Preprint
Article

This version is not peer-reviewed.

RHADaMAnTe: An Astro Code to Estimate the Energy Spectral Distribution of a Curved Wall of a Gap Opened by a Forming Planet in a Protoplanetary Disk

Submitted:

05 November 2024

Posted:

06 November 2024

You are already at the latest version

Abstract
When a star is born, a protoplanetary disk made of gas and dust surrounds the star. The 1 disk can show gaps opened by different astrophysical mechanisms. The gap has a wall emitting 2 radiation which contributes to the spectral energy distribution (SED) of the whole system (star, disk 3 and planet) in the IR band. As these new-born stars are far away from us, its difficult to know 4 whether the gap is opened by a forming planet. I have developed RHADaMAnTe, a computational 5 astro code based on the geometry of the wall gap coming from hydrodynamical 3D simulations of 6 protoplanetary disks. With this code it is possible to make models of disks to estimate synthetic SEDs 7 of the wall gap and prove whether the gap was opened by a forming planet. I have implemented this 8 code to the stellar system LkCa 15. I found that a planet of 10 Jupiter masses is capable of opening a 9 gap with a curved wall with height of 12.9AU. However, the synthetic SED does not fit to Spitzer IRS 10 SED (ξ2 4.5) from 5µm to 35µm. This implies that there is an optically thick region inside the gap.
Keywords: 
;  ;  ;  

1. Introduction

In a small fraction of young stellar objects (YSOs) surrounded by disks, observations have discovered a low excess radiation in the near–infrared but a high excess in longer wavelengths. This has been interpreted as an evidence that these disks called transitional disks (TDs) have central holes which have practically no dust [1]. More recently, disks showing a significant excess in the near–infrared have been discovered. Such an excess indicates the presence of an optically thick inner disk. This inner disk is separated from an outer disk which also has a high optical depth. In this way the spectral energy distribution (SED) suggests the incipient development of a gap between both disks, these disks are called pre–transitional disks (Pre–TDs) [2]. Several physical mechanisms have been suggested to explain the gaps or holes in protoplanetary disks. The one implemented in this work is driven by forming giant planets.
A key element that produces characteristic features in the SEDs of protoplanetary disks is the outer wall of the gap or hole. To simplify SED wall models, it is often assumed that the wall is vertical and frontally irradiated by the central star [2,3]. But this assumption is physically wrong [4]. For dust sublimation walls, located near from the star, it has been proposed that the wall is curved, where the dust grain growth and its fall into the mid–plane of the disk, and the gas density high–dependence on sublimation temperature are the physical mechanisms responsible for such curvature [5].
In order to create synthetic SEDs of protoplanetary disks with gaps or holes having inner curved walls, I have developed a computational code called rhadamante. This code is based on an older code which suggests that the inner vertical wall of the outer disk can explain the mid–infrared spectrum of the low–mass pre main–sequence star CoKu Tau/4 [6].
To test the code, I present a model of a truncated dusty disk –a disk with an inner hole– that accounts for the Spitzer Infrared Spectrograph observations of the low-mass pre main–sequence star LkCa 15. In this model the mid–infrared spectral energy distribution (between 10 and 25µm) arises from the inner curved wall of the gap in the disk.

1.1. Dust in Protoplanetary Disks

Dust is a pretty important component of protoplanetary disks surrounding young stars. The growth of dust grains from sizes of microns to centimeters or larger grains is the first step in planet formation.
The dust grains in protoplanetary disks follow a size distribution based on a single power law f ( a ) a p [[7], MNR], where the maximum dust size, a max , the minimum dust size, a min , and the power law index, p, are different for each grain species.
The dust composition in protoplanetary disks has been extensively studied through mid-IR observations. This dusty mixture includes silicates (mainly), carbonaceous grains, poly-cyclic aromatic hydrocarbons, and sulfide-bearing grains [8].
Silicate grains are the best understood dust component. The most abundant crystalline silicates are olivine, which is magnesium-rich (Fo90), and pyroxene. Olivine series range from forsterite, Mg2SiO4 (denoted as Fo100), to the fayalite, Fe2SiO4 (denoted as Fo0). While pyroxene series range from the enstatite, MgSiO3 (denoted En100), to the ferrosilite, FeSiO3 (denoted En0).
Modeling of the observed spectra expects amorphous silicate grains to exist in protoplanetary disks [see, e.g. [9]; [10]]. The composition of these grains are glass with embedded metals and sulfides, and series ranging from ferromagnesian silica to Fe–Mg-bearing aluminosilica. These grains are difficult to observe directly from infrared spectroscopy. Their spectral signature observed is a combination of grain composition, shape, size, and structure, making difficult to isolate the pure amorphous silicate signal.
Carbonaceous grains, including amorphous and graphite elemental carbon, are difficult to detect in the infrared. However, grain modeling suggests these grains are needed in order to explain the observed infrared spectra of protoplanetary disks [9].
Nano–diamonds, from sizes of <1 nm to ∼ 10 nm, are found in protoplanetary disks. Diamond emission coming from the inner region of the disk (i.e. < 15 AU) at 3.43 and 3.53 μ m has been detected in disks [see, e.g. [11]].
The presence of poly-cyclic aromatic hydrocarbons (PAHs) has been detected in the surface layers of some protoplanetary disks [see, e.g. [12]]. Disks surrounding higher-mass stars, such as Herbig stars, show more PAHs emission [13] than disks surrounding lower-mass stars, such as T Tauri stars [14]. Protoplanetary disks with a flaring outer surface show significantly more PAH emission [13]. It follows that PAHs exist in all disks, but they can only be detected, as infrared emission, when ultraviolet radiation from the central star is able to excite them. The discovery of weak PAH features in T Tauri stars supports this idea [see, e.g. [14]].
Other dusty components in protoplanetary disks are iron-nickel sulfides grains (FeS, NiS) and water ice (H2O). Sulfide emision around 23 μ m has been detected in the emission spectra of protoplanetary disks [15]. While water ice emission has been identified at 3 μ m [16], 44 μ m [17], 60 μ m [18] and 62 μ m [19].

1.2. LkCa 15

LkCa 15 is a K5-type [20] T Tauri star located in the nearby ( 145 ± 15 pc ) the Taurus-Auriga Star Forming Region [21]. The mass of the central star is 0.97 ± 0.03 M [20], it has an effective temperature of 4370K [22] and a radius of 1.6 R [23]. Three planet candidates have been detected: LkCa 15b (semi major axis a = 14.7 ± 2.1 AU ) [24], LkCa 15c ( a = 18.6 ± 2.5 AU ) and LkCa 15d ( a = 18.0 ± 5.4 6.7 AU ), with masses lower than 5–10 M , for the two first planets, and 0.5 M for the third one [25].
Observations of the far-ultraviolet (1100–2200Å) radiation field and the near–to mid–IR (3-13.5 μ m) spectral energy distribution of LkCa 15, from the Space Telescope Imaging Spectrograph (STIS) indicate the existence of an inner disk gap of a few astronomical units [26].
LkCa 15 has an inner disk, a gap and an outer disk [27]. Using the Spitzer data, LkCa 15 has been classified as a pre-transitional disk [28], and it has been showed that the inner hole is not devoid of dust between 0.1 and 5 AU. The outer disk extends from 46 to 800 AU [29].
Recent observations from Gemini NIRI suggest that a single massive planet would be capable of opening a gap as large as the one observed in the LkCa 15 disk [22]. This assumption leads me to use a mass of ∼ 10 M for the planet candidate in the current work.
Models of the LkCa 15 disk SED show that the inner edge of the disk has a radius of ∼58 AU [23]; this outer disk has a mass of ∼ 50 M [30].

2. Geometry of the Wall Projected on the Sky

To find the two–dimensional geometry of a wall gap, I implement the artemise code [4]. Which is a computational and geometrical code that analyses a tri–dimensional simulation of the disk–planet interaction by considering the wall is located at the points ( x , y , z ) where the disk optical depth is τ w a l l = 2 3 . Simulations are done with fargo-3D code [31] under some specific parameters of the young stellar object to be studied.

2.1. Inclined Walls

Definition 1.
An inclined two–dimensional wall is a line segment with boundaries ( R wall up , H wall up ) and ( R wall down , H wall down ) , with R wall up > R wall down and H wall down = H wall up , as seen in Figure 1a. By rotating this line segment around z–axis, a conic ring lying in the Euclidean space ( x , y , z ) , is obtained, as seen in Figure 1b. This ring is the tri–dimensional conic wall.
In the coordinate system ( x , y , z ) the star is centered at the origin, here z–axis is the disk rotation axis, and the plane ( x , y ) is the disk mid–plane. For simplicity, I also consider the cylindrical coordinate system ( R , θ , z ) , such that all points on the wall superior boundary have coordinates z, x = R wall up cos θ y y = R wall up sin θ , whereas all points on the wall inferior boundary have coordinates z, x = R wall down cos θ y y = R wall down sin θ . Since the protoplanetary disk is assumed to be projected on the plane of the sky ( X , Y ) , as seen in Figure 2, I consider a third coordinate system ( X , Y , Z ) also centered at the star, where the Z–axis is the line of sight. When the disk is face–on the coordinate systems coincide. There exists a transformation between the three coordinate systems:
X = x ,
Y = y cos ( i ) z sin ( i ) ,
Z = z cos ( i ) y sin ( i ) ,
where i is the disk inclination angle, that is, the angle between the z–axis and the plane of the sky ( X , Y ) .
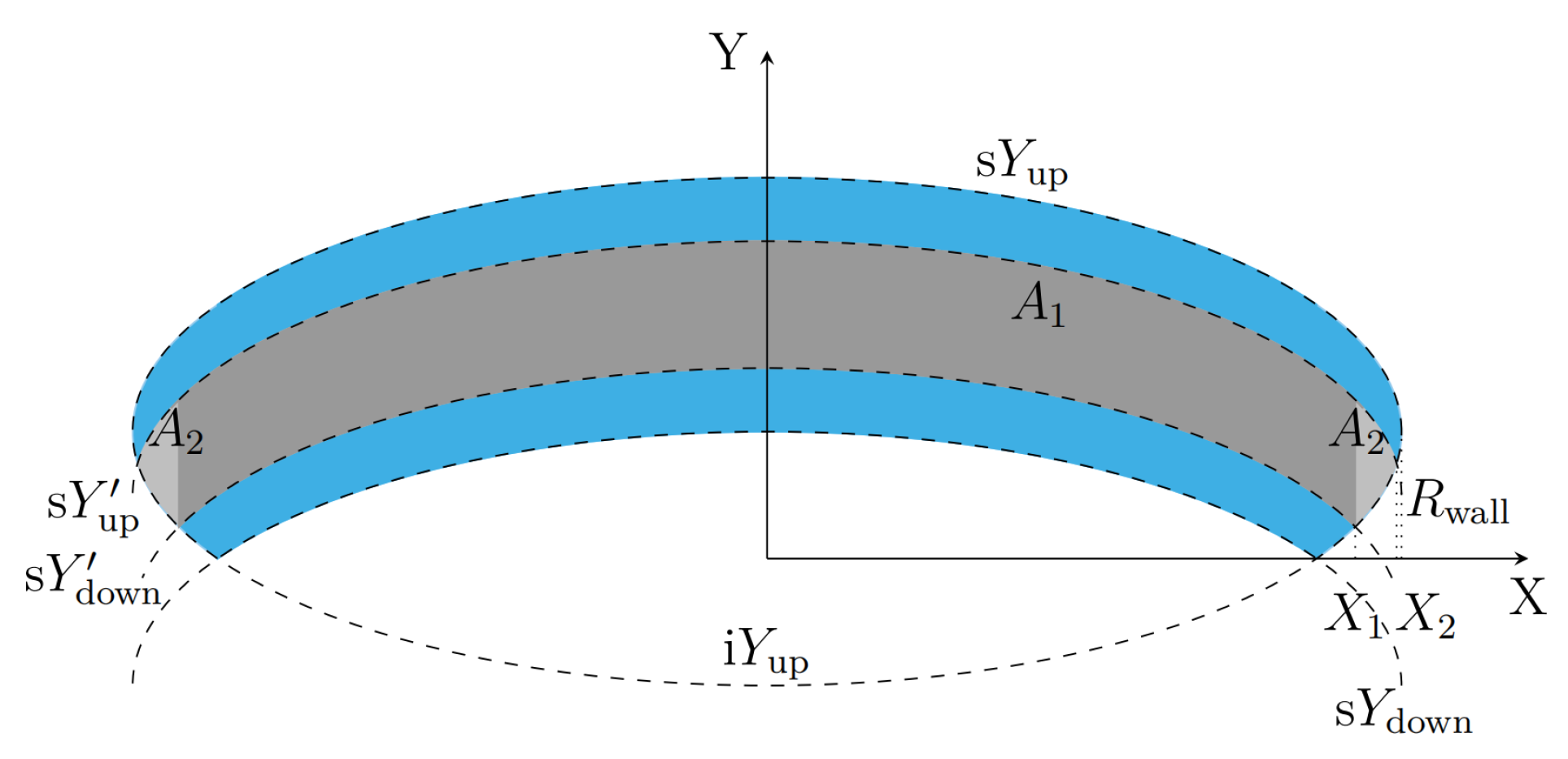
The amount of visible surface of the wall, projected on the plane of the sky, depends on the disk inclination angle, and there are two possibilities: (i) when the star is visible (corresponding to δ < 1 , see Equations (4) and (9) for a definition of δ ), and (ii) when the star in invisible (corresponding to δ > 1 ) , as seen in Figure 2. A surface element of the visible area is d A = d X d Y = R wall sin θ d θ d Y , with R wall down R wall R wall up .
Let R be the visible surface of the wall projected on the plane ( X , Y ) for both cases, as seen in Figure 3. Then the boundary of this region is defined by two ellipses ε up and ε down (see Appendix A.1) given by the projections of the up and down edges of the tri–dimensional conic wall. The up ellipse ε up is defined as Y up = s Y up i Y up , where s Y up and i Y up are the superior and inferior parts of this ellipse, respectively, such that
s Y up R wall up = cos ( i ) 1 X R wall up 2 + H wall up R wall up sin ( i ) ,
i Y up R wall up = cos ( i ) 1 X R wall up 2 + H wall up R wall up sin ( i ) .
Similarly, the down ellipse ε down is defined as Y down = s Y down i Y down , where s Y down and i Y down are the superior and inferior parts of this ellipse, respectively, such that
s Y down R wall down = cos ( i ) 1 X R wall down 2 H wall down R wall down sin ( i ) ,
i Y down R wall down = cos ( i ) 1 X R wall down 2 H wall down R wall down sin ( i ) .
Ellipses ε up and ε down intersect at critical angles θ c y π θ c , where θ c is given by
sin θ c = 1 2 H wall up R wall up + H wall down R wall down tan ( i ) = δ .
Depending on the wall inclination angle i, there exist two possibilities to know whether both ellipses can intersect: if δ < 1 or not if δ > 1 , as seen in Figure 3.
For the case δ < 1 , the region R is composed by two sub-regions R 1 and R 2 :
where 0 < θ < arcsin ( δ ) :
R 1 = ( X , Y ) : X 0 X X 0 s Y down Y s Y up ,
and where arcsin ( δ ) < θ < π 2 :
R 2 = ( X , Y ) : ± X 0 X ± R wall up i Y up Y s Y up ,
that means R = R 1 R 2 (see Appendixes Appendix A.3 and Appendix A.4).
For the case δ > 1 , the region R is defined as follows
R = ( X , Y ) : R wall X R wall i Y up Y s Y up .

2.2. Vertical Walls

If in Definition 1 I set R wall up = R wall down = R wall , I obtain a two–dimensional vertical wall, as seen in Figure 4a. By rotating this line segment around z–axis, I generate a cylindrical ring which lies in the Euclidean space ( x , y , z ) , as seen in Figure 4b. This ring is a tri–dimensional cylindrical wall.
Following the same mathematical procedure as in the case of an inclined wall, I obtain that
ε up : Y up = s Y up i Y up ,
ε down : Y down = s Y down i Y down ,
where
s Y up R wall = cos ( i ) 1 X R wall 2 + H wall R wall sin ( i ) ,
i Y up R wall = cos ( i ) 1 X R wall 2 + H wall R wall sin ( i ) ,
s Y down R wall = cos ( i ) 1 X R wall 2 H wall R wall sin ( i ) ,
s Y down R wall = cos ( i ) 1 X R wall 2 H wall R wall sin ( i ) .
Both ellipses intersect at critical angles θ c y π θ c , where θ c is given by
sin θ c = H wall R wall tan ( i ) = δ .

3. The RHADaMAnTe Code

To create synthetic SEDs as arising from the inner curved wall of a gap or hole open by a planet in a protoplanetary disk, I have developed a computational code, written in the fortran 90 language, called rhadamante. This code is coupled to the artemise code because the geometry of the wall is required.
As I am interested in estimating the radiation reemitted by a tri–dimensional wall W projected on the plane of the sky, in this code, I firstly calculate the angle between the radial ray and the normal to the two–dimensional wall W π 0 for each incident radial radiation ray coming from the central star, as seen in Figure 5, by applying an algorithm also called RHADaMAnTe.
Then, I construct the tri–dimensional wall as the finite union of tri–dimensional conic rings obtained by rotating inclined line segments about the z–axis at different heights. (see Figure 6a and Figure 7).
Next, I calculate the surface projection on the plane of the sky of these rings, and then I calculate the radiation emitted by each of them by implementing some ideas from an algorithm developed for vertical walls [6]. Finally, I sum the contribution of the emission of all the projected rings to create a synthetic SED.

3.1. Geometry of the Radiation Reemitted by the Wall

rhadamante, acronym for Radial Geometry Algorithm for Calculating the Radiation Emitted by a Wall), it is a geometrical algorithm which at first calculates the angle between the stellar radiation along a radial ray R k and the normal to the two–dimensional wall W π 0 , as seen in Figure 5. Secondly, this algorithm discretizes the two–dimensional wall, which is not continuous, as seen in Figure 6a.
Let θ k be the angle between the normal η k on the point W k belonging to the wall W π 0 , and the stellar radiation ray R k , such that
θ k = θ η k + φ k ,
where θ η k is the minimal angle between the normal η k and the mid–plane (r–axis), and φ k is the angle between the ray R k and the mid–plane, as seen in Figure 5.
The angle θ k is required to calculate the reemitted stellar radiation by the wall. Because of wall’s curvature and the radial geometry of the stellar radiation, each parcel of the wall does not absorb the total radiation, as it is in the case of vertical walls. In this case, each parcel absorbs only a fraction of the radiation which depends on the cos ( θ k ) .
Let k be the tangent line to the wall W π 0 at the point W k with a positive slope m k . It follows that the inclination angle of such a line, measured from the r–axis, is θ k = tan 1 ( m k ) , where
m k = d W d r W k .
Physically, the wall W π 0 should be characterized by a mathematical continuous function. However, in this case, because of the numerical simulation, the wall is transfered, via the discretization process described in Section 3.2, into a discrete counterpart. So, as the points W k with k = 1 , 2 , , k max defining W π 0 are close enough, it is possible to find an approximation of its derivative.
Consider the points W k and W k + 1 in the wall W π 0 to be connected along the segment line L k (as seen in Figure 5), then the slope m L k of this line approximates to the derivative with respect to r of W π 0 at the point W k , that is
d W π 0 d r W k m L k .
Hence θ k θ L k = tan 1 ( m L k ) .
Next, since the line L k is almost perpendicular to the normal η k , it follows
θ η k π 2 θ L k .
Finally, since the star is located at the origin of coordinate system, it is easily to calculate the angle between the ray R k and the mid–plane
φ k = tan 1 W k ( z ) W k ( r ) ,
where W k ( r ) and W k ( z ) are the r and z coordinates of the point W k .

3.2. Discretization of the Two–Dimensional Wall

By applying the ARTeMiSE algorithm, I obtain a set of points W k = ( r k , z k ) with k = 1 , 2 , , k max , defining the two–dimensional wall W π 0 . It means that the wall is not a continuous curve. Then I discretize the wall as the finite union of infinitesimal inclined walls: I connect each couple of points W k 1 and W k by inclined line segments W W k with height 2 H wall k , as seen in Figure 6.
Consider an inclined line segment W W k with boundaries W k 1 and W k in the wall W π 0 , and let P m ( W k 1 , W k ) be the mid–point of W W k . As I require that the vertical height of this line segment to be 2 H wall k , I define
H wall k : = W k ( z ) P m ( z ) ( W k 1 , W k ) = 1 2 ( z k z k 1 ) if k = 2 , 3 , , k max ,
where W k ( z ) and P m ( z ) ( W k , W k 1 ) are the z coordinates of W k and the mid–point between the points W k and W k 1 . See Figure 6.
If k = 1 , I construct a vertical line segment W W 1 with boundaries W 0 = ( r 1 , 0 ) and W 1 , and height z 1 , which conects to the mid–plane.

3.3. Curved Wall

Let W π 0 = k k max W W k be a two–dimensional wall discretized by infinitesimal inclined line segments W W k for k = 2 , , k max , and a vertical line segment W W 1 .
By rotating each inclined line segment around z–axis, one generates a conic ring W k with minimum radius R k 1 , maximum radius R k and total height 2 H wall k . Whereas, by rotating the vertical line segment, a cylindrical ring with radius R 1 and total height 2 H wall 1 , is obtained. It follows the tri–dimensional curved wall can be defined as the finite union of a cylindrical ring and several conic rings: W = k k max W k . See Figure 7.

3.3.1. Projection on the Plane of the Sky

The wall W has to be projected on the plane of the sky ( X , Y ) to calculate the amount of visible surface. Therefore I consider the coordinate system ( X , Y , Z ) , where Z is along the line of sight, such that
X = x ,
Y = y cos ( i ) z sin ( i ) ,
Z = z cos ( i ) y sin ( i ) .
Since I want to apply the same algorithms of projection described in Section 2.1 and Section 2.2, it is required to do a geometric translation of each ring W k to a secondary coordinate system ( x , y , z ) such that the translated ring W k is centered at the origin. Easily I can say that there exists a translation transformation Θ 1 : ( x , y , z ) ( x , y , z ) :
x = x
y = y
z = z δ z k ,
where δ z k = z k + 1 2 Δ z k is the displacement of the ring along z–axis, to be centered at the origin of the system ( x , y , z ) , see Figure 8, with z k is the z coordinate of the point W k and Δ z k = 2 H wall k .
Applying this translation, it is possible to use the coordinate system ( X , Y , Z ) to project the ring W k on the plane ( X , Y ) :
X = x ,
Y = y cos ( i ) + z sin ( i ) ,
Z = z cos ( i ) y sin ( i ) .
From Equations (13), (14), and (15) it follows that there exists a translation transformation Θ 2 : ( X , Y , Z ) ( X , Y , Z ) , such that:
X = X ,
Y = Y + δ z k sin ( i )
Z = Z + δ z k cos ( i ) ,
where δ z k sin ( i ) is the projection on the Y–axis of the displacement of the ring along the z–axis, as seen in Figure 8.
Combining Equation (16) with Equations (2) and (3), it follows that for the k–th conic ring
s Y up ( k ) R wall , k = cos ( i ) 1 X 2 R wall , k 2 + H wall , k + δ z k R wall , k sin ( i ) ,
i Y up ( k ) R wall , k = cos ( i ) 1 X 2 R wall , k 2 + H wall , k + δ z k R wall , k sin ( i ) .
s Y down ( k ) R wall , k 1 = cos ( i ) 1 X 2 R wall , k 1 2 H wall , k 1 δ z k 1 R wall , k 1 sin ( i ) ,
i Y down ( k ) R wall , k 1 = cos ( i ) 1 X 2 R wall , k 1 2 H wall , k 1 δ z k 1 R wall , k 1 sin ( i ) .
Whereas, for the cylindrical ring, by combining Equation (16) with Equation (8), it follows
s Y up ( 1 ) R wall , k = cos ( i ) 1 X 2 R wall , k 2 + H wall , k + δ z k R wall , k sin ( i ) ,
i Y up ( 1 ) R wall , k = cos ( i ) 1 X 2 R wall , k 2 + H wall , k + δ z k R wall , k sin ( i ) .
s Y down ( 1 ) R wall , k = cos ( i ) 1 X 2 R wall , k 2 H wall , k δ z k R wall , k sin ( i ) ,
i Y down ( 1 ) R wall , k = cos ( i ) 1 X 2 R wall , k 2 H wall , k δ z k R wall , k sin ( i ) .

3.4. Emission of the Wall

To calculate the emission or emergent flux F ν of the visible wall projected on the plane of the sky, I multiply the total emergent intensity I ν by the solid angle Ω wall of the visible surface of the wall, whose geometry has been described in detail in Section 3.3.
For each element in the visible surface of the projected wall, the thermal emergent intensity, approximated as isotropic, is given by
I ν 0 B ν [ T d ( τ d ) ] exp τ ν d τ ν
[see [6] for derivation], where B ν is the Planck function, τ d is the total mean optical depth at the disk frequency band, and τ ν = τ d ( κ ν / χ d ) , with opacity κ ν .
The wall temperature T d is a function of the optical depth of the disk, and it is calculated as follows [see [6] for derivation]
T d 4 ( τ d ) = α F 0 4 σ R C 1 + C 2 exp ( q τ d ) + C 3 exp ( β q τ d ) ,
where
C 1 = ( 1 + C 1 ) 2 + 3 q + C 2 2 + 3 β q ,
C 2 = ( 1 + C 1 ) q χ d κ d 3 q ,
C 3 = C 2 β q χ d κ d 3 q β 2 ,
and
C 1 = 3 w 1 β 2 ,
C 2 = 5 w β ( 1 + 2 β 1 ( 1 β 2 ) ,
with α = 1 w , β = 3 α , and w = σ s / χ s is the mean albedo to the stellar radiation and F 0 = L / 4 π R wall 2 , where L is the stellar luminosity.
At a distance d from the observer, the total solid angle is given by
Ω wall = { cos ( i ) R wall up + R wall down d 2 δ 1 δ 2 + arcsin ( δ ) , if δ < 1 , π cos ( i ) R wall up d 2 , if δ 1 ,
with
δ = 1 2 H wall up R wall up + H wall down R wall down tan ( i ) ,
for conic rings, and
Ω wall = { 2 cos ( i ) R wall d 2 δ 1 δ 2 + arcsin ( δ ) , if δ < 1 , π cos ( i ) R wall d 2 , if δ 1 ,
with
δ = H wall R wall tan ( i ) ,
for cylindrical rings.

3.4.1. Rosseland Mean Opacity

Equation (19) requires the calculation of the opacity κ ν . This dominant opacity depends on the chemical composition, pressure and temperature of the gas, as well as the frequency ν of the incident light. This is a complex endeavour. The problem can be simplified by using a mean opacity averaged over all frequencies, so that only the dependence on the gas physical properties remains. In the current work, I use the Rosseland mean opacity, defined as
1 κ R : = 0 1 κ ν B ν T d ν 0 B ν T d ν ,
where B ν ( T ) is the Planck’s function, and T is the disk temperature [32].
To calculate the total Rosseland mean opacity κ R , I consider that all the dust grains species exist and the mixture of dust grains is made of small and big grains. Using the previous assumptions I calculate the total Rosseland mean opacity as follows:
κ R ( x , z ) = ζ small ( x , z ) κ R small + ζ big ( x , z ) κ R big ,
where κ R small and κ R big are the Rosseland mean opacities associated to the small dust grain size distribution and big dust grain size distribution, respectively. And ζ small and ζ big represent the abundances (dust-to-gas mass ratio) of the small and big grains, respectively:
ζ small ( x , z ) = 1 2 ζ small , 0 1 tanh k 1 z δ H ,
ζ big ( x , z ) = 1 2 ζ big , 0 1 + tanh k 1 z δ H ,
here δ H represents a small fraction of the scale height of the disk, and k is a factor which defines a smooth transition between small and big grains population [33].
The monochromatic opacity κ ν in Equation (25) depends on the dust species in the mixture and their physical and chemical properties, such that it is calculated as the sum of the monochromatic opacity of each grain species:
κ ν = q q max κ ν q ( a min q , a max q , σ q , η q ) ,
where a min q and a max q are the sizes of the small and big grains, and σ q and η q are the abundance and refraction index of the species. Here q is running over the name of the species (e.g. silicates, organics, amorphous carbon, ice and troilite) in the dust composition of the disk. I calculate the monochromatic opacities using the Mie theory by implementing some modified routines of a code developed in [6].
Summarizing, to calculate the emergent flux emitted by the curved wall, I have developed a computational code called rhadamante. This code is based on the geometry of the wall calculated by the artemise code. In Figure 9 I show a flowchart of our code. For some tests, see Appendix B.

4. Results: An Implementation to the Stellar System LkCa 15

In this section, I present a model of the truncated dusty disk of the T Tauri star LkCa 15 that accounts for the Spitzer Infrared Spectrograph observations. I have modeled the mid–infrared spectral energy distribution from 5 and 40 μ m ) as arising from the inner curved wall of the outer disk. In this model a 10 M mass planet is the responsible of the wall curvature. The free dust hole has a radius of ∼ 53 AU along the mid-plane. The wall has a half-height of ∼ 12 AU and it is illuminated at normal incidence by the central star, but it also is shadowed because of the presence of an internal optically thick disk.

4.1. Simulation: Planet–Disk Interaction

As I am interested in characterizing the geometry of the wall of the disk gap, in the LkCa 15 system, I need to analyze the vertical structure of the disk. Assuming the gap was opened by an embedded planet, I use the fargo–3d hydro–dynamical code to launch two numerical simulations of the disk–planet interaction until the 500th. The only difference among these simulations is the size in resolution ( N X × N Y × N Z ). The low resolution of 50 × 50 × 30 was used to find quickly the orbit where the system reaches a quasi–stationary state. The medium resolution of 250 × 250 × 100 was used to get a better approximation of the wall. According to fargo–3d requirements, in Table 1 I show some parameters for simulations.
In Figure 10, I present the tri–dimensional structure of the 100th orbit of the LkCa 15 disk simulation. It is here where the system reached a stationary-state.
In Figure 11, it can be observed an optically thick inner disk and the gap completly opened. The planet is located at the point ( x , y ) = ( 1 , 0 ) as seen in Figure 11.

4.2. Dust Grain

The optical depth of the disk depends on the disk material opacity, I assume that the disk is a mixture of grains composed of silicates with mass fraction ζ sil = 0.0034 , organics with ζ org = 0.0041 , and troilite with ζ troi = 8.0 × 10 4 , consistent with the model proposed in [34]. The grains are assumed to be spheres, which obey the standard MRN grain size distribution n ( a ) a 3.5 [7].
I consider two grain populations: small grains between minimum radius a min = 0.005 μ m and maximum radius a max = 0.25 μ m , and big grains between minimum radius a min = 0.005 μ m and maximum radius a max = 1000 μ m . I consider a smooth transition between both dust populations, see Equation (27) in Section 3.4.1, where I set k = 20 , δ = 0.1 and ζ small , 0 = 0.5 and ζ big , 0 = 6.8 . I use optical constants for silicates from [35,36] and [37], for the organics from [34] and for troilite from [34] and [38]. I also take into account the sublimation temperature of the grain species in the mixture T sil = 1400 K , T org = 425 K , and T troi = 680 K .
For the composition of the silicate dust grains, I considered several possibilities as showed in [39]: amorphous Mg–Fe glassy olivine ( Mg 2 x Fe 2 2 x SiO 4 ) and glassy pyroxene ( Mg x Fe 1 x SiO 3 ), where the subscripts to each element represents the fraction of the silicate composed of that element, with optical constants from [36].

4.3. The Vertical Geometry of the Wall

I found that the 10 M mass planet candidate, when is located at 32.3 AU from the central star, opens a gap around the young transitional disk host LkCa 15. The artemise code was implemented to analize the simulation data. The radii of the wall along the mid–plane of the disk and the heights of the wall have a deppendence on the chemical composition of the silicate grains as showed in Table 2. In Figure 12, I show the geometry of a wall where the dust garin disk composition has glassy olivine (silicate) with 50%Fe and 50% Mg.
The location of the planet candidate is not consistent with the observations [e.g. [25], which suggest that the possible massive planets LkCa 15 b and LkCa 15c are located at 14.7 ± 2.1 AU and 18.6 ± 2.5 AU , respectively, along the semimajor axis. However, the radii of the wall along the mid–plane R wall mid plane are similar to those measured in [40,41], ∼ 50 AU , and [22],∼ 56 AU .

4.4. SED of the Wall

I model LkCa 15 as a central star with the properties described in Section 1.2, surrounded by an optically thick inner disk (as showed in Figure 11) and and outer disk truncated at ∼ 120 AU . I consider the gap has a curved wall at differentent locations and heights according to Table 2. In the models, I consider that LkCa 15 is at 140 pc from Earth in the Taurus-Auriga star forming region [21] and the disk inclination is i = 50 [25]. A representation of the model is showed in Figure 13.
As the inner disk casts an umbra over the wall of the outer disk, as seen in Figure 13, I have to remove it from the SED of the outer disk wall. In order to find z umb , I implement some improved routines developed in [42] for curved sublimation walls. This code uses opacities to calculate the shape of the wall and assumes that the stellar rays are parallel to the mid–plane. I found that the wall of the inner disk starts at ∼ 0.04932 AU , from the central star, and runs until ∼ 0.18407 AU where it reaches ∼ 2.3550 × 10 2 AU in height. And the temperature of the sublimation wall decreases with radius and it ranges from 1014.3 K to 1443.7 K .
In a first approximation, assuming the star as a point, the sublimation wall produces only an umbra over the wall of the outer disk (see Figure 13). To calculate the size z umb of this umbra, theangle θ shw subtended by the height z wall inner of the sublimation wall is needed. In addition, for some points ( r , z ) in the outer wall, I calculate the angle θ shw = arctan ( z / r ) until it reaches the value θ shw .
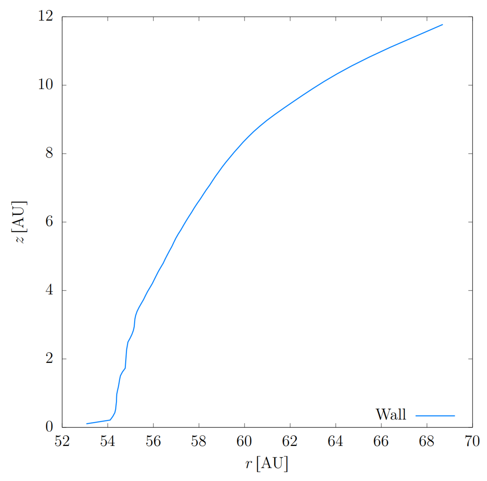
Applying the previous algorithm to the geometry of the wall (see Figure 12), I found that the umbra produced by the sublimation wall of the inner disk onto the wall of the outer disk is 7.44 AU in height (above and below the disk mid–plane). It means the contribution to the SED of the outer wall comes from a region of the wall from ∼ 58.84 AU to ∼ 68.7 AU along the radial direction, and from 7.44 AU to 12.22 AU along the vertical direction. In Figure 14a I show the surface area of the whole curved wall, and in Figure 14b I show the surface area considered the umbra cast by the inner disk.
Synthetic SEDs of the wall of the outer disk, where the dust consists of grains of glassy pyroxene with different concentration of Fe and Mg are showed in Figure 15. I performed a chi–square test for each model, to examine whether the synthetic SED fits to the Spitzer IRS SED. I found that no model is either capable to fit the observed SED ( χ 2 ∼300) nor reproduce the silicate peak at ∼ 10 μ m . However, for glassy pyroxene with 60% Fe and 40% Mg (see Figure 15a) it seems the silicate peaks tries to appear at ∼ 10 μ m , this lead us to think that a lesser concentration of Mg in the pyroxene composition would produce the silicate feature. Unfortunately, there is not available, in the literature, the optical constants needed to calculate the opacities, for such chemical concentrations.
In Figure 16, I show the synthetic SEDs of the wall of the outer disk, where the dust mixture consists of grains of glassy olivine with different concentration of Fe and Mg. I found that none of these configurations is capable to fit the observed SED ( χ 2 > 200 ). However, in both cases a silicate peak appears at ∼ 10 μ m . A concentration of 50% Fe and 50% Mg produces the best fit (see Figure 16b).
Previous results lead us to say that the SED of LkCa 15 is not dominated by the contribution of the curved wall of the outer disk in the mid–infrared. However, when olivine grains with a concentration of 50% Fe and 50% Mg or 80% Fe and 20% Mg are in the dust mixture, a silicate feature appears at ∼ 10 μ m .

4.5. SED of the System

Considering the SED contribution of the inner sublimation wall and the star, in addition to the SED contribution of the wall of the outer disk, I present a more complete model of the stellar system LkCa 15. For the stellar SED, I have used a Kurucz atmosphere model with log [ Z / H ] = 0.5 and log [ g ] = 4.0 . Table 3 lists the parameters for this model. In Figure 17, I show the contribution of the star, the inner sublimation wall and the wall of the outer disk to the total synthetic SED.
Only for some wavelengths in the mid–infrared, ∼ 15.0 μ m < λ < 20.0 μ m , the sythetic SED fit to LkCa 15 observed SED, I estimated χ 2 0.45 . For all the other wavelengths in the field of view of the Spitzer IRS (5.217–37.86 μ m), the synthetic SED is below the observed SED. For wavelengths ∼ 5.217 μ m < λ 8.0 μ m the difference is not very high ( χ 2 3.36 ); however, for wavelengths ∼ 8.0 μ m < λ 15.0 μ m (with χ 2 17.72 ) and ∼ 20.0 μ m < λ 37.86 μ m (with χ 2 19.08 ) this difference becomes significant (see Figure 18).
I can suggests that the inner sublimation wall and the stellar photo-sphere cannot account for the significant near-infrared excess in LkCa 15. It means the SED model also requires of optically thin dust inside the gap to explain the excess and to produce the 10 μ m silicate feature as showed in [43]. Similarly, as the wall of the outer disk cannot account for the excess in the mid and long–infrared, I asumme that this SED model also requires of the contribution of the outer disk.

5. Discussion: Vertical Wall SED vs. Curved Wall SED

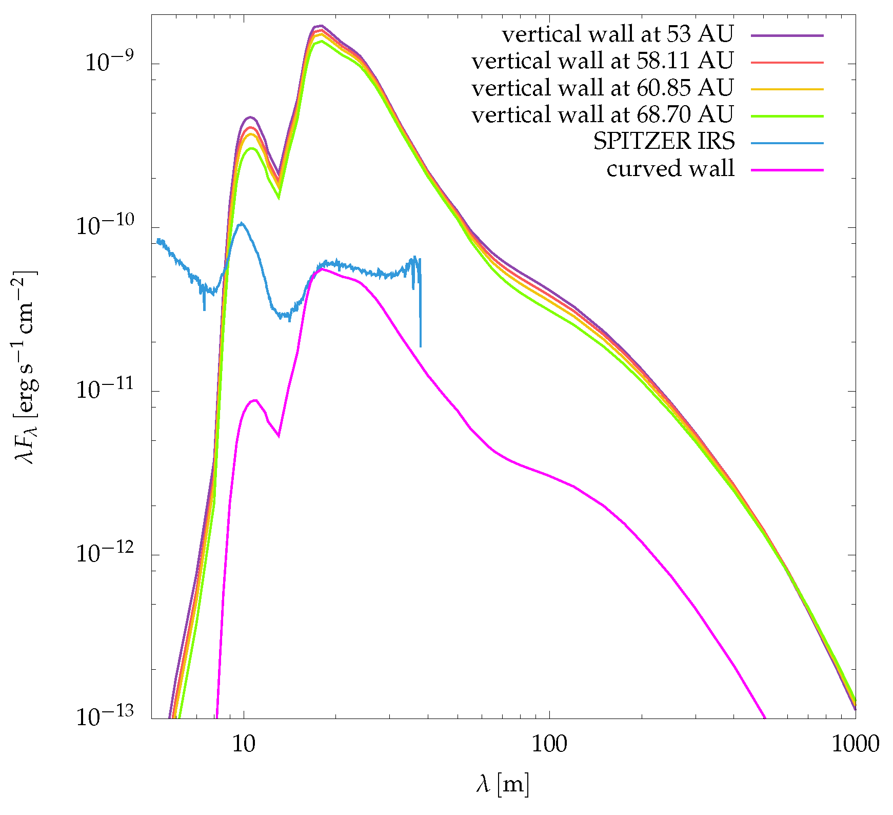
Wall SED models of LkCa 15 (and many other pre-TDs and TDs) are based on vertical walls [e.g. [23,43]]. rhadamante code is able to construct wall SEDs based on this geometry. Here I present some wall SED models of LkCa 15 considering vertical walls to compare with the best fit curved wall SED model (as seen in Figure 19).
In these vertical wall SED models, it is also cosidered that the umbra cast by the inner disk is 6.73 AU (measured from the disk mid–plane to up). The height of the wall is 12 AU (measured from the disk mid–plane to up). The size and composition of the dust grains remain the same as described for the best fit curved wall SED model.
The vertical walls were located at 30, 58.11 , 60.85 and 68.7 AU . rhadamante estimated the area of the visible surface projected on the plane of the sky of these vertical walls, A wall vert , and the curved wall, A wall cur . I found that A wall vert > A wall cur , if the umbra of the inner disk is considered. While if the emission of the whole wall is considered, A wall vert < A wall cur . Wall temperatures also were estimated, I found 27.63 , 26.41 , 25.80 and 24.29 K , respectively. It means that the temperature of a vertical wall, T wall , decreases if its radius, R wall , increases. Furthermore, the radiation emitted by a vertical wall, F λ , also decreases as R wall increases, as seen in Figure 19.
Finaly, I compared the radiation emitted by vertical walls, F λ vert , with the radiation emitted by the curved wall, F λ curved (see Figure 19). I found that F λ vert > F λ curved for wavelengths between 5 and 1000 μ m . The difference between fluxes becomes significant, about one order of magnitude, for 9 μ m < λ < 35 μ m .
This infrared excess arises, in part, from the angle, θ , between the radiation ray and the normal to the wall (see Section 3.1), because F λ cos θ . For vertical walls, cos ( θ ) 1 for all the radiation rays hitting the wall, because the normal to the wall is always parallel to the disk mid–plane. Whereas for curved walls 0 cos ( θ ) 1 , because of the wall curvature. In addition, for some models, some regions of the curved wall are farther from the central star than the vertical one.
The above two facts induce a lower exposure of the curved wall to the host star radiation, which derives in much less radiative heating of the wall, and, consequently, in the significantly lower radiative infrared cooling flux. For this reason, the one order of magnitude in lower infrared emisison in the curved wall model is as significant as correct by very basic physical considerations: the height of the curved wall and the umbra cast by the inner disk onto the outer disk.
It is worth mentioning that the geometry, location and height of the curved wall arise from a physical mechanism considering the opacities and chemical composition of the disk, where the disk is the result of a three–dimensional hydro–dynamical simulation, whereas for the vertical walls there is not any physics to choice these parameters. Although the curved wall SED model is the best choice to compare with the Spitzer IRS SED of LkCa 15, as it is showed in Figure 19, to rise this synthetic flux to the right level, it is needed, in adittion, the contribution of the central star, the inner disk, the outer disk and a region of optically thin dust inside the gap, as discussed in Section 4.4.

6. Conclusions

The computational code rhadamante was developed in order to calculate synthetic SEDs of protoplanetry disks. As a initial parameter, the code requires the geometry of the wall coming from hydro-dynamical three-dimensional simulations of the planet-disk interaction and dust grain properties. This code is useful to explain the observed SED of young stellar systems in transition stage. It would lead to unveil the structure of the system, such as, the inner disk, the gap, and the outer disk, even the location and mass of the embedded planet responsible of the gap opening.
From the implementation of this code to the pre-transitional disk LkCa 15, it can be concluded that:
All models of the SED consisting only of a curved wall, using different concentrations of Fe and Mg for the silicate (pyroxene and olivine) grains, suggest that LkCa 15’s Spitzer IRS SED cannot be accounted by the emission of a curved wall. Chi-square tests indicate the models are not good ( χ 2 10 2 ). In addition, for models with a dust mixture containing glassy amorphous olivine grains, Mg 0.2 Fe 0.2 SiO 4 or Mg 0.5 Fe 0.5 SiO 4 , a 10 μ m silicate feature can be observed. However, the intensity of this silicate emission to that measured in the Spitzer IRS SED.
Including to the wall SED model, the contribution of the stellar photo-sphere and the sublimation wall of the inner disk, considering a dust mixture with amorphous glassy olivine with 50% Fe and 50% Mg and a small amount of organic and troilite grains, the observed and synthetic SEDs fit better ( χ 2 ∼45). However, this model cannot fit the Spitzer IRS SED. Only for a small band in the mid-infrared, ∼ 15.5 μ m < λ < 18.0 μ m , the fit is good ( χ 2 0.076 ).
Several limitations exist in the current model: The contribution of the inner disk was not considered, neither the contribution of an optically thin region inside the gap [e.g. [23,43], nor the optically thick outer disk. The inner disk might contribute to the SED at wavelengths in the near infrared. The optically thin region might explain the silicate feature of the Spitzer IRS SED at 10 μ m . While the outer disk might contribute to the SED at wavelengths longer than 18 μ m .
Vertical wall SED models, via rhadamante code, show a difference of one order of magnitude in the flux, F λ vert , compared to the curved wall SED model, F λ curved , for wavelengths from 8 to 35 μ m . This difference arises from dependency of the flux, F λ , on the cosine of the angle, θ , between the stellar radiation ray and the normal to the wall. This lower exposure of the curved wall to the stellar radiation results in much less radiative heating of the wall, and, consequently, in the significantly lower radiative infrared cooling flux.
The synthetic SED of a curved wall, estimated by rhadamante code, includes physical and chemical mechanisms absent in the estimation of the SED of a vertical wall. That is, a curved wall SED is better to fit the Spitzer IRS SED of LkCa 15 or any other protoplanetaray disk.

Funding

“This research was funded by Consejo Nacional de Humanidades, Ciencia y Tecnología (CONAHCyT) grant number CF-2023-I-1221.”

Conflicts of Interest

“The author declares no conflicts of interest.”

Abbreviations

The following abbreviations are used in this manuscript:
M Mass of the Sun
M Mass of Jupiter

Appendix A. Mathematical Tools

Appendix A.1. Construction of a Vertical Wall

Consider an inclined segment line as showed in Figure 1a. Circles C up and C down , with radii R wall up and R wall down and height H wall up and H wall down , respectively, are generated by rotating such segment line around z–axis. These circles define the superior and inferior boundaries of a tri–dimensional wall W . The projection on the X Y –plane of these circles, given an inclination angle i, generates the ellipses ε up and ε down , as seen in Figure A1a. Ellipse ε up is centered at ( h , k ) with semi–major and semi–minor axes a and b, respectively. Whereas, ellipse ε down is centered at ( h , k ) with semi–major and semi–minor axes a and b , respectively.
Without lost of generality I focus on the construction of ellipse ε up . As the coordinate system X Y is centered on the star, it follows h = 0 , and the Y coordinate of the ellipse is the projection of the height H wall up of the circle C up on the Y-axis, as seen in Figure A1b, that is, k = H wall up sin ( i ) . The semi–major axis is a = R wall up , and the semi–minor axis is the projection of the radius of the circle C up on the Y-axis, as seen in Figure A1b, that is, b = R wall up cos ( i ) .
Figure A1. Geometry of ellipses ε up and ε down defining the projection of the tri–dimensional wall W on the X Y –plane.
Figure A1. Geometry of ellipses ε up and ε down defining the projection of the tri–dimensional wall W on the X Y –plane.
Preprints 138567 g0a1
So the full form of the equation of ellipse ε up is:
X R wall up 2 + Y H wall up sin ( i ) R wall up cos ( i ) 2 = 1 .
Similarly, for ellipse ε down ,
X R wall down 2 + Y + H wall down sin ( i ) R wall down cos ( i ) 2 = 1 .
Hence, I define
s Y up R wall up = cos ( i ) 1 X R wall up 2 + H wall up R wall up sin ( i ) ,
i Y up R wall up = cos ( i ) 1 X R wall up 2 + H wall up R wall up sin ( i ) ,
s Y down R wall down = cos ( i ) 1 X R wall down 2 H wall down R wall down sin ( i ) ,
i Y down R wall down = cos ( i ) 1 X R wall down 2 H wall down R wall down sin ( i ) ,
such that
ε up : Y up = s Y up i Y up ,
ε down : Y down = s Y down i Y down .

Appendix A.2. Area Between Two Curves

Definition A1.
The area between the curves f ( x ) and g ( x ) and the ordinates x = a and x = b is given by
A = a b f ( x ) g ( x ) d x ,
if and only if f ( x ) g ( x ) x [ a , b ] .
Definition A2.
Let f : R [ 0 , 1 ] be a continuous function defined by x 1 ( x / a ) 2 . An anti-derivative or primitive function of f is
F ( x ) = 1 x a 2 d x = 1 2 x 1 x a 2 + 1 2 a sin 1 x a + C ,
such that F ( x ) = f ( x ) x [ 0 , 1 ] .

Appendix A.3. Theoretical area of the projected vertical wall: The whole wall

The following analysis, on the area of a visible wall (projected on the plane of the sky), focuses on the case corresponding to δ < 1 (the star is visible), because of LkCa 15 inclination angle ( i = 50 ).
The area of the projection of a whole vertical wall on the plane of the sky is
A = A 1 + 2 A 2
as seen in Figure (Figure A2). Where, according to Definition A1,
A 1 = X 0 X 0 ( s Y up s Y down ) d X ,
A 2 = X 0 R wall ( s Y up i Y up ) d X ,
and
X 0 = s Y down i Y up .
Figure A2. Area of the projection of the whole vertical wall on the plane of the sky X Y , defined by the intersection of the ellipses Y up and Y down .
Figure A2. Area of the projection of the whole vertical wall on the plane of the sky X Y , defined by the intersection of the ellipses Y up and Y down .
Preprints 138567 g0a2
Since
s Y up = R wall cos ( i ) 1 X R wall 2 + H wall sin ( i ) ,
i Y up = R wall cos ( i ) 1 X R wall 2 + H wall sin ( i ) ,
and
s Y down = R wall cos ( i ) 1 X R wall 2 H wall sin ( i ) ,
it follows
A 1 = 2 0 X 0 2 H wall sin ( i ) d X = 4 X 0 H wall sin ( i ) ,
A 2 = 2 R wall cos ( i ) X 0 R wall 1 X R wall 2 d X
and
X 0 = R wall 1 H wall R wall tan ( i ) 2 .
Using Equation (A6), it leads
A 2 = R wall cos ( i ) 1 2 π R wall X 0 1 X 0 R wall 2 R wall sin 1 X 0 R wall .
Hence, the area of the projected vertical wall is
A = 4 X 0 H wall sin ( i ) + R wall cos ( i ) π R wall 2 X 0 1 X 0 R wall 2 2 R wall sin 1 X 0 R wall .

Appendix A.4. Theoretical Area of the Projected Vertical Wall: The Wall with Shadow

To calculate the area of the projection of a vertical wall considering the umbra cast by the inner disk, I subtract to the area generated by the whole wall [see Equation (A11)], the area generated by the shadow. The shadow can be assumed as a vertical wall with H shw in height, measured from the mid–plane.
Then the area of the projection of the shadow on the plane of the sky is
A shw = A 1 + 2 A 2
as seen in Figure A3. Where, according to Definition A1,
A 1 = X 1 X 1 ( s Y up s Y down ) d X ,
A 2 = X 1 X 2 ( s Y up i Y up ) d X ,
and
X 1 = i Y up s Y down .
X 2 = i Y up s Y up .
with
0 < X 0 < X 1 < X 2 < R wall
Since
s Y up = R wall cos ( i ) 1 X R wall 2 + H shw sin ( i ) ,
s Y down = R wall cos ( i ) 1 X R wall 2 H shw sin ( i ) ,
if follows
A 1 = 2 0 X 1 2 H shw sin ( i ) d X = 4 X 1 H shw sin ( i ) ,
A 2 = 2 R wall cos ( i ) 0 X 1 1 X R wall 2 d X + X 1 X 2 ( H shw H wall ) sin ( i ) d X ,
X 1 = R wall 1 H wall + H shw 2 R wall tan ( i ) 2
and
X 2 = R wall 1 H wall H shw 2 R wall tan ( i ) 2
Figure A3. Area of the projection of the shadow cast by the inner disk on the plane of the sky X Y , defined by the intersection of the ellipses Y up , Y down and Y up (in gray). The region in blue is the area of the visible wall.
Figure A3. Area of the projection of the shadow cast by the inner disk on the plane of the sky X Y , defined by the intersection of the ellipses Y up , Y down and Y up (in gray). The region in blue is the area of the visible wall.
Preprints 138567 g0a3
Using Equation (A6), it leads
A 2 = ( H shw H wall ) ( X 2 X 1 ) sin ( i ) + R wall cos ( i ) X 2 1 X 2 R wall 2 + R wall sin 1 X 2 R wall X 1 1 X 1 R wall 2 R wall sin 1 X 1 R wall .
Hence, the area of the shadow, projected on the plane of the sky, is
A shw = 4 X 1 H shw sin ( i ) + 2 ( H shw H wall ) ( X 2 X 1 ) sin ( i ) + 2 R wall cos ( i ) X 2 1 X 2 R wall 2 + R wall sin 1 X 2 R wall X 1 1 X 1 R wall 2 R wall sin 1 X 1 R wall .

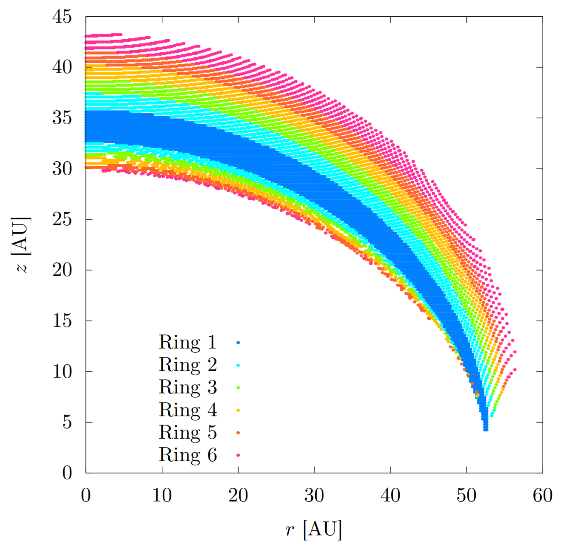
Appendix B. Testing RHADaMAnTe

rhadamante code calculates the Spectral Energy Distribution (SED) of the curved wall of gaps in protoplanetary disk. Before doing its main task, this code has to calculate the projection of each ring on the plane of the sky, which defines the 3D-wall. Figure A4 shows the results of a test where it is assumed that the 3D-wall is made of six rings.
Figure A4. Wall surface projected on the plane of the sky X Y calculated by rhadamnte.
Figure A4. Wall surface projected on the plane of the sky X Y calculated by rhadamnte.
Preprints 138567 g0a4
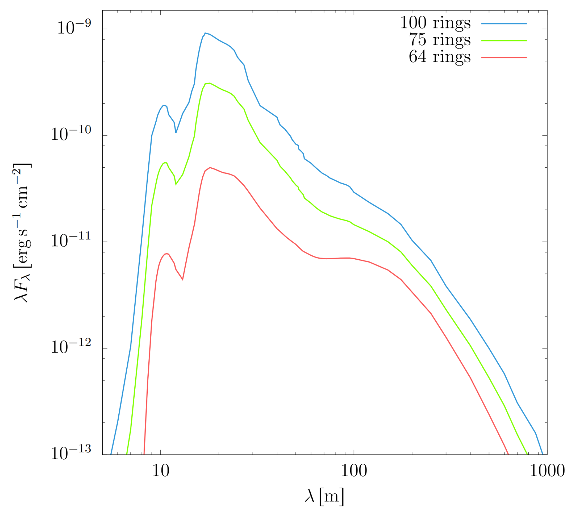
Figure A5 shows the synthetic SED of a curved wall depending on the number of rings used to estimate it. That is, as the number of the rings increases the size of the SED also increases. In the test it was noticed that the greater contributors to the SED are those rings near the mid-plane.
Figure A5. SEDs of a curved wall with different ring contributions calculated by rhadamante. SED in blue is calculated using all the rings, that is, the whole wall. SED in green is calculated starting from the 14th ring above the disk-mid plane, and SED in red is calculated starting from the 36th ring, that is, a shadowed wall.
Figure A5. SEDs of a curved wall with different ring contributions calculated by rhadamante. SED in blue is calculated using all the rings, that is, the whole wall. SED in green is calculated starting from the 14th ring above the disk-mid plane, and SED in red is calculated starting from the 36th ring, that is, a shadowed wall.
Preprints 138567 g0a5

References

  1. Calvet, N.; D’Alessio, P.; Hartmann, L.; Wilner, D.; Walsh, A.; Sitko, M. Evidence for a Developing Gap in a 10 Myr Old Protoplanetary Disk. ApJ 2002, 568, 1008–1016. [Google Scholar] [CrossRef]
  2. Espaillat, C.; Calvet, N.; D’Alessio, P.; Hernández, J.; Qi, C.; Hartmann, L.; Furlan, E.; Watson, D.M. On the Diversity of the Taurus Transitional Disks: UX Tauri A and LkCa 15. ApJ 2007, 670, L135–L138. [Google Scholar] [CrossRef]
  3. Espaillat, C.; Calvet, N.; D’Alessio, P.; Bergin, E.; Hartmann, L.; Watson, D.; Furlan, E.; Najita, J.; Forrest, W.; McClure, M.; Sargent, B.; Bohac, C.; Harrold, S.T. Probing the Dust and Gas in the Transitional Disk of CS Cha with Spitzer. ApJ 2007, 664, L111–L114. [Google Scholar] [CrossRef]
  4. Rendón, F. Modelación de la geometría de paredes de cavidades en discos protoplanetarios mediante el código ARTeMiSE. In Modelación matemática V: Ingeniería, Ciencias Naturales y Ciencias Sociales; Reyes-Mora, S., Barragán-Mendoza, F., Eds.; Universidad Tecnológica de la Mixteca: Huajuapan de León, Oaxaca, México, 2023; pp. 57–75. [Google Scholar]
  5. Muzerolle, J.; Calvet, N.; Hartmann, L.; D’Alessio. Unveiling the Inner Disk Structure of T Tauri Stars. ApJ 2003, 597, L149–L152. [Google Scholar] [CrossRef]
  6. D’Alessio, P.; Hartmann, L.; Calvet, N.; Franco-Hernández, R.; Forrest W., J.; Sargent, B.; Furlan, E.; Uchida, K.; Green, J.D.; Watson, D.M.; Chen, C.H.; Kemper, F.; Sloan, G.C.; Najita, J. The Truncated Disk of CoKu Tau/4. ApJ 2005, 621, 461–472. [Google Scholar] [CrossRef]
  7. Mathis, J.S.; Rumpl, W.; Nordsieck, K.H. The size distribution of interstellar grains. ApJ 1997, 217, 425–433. [Google Scholar] [CrossRef]
  8. Min, M.; Flynn, G. Dust Composition in Protoplanetary Disks. In Protoplanetary Dust: Astrophysical and Cosmochemical Perspectives; Apai, D. A.; Lauretta, D.S., Eds.; Cambridge University Press, 2010; pp. 161–190.
  9. Min, M.; Hovenier, J.W.; de Koter, A.; Waters, L.B.F.M.; Dominik, C. The composition and size distribution of the dust in the coma of Comet Hale Bopp. Icarus 2005, 179, 158–173. [Google Scholar] [CrossRef]
  10. Lisse, C.M.; VanCleve, J.; Adams, A.C.; A’Hearn, M.F.; Fernández, Y.R.; Farnham, T.L.; Armus, L.; Grillmair, C.J.; Ingalls, J.; Belton, M.J.S.; Groussin, O.; McFadden, L.A.; Meech, K.J.; Schultz, P.H.; Clark, B.C.; Feaga, L.M.; Sunshine, J.M. Spitzer Spectral Observations of the Deep Impact Ejecta. Science 2006, 313, 635–640. [Google Scholar] [CrossRef]
  11. Habart, E.; Testi, L.; Natta, A.; Carbillet, M. Diamonds in HD 97048: A Closer Look. ApJ 2004, 614, L129–L132. [Google Scholar] [CrossRef]
  12. Meeus, G. , Waters, L.B.F.M.; Bouwman, J.; van den Ancker, M. E.; Waelkens, C.; Malfait, K. ISO spectroscopy of circumstellar dust in 14 Herbig Ae/Be systems: Towards an understanding of dust processing. A&A 2001, 364, 476–490. [Google Scholar]
  13. Acke, B.; van den Ancker, M.E. ISO spectroscopy of disks around Herbig Ae/Be stars. A&A 2004, 426, 151–170. [Google Scholar]
  14. Geers, V.C.; Augereau, J.-C.; Pontoppidan, K.M.; Dullemond, C.P.; Visser, R.; Kessler-Silacci, J.E.; Evans, N.J., II; van Dishoeck, E.F.; Blake, G.A.; Boogert, A.C.A.; Brown, J.M.; Lahuis, F.; Merín, B. C2D Spitzer-IRS spectra of disks around T Tauri stars. II. PAH emission features. A&A 2004, 459, 545–556. [Google Scholar]
  15. Keller, L.P.; Messenger, S.; Flynn, G.J.; Jacobsen, C.; Wirick, S. Chemical and Petrographic Studies of Molecular Cloud Materials Preserved in Interplanetary Dust. MaPS 2000, 35, A86. [Google Scholar]
  16. Terada, H.; Tokunaga, A.T.; Kobayashi, N.; Takato, N.; Hayano, Y.; Takami, H. Detection of Water Ice in Edge-on Protoplanetary Disks: HK Tauri B and HV Tauri C. ApJ 2007, 667, 303–3007. [Google Scholar] [CrossRef]
  17. van den Ancker, M.E.; Bouwman, J.; Wesselius, P.R.; Waters, L.B.F.M.; Dougherty, S.M.; van Dishoeck, E.F. ISO spectroscopy of circumstellar dust in the Herbig Ae systems AB Aur and HD 163296. A&A 2000, 357, 325–329. [Google Scholar]
  18. Malfait, K.; Waelkens, C.; Bouwman, J.; de Koter, A.; Waters, L.B.F.M. The ISO spectrum of the young star HD 142527. A&A 1999, 345, 181–186. [Google Scholar]
  19. McClure, M.K.; Manoj, P.; Calvet, N.; Adame, L.; Espaillat, C.; Watson, D.M.; Sargent, B.; Forrest, W.J.; D’Alessio, P. Probing Dynamical Processes in the Planet-forming Region with Dust Mineralogy. ApJ 2012, 759, L10–L16. [Google Scholar] [CrossRef]
  20. Simon, M. and Dutrey, A.;Guilloteau, S. Dynamical Masses of T Tauri Stars and Calibration of Pre-Main-Sequence Evolution. ApJ 2000, 545, 1034–1043. [Google Scholar] [CrossRef]
  21. Kenyon, S.J.; Hartmann, L. Pre-Main-Sequence Evolution in the Taurus-Auriga Molecular Cloud. ApJS 1995, 101, 117–171. [Google Scholar] [CrossRef]
  22. Thalmann, C.; Mulders, G.D.; Hodapp, K.; Janson, M.; Grady, C.A.; Min, M.; de Juan Ovelar, M.; Carson, J.; Brandt, T.; Bonnefoy, M.; McElwain, M.W.; Leisenring, J.; Dominik, C.; Henning, T.; Tamura, M. The architecture of the LkCa 15 transitional disk revealed by high-contrast imaging. A&A 2014, 556, A51–A74. [Google Scholar]
  23. Espaillat, C. and D’Alessio, P. and Hernández, J.; Nagel, E.; Luhman, K.L.; Watson, D.M.; Calvet, N.; Muzerolle, J.; McClure, M. Unveiling the Structure of Pre-transitional Disks. ApJ 2010, 717, 441–457. [Google Scholar] [CrossRef]
  24. Kraus, A. L.; Ireland, M.J. LkCa 15: A Young Exoplanet Caught at Formation? ApJ 2012, 745, 5–17. [Google Scholar] [CrossRef]
  25. Sallum, S.; Follette, K.B.; Eisner, J.A.; Close, L.M.; Hinz, P.; Kratter, K.; Males, J.; Skemer, A.; Macintosh, B.; Tuthill, P.; Bailey, V.; Defrère, D.; Morzinski, K.; Rodigas, T.; Spalding, E.; Vaz, A.; Weinberger, A.J. Accreting protoplanets in the LkCa 15 transition disk. Nature 2015, 527, 342–344. [Google Scholar] [CrossRef] [PubMed]
  26. Bergin, E.; Calvet, N.; Sitko, M.L.; Abgrall, H.; D’Alessio, P.; Herczeg, G.J.; Roueff, E.; Qi, C.; Lynch, D. K.; Russell, R.W.; Brafford, S.M.; Perry, R.B. A New Probe of the Planet-forming Region in T Tauri Disks. ApJ 2004, 614, L133–L136. [Google Scholar] [CrossRef]
  27. Najita, J.R.; Strom, S.E.; Muzerolle, J. Demographics of transition objects. MNRAS 2007, 378, 369–378. [Google Scholar] [CrossRef]
  28. Espaillat, C.; Calvet, N.; Luhman, K.L.; Muzerolle, J.; D’Alessio, P. Confirmation of a Gapped Primordial Disk around LkCa 15. APJ 2008, 682, L125–L128. [Google Scholar] [CrossRef]
  29. Piétu, V.; Dutrey, A.; Guilloteau, S.; Chapillon, E.; Pety, J. Resolving the inner dust disks surrounding LkCa 15 and MWC 480 at mm wavelengths. A&A 2006, 378, L43–L47. [Google Scholar]
  30. Andrews, S. M.; Williams, J.P. High-Resolution Submillimeter Constraints on Circumstellar Disk Structure. APJ 2005, 659, 705–728. [Google Scholar] [CrossRef]
  31. Benítez-Llambay, P.; Masset, F. S. FARGO3D: A New GPU-oriented MHD Code. ApJ 2016, 223, 29. [Google Scholar] [CrossRef]
  32. Hui-Bon-Hoa, A. Stellar models with self-consistent Rosseland opacities - Consequences for stellar structure and evolution. A&A 2021, 646, L6–L10. [Google Scholar]
  33. D’Alessio, P.; Calvet, N.; Hartmann, L.; Franco-Hernández, R.; Servín, H. Effects of Dust Growth and Settling in T Tauri Disks. ApJ 2006, 638, 314–335. [Google Scholar] [CrossRef]
  34. Pollack, J.B.; Hollenbach, D.; Beckwith, S.; Simonelli, D. P.; Roush, T.; Fong, W. Composition and radiative properties of grains in molecular clouds and accretion disks. ApJ 1994, 421, 615–639. [Google Scholar] [CrossRef]
  35. Jaeger, C.; Mutschke, H.; Begemann, B.; Dorschner, J.; Henning, T. Steps toward interstellar silicate mineralogy. 1: Laboratory results of a silicate glass of mean cosmic composition. A&A 1994, 292, 641–655. [Google Scholar]
  36. Dorschner, J.; Begemann, B.; Henning, T.; Jaeger, C.; Mutschke, H. Steps toward interstellar silicate mineralogy. II. Study of Mg-Fe-silicate glasses of variable composition. A&A 1995, 300, 503–520. [Google Scholar]
  37. Draine, B.T. Interstellar Dust Grains. ARA&A 2003, 41, 241–289. [Google Scholar]
  38. Begemann, B.; Dorschner, J.; Henning, T.; Mutschke, H.; Thamm, E. A laboratory approach to the interstellar sulfide dust problem. ApJ 1994, 423, L71–L74. [Google Scholar] [CrossRef]
  39. Henning, T.; Il’In, V.B.; Krivova, N.A.; Michel, B.; Voshchinnikov, N. V. WWW database of optical constants for astronomy. A&AS 1999, 136, 405–406. [Google Scholar]
  40. Piétu, V.; Dutrey, A.; Guilloteau, S. Probing the structure of protoplanetary disks: a comparative study of DM Tau, LkCa 15, and MWC 480. A&A 2007, 467, 163–178. [Google Scholar]
  41. Andrews, S.M.; Rosenfeld, K.A.; Wilner, D.J.; Bremer, M. A Closer Look at the LkCa 15 Protoplanetary Disk. ApJ 2011, 745, L5–L10. [Google Scholar] [CrossRef]
  42. Nagel, E.; D’Alessio, P.; Calvet, N.; Espaillat, C.; Trinidad, M. A. The Effect of Sublimation Temperature Dependencies on Disk Walls Around T Tauri Stars. RMXAA 2013, 49, 43–52. [Google Scholar]
  43. Espaillat, C.; Calvet, N.; D’Alessio, P.; Hernández, J.; Qi, C.; Hartmann, L.; Furlan, E.; Watson, D.M. On the Diversity of the Taurus Transitional Disks: UX Tauri A and LkCa 15. ApJ 2007, 670, L135–L138. [Google Scholar] [CrossRef]
Figure 1. Construction of a tri-dimensional conic wall.
Figure 1. Construction of a tri-dimensional conic wall.
Preprints 138567 g001
Figure 2. Schematic representation of the visible surface of the wall as seen by the observer for two inclination angles.
Figure 2. Schematic representation of the visible surface of the wall as seen by the observer for two inclination angles.
Preprints 138567 g002
Figure 3. Geometry of the visible wall projected on the plane of the sky for two inclination angles.
Figure 3. Geometry of the visible wall projected on the plane of the sky for two inclination angles.
Preprints 138567 g003
Figure 4. Construction of a tri–dimensional vertical wall.
Figure 4. Construction of a tri–dimensional vertical wall.
Preprints 138567 g004
Figure 5. Geometry of the incidence of the stellar radiation along a ray R k on the wall W π 0 .
Figure 5. Geometry of the incidence of the stellar radiation along a ray R k on the wall W π 0 .
Preprints 138567 g005
Figure 6. Discretization of a two–dimensional curved wall W π 0 by inclined line segments W W k , for k = 2 , , k max , and one vertical wall W W 1 with 2 H wall k in height.
Figure 6. Discretization of a two–dimensional curved wall W π 0 by inclined line segments W W k , for k = 2 , , k max , and one vertical wall W W 1 with 2 H wall k in height.
Preprints 138567 g006
Figure 7. Construction of a tri–dimensional wall W : Each couple of points W k 1 and W k in the two–dimensional wall W π 0 defines a ring W k .
Figure 7. Construction of a tri–dimensional wall W : Each couple of points W k 1 and W k in the two–dimensional wall W π 0 defines a ring W k .
Preprints 138567 g007
Figure 8. Projection of a ring W k on the Y-axis: When the ring is located at distance δ z k > 0 along the z-axis of the system ( x , y , z ) , the projected distance on the Y-axis is δ z k sin ( i ) .
Figure 8. Projection of a ring W k on the Y-axis: When the ring is located at distance δ z k > 0 along the z-axis of the system ( x , y , z ) , the projected distance on the Y-axis is δ z k sin ( i ) .
Preprints 138567 g008
Figure 9. A flow chart of the rhadamante code.
Figure 9. A flow chart of the rhadamante code.
Preprints 138567 g009
Figure 10. Visualization of the 3D simulation (100 orbit).
Figure 10. Visualization of the 3D simulation (100 orbit).
Preprints 138567 g010
Figure 11. Density isocontours on the disk: Gap opening.
Figure 11. Density isocontours on the disk: Gap opening.
Preprints 138567 g011
Figure 12. Vertical geometry of the wall of the inner edge of the outer disk (picture is not scaled proportionally): Because of the embedded planet the wall is curved. It is ∼ 16 AU in width and ∼ 12.22 AU in height. In this model, the dust consists of a mixture of small and big grains of glassy olivine (silicate) with 50%Fe and 50% Mg and with a small amount of organic and troilite grains.
Figure 12. Vertical geometry of the wall of the inner edge of the outer disk (picture is not scaled proportionally): Because of the embedded planet the wall is curved. It is ∼ 16 AU in width and ∼ 12.22 AU in height. In this model, the dust consists of a mixture of small and big grains of glassy olivine (silicate) with 50%Fe and 50% Mg and with a small amount of organic and troilite grains.
Preprints 138567 g012
Figure 13. Schematic representation of the pre-transitional disk LkCa15. In this ilustration the blue point represents the central star and the curved lines are the disk walls. The wall of the inner disk is fully illuminated by the central star. For the wall of the outer disk, light blue line represents the portion of the wall that is fully illuminated by the star, and black corresponds to the part of the wall that is in the umbra of the inner disk.
Figure 13. Schematic representation of the pre-transitional disk LkCa15. In this ilustration the blue point represents the central star and the curved lines are the disk walls. The wall of the inner disk is fully illuminated by the central star. For the wall of the outer disk, light blue line represents the portion of the wall that is fully illuminated by the star, and black corresponds to the part of the wall that is in the umbra of the inner disk.
Preprints 138567 g013
Figure 14. Area of the projection of a curved wall on the plane of the sky X Y . The wall starts at 53 AU along the mid-plane and ends at 69 AU , with total height of 24 AU , and the disk inclination angle is i = 50 .
Figure 14. Area of the projection of a curved wall on the plane of the sky X Y . The wall starts at 53 AU along the mid-plane and ends at 69 AU , with total height of 24 AU , and the disk inclination angle is i = 50 .
Preprints 138567 g014
Figure 15. Examples of wall synthetic SEDs (green line) compared to the observed SED (blue line) of LkCa 15. The dust mixture consists of different chemical composition of glassy pyroxene silicate grains and with a small amount of organic and troilite grains.
Figure 15. Examples of wall synthetic SEDs (green line) compared to the observed SED (blue line) of LkCa 15. The dust mixture consists of different chemical composition of glassy pyroxene silicate grains and with a small amount of organic and troilite grains.
Preprints 138567 g015
Figure 16. Examples of wall synthetic SEDs (green line) compared to the observed SED (blue line) of LkCa 15. The dust mixture consists of different chemical composition of glassy olivine silicate grains and with a small amount of organic and troilite grains.
Figure 16. Examples of wall synthetic SEDs (green line) compared to the observed SED (blue line) of LkCa 15. The dust mixture consists of different chemical composition of glassy olivine silicate grains and with a small amount of organic and troilite grains.
Preprints 138567 g016
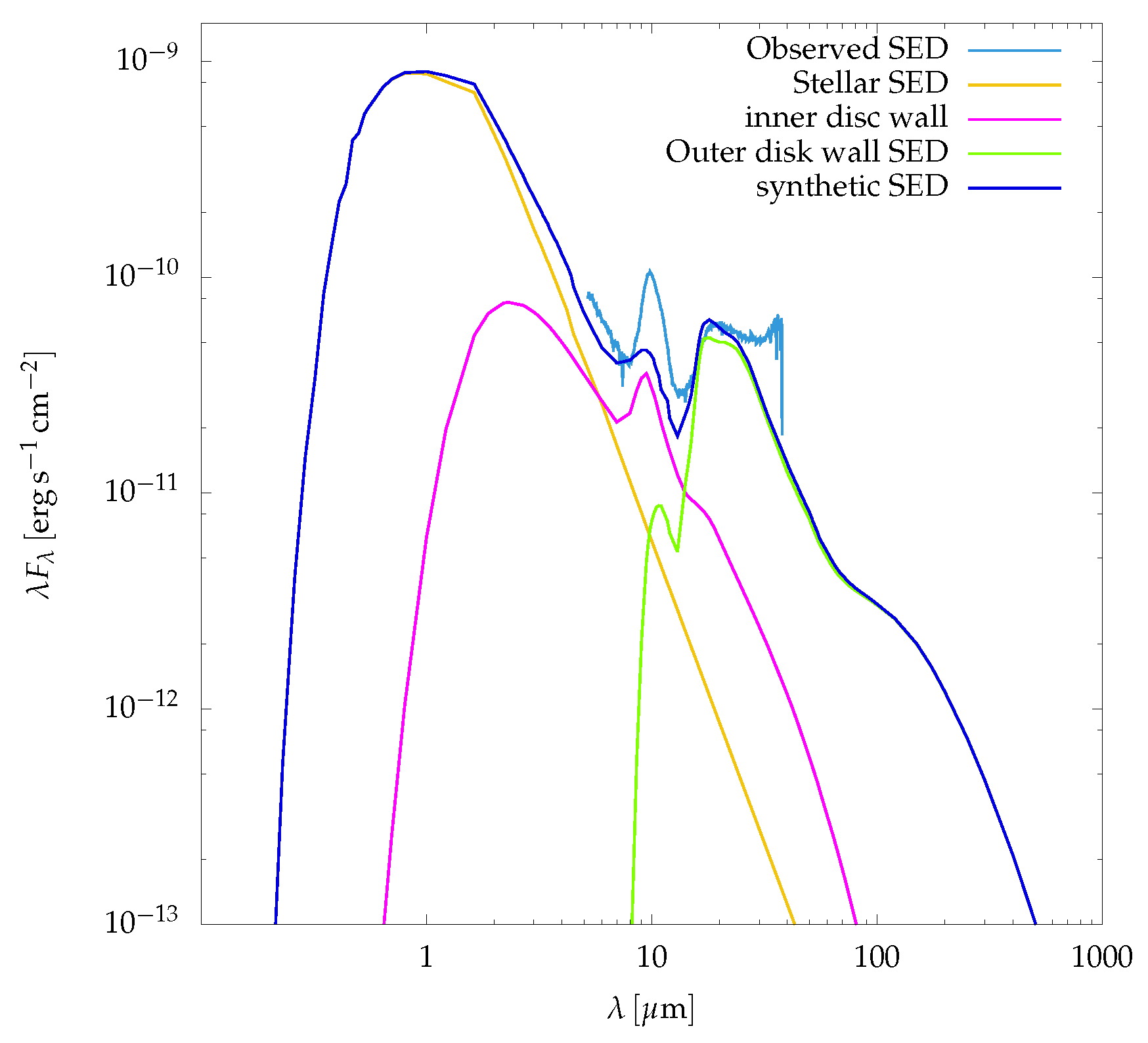
Figure 17. Pre-transitional disk model of LkCa 15. The best-fit model to LkCa 15 (dark blue line), with a ∼ 53 AU gap, consists of an inner optically thick disk with a curved sublimation wall and an outer optically thick disk with a curved wall. Separate model components are the stellar photo-sphere (yellow line), the inner disk sublimation wall (magenta line) and the outer disk wall (green line). We show the Spitzer IRS SED (light blue line).
Figure 17. Pre-transitional disk model of LkCa 15. The best-fit model to LkCa 15 (dark blue line), with a ∼ 53 AU gap, consists of an inner optically thick disk with a curved sublimation wall and an outer optically thick disk with a curved wall. Separate model components are the stellar photo-sphere (yellow line), the inner disk sublimation wall (magenta line) and the outer disk wall (green line). We show the Spitzer IRS SED (light blue line).
Preprints 138567 g017
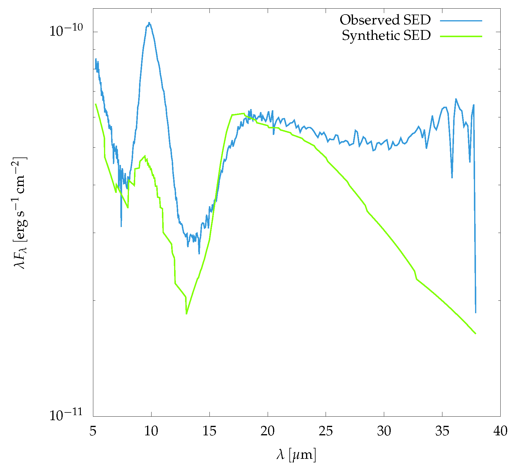
Figure 18. Synthetic SED (green line) that best fit the observed SED (blue line) of LkCa15. With model parameters: cos ( i ) = 0.6427 , R wall = 58.11 AU , H wall = 5.27 AU , z umb = 6.73 AU . The dust in the inner disk consists of small grains ( a min = 0.005 μ m ) and big grains ( a max = 0.25 μ m ) of silicates and graphite, while in the outer disk, the dust consists of small ( a min = 0.005 μ m and a max = 0.25 μ m ) and big grains ( a min = 0.005 μ m , a max = 1000 μ m ) of glassy olivine with 50% Fe and 50% Mg and with a small amount of organic and troilite grains.
Figure 18. Synthetic SED (green line) that best fit the observed SED (blue line) of LkCa15. With model parameters: cos ( i ) = 0.6427 , R wall = 58.11 AU , H wall = 5.27 AU , z umb = 6.73 AU . The dust in the inner disk consists of small grains ( a min = 0.005 μ m ) and big grains ( a max = 0.25 μ m ) of silicates and graphite, while in the outer disk, the dust consists of small ( a min = 0.005 μ m and a max = 0.25 μ m ) and big grains ( a min = 0.005 μ m , a max = 1000 μ m ) of glassy olivine with 50% Fe and 50% Mg and with a small amount of organic and troilite grains.
Preprints 138567 g018
Figure 19. Comparison between synthetic SEDs of vertical walls of gaps located at different R wall , and a curved wall starting at 58.11 AU and finishing at 68.70 AU , created by rhadamante code. All the walls are 12.0 AU in height, and it is considered a shadow (umbra) on the walls of 6.73 AU due to the inner disk. Spitzer IRS SED is showed in blue.
Figure 19. Comparison between synthetic SEDs of vertical walls of gaps located at different R wall , and a curved wall starting at 58.11 AU and finishing at 68.70 AU , created by rhadamante code. All the walls are 12.0 AU in height, and it is considered a shadow (umbra) on the walls of 6.73 AU due to the inner disk. Spitzer IRS SED is showed in blue.
Preprints 138567 g019
Table 1. Disk-planet simulation specifications.
Table 1. Disk-planet simulation specifications.
parameter value
Disk Aspect ratio H 0.045
Surface density Σ 0 1.44666 × 10 4
α –viscosity 0.0
Σ 0 slope 1.0
Flaring index 0.0
Planet m p 10 M
a p 23 A U
RocheSmoothing 0.4
Acretion No
Mesh Units unitless
Dimension 3D
Geometry spherical
[ X min , X max ] [ π , π ]
[ Y min , Y max ] [ 0.1 , 3.666 ]
[ Z min , Z max ] [ 1.37340076 , π / 2 ]
Timing Orbits 500
Table 2. Parameters of the wall for different chemical composition of silicate dust grains: pyroxene and olivine. Organic and troilite grains composition is the same for all cases.
Table 2. Parameters of the wall for different chemical composition of silicate dust grains: pyroxene and olivine. Organic and troilite grains composition is the same for all cases.
silicate R wall [AU] H wall [AU]
pyroxene
Mg 0.4 Fe 0.6 SiO 3 56.0 11.5
Mg 0.6 Fe 0.4 SiO 3 49.8 12.3
Mg 0.8 Fe 0.2 SiO 3 51.0 12.0
Mg 0.95 Fe 0.025 SiO 3 50.0 13.2
olivine
Mg 0.8 Fe 0.2 SiO 4 52.5 10.0
Mg 0.5 Fe 0.5 SiO 4 53.0 12.0
Table 3. Stellar and model properties: R wall min and H wall in the case of the outer wall are measured at the location of the umbra cast by the inner disk. Olivine silicate grains composition is 50% Fe and 50% Mg.
Table 3. Stellar and model properties: R wall min and H wall in the case of the outer wall are measured at the location of the umbra cast by the inner disk. Olivine silicate grains composition is 50% Fe and 50% Mg.
parameter value
M 1.0 M
R 1.6 R
Star T 4370 K
d 120 pc
M ˙ 3.3 × 10 9 M yr 1
Disk Inclination 50
a min 0.005 μ m
a max 1.0 μ m
R wall min 0.04932 AU
Inner wall R wall max 0.18407 AU
H wall 0.02335 AU
T wall min 1014.3 K
T wall max 1443.7 K
Dust silicates
graphite
Outer wall a min small 0.005 μ m
a min small 0.25 μ m
a min big 0.005 μ m
a min big 1000 μ m
R wall min 58.84 AU
R wall max 68.70 AU
z umb 7.44 AU
H wall 4.78 AU
T wall min 59.76 K
T wall max 80.55 K
Dust olivine
organics
troilite
Disclaimer/Publisher’s Note: The statements, opinions and data contained in all publications are solely those of the individual author(s) and contributor(s) and not of MDPI and/or the editor(s). MDPI and/or the editor(s) disclaim responsibility for any injury to people or property resulting from any ideas, methods, instructions or products referred to in the content.
Copyright: This open access article is published under a Creative Commons CC BY 4.0 license, which permit the free download, distribution, and reuse, provided that the author and preprint are cited in any reuse.
Prerpints.org logo

Preprints.org is a free preprint server supported by MDPI in Basel, Switzerland.

Subscribe

Disclaimer

Terms of Use

Privacy Policy

Privacy Settings

© 2026 MDPI (Basel, Switzerland) unless otherwise stated