Submitted:
15 October 2024
Posted:
15 October 2024
You are already at the latest version
Abstract
Keywords:
1. Introduction
2. Materials and Methods
Experimental Design
Statistical Analysis
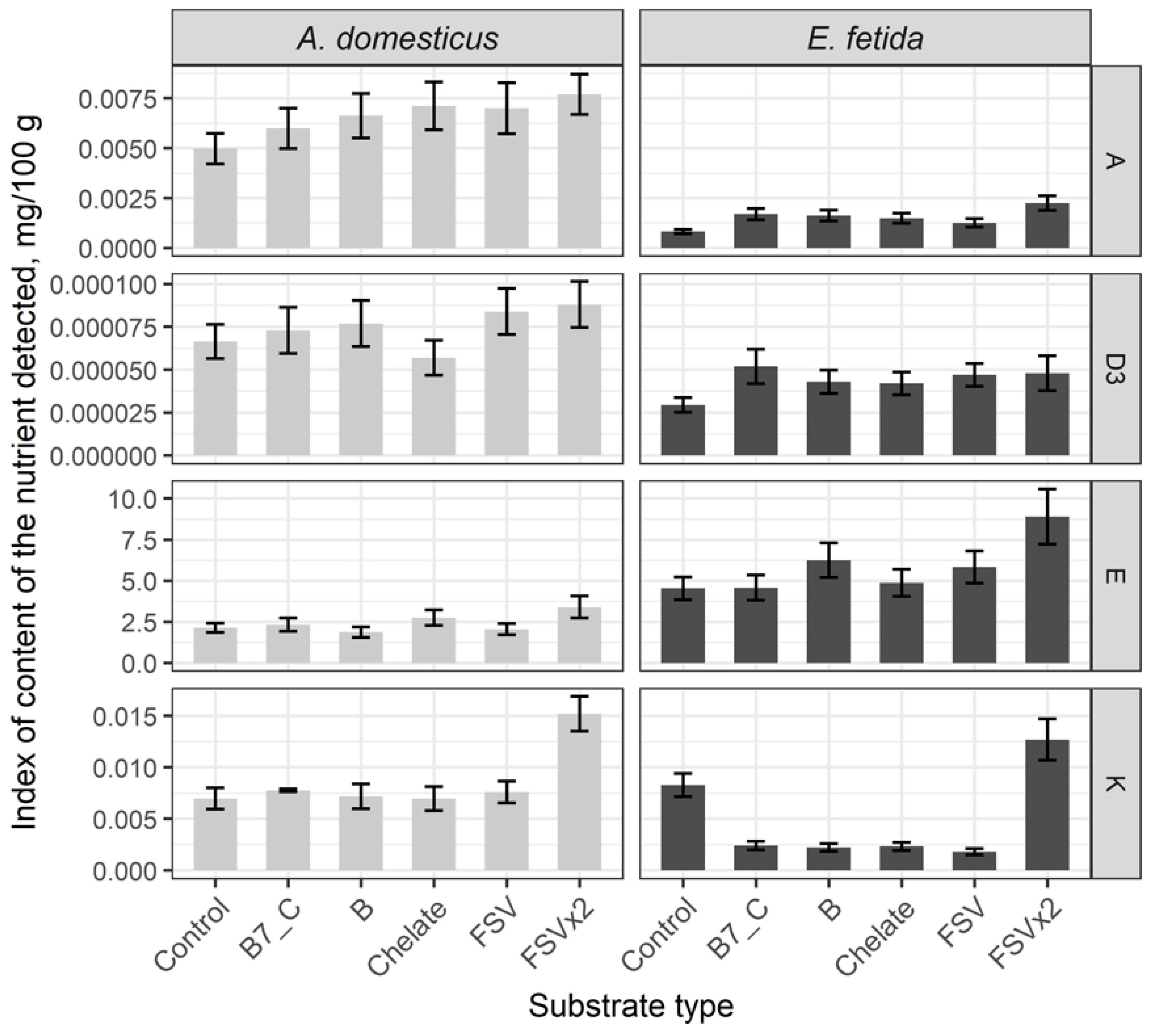
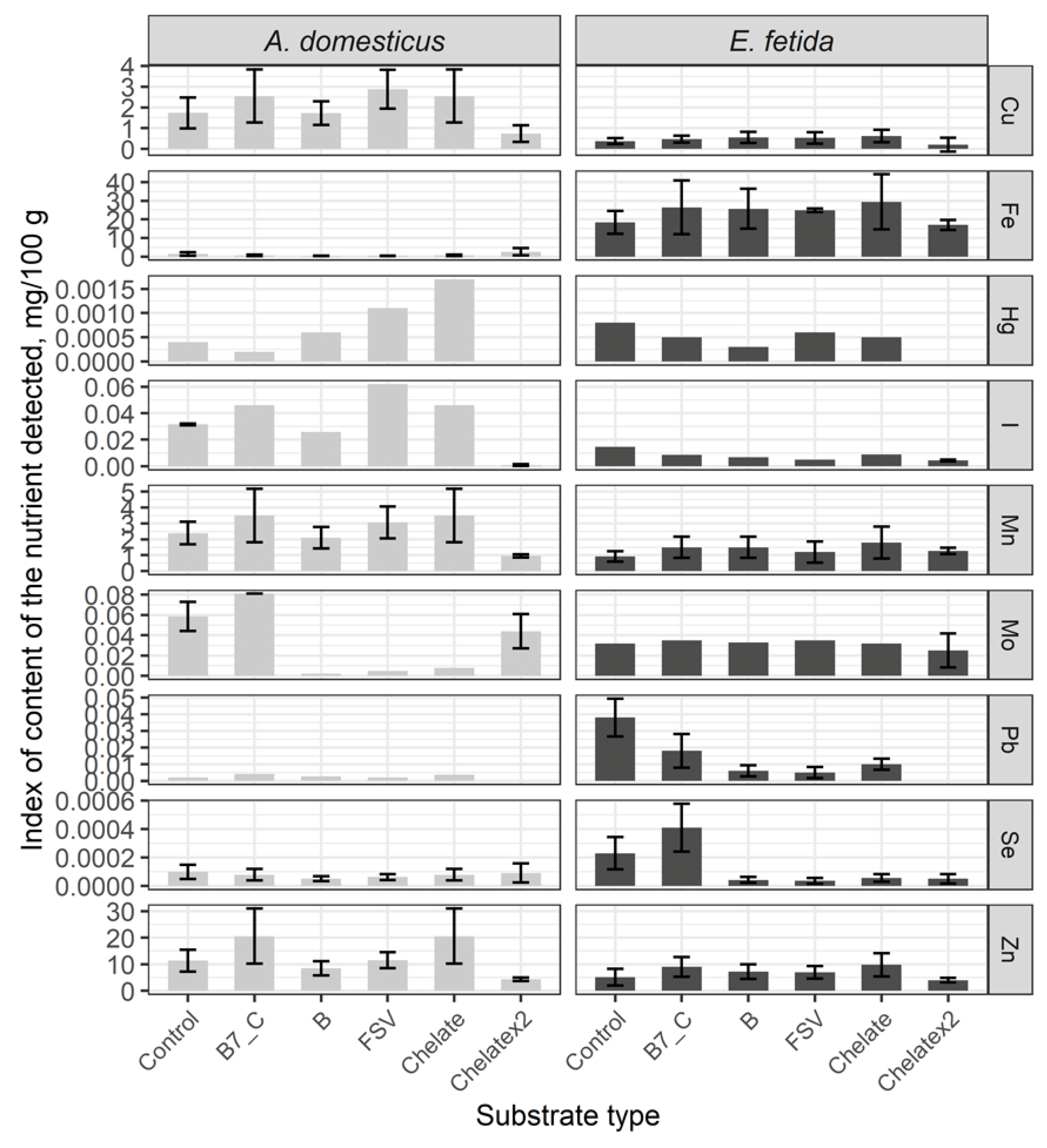
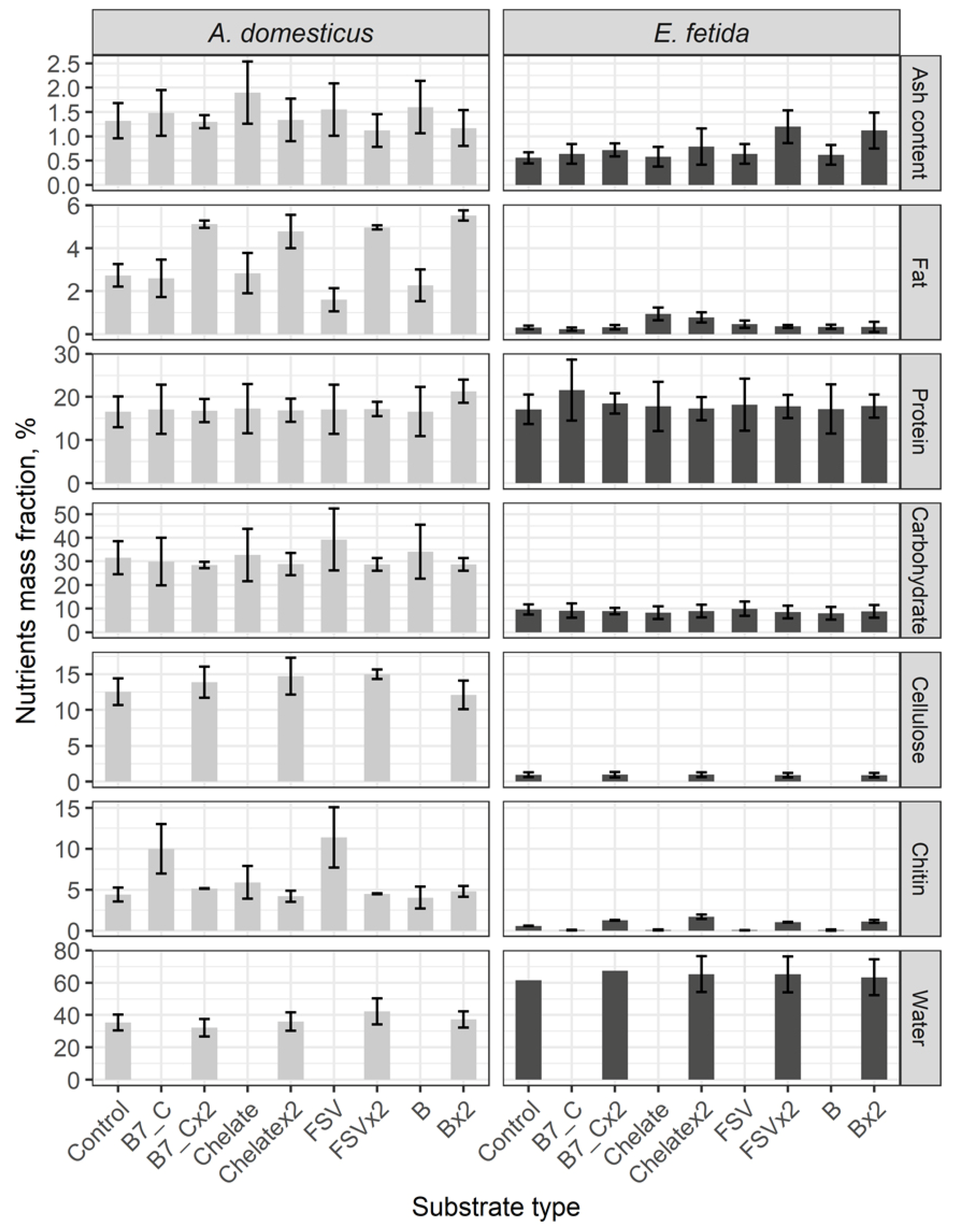
Results
Nutrient Composition in the Biomass of Model Species
Discussion
Conclusions
Author Contributions
Funding
Institutional Review Board Statement
Informed Consent Statement
Data Availability Statement
Acknowledgements
Conflicts of Interest
References
- Wilson-Sanders, S.E. Invertebrate Models for Biomedical Research, Testing, and Education. ILAR Journal 2011, 52, 126–152. [Google Scholar] [CrossRef] [PubMed]
- Scanes, C. Invertebrates and Their Use by Humans. Animals and Human Society 2018, 181–193. [Google Scholar] [CrossRef]
- Pollo, S.; Vitale, A. Invertebrates and Humans: Science, Ethics, and Policy. The Welfare of Invertebrate Animals 2019, 7–22. [Google Scholar] [CrossRef]
- Rueda García, A.M.; Fracassi, P.; Scherf, B.D.; Hamon, M.; Iannotti, L. Unveiling the Nutritional Quality of Terrestrial Animal Source Foods by Species and Characteristics of Livestock Systems. Nutrients 2024, 16, 3346. [Google Scholar] [CrossRef]
- Iannotti, L.; Rueda García, A.M.; Palma, G.; Fontaine, F.; Scherf, B.; Neufeld, L.M.; Zimmerman, R.; Fracassi, P. Terrestrial Animal Source Foods and Health Outcomes for Those with Special Nutrient Needs in the Life Course. Nutrients 2024, 16, 3231. [Google Scholar] [CrossRef]
- Drewnowski, A.; Fulgoni III, V.L. Nutrient density: principles and evaluation tools. The American journal of clinical nutrition 2014, 99, 1223S–1228S. [Google Scholar] [CrossRef]
- Van Raamsdonk, L.W.D.; Van der Fels-Klerx, H.J.; De Jong, J. New feed ingredients: the insect opportunity. Food Additives & Contaminants: Part A 2017, 34, 1384–1397. [Google Scholar] [CrossRef]
- Tang, C.; Yang, D.; Liao, H.; Sun, H.; Liu, C.; Wei, L.; Li, F. Edible insects as a food source: a review. Food Production, Processing and Nutrition 2019, 1, 8. [Google Scholar] [CrossRef]
- Tobolkova, B. Edible Insects-the Future of a Healthy Diet? Novel Techniques in Nutrition and Food Science 2019, 4, 000584. [Google Scholar] [CrossRef]
- Oonincx, D.G.A.B.; van der Poel, A.F.B. Effects of diet on the chemical composition of migratory locusts (Locusta migratoria). Zoo Biology 2011, 30, 9–16. [Google Scholar] [CrossRef]
- Van Huis, A.; Van Itterbeeck, J.; Klunder, H.; Mertens, E.; Halloran, A.; Muir, G.; Vantomme, P. Edible insects: future prospects for food and feed security. Food and agriculture organization of the united nations: Rome, 2013; pp. 190. https://www.fao.org/3/i3253e/i3253e.pdf.
- Zielińska, E.; Baraniak, B.; Karaś, M.; Rybczyńska, K.; Jakubczyk, A. Selected species of edible insects as a source of nutrient composition. Food Research International 2015, 77, 460–466. [Google Scholar] [CrossRef]
- Derrien, C.; Boccuni, A. Current Status of the Insect Producing Industry in Europe. Edible Insects in Sustainable Food Systems. [CrossRef]
- Gorbunova, N.A.; Zakharov, A.N. Edible insects as a source of alternative protein. A review. Theory and practice of meat processing 2021, 6, 23–32. [Google Scholar] [CrossRef]
- Tshernyshev, S.E.; Babkina, I.B.; Modyaeva, V.P.; Morozova, M.D.; Subbotina, E.Yu.; Shcherbakov, M.V.; Simakova, A.V. Invertebrates of Siberia, a potential source of animal protein for innovative food production. 1. The keelback slugs (Gastropoda: Limacidae). Acta Biologica Sibirica 2022, 8, 749–762. [Google Scholar]
- Tshernyshev, S.E.; Baghirov, R. T-O.; Modyaeva, V.P.; Morozova, M.D.; Skriptcova, K.E.; Subbotina, E.Yu.; Shcherbakov, M.V.; Simakova, A.V. Invertebrates of Siberia, a potential source of animal protein for innovative human food production. 3. Principles of biomass nutrient composition design. Euroasian Entomological Journal 2023, 22, 246–255. [Google Scholar] [CrossRef]
- Tshernyshev, S.E.; Baghirov, R. T-O.; Modyaeva, V.P.; Morozova, M.D.; Skriptcova, K.E.; Subbotina, E.Yu.; Shcherbakov, M.V.; Simakova, A.V. Invertebrates of Siberia, a potential source of animal protein for innovative food production. 4. New method of protein food and feed products generation. Euroasian Entomological Journal 2023, 22, 285–290. [Google Scholar]
- Olivadese, M.; Dindo, M.L. Edible Insects: A Historical and Cultural Perspective on Entomophagy with a Focus on Western Societies. Insects 2023, 14, 690. [Google Scholar] [CrossRef]
- Siaw, C.L.; Idrus, Z.; Yu, S.Y. Intermediate technology for fish craker (“keropok”) production. International Journal of Food Science and Technology 1985, 20, 17–21. [Google Scholar] [CrossRef]
- Widati, U.S. The long influence of boiling on the level of development of rabbit skin rambak crackers after gfrying. Faculty of Animal Husbandry. 1988. University of Brawijaya.
- Kartiwa, U.M. Utilization of Fish Skin as Raw Material for Making Skin Crackers. Thesis. Faculty of Fisheries and Kelatan Sciences. Agricultural Institute, Bogor. 2002.
- Junianto; Haetami, K.; Maulina, I. Fish skin production and utilization it as a basic ingredient in making crackers. Hibah Research Report Competing IV Year I. 2006. Faculty of Fisheries and Marine Sciences Hasanuddin University. Makassar.
- Lilir, F.B.; Palar, C.K.M.; Lontaan, N.N. Effect of time drying on the processing of cow skin crackers. Zootec 2021, 41, 214–222. [Google Scholar] [CrossRef]
- Susanti, S.; Hintono, A.; Mulyani, S.; Ardi, F.A.; Arifan, F. Comparison of chemical characteristics of various commercial animal skin crackers. American Journal of Animal and Veterinary Sciences 2022, 17, 314–321. [Google Scholar] [CrossRef]
- Chairil, A.; Irhami; Umar, H. A.; Irmayanti. The effect of long skin soaking in the calcium solution on the quality of rambak crackers from buffalo skin. Theory and practice of meat processing 2023, 8, 12–18. [Google Scholar] [CrossRef]
- Fatik Baran Mandal, Moumita Dutta. The potential of entomophagy against malnutrition and ensuring food sustainability. African Journal of Biological Sciences 2022, 2022. 4, 15–22. [Google Scholar] [CrossRef]
- Premalatha, M.; Abbasi, T.; Abbasi, T.; Abbasi, S.A. Energy-efficient food production to reduce global warming and ecodegradation: The use of edible insects. Renewable and Sustainable Energy Reviews 2011, 4357–4360. [Google Scholar] [CrossRef]
- Belluco, S.; Losasso, C.; Maggioletti, M.; Alonzi, C.C.; Paoletti, M.G.; Ricci, A. Edible insects in a food safety and nutritional perspective: A critical review. Comprehensive Reviews in Food Science and Food Safety 2013, 129, 296–313. [Google Scholar] [CrossRef]
- Hanboonsong, Yu.; Jamjanya, T.; Durst, P.B. Six-legged livestock: edible insect farming, collection and marketing in Thailand Bangkok. Food and agriculture organization of the United Nations regional office for Asia and the Pacific. 2013. Bangkok 58. https://www.fao.org/3/i3246e/i3246e00.htm.
- Mlcek, J.; Rop, O.; Borkovcova, M.; Bednarova, M. A comprehensive look at the possibilities of edible insects as food in Europe — a review. Polish Journal of Food and Nutrition Sciences 2014, 64, 147–157. [Google Scholar] [CrossRef]
- Assielou, B.; Due, E.A.; Koff, M.D.; Dabonne, S.; Kouame, P.L. Oryctes owariensis Larvae as Good Alternative Protein Source: Nutritional and Functional Properties. Annual Research, Review in Biology 2015, 8, 1–9. [Google Scholar] [CrossRef]
- Han, R.; Shin, J.T.; Kim, J.; Choi, Y.S.; Kim, Y.W. An overview of the South Korean edible insect food industry: Challenges and future pricing/promotion strategies. Entomological Research 2017, 47, 141–151. [Google Scholar] [CrossRef]
- Van Huis, A.; Oonincx, D.G.A.B. The environmental sustainability of insects as food and feed. A review. Agronomy for Sustainable Development 2017, 37, 1–14. [Google Scholar] [CrossRef]
- Rumpold, B.A.; Schlüter, O.K. Potential and challenges of insects as an innovative source for food and feed production. Innovative Food Science & Emerging Technologies 2013, 17, 1–11. [Google Scholar] [CrossRef]
- Ayensu, J.; Annan, R.A.; Edusei, A.; Lutterodt, H. Beyond nutrients, health effects of entomophagy: a systematic review. Nutrition and Food Science 2019, 49, 2–17. [Google Scholar] [CrossRef]
- Van Huis, A. Edible insects contributing to food security? Agriculture & Food Security 2015, 4, 1–9. [Google Scholar] [CrossRef]
- Murefu, T.R.; Macheka, L.; Musundire, R.; Manditsera, F.A. Safety of wild harvested and reared edible insects: A review. Food Control 2019, 101, 209–224. [Google Scholar] [CrossRef]
- Jansson, A.; Berggren, A. Insects as Food — Something for the Future? A report from Future Agriculture 2015, Uppsala: Swedish University of Agricultural Sciences (SLU). 36 p.
- Kim, T.-K.; Yong, H.I.; Kim, Y.-B.; Kim, H.-W.; Choi, Y.-S. Edible Insects as a Protein Source: A Review of Public Perception, Processing Technology, and Research Trends. Food Science of Animal Resources 2019, 39, 521–540. [Google Scholar] [CrossRef]
- Hlongwane, Z.T.; Slotow, R.; Munyai, T.C. Nutritional composition of edible insects consumed in Africa: A systematic review. Nutrients 2020, 12, 2786. [Google Scholar] [CrossRef]
- Regulation (EC) No 852/2004 of the European Parliament and of the Council of 29 April 2004 on the hygiene of foodstuffs. Available online: http://data.europa.eu/eli/reg/2004/852/oj (accessed on 7.10.2024).
- EFSA Scientific Committee. Risk profile related to production and consumption of insects as food and feed. EFSA Journal 2015, 13, 4257. [Google Scholar] [CrossRef]
- EFSA (4 Juy 2022). Safety of frozen and freeze and dried formulations of the lesser mealworm (Alphitobius diaperinus larva) as a Novel food pursuant to Regulation (EU) 2015/2283. EFSA Journal 2022, 20, 7325. [Google Scholar] [CrossRef]
- Lahteenmaki-Uutela, A.; Grmelova, N. European law on insects in food and feed. Eur Food Feed Law Review 2016, 11, 2–8. [Google Scholar]
- Van Peer, M.; Frooninckx, L.; Coudron, C.; Berrens, S.; Álvarez, C.; Deruytter, D.; Verheyen, G.; Van Miert, S. Valorisation Potential of Using Organic Side Streams as Feed for Tenebrio molitor, Acheta domesticus and Locusta migratoria. Insects 2021, 12, 796. [Google Scholar] [CrossRef]
- Commission Implementing Regulation (EU) 2023/58 of 5 January 2023 authorising the placing on the market of the frozen, paste, dried and powder forms of Alphitobius diaperinus larvae (lesser mealworm) as a novel food and amending Implementing Regulation (EU) 2017/2470 Available online:.
- R Core Team. 2024. R: A Language and Environment for Statistical Computing. R. Foundation for Statistical Computing, Vienna, Austria. https://www.R-project.org/.
- Magara, H.J.O.; Niassy, S.; Ayieko, M.A.; Mukundamago, M.; Egonyu, J.P.; Tanga, C.M.; Kimathi, E.K.; Ongere, J.O.; Fiaboe, K.K.M.; Hugel, S.; Orinda, M.A.; Roos, N.; Ekesi, S. Edible Crickets (Orthoptera) Around the World: Distribution, Nutritional Value, and Other Benefits — A Review. Frontiers in Nutrition 2021, 7, 537915. [Google Scholar] [CrossRef]
- Sun, Zh.; Jiang, H. Nutritive Evaluation of Earthworms as Human Food. Future Foods 2017, 127–141. [Google Scholar] [CrossRef]
- Gunya, B.; Muchenje, V.; Masika, P.J. The Effect of Earthworm Eisenia foetida Meal as a Protein Source on Carcass characteristics and Physico-Chemical Attributes of Broilers. Pakistan Journal of Nutrition 2019, 18, 657–664. [Google Scholar] [CrossRef]
- Isea-León, F.; Acosta-Balbás, V.; Rial-Betancoutd, L.B.; Medina-Gallardo, A.L.; Mélécony Célestin, B. Evaluation of the Fatty Acid Composition of Earthworm Eisenia tive Lipid Source for Fish Feed. Journal of Food and Nutrition Research 2019, 7, 696–700. [Google Scholar] [CrossRef]
- Castro-Bedriñana, J.; Chirinos-Peinado, D.; Sosa-Blas, H. Digestibility, Digestible and Metabolizable Energy of Earthworm Meal (Eisenia Foetida) Included in Two Levels in Guinea Pigs (Cavia Porcellus). Advances in Science, Technology and Engineering Systems Journal 2020, 5, 171–177. [Google Scholar] [CrossRef]
- Udomsil, N.; Imsoonthornruksa, S.; Gosalawit, Ch.; Ketudat-Cairns, M. Nutritional Values and Functional Properties of House Cricket (Acheta domesticus) and Field Cricket (Gryllus bimaculatus) Food Science and Technology Research 2019, 25, 597–605. 25. [CrossRef]
- Arshanitsa, N.M.; Onishchenko, L.S.; Voronin, V.N. Materials of pathological and epizootological studies on sartan disease in fish. Biological resources and rational use of water bodies in the Vologda region 1989, 293, 113–130. [Google Scholar]
- Ludupova, E.Yu.; Sergeeva, L.A.; Gyrgeshkinova, N.S; Oloeva, E.V.; Badmaeva, V.Ya.; Budasheeva, A.B. A case of occurrence of Haff disease (alimentary-toxic paroxysmal myoglobinuria) in the Republic of Buryatia in the villages of the Pribaikalsky district located near Lake Kotokel. Bulletin of the East Siberian Scientific Center of the Siberian Branch of the Russian Academy of Medical Sciences 2009, 67, 92–94. [Google Scholar]
- Arshanitsa, N.M.; Onishchenko, L.S. Gaff disease. Issues of legal regulation in veterinary medicine 2016, 2, 87–90. [Google Scholar]
- Savchenko, A.A.; Krasnolobova, E.P.; Veremeeva, S.A.; Glazunova, L.A. Pathomorphological changes in the detoxification organs of white mice during an outbreak of "Haff" disease. Bulletin of the Bashkir State Agrarian University 2023, 4, 109–114. [Google Scholar] [CrossRef]







| Type of precursor | I stage, singular dose of precursor | II stage, doubled dose of precursor | ||||
|---|---|---|---|---|---|---|
| per 1 kilo of food substrate, mg | per food portion of crickets, mg | per food portion of earthworms, mg | per 1 kilo of food substrate, mg | per food portion of crickets, mg | per food portion of earthworms, mg | |
| C | 50 | 1.2 | 0.25 | 100 | 2.4 | 0.5 |
| B7 | 25 | 0.6 | 0.125 | 50 | 1.2 | 0.25 |
| minerals(chelate) | 5 | 0.12 | 0.025 | 10 | 0.24 | 0.05 |
| B1 | 2 | 0.048 | 0.01 | 4 | 0.096 | 0.02 |
| B3 | 30 | 0.72 | 0.15 | 60 | 1.44 | 0.3 |
| B9 | 1 | 0.024 | 0.005 | 1 | 0.048 | 0.01 |
| A | 25 | 0.6 | 0.125 | 50 | 1.2 | 0.25 |
| D | 2.5 | 0.06 | 0.0125 | 5 | 0.12 | 0.025 |
| E | 20 | 0.48 | 0.1 | 40 | 0.96 | 0.2 |
| K | 2 | 0.048 | 0.01 | 4 | 0.096 | 0.02 |
Disclaimer/Publisher’s Note: The statements, opinions and data contained in all publications are solely those of the individual author(s) and contributor(s) and not of MDPI and/or the editor(s). MDPI and/or the editor(s) disclaim responsibility for any injury to people or property resulting from any ideas, methods, instructions or products referred to in the content. |
© 2024 by the authors. Licensee MDPI, Basel, Switzerland. This article is an open access article distributed under the terms and conditions of the Creative Commons Attribution (CC BY) license (http://creativecommons.org/licenses/by/4.0/).