Preprint
Article

This version is not peer-reviewed.

Evaluation of Fish Biosolids as a Growth Media Component for Organic Tomato Transplant Production

A peer-reviewed article of this preprint also exists.

Submitted:

01 November 2024

Posted:

04 November 2024

You are already at the latest version

Abstract
Interest among consumers is increasing for the availability of organically produced fruits and vegetables. Seafood demand is increasingly being met by fish raised using aquaculture methods that provide fish excretory products that can meet organic standards for nutrient sources for organic vegetables. We conducted an experiment in a glass greenhouse to evaluate fish biosolids as a growth media component for organic tomato transplant production. We compared the fishbiosolids treatment to several different organic fertilizers along with a commonly used inorganic slow-release fertilizer (Osmocote). All treatments used a target N concentration of 400 mg/L incorporated into the substrate and we also included fish biosolids treatments of 200 and 800 mg/L. Plant performance was montiored for 5 weeks starting with commercially available 2-week old seedlings. Results showed that the 800 mg/L fish biosolids treatment compared very favorably with the inorganic Osmocote treatment at the conclusion of the trial. The 800 mg/L fish biosolids treatment exceeded the Osmocote treatment for chlorophyll content and for leaf number for the first 4 weeks of the 5 week trial. Grower management protocols could further improve seedling performance by providing additional top dressings of fish biolsolids or fish effluent waters as the plants age.
Keywords: 
;  ;  ;  ;  

1. Introduction

Organic tomato productivity is directly influenced by the quality of the transplants. Healthy transplants promote vigorous growth, enhance resilience against pests and diseases, and improve yield potential [1]. A tomato transplant is defined as a young tomato plant, 5-7 weeks old, grown from seed in a controlled environment to be transferred to field for further growth [2]. In organic systems, where ecological balance and soil health are of greatest importance, investing in quality transplants is vital for achieving long-term success and productivity. With increased demand for organically grown transplants, there is a limitation of resources that can be used to deliver proper nutrition. Two main groups of resources can be used to supply nutrients: plant- and animal-based amendments and standardized commercially available products [3].
Aquaculture accounts for over 60% of the global food supply and fish are heavily relied on for food security. Fish species excrete biosolids continuously based upon feeding rates and intervals. These metabolic wastes are the non-absorbed nutrients from the feed. Timmons and Vinci [4], (pg. 206) provide a diagram of the mass balance on feed inputs, fish retention, and excreted nutrients (see Figure 1). Fish recirculating systems concentrate and remove these biosolids from the recirculating water so that high water quality conditions can be maintained for fish productivity. The collected biosolids are an excellent source for plant nutrition.
Chen et al. [5] summarized the waste production characteristics of the concentrated TSS coming from an RAS and compared it to domestic sludge characteristics (see Table 1). Compared with typical municipal sludge, aquacultural sludge has a relatively lower solid content and BOD5 concentration. Total ammonia nitrogen (TAN) is fairly low for fresh aquacultural sludge but can increase drastically if the sludge is left undisturbed for a period of time and mineralization occurs under anaerobic conditions. Aquaculture sludge has a higher nitrogen and phosphorous content than domestic sludge. The average value of total phosphorous (TP) is 1.3% of the dry solid mass, while the typical domestic sludge contains only 0.7%.
Research has focused on organic fertilizer sources and natural substitutions for them like fish waste. However, there are few studies that have used fish biosolids as a substitution for conventional/organic fertilization. Fish biosolids are waste products excreted from fish as a waste product. However, fish waste previously studied are remnants of fish bodies composted and applied to soil. Therefore, use of biosolids offers a variation of fertilization other than physical fish products. Additionally, very few studies have compared commercial organic fertilizers to natural substitutions, including fish waste biosolids. Therefore, the objective of this paper was to compare fish biosolids as a nutrient supplement with conventional organic fertilizer treatments for tomato transplant production.

Literature Review

Fertilization is a crucial task necessary for optimal growth and development of various plant species. Commercially sold fertilizers can be organic or inorganic chemical fertilizers. Organic fertilizers are generally more environmentally sustainable but any fertilizer or nutrient application that is not assimilated by the plants will be released into our environment that can accelerate natural aquafer degradation and cause other harmful environmental effects. Cruz-Koisumi et al. [6] concluded that organic agriculture management is essential to promote a greater AM fungi diversity and fungi root colonization for soil cultivation and that plant arbuscular mycorrhizal fungi interaction increased growth rates and it allowed a similar tomato production compared with conventional agriculture.
Fish waste can be reused as fertilizer for plant production which results in a more complete utilization of the fish feed nutrients and form of sustainable food production. Ammonia in fish biosolids is a necessity for plant growth. An example of macro and micro elemental analysis for fish biosolids is provided in Table 2 and Table 3.
Demand for organically produced crops has dramatically increased and the industry has responded by supplying this market demand. This development has led to farmland being converted to organic standards in the United States for growing purposes to rise from 1.8 million in 2000 to 4.9 million in 2021 [8]. 1.8 million farmers in 162 countries worldwide have used organic techniques in 2012 [9], and this value continues to grow. However, the performance of organic fertilizers on various crops in comparison to conventional fertilizers is much less established. Brace [10] using tomato plants (Solanum Lycopersicon L.) compared the impact of application of vermicompost and other organic fertilizers (Sustane, Verdanta, and Microstart) to constant liquid feed fertilizers (CLF) at varying temperatures. Results showed that the performance of the Sustane, Verdanta, and Microstart was superior to the CLF at 20 degrees Celsius. Another study analyzed the differences between two chicken litter-based organic fertilizers with a commercially purchased synthetic controlled-release fertilizer at different application rates on Marigold development [11]. The results indicated that the organically produced fertilizers had optimal growing conditions including plant growth index, dry weight, and flowering rates and that plants receiving organic fertilizer applications had higher levels of nutrients including nitrogen (N), phosphorus (P), and potassium (K). Burnett et al. [12] provided a literature review of organic substrates and fertilizers used in greenhouse production of containerized plants in the United States.
Commercial organic fertilizers have not been the sole focus for organic production of crops. Several animal wastes have been considered for fertilization including fish wastes. Illera-Vives [13] used fish waste and seaweed compost as fertilizer for horticultural application on lettuce crops. In this study, various concentrations of composts were compared to mineral fertilizers. Composted waste in the highest concentration had the highest production yield based upon increased weight and diameter of fruits. Radziemska [14] used fish waste to investigate phytotoxicity effects on it ice lettuce and concluded that fish wastes were non-phytotoxic and increased fresh and dry matter yield and increased nutritional value of lettuce as reflected in increased concentrations of P, K, and N.
Biosolids application for fertilization has not exclusively been animal wastes. Chow [15] studied use of sewage sludge that contained high concentrations of metal elements and converted them to biosolids that were applied at different concentrations to carrots. Results indicated the 10% biosolids application compared to commercially available organic fertilizers produced the best growing patterns through the experimental period. While Chow’s findings are encouraging, the effectiveness of using of fish biosolids is still not well established and hence the objective of this research.

2. Materials and Methods

The present study was conducted in a conventional single pane glass greenhouse during the middle of the summer to evaluate the effectiveness of using organic fertilizers to grow tomato transplant seedlings. The greenhouse was located in Ithaca NY (42.4° N, 76.5° W longitude and latitude). Tomato plants were selected since these plants are a commonly grown commercial crop that are sensitive to nutrient imbalances. Tomato plants were also selected because of their sensitivity to supraoptimal or suboptimal nutrient balances as reflected in visually observable plant characteristics, e.g., nitrogen (N) deficiencies show wilting and yellowing of plant leaves. San Marzano tomato (Solanum Lycopersicon L.) seeds were germinated in 128 cell trays containing Lambert LM-11 germination mix. The plants received daily fertigation of 150ppm N 15-5-15 (JR Peters, Allentown PA) for the first two weeks. After two weeks, the seedlings were transplanted into 4.5” containers containing our final substrate treatments and grown for an additional 5 weeks.
We followed Brace’s [10] target N application recommendation for tomatoes of 400 mg/L. Six treatments were used that each had a media nitrogen (N) concentration of 400 mg/L:
(a) two commercially available organic fertilizers: Sustane1 and EcoVita2
(b) one inorganic fertilizer Osmocote3, and
(c) three treatments using fish biosolids at 0.5, 1.0, and 2.0 times the 400 mg/L concentration of N.
No previous literature was available on the bioavailability of fish biosolids compared to commercial fertilizers with known effectiveness. So, we added the two additional biosolids treatments (0.5 and 2x) to ensure we would have a range of concentrations to determine appropriate application rates and grower recommendations. The control plants had no additive fertilization and are referred to as a treatment group, resulting in seven overall treatment groups (six treatments plus the control).

2.1. Media Preparation

Mixed media was created by adding 80% (6.4 L) commercial Lambert peat moss, 20% (1.6 L) perlite, and 2.95 g/L crushed dolomitic limestone; the limestone was added to adjust the pH of the media to 6.0. Seven 4.5” containers, one per treatment, were placed into flats of 12 spaces (84 containers total). Approximately 420 mL of media was added to each container.

2.2. Treatment Types

Fertilizers used varied in their percent nitrogen (N) concentration: fish biosolids (0.94% N), Sustane (8% N), EcoVita (7% N), Osmocote (15% N), and control (0% N). Based upon each fertilizer’s N content, sufficient fertilizer was added to achieve the target value of 400 mg/L for each treatment, which resulted in a negligible change of media volume. The fish biosolids were obtained from a commercial New York salmonid farm after going through a dewatering process to 79% moisture; the farm was feeding a 44% protein feed obtained from one of the national feed suppliers. A typical analysis of the fish biosolids is provided in Table 4. The fish biosolids were adjusted to the same target N concentrations (400 mg/L) as the commercial fertilizer treatments. The fish biosolids treatments consisted of the target value (400 mg/L or 1X) and double or half of this target value (200 or 800 mg/L). Percent N concentrations were converted from percentages to ppm (mg/kg). Summary of treatment additives and their N concentrations are given in Table 5.

2.3. Measurements, Experimental Design and Statistical Analysis

Our study characterized plant performance by measuring ten parameters: 1) fresh weight, 2) dry weight, 3) percent of dry matter content, 4) plant height, 5) leaf area, 6) leaf number, 7) leaf length, 8) leaf width, 9) stem diameter, and 10) chlorophyll content using soil plant analysis development (SPAD2). The quantitative non-destructive measurements were taken weekly for five consecutive weeks on Tuesdays and Fridays until harvest: plant height, leaf length, leaf width, stem diameter, soil plant analysis development (SPAD), and leaf number. Length measurements were obtained with a ruler or calipers to the nearest cm. We used the longest leaf from the stem diversion to the tip of the leaf (cm) to measure leaf width and length. Stem diameter was measured near its emergence from soil level. Plant height was measured from soil height to the highest point on the physical plant. Leaf length and width measurements are an alternative measurement of growth rate over time. Commonly, these measurements are conducted on the largest fully developed leaf. Chlorophyll content was determined from three leaves per plant and averaged using a SPAD meter4 to estimate chlorophyll content. The SPAD measurement represents crop nitrogen status and chlorophyll content. Leaf area measurements were conducted at harvest (7 weeks post seeding) from detached leaves using the Model 31000 Area Meter3, which calculated the total leaf area as each leaf was passed through the instrumentation equipment. Fresh weight was the raw weight of the plants at the time of harvest (pre-drying) 7 weeks post seeding. Once fresh weights were taken, plants including stems and leaves were placed into paper bags and dried at 70 C and then measured on a microgram scale.
A randomized complete block design (RCBD) consisting of 7 total blocks was used in this trial and created using the agricolae4 library in R. All statistical analysis was performed using RStudio. Statistical significance between treatments was tested using ANOVA and Tukey’s HSD at an alpha value of 5%.
Plants were watered twice a day with clear tap water only. Typical macro and micronutrient analysis of the tap water used in our university greenhouses is given in Table 6. Statistical significance between treatments was tested at an alpha value of 5%. We used two specific types of tests during the experiment by recording parameter measurements of living plants over the course of the experiment and then destructive harvests at the end of the experiment for fresh and dry weights.

3. Results

Photos were taken at the end of the trial to provide visual representative of the results (see Figure 2, treatments left to right are: Control, Fish 0.5X, Fish 1.0X, Fish 2.0X, Sustane, EcoVita, Osmocote) and to supplement the numerical results given in Table 7. These numerical results at the end of the trial are what we considered the most representative physical parameters to quantify plant performance: fresh weight, plant height, leaf number, and chlorophyll.

Performance Over Time

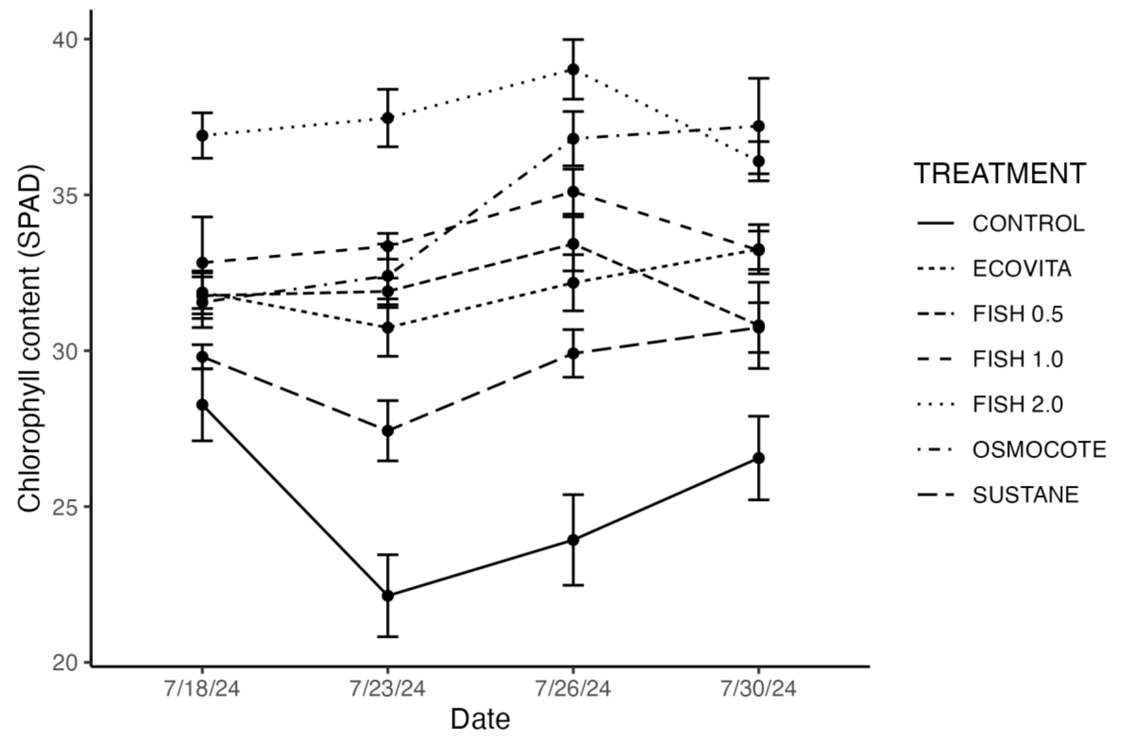
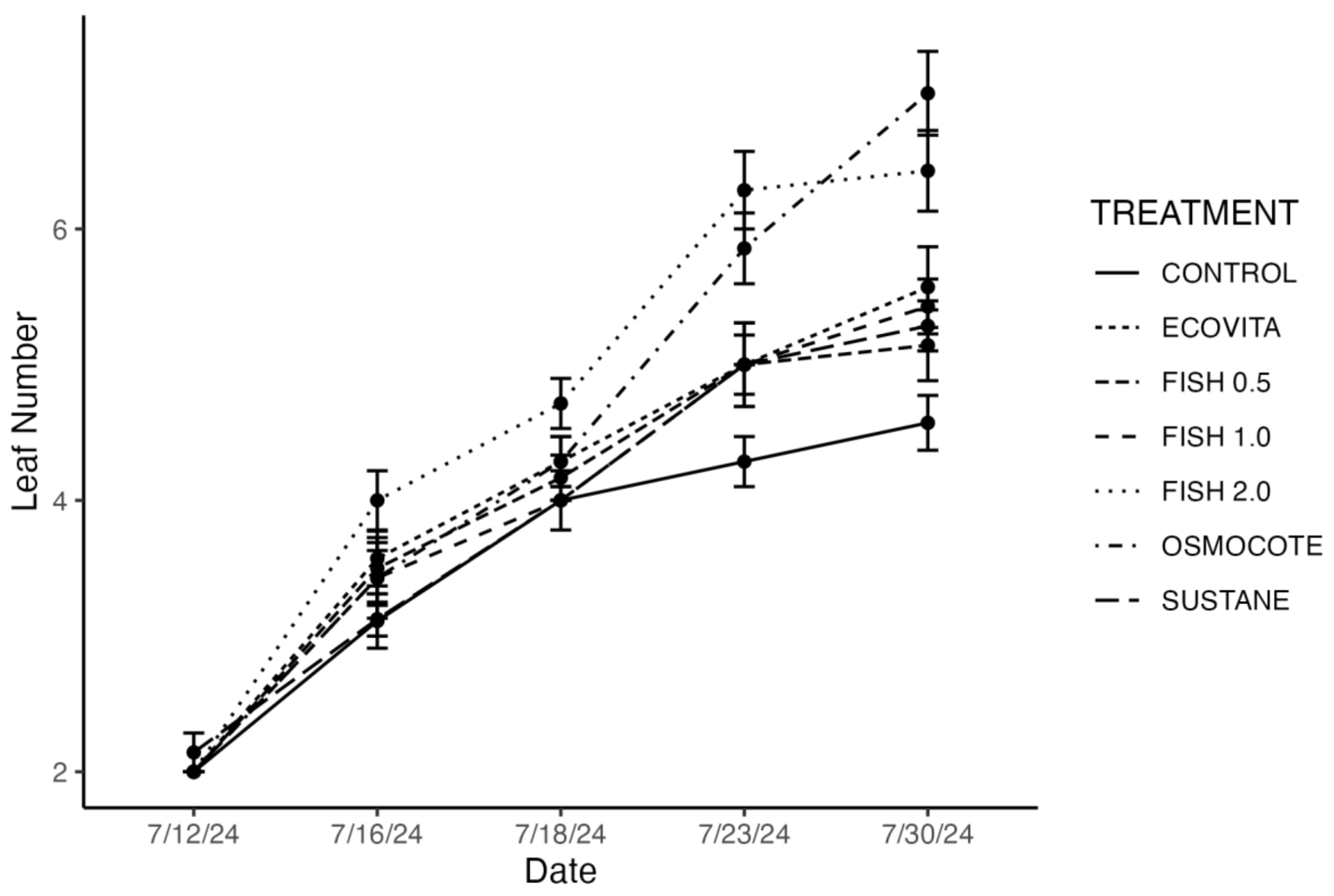
The above results are supplemented by presenting plant performance over time for plant height (Figure 3), leaf number (Figure 4), and chlorophyll content (SPAD, Figure 5).

4. Discussion

The results at the end of the 7-week trial showed that the inorganic Osmocote treatment was superior to all the organic treatments. However, in Figure 4 and Figure 5, the leaf number and chlorophyll values for the Fish Biosolids 2X were actually larger until the final measurement at the end of trial. This presents an opportunity for organic growers as the Osmocote is a slow-release inorganic fertilizer and the organic fish biosolids was a one-time application of nutrients to the potting mix. It is common for many organic fertilizer sources to have about a 4-week supply of nutrients and additional strategies may be necessary to provide fertility beyond this stage [12,16]. Growers could top dress the potting media with additional fish biosolids or irrigate with nutrient fish waters to provide the extra nitrogen needed by the growing plants. Future research should seek to understand factors that impact nutrient release rate from fish biosolids, e.g., temperature, as well as potential nutrient leaching from the different fertilizer sources. As well biosolids from different fish species should be characterized for their nutrient supply to vegetable transplants, since this study used fish biosolids from a salmonid farm. Salmonid feeds tend to be much higher protein contents (42 to 48%) than catfish feeds (28%) for example.

Author Contributions

Conceptualization, Mattson, Osborn, Kaczmar, and Schembri; methodology, Mattson, Kaczmar, Timmons, Osborn and Schembri; formal analysis, Kaczmar; investigation, Schembri and Osborn; resources, Mattson; data curation, Schembri; writing—original draft preparation, Schembri; writing—review and editing, Timmons, Kaczmar, and Mattson; supervision, Kaczmar and Osborn; project administration, Mattson; funding acquisition, Mattson. All authors have read and agreed to the published version of the manuscript.

Funding

This work was supported by joint research under Accession Number 7005941 and extension program funded by the Cornell University Agricultural Experiment Station (Hatch/Multistate funds) and Cornell Cooperative Extension (Smith Lever funds) received from the National Institutes of Food and Agriculture (NIFA), U.S. Department of Agriculture (USDA). Any opinions, findings, conclusions, or recommendations expressed in this publication are those of the author(s) and do not necessarily reflect the view of USDA.

Data Availability Statement

The data presented in this study are available on our open drop box link (https://www.dropbox.com/scl/fi/wwr2qv5pv2igl3gwkvdfy/cicely_formated_Data-September-2024.xls?rlkey=jwenp0y2p028gqsts9b4hgcg5&dl=0) and directly upon request from the corresponding author.

Acknowledgments

A special acknowledgement to Jan Morgan who provided to the first author logistical, emotional, and inspirational support during the course of the study and by providing housing accommodations with love and patience.

Conflicts of Interest

The authors declare no conflicts of interest. The funders had no role in the design of the study; in the collection, analyses, or interpretation of data; in the writing of the manuscript; or in the decision to publish the results.

References

  1. Kelley, W.T.; Boyhan, G.E.; Granberry, D.M.; Sparks, S.; Langston, D.; Cullpepper, S.; Sumner, P.E.; Fonsah, G., 2023. Commercial production of vegetable transplants. University of Georgia Cooperative Extension Bulletin 1144. Available online: https://extension.uga.edu/publications/detail.html?number=B1144.
  2. Boehm, J. (2015). Tomato production: A comprehensive guide to growing tomatoes. University of Florida IFAS Extension.
  3. Treadwell, D.D.; Hochmuth, G.J.; Hochmuth, R.C.; Simmone, E.H.; Davis, L.L.; Laughlin, W.L.; Li, Y.; Olczyk, T.; Sprenkel, R.K.; Osborne, L.S. 2007. Nutrient management in organic greenhouse herb production: Where are we now? HortTechnology 17, pp. 461-466.
  4. Timmons, M.B.; Vinci, B.J. 2022. Recirculating Aquaculture, 5th ed.; Publisher: Ithaca Publishing Company, Ithaca, NY, USA, 2022; pg. 206.
  5. Chen, S., Coffin, D.E., Malone, R.F., 1993. Production, characteristics, and modeling of aquaculture sludge from a recirculating aquaculture system using a granular media biofilter. In: J.K. Wang (Ed.), Techniques for modern aquaculture. St. Joseph, MI, American Society of Agricultural Engineers, pp. 16–25.
  6. Cruz-Koizumi, Y. P., Alayón-Gamboa, J. A., Morón-Ríos, A., Castellanos-Albores, J., Aguilar-Chama, A., & Guevara, R. (2018). Effects of organic and chemical agriculture systems on arbuscular mycorrhizal fungi and green tomato production in Calakmul, mexico. Agricultural Sciences, 09(09), 1145–1167. [CrossRef]
  7. Guerdat, Todd C.; Losordo, Thomas M.; DeLong, Dennis P.; Jones, Richard D. An evaluation of solid waste capture from recirculating aquaculture systems using a geotextile bag system with a flocculant-aid. Aquacultural Engineering, Volume 54, 2013, pp. 1-8.
  8. USDA. (n.d.). Available online: https://www.usda.gov/ (accessed on 5 October 2024).
  9. Willer, H. and L. Kilcher (Eds.). 2012. The World of Organic Agriculture—Statistics and Emerging Trends. Research Institute of Organic Agriculture (FiBL), Frick, and International Federation of Organic Agriculture Movements (IFOAM), Bonn.
  10. Brace, S.A. (2017). Vermicompost application as a fertilizer source and substrate amendment for seedlings and transplants: Practical application and microbial activity analysis. [CrossRef]
  11. Bi, G., Evans, W. B., Spiers, J. M., & Witcher, A. L. (2010). Effects of organic and inorganic fertilizers on marigold growth and flowering. HortScience, 45(9), 1373–1377. [CrossRef]
  12. Burnett, S.E., Mattson, N.S. and Williams, K.A., 2016. Substrates and fertilizers for organic container production of herbs, vegetables, and herbaceous ornamental plants grown in greenhouses in the United States. Scientia Horticulturae, 208, pp.111-119.
  13. Illera-Vives, M., Seoane Labandeira, S., Brito, L. M., López-Fabal, A., & López-Mosquera, M. E. (2015). Evaluation of compost from seaweed and fish waste as a fertilizer for horticultural use. Scientia Horticulturae, 186, 101–107. [CrossRef]
  14. Radziemska, M., Gusiatin, Z. M., Cydzik-Kwiatkowska, A., Cerdà, A., Pecina, V., Bęś, A., Datta, R., Majewski, G., Mazur, Z., Dzięcioł, J., Danish, S., & Brtnický, M. (2021). Insight into metal immobilization and microbial community structure in soil from a steel disposal dump phytostabilized with composted, pyrolyzed or gasified wastes. Chemosphere, 272, 129576. [CrossRef]
  15. Chow, H. Y., & Pan, M. (2020). Fertilization value of biosolids on nutrient accumulation and environmental risks to agricultural plants. Water, Air, & Soil Pollution, 231(12), 578. [CrossRef]
  16. Li, Y. and Mattson, N.S., 2019. Effect of organic fertilizer source and rate on growth and nutrient leachate profile of greenhouse-grown cucumber. HortTechnology, 29(4), pp.450-456.
Figure 1. General mass balance on a feeding fish (Seabass). Note: Carbon balance adds up to approximately 100% with regards to organic carbon [4] (pg. 206).
Figure 1. General mass balance on a feeding fish (Seabass). Note: Carbon balance adds up to approximately 100% with regards to organic carbon [4] (pg. 206).
Preprints 138342 g001
Figure 2. Photos of plants at end of study from two representative flats of the seven used in the trial (left to right: Control, Fish 0.5X, Fish 1.0X, Fish 2.0X, Sustane, EcoVita, Osmocote).
Figure 2. Photos of plants at end of study from two representative flats of the seven used in the trial (left to right: Control, Fish 0.5X, Fish 1.0X, Fish 2.0X, Sustane, EcoVita, Osmocote).
Preprints 138342 g002
Figure 3. Plant height over the experimental period till harvest for the 7 treatments.
Figure 3. Plant height over the experimental period till harvest for the 7 treatments.
Preprints 138342 g003
Figure 4. Leaf number over the experimental period till harvest for the 7 treatments.
Figure 4. Leaf number over the experimental period till harvest for the 7 treatments.
Preprints 138342 g004
Figure 5. Chlorophyll content (as indicated by SPAD measurements) at harvest for the 7 treatments.
Figure 5. Chlorophyll content (as indicated by SPAD measurements) at harvest for the 7 treatments.
Preprints 138342 g005
Table 1. Waste Production Characteristics of Sludge [5].
Table 1. Waste Production Characteristics of Sludge [5].
Aquacultural Sludge Domestic Sludge
Parameter Range Mean St Dev Range Typical
Total Solids (%) 1.4–2.6 1.8 0.35 2.0–8.0 5.0
TVS (% of TS) 74.6–86.6 82.2 4.1 50–80 65
BOD5 (mg/L) 1,590–3,870 2,760 210 2,000–30,000 6,000
TAN (mg/L) 6.8–25.6 18.3 6.1 100–800 400
TP (% of TS) 0.6–2.6 1.3 0.7 0.4–1.2 0.7
pH 6.0–7.2 6.7 0.4 5.0–8.0 6.0
Alkalinity 284–415 334 71 500–1,500 600
BOD20 (mg/L) 3,250–7,670 5,510 1,210
Table 2. Sludge Analysis from the Geotextile Bag System Collected on Day 300 (day 70 of the dewatering phase) [7].
Table 2. Sludge Analysis from the Geotextile Bag System Collected on Day 300 (day 70 of the dewatering phase) [7].
Wet Basis (g/m3) Total Dry Weight (kg)
TKN 9162 6.3
TAN 1710 1.2
NOx-Na 0.8 0.001
TP 2602 1.8
COD 297,000 203.9
TOC 8407 5.8
Cl 119 0.08
K 100 0.07
S 637 0.44
SSb 18 0.01
DM (%)c 13.9 632
VS (%)d 84.8 536
a NOx–N, combined NO2–N and NO3–N. b SS, soluble salts. c DM, dry matter. d VS, volatile solids.
Table 3. Metal Analysis for the Sludge from the Freshwater Geotextile Bag System Collected on Day 300 (day 70 of the dewatering phase) [7].
Table 3. Metal Analysis for the Sludge from the Freshwater Geotextile Bag System Collected on Day 300 (day 70 of the dewatering phase) [7].
Wet Basis (g/m3) Total Dry Weight (kg)
B 0.4 0.28
Ca 3300 2266
Cd 0.1 0.07
Cu 42 28.8
Fe 440 302.1
Mg 178 122.2
Mn 82 56.3
Na 498 342
Ni 0.7 0.48
Pb 1.1 0.76
Zn 118 81.0
Table 4. Nutrient analysis of fish biosolids used in study; biosolids are on wet basis (79% moisture).
Table 4. Nutrient analysis of fish biosolids used in study; biosolids are on wet basis (79% moisture).
Nutrient mg/L Nutrient mg/L
Al 0.089 Mg 12.3
As 0 Mn 0.004
B 0.01 Mo 0
Ba 0.066 Na 28.4
Ca 52.4 Ni 0
Cd 0 P 0.511
Co 0 Pb 0
Cr 0 S 4.36
Cu 0 Se 0
Cu 0.013 Sr 0.194
Fe 0.004 Ti 0
Fe 0 V 0.005
K 0 Zn 0.025
Table 5. Summary of treatment additives and their N concentrations.
Table 5. Summary of treatment additives and their N concentrations.
Product Percent N mg N/kg fertilizer g/L
Control 0 0 0
Fish biosolids 0.5X 0.94 9400 21.3
Fish biosolids 1X 0.94 9400 42.6
Fish biolsolids 2X 0.94 9400 85.1
Sustane 8-4-4 8 80000 5
Verdanta EcoVita 7-5-10 7 70000 5.7
Osmocote 12-7-18 12 120000 3.3
Table 6. Macro and micronutrient analysis (mg/L) of clear water (tap) used for experiments (unpublished lab data).
Table 6. Macro and micronutrient analysis (mg/L) of clear water (tap) used for experiments (unpublished lab data).
Nutrient mg/L Nutrient mg/L
Al 0.089 Mg 12.3
As 0 Mn 0.004
B 0.01 Mo 0
Ba 0.066 Na 28.4
Ca 52.4 Ni 0
Cd 0 P 0.511
Co 0 Pb 0
Cr 0 S 4.36
Cu 0 Se 0
Cu 0.013 Sr 0.194
Fe 0.004 Ti 0
Fe 0 V 0.005
K 0 Zn 0.025
Table 7. Treatment comparison for select parameter measurements (mean, standard error); different letters after mean (se) values indicate difference among treatments at an alpha value of 0.05; yellow highlight is to identify the clearly superior treatments.
Table 7. Treatment comparison for select parameter measurements (mean, standard error); different letters after mean (se) values indicate difference among treatments at an alpha value of 0.05; yellow highlight is to identify the clearly superior treatments.
Treatment Fresh Weight , g Height, cm Leaf Number Chlorophyll Content
Control 5.28 (0.320), e 15.16 (0.357), c 4.57 (0.202), c 26.56 (1.342), c
EcoVita 21.54 (1.393), b 21.07 (0.844), ab 5.57 (0.297), bc 33.25 (0.790), ab
Fish 0.5 10.07 (.382), d 16.10 (0.335), c 5.14 (0.261), c 30.81 (1.382), bc
Fish 1.0 14.55 (0.534), c 18.53 (0.822), b, c 5.43 (0.202), bc 33.22 (0.615), ab
Fish 2.0 24.79 (0.765), b 23.43 (0.902), a 6.42 (0.297), ab 36.08 (0.630), a
Osmocote 33.53 (1.785), a 23.54 (0.883), a 7.00 (0.309), a 37.21 (1.532), a
Sustane 11.31 (0.399), cd 17.50 (1.167), c 5.29 (0.184), c 30.74 (0.798), bc
1
Lambert Head Office 106, Chemin Lambert, Rivière-Ouelle (Québec), Canada, https://lambertpeatmoss.com/en/.
2
SPAD is an indication of the chlorophyll (N) concentration of plants which conveys the degree of greenness and higher SPAD values indicate higher plant nutrition and greenness.
3
Li-Cor Model LI-3100, Lincoln, NE, USA, www.Licor.com/env.
4
Felipe de Mendiburu and Muhammad Yaseen(2020). agricolae: Statistical Procedures for Agricultural Research; R package version 1.4.0 , https://myaseen208.github.io/agricolae/https://cran.r-project.org/package=agricolae.
Disclaimer/Publisher’s Note: The statements, opinions and data contained in all publications are solely those of the individual author(s) and contributor(s) and not of MDPI and/or the editor(s). MDPI and/or the editor(s) disclaim responsibility for any injury to people or property resulting from any ideas, methods, instructions or products referred to in the content.
Copyright: This open access article is published under a Creative Commons CC BY 4.0 license, which permit the free download, distribution, and reuse, provided that the author and preprint are cited in any reuse.
Prerpints.org logo

Preprints.org is a free preprint server supported by MDPI in Basel, Switzerland.

Subscribe

Disclaimer

Terms of Use

Privacy Policy

Privacy Settings

© 2026 MDPI (Basel, Switzerland) unless otherwise stated