Submitted:
15 October 2024
Posted:
16 October 2024
You are already at the latest version
Abstract
Keywords:
1. Introduction
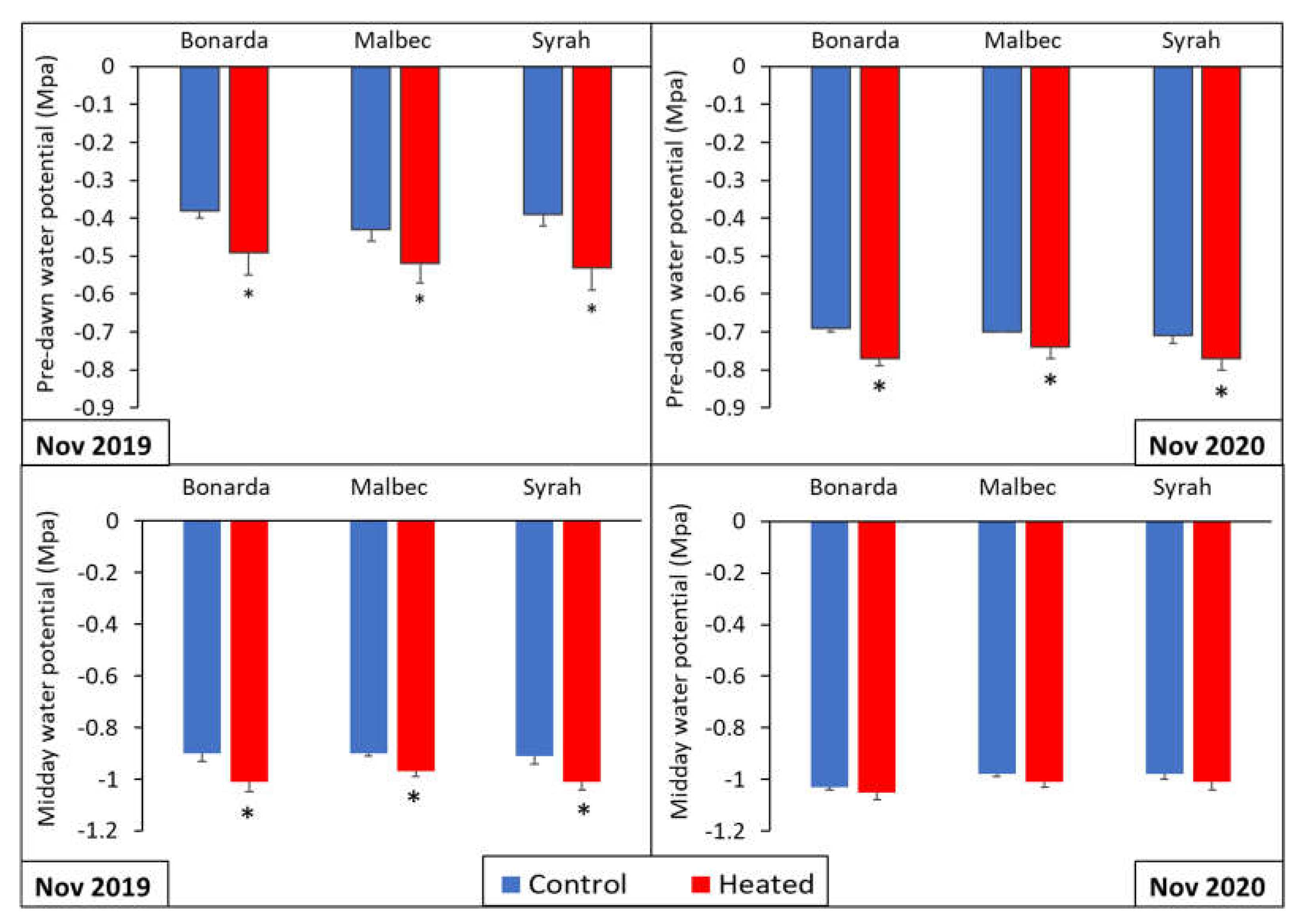
2. Results and Discussion
| Year 2020 | ||||||||||||||
|---|---|---|---|---|---|---|---|---|---|---|---|---|---|---|
| Treatment | Fruit Set (%) | N° of clusters | Cluster weight (g) | N° of berries | Berry weight (g) | Yield (kg/plant) | Ravaz Index | |||||||
| +T | 29,03 | b | 65,56 | 66,71 | b | 53,75 | b | 1,26 | 3,12 | b | 6,76 | b | ||
| -T | 50,42 | a | 65,22 | 82,30 | a | 62,19 | a | 1,32 | 4,42 | a | 8,52 | a | ||
| p-value | <0,0001 | *** | 0,936 | NS | 0,0001 | *** | 0,014 | * | 0,276 | NS | <0,0001 | *** | 0,0001 | *** |
| Cultivar | ||||||||||||||
| Malbec | 48,45 | a | 80,33 | a | 80,49 | a | 60,83 | a | 1,25 | b | 5,05 | a | 4,25 | c |
| Syrah | 38,46 | b | 64,00 | b | 77,84 | a | 60,79 | a | 1,09 | c | 3,29 | b | 5,70 | b |
| Bonarda | 32,26 | c | 51,83 | c | 65,51 | b | 50,79 | b | 1,54 | a | 2,97 | b | 12,97 | a |
| p-value | <0,0001 | *** | 0,0001 | *** | 0,003 | ** | 0.011 | * | <0,0001 | *** | <0,0001 | *** | <0,0001 | *** |
| Treatment x Cultivar | ||||||||||||||
| +T * Malbec | 37,34 | cd | 81,67 | 77,10 | 59,18 | 1,29 | 4,60 | 2,85 | d | |||||
| -T* Malbec | 59,57 | a | 79,00 | 83,83 | 62,50 | 1,20 | 5,50 | 5,64 | bc | |||||
| +T * Syrah | 39,90 | d | 65,33 | 56,01 | 54,42 | 1,07 | 2,53 | 4,09 | cd | |||||
| -T* Syrah | 43,01 | bc | 62,67 | 75,01 | 67,17 | 1,10 | 4,05 | 7,30 | bc | |||||
| +T * Bonarda | 15,85 | e | 49,67 | 67,02 | 47,67 | 1,43 | 2,24 | 13,37 | a | |||||
| -T * Bonarda | 48,67 | b | 54,00 | 86,67 | 53,92 | 1,65 | 3,70 | 12,61 | a | |||||
| p-value | <0,0001 | *** | 0,727 | NS | 0,13 | NS | 0,346 | NS | 0.068 | NS | 0,319 | NS | <0,0001 | *** |
| Year 2021 | ||||||||||||||
| Treatment | Fruit Set (%) | N° of clusters | Cluster weight (g) | N° of berries | Berry weight (g) | Yield (kg/plant) | Ravaz Index | |||||||
| +T | 34,21 | b | 79,67 | b | 49,84 | b | 60,22 | b | 0,86 | a | 4,01 | b | 6,62 | b |
| -T | 61,53 | a | 86,89 | a | 59,57 | a | 70,39 | a | 0,89 | a | 5,16 | a | 7,75 | a |
| p-value | <0,0001 | *** | 0,004 | ** | <0,0001 | *** | <0,0001 | *** | 0,265 | NS | <0,0001 | *** | 0,003 | *** |
| Cultivar | ||||||||||||||
| Malbec | 60,43 | a | 109,67 | a | 53,27 | b | 60,00 | b | 0,89 | b | 5,96 | a | 4,39 | b |
| Syrah | 44,59 | b | 75,17 | b | 48,01 | c | 81,00 | a | 0,59 | c | 3,72 | b | 5,13 | b |
| Bonarda | 38,58 | c | 65,00 | c | 62,83 | a | 54,92 | b | 1,14 | a | 4,07 | b | 12,03 | a |
| p-value | <0,0001 | *** | <0,0001 | *** | <0,0001 | *** | <0,0001 | *** | <0,0001 | *** | <0,0001 | *** | <0,0001 | *** |
| Treatment x Cultivar | ||||||||||||||
| +T * Malbec | 46,34 | c | 105,67 | 49,04 | 55,75 | 0,88 | 5,55 | ab | 3,18 | c | ||||
| -T * Malbec | 74,52 | a | 113,67 | 57,5 | 64,25 | 0,9 | 6,38 | a | 5,61 | b | ||||
| +T* Syrah | 36,54 | d | 70,00 | 43,17 | 73,25 | 0,59 | 3,34 | cd | 3,81 | c | ||||
| -T * Syrah | 52,65 | bc | 80,33 | 52,85 | 88,75 | 0,6 | 4,11 | cd | 6,46 | b | ||||
| +T* Bonarda | 19,74 | e | 63,33 | 57,3 | 51,67 | 1,11 | 5,00 | b | 12,88 | a | ||||
| -T* Bonarda | 57,43 | b | 66,67 | 68,36 | 58,17 | 1,18 | 3,13 | d | 11,18 | a | ||||
| p-value | 0,001 | ** | 0,395 | NS | 0,619 | NS | 0,306 | NS | 0,676 | NS | 0,018 | ** | 0,0001 | *** |
| Year 2020 | Year 2021 | |||||||
| Treatment | TSS (°Brix) | pH | TSS (°Brix) | pH | ||||
| Temp | 25,78 | b | 3,81 | b | 23,87 | b | 3,61 | b |
| Ctl | 24,28 | a | 3,62 | a | 23,29 | a | 3,49 | a |
| p-value | <0,0001 | *** | 0,000 | *** | <0,0001 | *** | 0,030 | ** |
| Cultivar | ||||||||
| Malbec | 24,68 | b | 3,73 | 24,30 | a | 3,63 | ||
| Syrah | 27,80 | a | 3,70 | 25,83 | b | 3,47 | ||
| Bonarda | 22,60 | c | 3,72 | 20,47 | c | 3,54 | ||
| p-value | <0,0001 | *** | 0,746 | NS | <0,0001 | *** | 0.059 | NS |
| Treatment x Cultivar | ||||||||
| Temp * Malbec | 25,27 | 3,82 | 24,67 | 3,66 | ||||
| Ctl * Malbec | 24,10 | 3,64 | 23,93 | 3,59 | ||||
| Temp * Syrah | 28,40 | 3,81 | 26,07 | 3,59 | ||||
| Ctl * Syrah | 27,20 | 3,59 | 25,6 | 3,35 | ||||
| Temp * Bonarda | 23,67 | 3,82 | 20,07 | 3,53 | ||||
| Ctl * Bonarda | 21,53 | 3,63 | 20,87 | 3,56 | ||||
| p-value | 0,200 | NS | 0,877 | NS | 0,612 | NS | 0,200 | NS |
3. Materials and Methods
3.1. Experimental Site
3.2. Experimental Design
3.3. Vegetative and Physiological Measurements
3.4. Inflorescence Set, Fruit Yield, RAVAZ Index, Soluble Solids Contents and pH
3.5. Statistical Analysis
4. Conclusions
Author Contributions
Funding
Data Availability Statement
Acknowledgments
Conflicts of Interest
References
- Van Leeuwen, C; Sgubin, G.; Bois, B.; Ollat, N.; Swingedouw, D.; Zito, S.; Gambetta, G.A. Climate change impacts. Nat. Rev. Earth Environ. 2024, 5, 258–275. [Google Scholar] [CrossRef]
- Jones, G.V.; White, M.A.; Cooper, O.R.; Storchmann, K. Climate Change and Global Wine Quality. Clim. Chang. 2005, 73, 319–343. [Google Scholar] [CrossRef]
- Jones, G. CLIMATE CHANGE IN THE WESTERN UNITED STATES GRAPE GROWING REGIONS. Acta Hortic. 2005, 41–60. [Google Scholar] [CrossRef]
- Hannah, L.; Roehrdanz, P.R.; Ikegami, M.; Hijmans, R.J. Climate change, wine, and conservation. Proc. Natl Acad. Sci. USA, 2013, 110, 6907–6912. [Google Scholar] [CrossRef]
- Ashenfelter, O.; Storchmann, K. Climate Change and Wine: A Review of the Economic Implications. J. Wine Econ. 2016, 11, 105–138. [Google Scholar] [CrossRef]
- White, M.A.; Diffenbaugh, N.S.; Jones, G.V.; Pal, J.S.; Giorgi, F. Extreme heat reduces and shifts United States premium wine production in the 21st century. Proc. Natl. Acad. Sci. 2006, 103, 11217–11222. [Google Scholar] [CrossRef]
- Sadras, V.; Petrie, P. Climate shifts in south-eastern Australia: early maturity of Chardonnay, Shiraz and Cabernet Sauvignon is associated with early onset rather than faster ripening. Aust. J. Grape Wine Res. 2011, 17, 199–205. [Google Scholar] [CrossRef]
- Palliotti, A.; Tombesi, S.; Silvestroni, O.; Lanari, V.; Gatti, M.; Poni, S. Changes in vineyard establishment and canopy management urged by earlier climate-related grape ripening: A review. Sci. Hortic. 2014, 178, 43–54. [Google Scholar] [CrossRef]
- Gomez, M.L.; Hoke, G.; D’ambrosio, S.; Moreiras, S.; Castro, A. Review: Hydrogeology of Northern Mendoza (Argentina), from the Andes to the eastern plains, in the context of climate change. Hydrogeol. J. 2022, 30, 725–750. [Google Scholar] [CrossRef]
- Cabré, M.F.; Quénol, H.; Nuñez, M. Regional climate change scenarios applied to viticultural zoning in Mendoza, Argentina. Int. J. Biometeorol. 2016, 60, 1325–1340. [Google Scholar] [CrossRef]
- Cabré, F.; Nuñez, M. Impacts of climate change on viticulture in Argentina. Reg. Environ. Chang. 2020, 20, 1–12. [Google Scholar] [CrossRef]
- Morales-Castilla, I.; de Cortázar-Atauri, I.G.; Cook, B.I.; Lacombe, T.; Parker, A.; van Leeuwen, C.; Nicholas, K.A.; Wolkovich, E.M. Diversity buffers winegrowing regions from climate change losses. Proc. Natl. Acad. Sci. 2020, 117, 2864–2869. [Google Scholar] [CrossRef] [PubMed]
- E Parker, L.; McElrone, A.J.; Ostoja, S.M.; Forrestel, E.J. Extreme heat effects on perennial crops and strategies for sustaining future production. Plant Sci. 2020, 295, 110397. [Google Scholar] [CrossRef] [PubMed]
- Duchêne, E.; Schneider, C. Grapevine and climatic changes: a glance at the situation in Alsace. Agron. Sustain. Dev. 2005, 25, 93–99. [Google Scholar] [CrossRef]
- Mira de Orduña, R. Climate change associated effects on grape and wine quality and production. Food Research International, 2010, 43(7), 1844–1855.
- Pieri, P. Changement climatique et culture de la vigne: l’essentiel des impacts. In Changement Climatique, Agriculture et Forêt en France: Simulations d’Impacts sur les Principales Espèces, Brisson, N., and F. Levrault (Eds.), Livre Vert du projet CLIMATOR (2007–2010), Angers, France: Ademe Editions, 2010, 213–223.
- Van Leeuwen, C.; Darriet, P. Impact of climate change on viticulture and wine quality. Journal of Wine Economics, 2016, 11(1), 150–167.
- Jones, G.V.; Davis, R.E. Using a synoptic climatological approach to understand climate-viticulture relationships. Int. J. Clim. 2000, 20, 813–837. [Google Scholar] [CrossRef]
- Cameron, W.; Petrie, P.R.; Barlow, E.; Howell, K.; Jarvis, C.; Fuentes, S. A comparison of the effect of temperature on grapevine phenology between vineyards. OENO One 2021, 55, 301–320. [Google Scholar] [CrossRef]
- Cameron, W.; Petrie, P.; Barlow, E. The effect of temperature on grapevine phenological intervals: Sensitivity of budburst to flowering. Agric. For. Meteorol. 2022, 315. [Google Scholar] [CrossRef]
- Merrill, N.K.; de Cortázar-Atauri, I.G.; Parker, A.K.; Walker, M.A.; Wolkovich, E.M. Exploring Grapevine Phenology and High Temperatures Response Under Controlled Conditions. Front. Environ. Sci. 2020, 8. [Google Scholar] [CrossRef]
- Droulia, F.; Charalampopoulo, I. A Review on the Observed Climate Change in Europe and Its Impacts on Viticulture. Atmosphere, 2022, 13(5), 837.
- Schultz, H. Climate change and viticulture: A European perspective on climatology, carbon dioxide and UV-B effects. Aust. J. Grape Wine Res. 2000, 6, 2–12. [Google Scholar] [CrossRef]
- Coombe, B.; McCARTHY, M. Dynamics of grape berry growth and physiology of ripening. Aust. J. Grape Wine Res. 2000, 6, 131–135. [Google Scholar] [CrossRef]
- Ojeda, H.; Deloire, A.; Carbonneau, A. Influence of water deficits on grape berry growth. Vitis -Geilweilerhof, 2001, 40(3), 141-145.
- Deis, L.; Cavagnaro, B.; Bottini, R.; Wuilloud, R.; Silva, M.F. Water deficit and exogenous ABA significantly affect grape and wine phenolic composition under in field and in-vitro conditions. Plant Growth Regul. 2011, 65, 11–21. [Google Scholar] [CrossRef]
- Deis, L.; Cavagnaro, J.B. Effect of water stress in grape berries Cabernet Sauvignon (Mendoza, Argentina) during four years consecutives. Journal of Life Sciences, 2013, 7(9), 993.
- Martinez, F.; Toda, J.G.; Balda, P. Preliminary results on forcing vine regrowth to delay ripening to a cooler period. Vitis, 2019, 58, 17–22. [Google Scholar]
- Morgani, M.B.; Peña, J.E.P.; Fanzone, M.; Prieto, J.A. Pruning after budburst delays phenology and affects yield components, crop coefficient and total evapotranspiration in Vitis vinífera L. cv. ‘Malbec’ in Mendoza, Argentina. Sci. Hortic. 2022, 296, 110886. [Google Scholar] [CrossRef]
- Wilson, A.; Dizy, M.; Dominguez, D.; De Rosas, M.I.; Baldo, Y.; Garcia, L.; Gargantini, R.; Deis, L.; Martinez, L. Overhead spray water treatment as a mitigation strategy to alleviate vine stress and safeguard grape quality during heatwaves. OENO One 2024, 58. [Google Scholar] [CrossRef]
- Venios, X.; Korkas, E.; Nisiotou, A.; Banilas, G. Grapevine Responses to Heat Stress and Global Warming. Plants 2020, 9, 1754. [Google Scholar] [CrossRef]
- Webb, L.; Watt, A.; Hill, T.; Whiting, J.; Wigg, F.; Dunn, G.; Needs, S.; Barlow, S. Extreme heat: managing grapevine response based on vineyard observations from the 2009 heatwave across south-eastern Australia. Wine Vitic. J., 2009, 54, 39–50. [Google Scholar]
- Nemani, R.R.; White, M.A.; Cayan; Jones, G.V.; Running, S.W.; Coughlan, J.C.; Peterson, D.L.; Cayan, D.R. Asymmetric warming over coastal California and its impact on the premium wine industry. Clim. Res. 2001, 19, 25–34. [Google Scholar] [CrossRef]
- Duchêne, E.; Huard, F.; Dumas, V.; Schneider, C.; Merdinoglu, D. The challenge of adapting grapevine varieties to climate change. Clim. Res. 2010, 41, 193–204. [Google Scholar] [CrossRef]
- Cogato, A.; Wu, L.; Jewan, S.Y.Y.; Meggio, F.; Marinello, F.; Sozzi, M.; Pagay, V. Evaluating the Spectral and Physiological Responses of Grapevines (Vitis vinifera L.) to Heat and Water Stresses under Different Vineyard Cooling and Irrigation Strategies. Agronomy 2021, 11, 1940. [Google Scholar] [CrossRef]
- Lambers, H.; Chapin III, F.S.; Pons, T.L. Plant Physiological Ecology, 2nd edition. Springer, New York, 2008.
- Schulze, E.-. .-D.; Lange, O.L.; Kappen, L.; Buschbom, U.; Evenari, M. Stomatal responses to changes in temperature at increasing water stress. Planta 1973, 110, 29–42. [Google Scholar] [CrossRef]
- Ruffner, H.P. Metabolism of tartaric and malic acids in Vitis: a review — part A. Vitis 1982, 21, 247–247. [Google Scholar]
- van Leeuwen, C.; Destrac-Irvine, A.; Dubernet, M.; Duchêne, E.; Gowdy, M.; Marguerit, E.; Pieri, P.; Parker, A.; de Rességuier, L.; Ollat, N. An Update on the Impact of Climate Change in Viticulture and Potential Adaptations. Agronomy 2019, 9, 514. [Google Scholar] [CrossRef]
- Bindi, M.; Fibbi, L.; Miglietta, F. Free Air CO2 Enrichment (FACE) of grapevine (Vitis vinifera L.): II. Growth and quality of grape and wine in response to elevated CO2 concentrations. Eur. J. Agron. 2001, 14, 145–155. [Google Scholar] [CrossRef]
- Ravaz, M.L. L’effeuellage de la vigne. Annales d L’Ecole Nationale d’agriculture de Montpellier. 1911, 11, 216–244. [Google Scholar]
- Greer, D.H.; Weston, C. Heat stress affects flowering, berry growth, sugar accumulation and photosynthesis of Vitis vinifera cv. Semillon grapevines grown in a controlled environment. Funct. Plant Biol. 2010, 37, 206–214. [Google Scholar] [CrossRef]
- Greer, D.H. Responses of biomass accumulation, photosynthesis and the net carbon budget to high canopy temperatures of Vitis vinifera L. cv. Semillon vines grown in field conditions. Environ. Exp. Bot. 2017, 138, 10–20. [Google Scholar] [CrossRef]
- Fraga, H.; Molitor, D.; Leolini, L.; Santos, J.A. What Is the Impact of Heatwaves on European Viticulture? A Modelling Assessment. Appl. Sci. 2020, 10, 3030. [Google Scholar] [CrossRef]
- Molitor, D.; Junk, J. Climate change is implicating a two-fold impact on air temperature increase in the ripening period under the conditions of the Luxembourgish grape growing region. OENO One, 2019, 53, 409–422. [Google Scholar] [CrossRef]
- Schultz, H.R.; Jones, G.V. Climate Induced Historic and Future Changes in Viticulture. J. Wine Res. 2010, 21, 137–145. [Google Scholar] [CrossRef]
- Leolini, L.; Moriondo, M.; Romboli, Y.; Gardiman, M.; Costafreda-Aumedes, S.; Bindi, M.; Granchi, L.; Brilli, L. Modelling sugar and acid content in Sangiovese grapes under future climates: an Italian case study. Clim. Res. 2019, 78, 211–224. [Google Scholar] [CrossRef]
- Petrie, P.; Sadras, V. Advancement of grapevine maturity in Australia between 1993 and 2006: putative causes, magnitude of trends and viticultural consequences. Aust. J. Grape Wine Res. 2008, 14, 33–45. [Google Scholar] [CrossRef]
- Drappier, J.; Thibon, C.; Rabot, A.; Geny-Denis, L. Relationship between wine composition and temperature: Impact on Bordeaux wine typicity in the context of global warming—Review. Crit. Rev. Food Sci. Nutr. 2017, 59, 14–30. [Google Scholar] [CrossRef] [PubMed]
- Greer, D.H.; Weedon, M.M. Does the hydrocooling of Vitis vinifera cv. Semillon vines protect the vegetative and reproductive growth processes and vine performance against high summer temperatures? Functional Plant Biology, 2014, 41(6), 620.
- IPCC. Summary for Policymakers. In: Climate Change 2021: The Physical Science Basis. Contribution of Working Group I to the Sixth Assessment Report of the Intergovernmental Panel on Climate Change (ed. Masson-Delmotte, V. et al.), 2021, 3–32 (Cambridge Univ. Press, 2021).
- Cirrincione, M..; Arancibia, C.; Dominguez, D.L.E.; Malovini, E.J.; Martínez, L.E. Design and evaluation of an active vineyard heating system to simulate temperature increase in the context of climate change. OENO One 2024, 58. [Google Scholar] [CrossRef]
- Coombe, B.G. Growth Stages of the Grapevine: Adoption of a system for identifying grapevine growth stages. Aust. J. Grape Wine Res. 1995, 1, 104–110. [Google Scholar] [CrossRef]
- Keller, M. Managing grapevines to optimise fruit development in a challenging environment: a climate change primer for viticulturists. Aust. J. Grape Wine Res. 2010, 16, 56–69. [Google Scholar] [CrossRef]
- Rienzo, J.A.; Guzman, A.W.; Casanoves, F. A multiple-comparisons method based on the distribution of the root node distance of a binary tree. J. Agric. Biol. Environ. Stat. 2002, 7, 129–142. [Google Scholar] [CrossRef]
- Di Rienzo, J.A; Casanoves, F; Balzarini, M.G; Gonzalez, L; Tablada, M; Robledo, C.W. InfoStat versión 2020. Grupo InfoStat, FCA, Universidad Nacional de Córdoba, Argentina. 2020, URL: http://www.infostat.com.ar.
- Lumivero. XLSTAT statistical and data analysis solution. New York, USA. 2024. https://xlstat.com/es.







| Season | Cultivar | Treatment | GSL (days) | BVL (days) | VHL (days) | TIGSL | TIBVL | TIVHL |
|---|---|---|---|---|---|---|---|---|
| 2019-2020 | Malbec | +T | 176 | 67 | 57 | 2440,78 | 1090,84 | 966,59 |
| 2019-2020 | Malbec | -T | 169 | 67 | 57 | 2063,63 | 950,51 | 764,66 |
| 2019-2020 | Syrah | +T | 171 | 64 | 54 | 2395,66 | 1060,73 | 821,38 |
| 2019-2020 | Syrah | -T | 171 | 62 | 58 | 2085,75 | 887,67 | 771,2 |
| 2019-2020 | Bonarda | +T | 182 | 65 | 65 | 2529,70 | 1064,00 | 1080,20 |
| 2019-2020 | Bonarda | -T | 177 | 64 | 66 | 2152,11 | 908,79 | 868,72 |
| 2020-2021 | Malbec | +T | 180 | 72 | 65 | 2464,37 | 1068,22 | 949,91 |
| 2020-2021 | Malbec | -T | 175 | 66 | 66 | 2000,81 | 852,53 | 771,02 |
| 2020-2021 | Syrah | +T | 179 | 72 | 65 | 2454,87 | 1068,22 | 949,91 |
| 2020-2021 | Syrah | -T | 174 | 66 | 66 | 1993,81 | 852,53 | 771,02 |
| 2020-2021 | Bonarda | +T | 198 | 75 | 81 | 2667,84 | 1108,49 | 1127,05 |
| 2020-2021 | Bonarda | -T | 192 | 67 | 82 | 2169,79 | 865,77 | 926,76 |
Disclaimer/Publisher’s Note: The statements, opinions and data contained in all publications are solely those of the individual author(s) and contributor(s) and not of MDPI and/or the editor(s). MDPI and/or the editor(s) disclaim responsibility for any injury to people or property resulting from any ideas, methods, instructions or products referred to in the content. |
© 2024 by the authors. Licensee MDPI, Basel, Switzerland. This article is an open access article distributed under the terms and conditions of the Creative Commons Attribution (CC BY) license (http://creativecommons.org/licenses/by/4.0/).
