Submitted:
05 October 2024
Posted:
11 October 2024
You are already at the latest version
Abstract
Keywords:
1. Introduction
2. Materials and Methods
2.1. Study Sites
2.2. Experimental Design
2.3. Field Sampling and Laboratory Processing
2.4. Data Analyses
3. Results
3.1. Soil Moisture
3.2. Floor Mass
3.3. Plant Roots
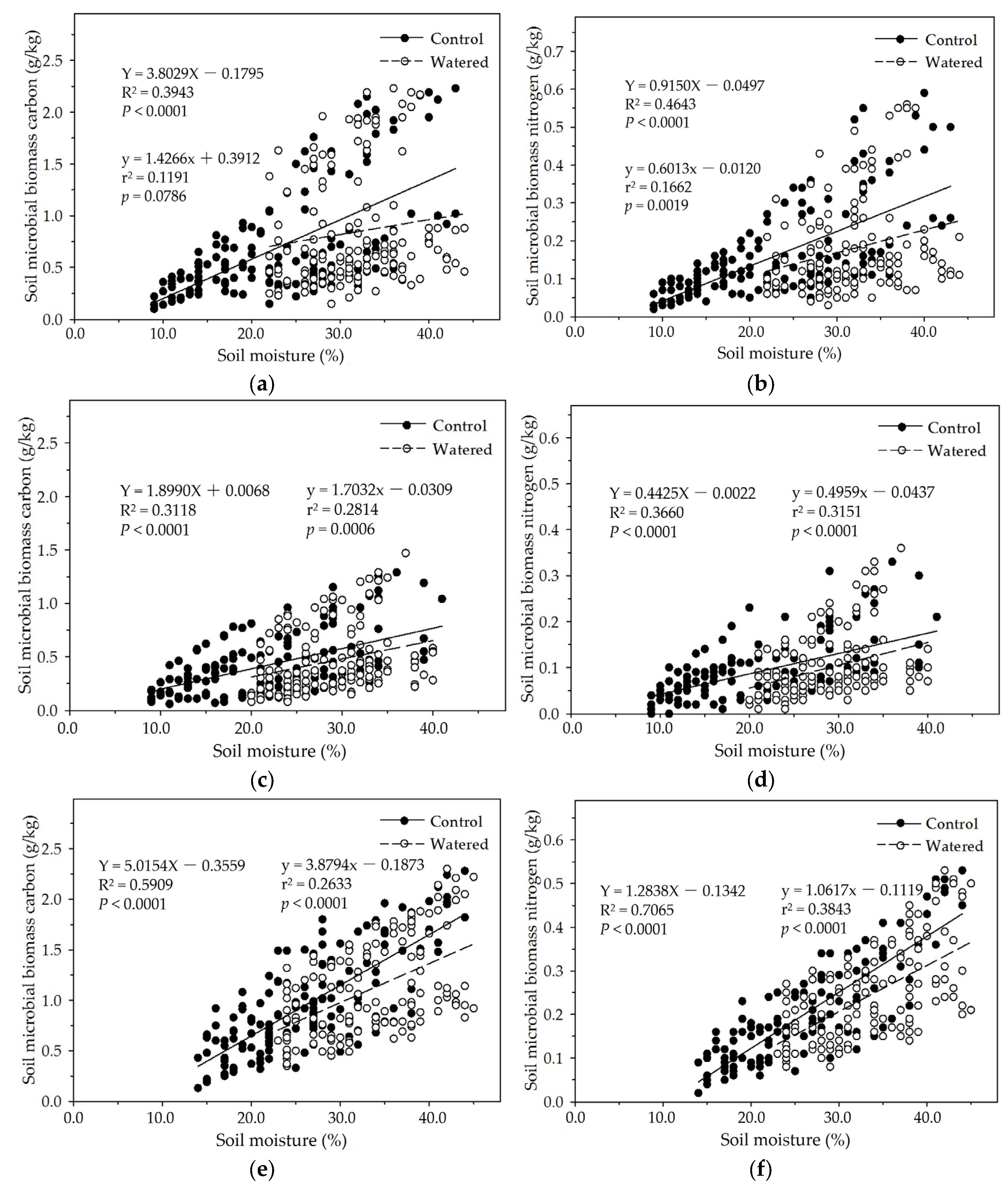
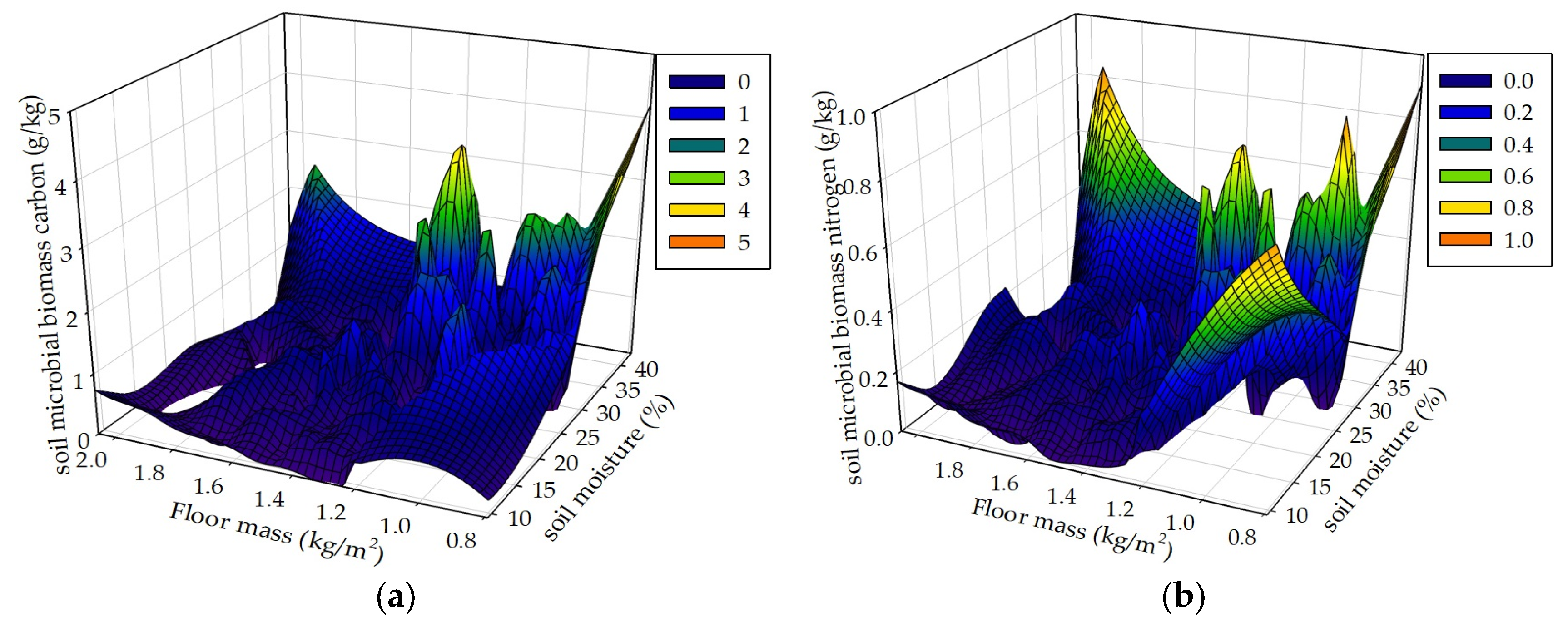
3.4. Soil MBC and MBN
3.5. Data Analyses
4. Discussion
4.1. Effects of Seasonal Drought on Soil Microbial Biomass
4.2. Effects of Floor Mass on Soil Microbial Biomass
4.3. Effects of Plant Roots on Soil Microbial Biomass
4.4. Complex Effects of Seasonal Drought, Floor Mass and Plant Roots on Soil Microbial Biomass
5. Conclusions
Author Contributions
Funding
Data Availability Statement
Conflicts of Interest
References
- Wang, X.C.; Pan, J.; Chen, H.Y.; Jiao, Z.; Liu, S.; Wang, C.K. Seasonal asynchrony in above– and below–ground phenology in a temperate forest: carbon allocation trade–off and plant–microbe interactions. Plant and Soil 2023, 473, 1–14. [Google Scholar] [CrossRef]
- Garcia, M.O.; Templer, P.H.; Sorensen, P.O.; Sanders–Demott, R.; Groffman, P.M.; Bhatnagar, J.M. Soil microbes trade–off biogeochemical cycling for stress tolerance traits in response to year–round climate change. Frontiers in Microbiology 2020, 11, 616. [Google Scholar] [CrossRef] [PubMed]
- Rutto, L.K.; Ren, S.X.; Wynn, H.C.; Chamberlain, J.L. Soil and microbe interactions in two populations of Appalachian back cohosh (Actaea racemosa L.). The Journal of the Torrey Botanical Society 2021, 148, 117–131. [Google Scholar] [CrossRef]
- Yang, J.; Lan, L.Y.; Jin, Y.; Yu, N.; Wang, D.; Wang, E.T. Mechanisms underlying legume–rhizobium symbioses. Journal of Integrative Plant Biology 2022, 64, 244–267. [Google Scholar] [CrossRef]
- Wang, X.L.; Feng, H.; Wang, Y.Y.; Wang, M.X.; Xie, X.G.; Chang, H.Z.; Wang, L.K.; Qu, J.C.; Sun, K.; He, W.; Wang, C.Y.; Dai, C.C.; et al. Mycorrhizal symbiosis modulates the rhizosphere microbiota to promote rhizobia–legume symbiosis. Molecular Plant 2021, 14, 503–516. [Google Scholar] [CrossRef]
- Burghardt, L.T.; DiCenzo, G.C. The evolutionary ecology of rhizobia: multiple facets of competition before, during, and after symbiosis with legumes. Current Opinion in Microbiology 2023, 72, 102281. [Google Scholar] [CrossRef]
- Du, Z.Q.; Liu, X.J.; Wu, Z.T.; Zhang, H.; Zhao, J. Responses of forest net primary productivity to climatic factors in China during 1982–2015. Plants 2022, 11, 2932. [Google Scholar] [CrossRef]
- Lin, Y.; Cong, N.; Xiao, J.T.; Kou, Y.P.; Li, Y.Y.; Yu, X.R.; Qi, G.; Gou, C.L.; Bai, Y.P.; Ren, P. Projecting future aboveground carbon sequestration rate of alpine forest on the eastern Tibetan Plateau in response to climate change. Frontiers in Plant Science 2023, 14, 1212406. [Google Scholar] [CrossRef]
- Lv, K.T.; Zhou, M.L.; Ding, Y.; Zang, R.G.; Yao, J.; Luo, Y.S.; Yan, D.F. Regeneration characteristics and influencing factors of woody plant on natural evergreen secondary broad−leaved forests in the subtropical, China. Global Ecology and Conservation 2023, 42, e02394. [Google Scholar] [CrossRef]
- Ruan, H.H.; Zou, X.M.; Scatena, F.N.; Zimmerman, J.K. Asynchronous fluctuation of soil microbial biomass and plant litterfall in a tropical wet forest. Plant and Soil 2004, 260, 147–154. [Google Scholar] [CrossRef]
- De Vries, F.T.; Griffiths, R.I.; Knight, C.G.; Nicolitch, O.; Williams, A. Harnessing rhizosphere microbiomes for drought– resilient crop production. Science 2020, 368, 270–274. [Google Scholar] [CrossRef] [PubMed]
- Liu, X.B.; Zeng, X.C.; Zou, X.M.; Lodge, D.J.; Stankavich, S.; González, G.; Cantrell, S.A. Responses of soil labile organic carbon to a simulated hurricane disturbance in a tropical wet forest. Forests 2018, 9, 420. [Google Scholar] [CrossRef]
- Zhao, L.Q.; Santalahti, M.; Köster, K.; Berninger, F.; Pumpanen, J.; Heinonsalo, J.; Sun, H. Soil fungal community structure in boreal pine forests: from southern to subarctic areas of Finland. Frontiers in Microbiology 2021, 12, 653896. [Google Scholar]
- Zhao, L.Q.; Li, X.L.; Ge, Y.; Palviainen, M.; Zhou, X.; Heinonsalo, J.; Berninger, F.; Pumpanen, J.; Köster, K.; Sun, H. The impact of biochar on wood−inhabiting bacterial community and its function in a boreal pine forest. Environmental Microbiome 2022, 17, 1–15. [Google Scholar]
- Rao, G.; Yan, S.Z.; Song, W.L.; Lin, D.; Chen, Y.J.; Chen, S.L. Distribution, assembly, and interactions of soil microorganisms in the bright coniferous forest area of China’s cold temperate zone. Science of The Total Environment 2023, 897, 165429. [Google Scholar] [CrossRef]
- Wang, N.; Fu, Q.; Zhou, Z.Y.; Shao, Y.Z.; Wang, J.; Li, W.; Ye, Y.Z.; Chen, Y.; Yuan, Z.L. Humus microhabitat affects distributions of soil fungi and bacteria in a temperate mountain forest. Ecology and Evolution 2021, 11, 9148–9158. [Google Scholar] [CrossRef]
- Yan, K.; Dong, Y.F.; Gong, Y.B.; Zhu, Q.L.; Wang, Y.P. Climatic and edaphic factors affecting soil bacterial community biodiversity in different forests of China. CATENA 2021, 207, 105675. [Google Scholar] [CrossRef]
- Amolikondori, A.; Vajari, K.A.; Feizian, M. Assessing soil organic carbon, N and P stocks and its relation to soil properties in artificial canopy gaps in a managed oriental beech (Fagus orientalis L.) forest. Journal of Plant Nutrition and Soil Science 2022, 185, 243–250. [Google Scholar] [CrossRef]
- Cui, J.Y.; Yuan, X.C.; Zhang, Q.F.; Zhou, J.C.; Lin, K.M.; Xu, J.G.; Zeng, Y.Z.; Wu, Y.; Cheng, L.; Zeng, Q.X.; Mei, K.C.; Chen, Y.M.; et al. Nutrient availability is a dominant predictor of soil bacterial and fungal community composition after nitrogen addition in subtropical acidic forests. PLoS One 2021, 16, e0246263. [Google Scholar] [CrossRef]
- Matsumoto, K.; Terasawa, K.; Taniguchi, S.; Ohashi, M.; Katayama, A.; Kume, T.; Takashima, A. Spatial and seasonal variations in soil respiration in a subtropical forest in Okinawa, Japan. Ecological Research 2023, 38, 479–490. [Google Scholar] [CrossRef]
- Liu, X.B.; Li, Y.; Kong, L.Q.; Lodge, D.J.; Hogan, J.A.; Wang, C. Root, litter, and seasonal drought together inhibit plant growth in the herbaceous layer in a subtropical moist forest of southwestern China. Forests 2023, 14, 712. [Google Scholar] [CrossRef]
- Sindall, R.; Mecrow, T.; Queiroga, A.C.; Boyer, C.; Koon, W.; Peden, A.E. Drowning risk and climate change: a state−of−the−art review. Injury prevention 2022, 28, 185–191. [Google Scholar] [CrossRef] [PubMed]
- Alimonti, G.; Mariani, L.; Prodi, F.; Ricci, R.A. A critical assessment of extreme events trends in times of global warming. The European Physical Journal Plus 2022, 137, 112. [Google Scholar] [CrossRef]
- Robinson, W.A. Climate change and extreme weather: A review focusing on the continental United States. Journal of the Air& Waste Management Association 2021, 71, 1186–1209. [Google Scholar]
- Kim, J.B.; So, J.M.; Bae, D.H. Global warming impacts on severe drought characteristics in Asia monsoon region. Water 2020, 12, 1360. [Google Scholar] [CrossRef]
- Burdon, R.D. Shoot phenology as a driver or modulator of stem diameter growth and wood properties, with special reference to Pinus radiata. Forests 2023, 14, 570. [Google Scholar] [CrossRef]
- Li, W.T.; Pacheco–Labrador, J.; Migliavacca, M.; Miralles, D.; Van Dijke, A.H.; Reichstein, M.; Forkel, M.; Zhang, W.J.; Frankenberg, C.; et al. Widespread and complex drought effects on vegetation physiology inferred from space. Nature Communications 2023, 14, 4640. [Google Scholar] [CrossRef]
- Miller, D.L.; Alonzo, M.; Meerdink, S.K.; Allen, M.A.; Tague, C.L.; Roberts, D.A.; McFadden, J.P. Seasonal and interannual drought responses of vegetation in a California urbanized area measured using complementary remote sensing indices. ISPRS Journal of Photogrammetry and Remote Sensing 2022, 183, 178–195. [Google Scholar] [CrossRef]
- Asensio, D.; Zuccarini, P.; Ogaya, R.; Marañón−Jiménez, S.; Sardans, J.; Peñuelas, J. Simulated climate change and seasonal drought increase carbon and phosphorus demand in Mediterranean forest soils. Soil Biology and Biochemistry 2021, 163, 108424. [Google Scholar] [CrossRef]
- Marañón−Jiménez, S.; Asensio, D.; Sardans, J.; Zuccarini, P.; Ogaya, R.; Mattana, S.; Peñuelas, J. Seasonal drought in Mediterranean soils mainly changes microbial C and N contents whereas chronic drought mainly impairs the capacity of microbes to retain P. Soil Biology and Biochemistry 2022, 165, 108515. [Google Scholar] [CrossRef]
- Krüger, M.; Potthast, K.; Michalzik, B.; Tischer, A.; Küsel, K.; Deckner, F.F.K.; Herrmann, M. Drought and rewetting events enhance nitrate leaching and seepage−mediated translocation of microbes from beech forest soils. Soil Biology and Biochemistry 2021, 154, 108153. [Google Scholar] [CrossRef]
- Del Arroyo, O.G.; Silver, W.L. Disentangling the long–term effects of disturbance on soil biogeochemistry in a wet tropical forest ecosystem. Global Change Biology 2018, 24, 1673–1684. [Google Scholar] [CrossRef]
- Ge, X.G.; Wang, C.W.; Wang, L.L.; Zhou, B.Z.; Cao, Y.H.; Xiao, W.F.; Li, M.H. Drought changes litter quantity and quality, and soil microbial activities to affect soil nutrients in moso bamboo forest. Science of the Total Environment 2022, 838, 156351. [Google Scholar] [CrossRef] [PubMed]
- Lin, C.; Wang, K.; Chen, R.; Zhang, J.; Zhang, B.; Lu, J.Z. Characteristics of erosive rainfall in Jianshan River Watershed of Yuxi City. Bulletin of Soil and Water Conservation 2018, 38, 235–240. [Google Scholar]
- He, P.; Shu, P.J. An analysis on characteristics of regional precipitation and influence of urbanization in Yuxi city. Journal of Chuxiong Normal University (Natural Sciences) 2020, 35, 132–137. [Google Scholar]
- Falade, A.A.; Lagoke, S.T.O.; Adigun, J.A.; Pitan, O.R.; Osunleti, O.O. Growth and yield of maize (Zea mays L.) as influenced by cropping pattern and weed control treatments in the forest−savanna agro−ecological zone of southwest Nigeria. Acta Fytotechnica et Zootechnica 2023, 26, 155–162. [Google Scholar] [CrossRef]
- Xu, C.; Ruan, H.H.; Wu, X.Q.; Xie, Y.C.; Yang, Y. Progresses in drought stress on the accumulation and turnover of soil organic carbon in forests. Journal of Nanjing Forestry University (Natural Sciences Edition) 2022, 46, 195–206. [Google Scholar]
- Canarini, A.; Schmidt, H.; Fuchslueger, L.; Martin, V.; Herbold, C.W.; Zezula, D.; Gündler, P.; Hasibeder, R.; Jecmenica, M.; Bahn, M.; Richter, A. Ecological memory of recurrent drought modifies soil processes via changes in soil microbial community. Nature Communications 2021, 12, 5308. [Google Scholar] [CrossRef]
- Jenkinson, D.; Plowlson, D.S. The effects of biocidal treatments on metabolism in soil–V: A method for method for measuring soil biomass. Soil Biology and Biochemistry 1976, 8, 209–213. [Google Scholar] [CrossRef]
- Paliaga, S.; Laudicina, V.A.; Badalucco, L. Lysis of soil microbial cells by CO2 or N2 high pressurization compared with chloroform fumigation. Biology and Fertility of Soils 2023, 59, 609–618. [Google Scholar] [CrossRef]
- Brookes, P.C.; Landman, A.; Pruden, G.; Jenkinson, D.S. Chloroform fumigation and the release of soil nitrogen: a rapid direct extraction method to measure microbial biomass nitrogen in soil. Soil Biology and Biochemistry 1985, 17, 837–842. [Google Scholar] [CrossRef]
- Aoyama, M.; Nozawa, T. Microbial biomass nitrogen and mineralization–immobilization processes of nitrogen in soils incubated with various organic materials. Soil Science and Plant Nutrition 1993, 39, 23–32. [Google Scholar] [CrossRef]
- Cola, V.D.; Broennimann, O.; Petipierre, B.; Breiner, F.T.; D’Amen, M.; Randin, C.; Engler, R.; Pottier, J.; Pio, D.; Dubuis,, Al; et al. Ecospat: An R package to support spatial analyses and modeling of species niches and distributions. Ecography 2017, 40, 774–787. [Google Scholar] [CrossRef]
- González−Fernández, A.; Arroyo−Rodríguez, V.; Ramírez−Corona, F.; Manjarrez, J.; Aguilera−Hernández, A.; Sunny, A. Local and landscape drivers of the number of individuals and genetic diversity of a microendemic and critically endangered salamander. Landscape Ecology 2019, 34, 1989–2000. [Google Scholar] [CrossRef]
- Hua, G.; Zhang, Q.; Zhang, R.; Abdullah, A.M.; Linser, P.J.; Adang, M.J. AgCad2 cadherin in Anopheles gambiae larvae is a putative receptor of Cry11Ba toxin of Bacillus thuringiensis subsp. jegathesan. Insect Biochemistry and Molecular Biology 2013, 43, 153–161. [Google Scholar] [CrossRef] [PubMed]
- McKee, K.K.; Yurchenco, P.D. Amelioration of muscle and nerve pathology of Lama2–related dystrophy by AAV9–laminin– αLN linker protein. JCI Insight 2022, 7, e158397. [Google Scholar] [CrossRef]
- Dphil, R.J.C.; Farmer, L.D.M. Understanding and checking the assumptions of linear regression: a primer for medical researchers. Clinical and Experimental Ophthalmology 2014, 42, 590–596. [Google Scholar]
- Drezner, Z.; Turel, O. Normalizing variables with too–frequent values using a Kolmogorov–Smirnov test: a practical approach. Computers & Industrial Engineering 2011, 61, 1240–1244. [Google Scholar]
- Uyanto, S.S. Monte Carlo power comparison of seven most commonly used heteroscedasticity tests. Communications in Statistics–Simulation and Computation 2022, 51, 2065–2082. [Google Scholar] [CrossRef]
- Singh, J.S.; Raghubanshi, A.S.; Singh, R.S.; Srivastava, S.C. Microbial biomass acts as a source of plant nutrients in dry tropical forest and savanna. Nature 1989, 399, 499–500. [Google Scholar] [CrossRef]
- Raghubanshi, A.S. Dynamics of soil biomass C, N, and P in a dry tropical forest in India. Biology and Fertility of Soils 1991, 12, 55–59. [Google Scholar] [CrossRef]
- Barbhuiya, A.R.; Arunachalam, A.; Pandey, H.N.; Arunachalam, K.; Khan, M.L.; Nath, P.C. Dynamics of soil microbial biomass C, N and P in disturbed and undisturbed stands of a tropical wet–evergreen forest. European Journal of Soil Biology 2004, 40, 113–121. [Google Scholar] [CrossRef]
- Bargali, K.; Manral, V.; Padalia, K.; Bargali, S.S.; Upadhyay, V.P. Effect of vegetation type and season on microbial biomass carbon in central Himalayan forest soils, India. CATENA 2018, 171, 125–135. [Google Scholar] [CrossRef]
- Basu, S.; Joshi, S.K.; Pati, D.P.; Behera, N. Soil respiration in relation to microbial biomass in a tropical deciduous forest floor from India. Journal of Soil Ecology and Biology 1991, 28, 377–386. [Google Scholar]
- Manral, V.; Bargali, K.; Bargali, S.S.; Karki, H.; Chaturvedi, R.K. Seasonal dynamics of soil microbial biomass C, N and P along an altitudinal gradient in Central Himalaya, India. Sustainability 2023, 15, 1651. [Google Scholar] [CrossRef]
- Luizão, F.J.; Proctor, J.; Thompson, J.; Luizão, R.C.; Marrs, R.H.; Scott, D.A.; Viana, V. Rain forest on Maracá Island, Roraima, Brazil: soil and litter process response to artificial gaps. Forest Ecology and Management 1998, 102, 291–303. [Google Scholar] [CrossRef]
- Yang, J.C.; Insam, H. Microbial biomass and relative contributions of bacteria and fungi in beneath tropical rain forest, Hainan Island, China. Journal of Tropical Ecology 1991, 7, 385–395. [Google Scholar] [CrossRef]
- Anaya, C.A.; García–Oliva, F.; Jaramillo, V.J. Rainfall and labile carbon availability control litter nitrogen dynamics in a tropical dry forest. Oecologia 2007, 150, 602–610. [Google Scholar] [CrossRef]
- Liu, L.; Gundersen, P.; Zhang, T.; Mo, J.M. Effects of phosphorus addition on soil microbial biomass and community composition in three forest types in tropical China. Soil Biology & Biochemistry 2012, 44, 31–38. [Google Scholar]
- Turner, B.L.; Yavitt, J.B.; Harms, K.E.; Garcia, M.N.; Wright, S.J. Seasonal changes in soil organic matter after a decade of nutrient addition in a lowland tropical forest. Biogeochemistry 2015, 123, 221–235. [Google Scholar] [CrossRef]
- Huang, J.S.; Hu, B.; Qi, K.B.; Chen, W.J.; Pang, X.Y.; Bao, W.K.; Tian, G.L. Effects of phosphorus addition on soil microbial biomass and community composition in a subalpine spruce plantation. European Journal of Soil Biology 2016, 72, 35–41. [Google Scholar] [CrossRef]
- Sun, L.J.; Ataka, M.; Han, M.G.; Han, Y.F.; Gan, D.Y.; Xu, T.L.; Guo, Y.P.; Zhu, B. Root exudation as a major competitive fine–root functional trait of 18 coexisting species in a subtropical forest. New Phytologist 2021, 229, 259–271. [Google Scholar] [CrossRef] [PubMed]
- Li, S.Y.; Xie, D.; Ge, X.G.; Dong, W.; Luan, J.W. Altered diversity and functioning of soil and root–associated microbiomes by an invasive native plant. Plant and Soil 2022, 472, 235–249. [Google Scholar] [CrossRef]
- Liu, B.T.; Han, F.; Ning, P.; Li, H.B.; Rengel, Z. Root traits and soil nutrient and carbon availability drive soil microbial diversity and composition in a northern temperate fores. Plant and Soil 2022, 479, 281–299. [Google Scholar] [CrossRef]
- Chari, N.R.; Taylor, B.N. Soil organic matter formation and loss are mediated by root exudates in a temperate fores. Nature Geoscience 2022, 15, 1011–1016. [Google Scholar] [CrossRef]
- Jiang, Z.; Fu, Y.L.; Zhou, L.Y.; He, Y.H.; Zhou, G.Y.; Dietrich, P.; Long, J.L.; Wang, X.X.; Jia, S.X.; Ji, Y.H.; Jia, Z.; Song, B.Q.; Liu, R.Q.; Zhou, X.H. Plant growth strategy determines the magnitude and direction of drought–induced changes in root exudates in subtropical forests. Global Change Biology 2023, 29, 3476–3488. [Google Scholar] [CrossRef]
- Maurer, D.; Malique, F.; Alfarraj, S.; Albasher, G.; Horn, M.A.; Butterbach–Bahl, K.; Dannenmann, M.; Rennenberg, H. Interactive regulation of root exudation and rhizosphere denitrification by plant metabolite content and soil properties. Plant and Soil 2021, 467, 107–127. [Google Scholar] [CrossRef]
- Zhu, Q.; Riley, W.J.; Tang, J.; Koven, C.D. Multiple soil nutrient competition between plants, microbes, and mineral surfaces: model development, parameterization, and example applications in several tropical forests. Biogeosciences 2016, 13, 341–363. [Google Scholar] [CrossRef]
- Hodge, A.; Fitter, A.H. Substantial nitrogen acquisition by arbuscular mycorrhizal fungi from organic material has implications for N cycling. Proceedings of the National Academy of Sciences of the United States of America 2010, 107, 13754–13759. [Google Scholar] [CrossRef]
- Phillips, R.P.; Finzi, A.C.; Bernhardt, E.S. Enhanced root exudation induces microbial feedbacks to N cycling in a pine forest under long–term CO2 fumigation. Ecological Letters 2011, 14, 187–194. [Google Scholar] [CrossRef]
- Berendsen, R.L.; Pieterse, C.M.J.; Bakker, P.A.H.M. The rhizoshpere microbiome and plant health. Trends in Plant Science 2012, 17, 478–486. [Google Scholar] [CrossRef] [PubMed]
- LeBauer, D.S.; Treseder, K.K. Nitrogen limitation of net primary productivity in terrestrial ecosystems is globally distributed. Ecology 2008, 89, 371–379. [Google Scholar] [CrossRef] [PubMed]
- Kotowska, M.M.; Leuschner, C.; Triadiati, T.; Hertel, D. Conversion of tropical lowland forest reduces nutrient return through litterfall, and alters nutrient use efficiency and seasonality of net primary production. Oecologia 2016, 180, 601–618. [Google Scholar] [CrossRef]
- Baribault, T.W.; Kobe, R.K.; Rothstein, D.E. Soil calcium, nitrogen, and water are correlated with aboveground net primary production in northern hardwood forests. Forest Ecology and Management 2010, 260, 723–733. [Google Scholar] [CrossRef]
- Turner, B.L.; Wright, S.J. The response of microbial biomass and hydrolytic enzymes to a decade of nitrogen, phosphorus, and potassium addition in a lowland tropical rain forest. Biogeochemistry 2014, 117, 115–130. [Google Scholar] [CrossRef]
- Wang, J.Q.; Shi, X.Z.; Lucas–Borja, M.E.; Lam, S.K.; Wang, Z.Y.; Huang, Z.Q. Plants, soil properties and microbes directly and positively drive ecosystem multifuntionality in a plantation chronosequence. Land Degradation and Development 2022, 33, 3049–3057. [Google Scholar] [CrossRef]
- Hu, X.; Shu, Q.; Guo, W.; Shang, Z.A.; Qi, L.H. Secondary succession altered the diversity and co–occurrence networks of the soil bacterial communities in tropical lowland rainforest. Plants 2022, 11, 1344. [Google Scholar] [CrossRef] [PubMed]
- Chen, H.; Ju, P.J.; Zhu, Q.; Xu, X.L.; Wu, N.; Gao, Y.H.; Feng, X.J.; Tian, J.Q.; Niu, S.L.; Zhang, Y.J.; Peng, C.H.; Wang, Y.F. Carbon and nitrogen cycling on the Qinghai–Tibetan plateau. Nature Reviews Earth & Environment 2022, 3, 701–716. [Google Scholar]
- Xia, L.L.; Lam, S.K.; Kiese, R.; Chen, D.L.; Luo, Y.Q.; Van Groenigen, K.J.; Ainsworth, E.A.; Chen, J.; Liu, S.W.; Ma, L.; et al. Elevated CO2 negates O3 impacts on terrestrial carbon and nitrogen cycles. One Earth 2021, 4, 1752–1763. [Google Scholar] [CrossRef]
- Meena, M.; Yadav, G.; Sonigra, P.; Nagda, A.; Mehta, T.; Swapnil, P.; Marwal, H.A.; Kumar, S. Multifarious responses of forest soil microbial community toward climate change. Soil Microbiology 2023, 86, 49–74. [Google Scholar] [CrossRef]
- Baldrian, P.; López−Mondéjar, R.; Kohout, P. Forest microbiome and global change. Nature Reviews Microbiology 2023, 21, 487–501. [Google Scholar] [CrossRef] [PubMed]
- Peguero, G.; Folch, E.; Liu, L.; Ogaya, R.; Peñuelas, J. Divergent effects of drought and nitrogen deposition on microbial and arthropod soil communities in a Mediterranean forest. European Journal of Soil Biology 2021, 103, 103275. [Google Scholar] [CrossRef]










| Treatment | Soil MBC | Soil MBN |
|---|---|---|
| Sampling time | 2.79 ** | 0.59 ** |
| Water | 1.95 * | 0.22 * |
| Floor mass | −2.61 ** | −0.58 ** |
| Plant roots | 1.34 * | 0.41 * |
| Sampling time + Water | 1.65 * | 0.32 * |
| Sampling time + Floor mass | −3.82 ** | −0.84 ** |
| Sampling time + Plant roots | 1.39 * | 0.34 * |
| Water + Floor mass | −3.39 ** | −0.74 ** |
| Water + Plant roots | 2.75 * | 0.58 * |
| Floor mass + Plant roots | −1.98 | −0.43 |
| Sampling time + Water + Floor mass | −3.71 * | −0.74 * |
| Sampling time + Water + Plant roots | 2.72 ** | 0.52 ** |
| Sampling time + Floor mass + Plant roots | −3.40 * | −0.66 * |
| Water + Floor mass + Plant roots | −1.97 ** | −0.40 ** |
| Sampling time + Water + Floor mass + Plant roots | −4.65 *** | −0.96 *** |
| Source | Control plot | Watered plot | ||
|---|---|---|---|---|
| Regression coefficient | Correlation coefficient | Regression coefficient | Correlation coefficient | |
| Soil microbial biomass carbon | ||||
| Soil moisture | 4.55 *** | 0.69 *** | 1.08 * | 0.26 * |
| Floor mass | −1.13 ** | −0.46 ** | −1.02 ** | −0.48 ** |
| Plant roots | 0.03 * | 0.16 * | 0.01 * | 0.22 * |
| Sampling time | 0.08 * | 0.09 * | 0.01 * | 0.02 * |
| Constant | 1.58 * | 0.97 * | ||
| Soil microbial biomass nitrogen | ||||
| Soil moisture | 0.67 *** | 0.71 *** | 0.58 * | 0.31 * |
| Floor mass | −0.07 ** | −0.47 ** | −0.15 *** | −0.61 *** |
| Plant roots | 0.21 *** | 0.17 *** | 0.16 * | 0.91 *** |
| Sampling time | 0.01 * | 0.09 * | 0.03 * | 0.09 * |
| Constant | 0.29 * | 0.18 * | ||
Disclaimer/Publisher’s Note: The statements, opinions and data contained in all publications are solely those of the individual author(s) and contributor(s) and not of MDPI and/or the editor(s). MDPI and/or the editor(s) disclaim responsibility for any injury to people or property resulting from any ideas, methods, instructions or products referred to in the content. |
© 2024 by the authors. Licensee MDPI, Basel, Switzerland. This article is an open access article distributed under the terms and conditions of the Creative Commons Attribution (CC BY) license (http://creativecommons.org/licenses/by/4.0/).