 2.577 ± 0.177a 2.364 ± 0.206a 2.085 ± 0.347a
Total flavonoid contents (mg QE/g) 0.071 ± 0.005ab 0.074 ± 0.003a 0.065 ± 0.006b 0.066 ± 0.005ab
N.D.: No detected;Each value was expressed as means ± SD (n = 3), and values in row marked by different alphabet are significantly different by Duncan’s multiple range test (p < 0.05).
Disclaimer/Publisher’s Note: The statements, opinions and data contained in all publications are solely those of the individual author(s) and contributor(s) and not of MDPI and/or the editor(s). MDPI and/or the editor(s) disclaim responsibility for any injury to people or property resulting from any ideas, methods, instructions or products referred to in the content.
Copyright: This open access article is published under a Creative Commons CC BY 4.0 license, which permit the free download, distribution, and reuse, provided that the author and preprint are cited in any reuse.
Prerpints.org logo

Preprints.org is a free preprint server supported by MDPI in Basel, Switzerland.

Subscribe

Disclaimer

Terms of Use

Privacy Policy

Privacy Settings

© 2026 MDPI (Basel, Switzerland) unless otherwise stated