Submitted:
27 October 2024
Posted:
28 October 2024
You are already at the latest version
Abstract
Keywords:
1. Introduction
2. Physical Value of Mechanical Motion

3. Some Simple One-Dimensional Transport Scenarii
3.1. Idealized Fly-Through Scenario
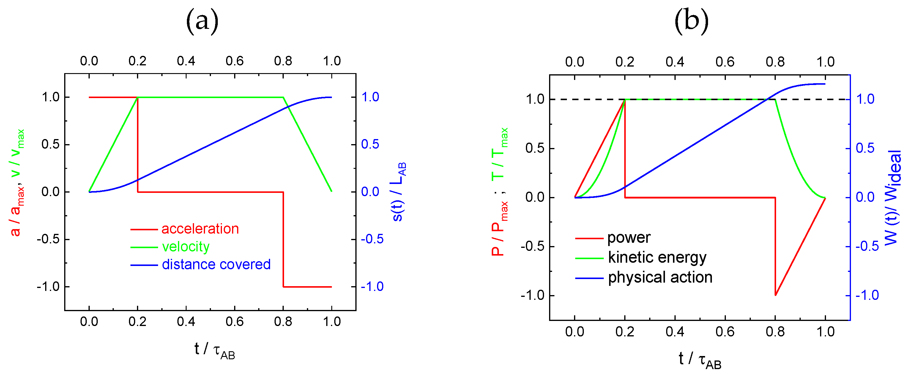
3.2. Start-Stop Scenarii

3.3. Frictional Transport Scenarios
![]() | |
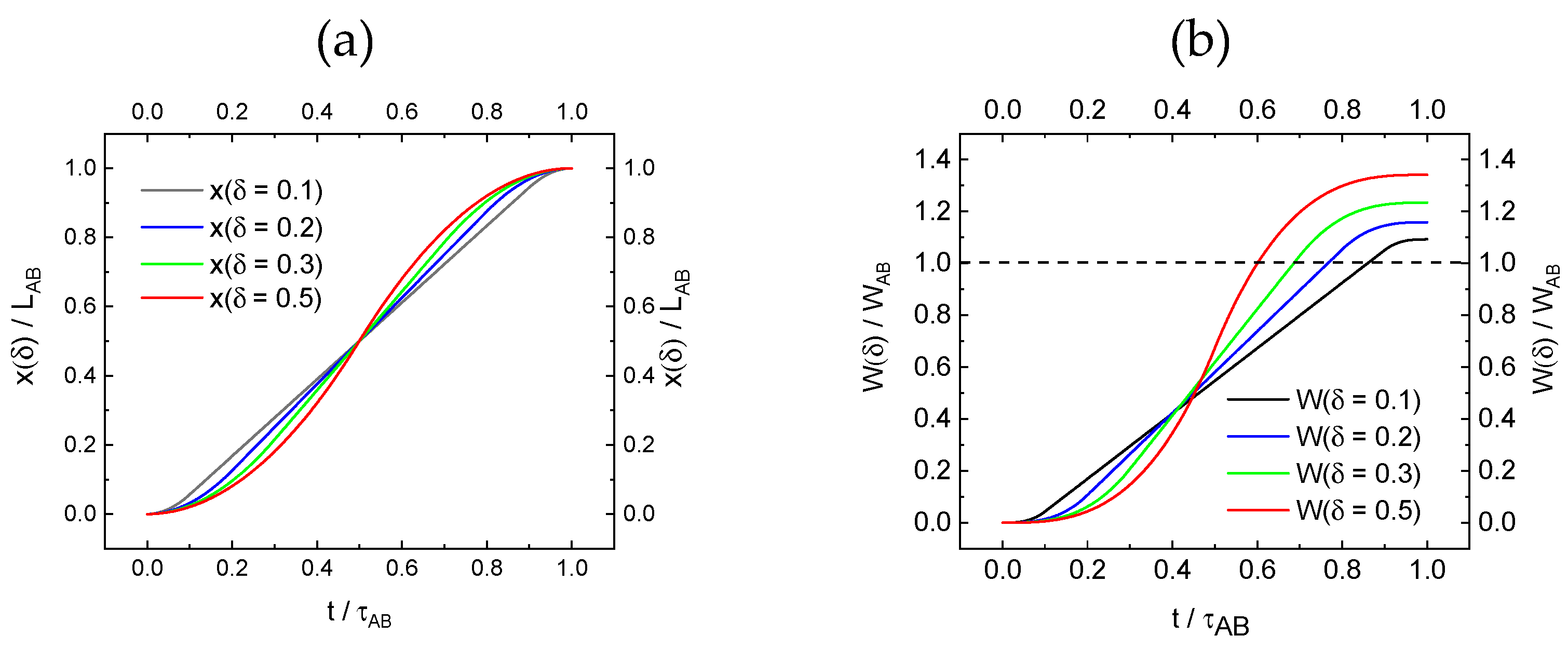
| Figure 7a: Start-stop scenario with and frictional forces acting along the transport path . Arrows denote the direction of the transport (red), the inputs in engine energy (blue) and the withdrawal of energy through air friction and braking (brown). Energy relaxation times in friction-limited transport scenarios are normally in the order of several minutes [10,11]. | Figure 7b: Left-hand ordinate: Physical action versus distance attained for frictional transport (, and frictionless “fly-through” transport (), all plotted versus transport length. Right-hand ordinate: transport value of frictional transport relative to frictionless “fly-through” transport versus transport length. In the evaluation a constant speed of had been assumed. The crossover point at is only weakly dependent on |
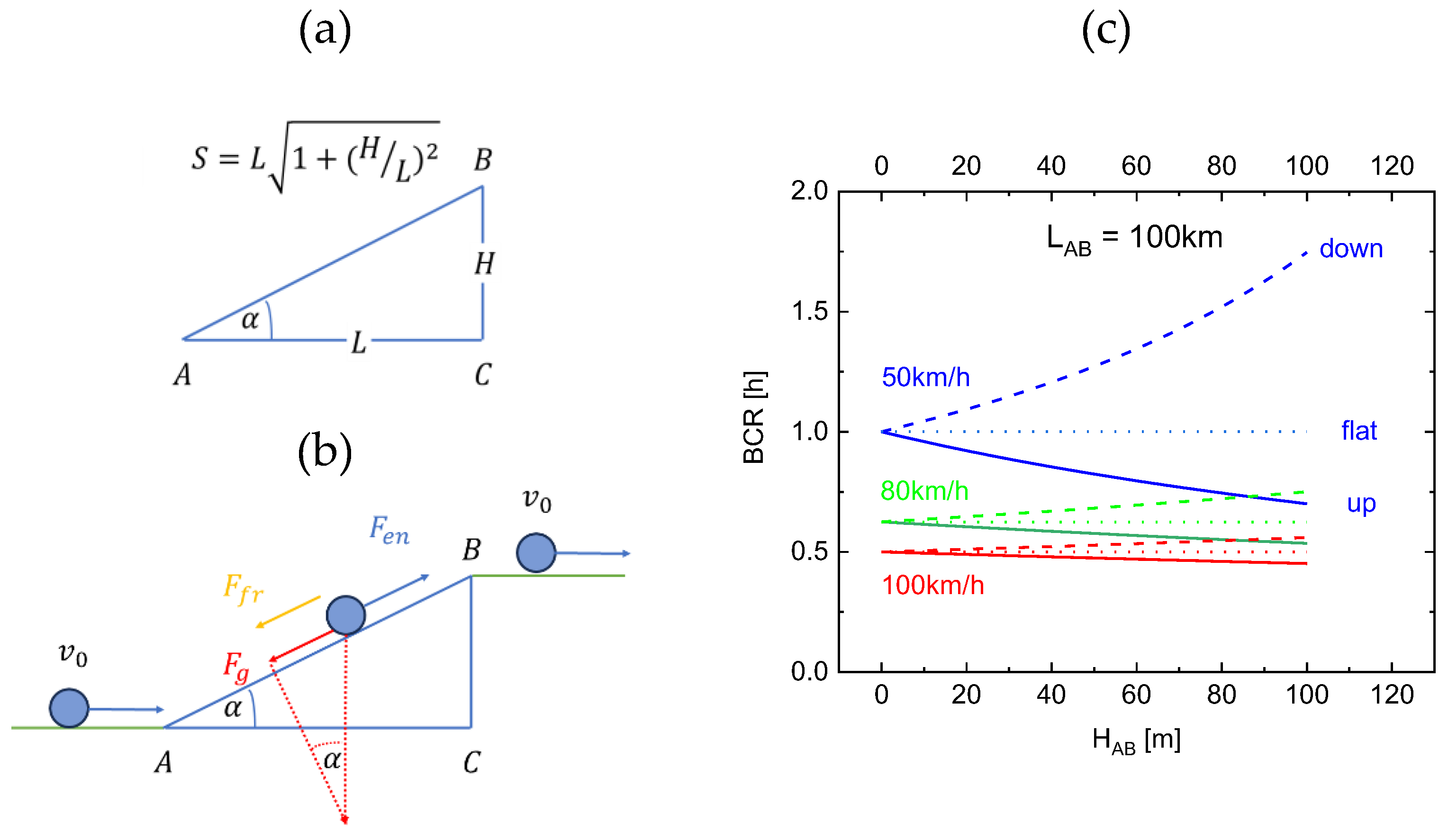
4. Going Across Hills and Valleys
4.1. Profile and Control Forces
4.2. Moving Long Distances Towards Higher and Lower Locations
5. Onboard Measurement of Transport Value
6. Summary and Conclusions
Funding
Institutional Review Board Statement
Data Availability Statement
Conflicts of Interest
References
- Pooley, C.G. Mobility and History: Framing the Argument. In: Mobility, Migration and Transport. Palgrave Studies in Migration History. Palgrave Macmillan, Basingstoke, Hampshire, England, 2017; [CrossRef]
- Dominguez-Mujica, J. Global Change and Human Mobility. Springer, Singapore, 2016, . [CrossRef]
- Domínguez-Mujica, J. Global Change and Human Mobility in the Anthropocene. In: Bański, J., Meadows, M. (eds). Research Directions, Challenges and Achievements of Modern Geography. Advances in Geographical and Environmental Sciences. Springer, Singapore. 2023; [CrossRef]
- Meekan, M.G.; Duarte, C.M.; Fernández-Gracia, J.; Thums, M.; Sequeira, A. M.M.; Harcourt, R. ; Eguíluz, V.M. The Ecology of Human Mobility. Trends in Ecology & Evolution 2017. Volume 32, pp. 198-21, . [CrossRef]
- R. H. Ballou, R.H.; Business Logistics/Supply Chain Management. Planning, Organizing, and Controlling the Supply Chain. 5th edition. Upper Saddle River, 2004, ISBN 0-13-149286-1.
- Goldstein, H, Poole, Ch., Safko, J. Classical mechanics,3rd ed. Addison-Wesley, San Francisco, USA, ISBN 0-201-65702-3.
- Nolting, W. Grundkurs Theoretische Physik 2 – Analytische Mechanik, 8th ed. Springer: Berlin, Heidelberg, New York, Germany, 2006, pp. 198–116.
- Internal combustion engine. Available online: Wikipedia (accessed on 17/09/2024).
- Brake. Available online: Wikipedia (accessed on 17/09/2024).
- Drag coefficient. Available online: Wikipedia (accessed on 17/09/2024).
- Vehicle Coefficient of Drag List. Available online. Vehicle Coefficient of Drag List - EcoModder Forum Wiki (accessed on 17/09/2024).
- Automotive electronics - Wikipedia. Available online: Wikipedia (accessed on 17/09/2024).
- Global Positioning System – Wikipedia. Available online: Wikipedia (accessed on 17/09/2024).
- Anti-lock braking system - Wikipedia. Available online: Wikipedia (accessed on 17/09/2024).
- Electronic stability control - Wikipedia. Available online: Wikipedia (accessed on 17/09/2024).
- Electronic Stability Control – Safety. Available online: Electronic stability control - European Commission (europa.eu).
- MEMS - Wikipedia. Available online: Wikipedia (accessed on 17/09/2024). (accessed on 17/09/2024).
- Layton, R.A. Introductory MEMS. Springer, New York, 2009, . [CrossRef]
- Tilli, M.; Petzhold, M.; Motooka, T.; Paulasto-Krockel, M.; Theus, H.; Lindroos, V. (eds.). Handbook of Silicon Based MEMS Materials and Technologies. Elsevier, 3rd edition, 2020. [CrossRef]
- Algamili, A.S., Khir, M.H.M., Dennis, J.O. et al. A Review of Actuation and Sensing Mechanisms in MEMS-Based Sensor Devices. Nanoscale Res Lett 16, 16 (2021). [CrossRef]
- Collin, J., Davidson, P., Kirkko-Jaakkola, M., Leppäkoski, H. (2019). Inertial Sensors and Their Applications. In: Bhattacharyya, S., Deprettere, E., Leupers, R., Takala, J. (eds). Handbook of Signal Processing Systems. Springer, Cham. [CrossRef]
- llegato, G., Corso, L., Valzasina, C. (2022). Inertial Sensors. In: Vigna, B., Ferrari, P., Villa, F.F., Lasalandra, E., Zerbini, S. (eds). Silicon Sensors and Actuators. Springer, Cham. [CrossRef]








Disclaimer/Publisher’s Note: The statements, opinions and data contained in all publications are solely those of the individual author(s) and contributor(s) and not of MDPI and/or the editor(s). MDPI and/or the editor(s) disclaim responsibility for any injury to people or property resulting from any ideas, methods, instructions or products referred to in the content. |
© 2024 by the authors. Licensee MDPI, Basel, Switzerland. This article is an open access article distributed under the terms and conditions of the Creative Commons Attribution (CC BY) license (http://creativecommons.org/licenses/by/4.0/).

