Submitted:
07 October 2024
Posted:
08 October 2024
You are already at the latest version
Abstract
Keywords:
1. Introduction
2. Materials and Methods
2.1. Viral Sequences
2.2. Phylogenetic Analysis
2.3. Ancestral Sequence Reconstruction Analysis
2.4. Pairwise Distance Analysis
2.5. Identification of Differential Single Polymorphic Sites (SNPs)
2.6. Population Structure Analysis
2.7. Analysis of Molecular Variance (AMOVA)
2.8. Evolutionary Signatures
2.8.1. Identification Codons Evolving under Natural Selection
2.8.2. Assessing the Strength of Natural Selection during the Evolution of the Epidemic Lineage
2.8.3. Recombination
2.9. Geographical Analysis
3. Results
3.1. The Genetic Origin of the Epidemic Lineage 2019-2020 Is Strongly Associated with VSIV Strains Circulating in Mexico’s Endemic Zones
3.2. Epidemic VSIV 2019-2020 Lineage Diversified into Four Distinct Subpopulations in the US
3.3. Episodic Diversifying Selection Is a Distinctive Evolutionary Hallmark of VSIV in Nature
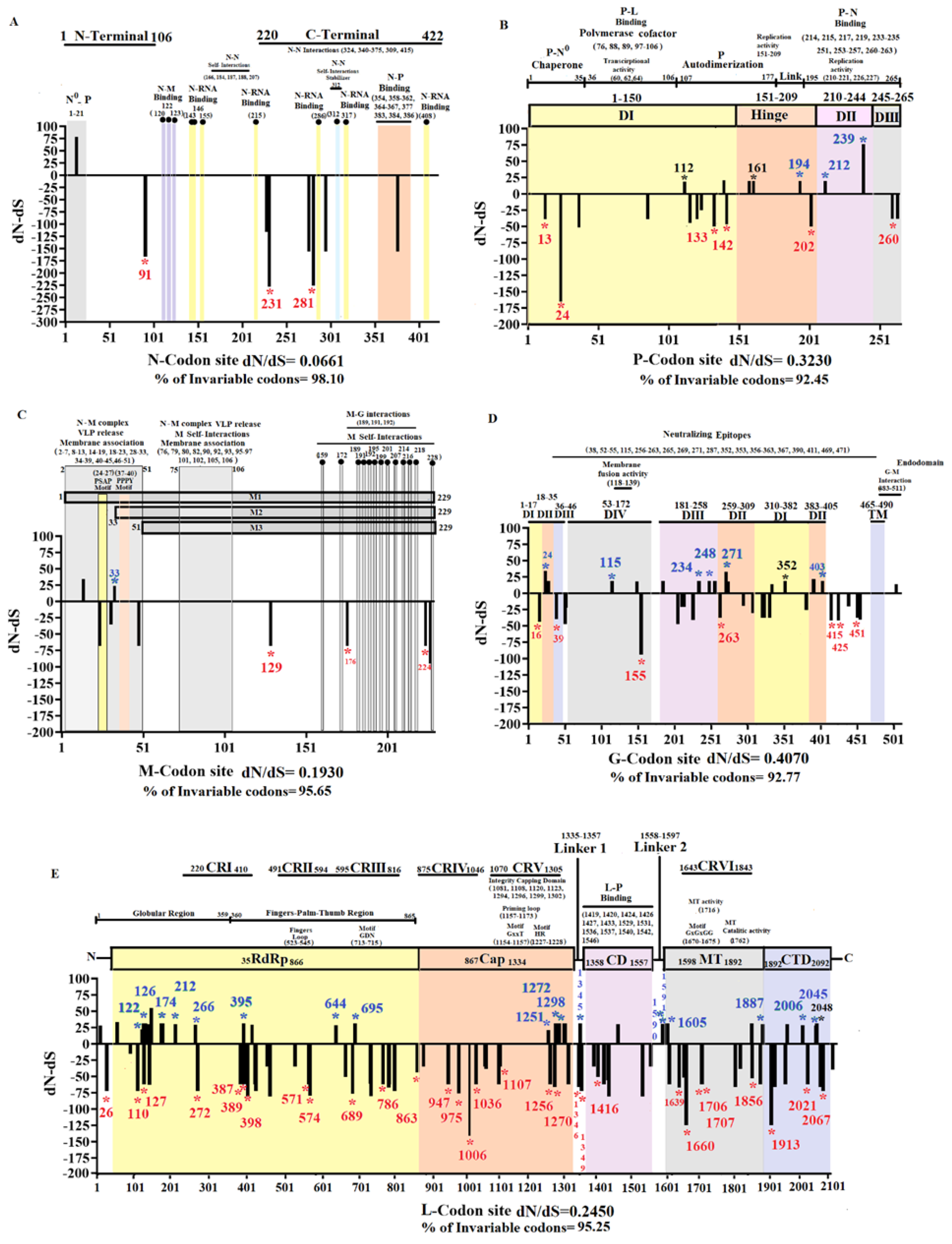
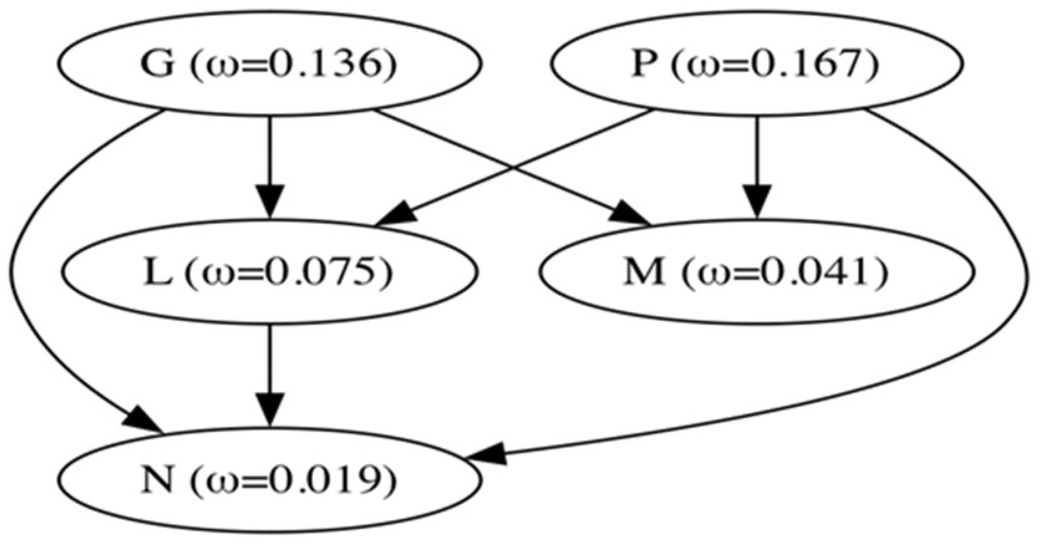
3.4. The Evolution of the Epidemic VSIV Lineage Is Constrained by the Functionality of Its Proteins

3.5. Genetic Distance within the Epidemic Lineage Positively Correlates with the Geographical Range of Circulation
4. Discussion
5. Conclusions
Supplementary Materials
Author Contributions
Funding
Institutional Review Board Statement
Data Availability Statement
Acknowledgments
Conflicts of Interest
Appendix A
Appendix B (Definitions Adapted to This Study)
References
- Velazquez-Salinas, L.; Zarate, S.; Eschbaumer, M.; Pereira Lobo, F.; Gladue, D.P.; Arzt, J.; Novella, I.S.; Rodriguez, L.L. 2016. Selective Factors Associated with the Evolution of Codon Usage in Natural Populations of Arboviruses. PLoS One 11, e0159943.
- Dietzgen, R.G., 2012. Morphology. Genome Organization, Transcription and Replication of Rhabdoviruses, in: Kuzmin, R.G.D.a.I.V. (Ed.), Rhabdoviruses, pp. 5-11.
- Rodriguez, L.L., 2002. Emergence and re-emergence of vesicular stomatitis in the United States. Virus Res 85, 211-219. [CrossRef]
- Velazquez-Salinas, L.; Pauszek, S.J.; Zarate, S.; Basurto-Alcantara, F.J.; Verdugo-Rodriguez, A.; Perez, A.M.; Rodriguez, L.L., 2014. Phylogeographic characteristics of vesicular stomatitis New Jersey viruses circulating in Mexico from 2005 to 2011 and their relationship to epidemics in the United States. Virology 449, 17-24.
- Pauszek, S.J.; Rodriguez, L.L., 2012. Full-length genome analysis of vesicular stomatitis New Jersey virus strains representing the phylogenetic and geographic diversity of the virus. Arch Virol 157, 2247-2251.
- Rodriguez, L.L.; Bunch, T.A.; Fraire, M.; Llewellyn, Z.N., 2000. Re-emergence of vesicular stomatitis in the western United States is associated with distinct viral genetic lineages. Virology 271, 171-181.
- Pelzel-McCluskey, A.; Christensen, B.; Humphreys, J.; Bertram, M.; Keener, R.; Ewing, R.; Cohnstaedt, L.W.; Tell, R.; Peters, D.P.C.; Rodriguez, L., 2021. Review of Vesicular Stomatitis in the United States with Focus on 2019 and 2020 Outbreaks. Pathogens 10.
- Rainwater-Lovett, K.; Pauszek, S.J.; Kelley, W.N.; Rodriguez, L.L., 2007. Molecular epidemiology of vesicular stomatitis New Jersey virus from the 2004-2005 US outbreak indicates a common origin with Mexican strains. J Gen Virol 88, 2042-2051.
- Hole, K.; Nfon, C.; Rodriguez, L.L.; Velazquez-Salinas, L., 2021. A Multiplex Real-Time Reverse Transcription Polymerase Chain Reaction Assay With Enhanced Capacity to Detect Vesicular Stomatitis Viral Lineages of Central American Origin. Front Vet Sci 8, 783198.
- Goodger, W.J.; Thurmond, M.; Nehay, J.; Mitchell, J.; Smith, P., 1985. Economic impact of an epizootic of bovine vesicular stomatitis in California. J Am Vet Med Assoc 186, 370-373.
- Hayek, A.M.; McCluskey, B.J.; Chavez, G.T.; Salman, M.D., 1998. Financial impact of the 1995 outbreak of vesicular stomatitis on 16 beef ranches in Colorado. J Am Vet Med Assoc 212, 820-823.
- Velazquez-Salinas, L.; Pauszek, S.J.; Stenfeldt, C.; O’Hearn, E.S.; Pacheco, J.M.; Borca, M.V.; Verdugo-Rodriguez, A.; Arzt, J.; Rodriguez, L.L., 2018. Increased Virulence of an Epidemic Strain of Vesicular Stomatitis Virus Is Associated With Interference of the Innate Response in Pigs. Front Microbiol 9, 1891. [CrossRef]
- Rozo-Lopez, P.; Pauszek, S.J.; Velazquez-Salinas, L.; Rodriguez, L.L.; Park, Y.; Drolet, B.S., 2022. Comparison of Endemic and Epidemic Vesicular Stomatitis Virus Lineages in Culicoides sonorensis Midges. Viruses 14.
- Bertram, M.R.; Rodgers, C.; Reed, K.; Velazquez-Salinas, L.; Pelzel-McCluskey, A.; Mayo, C.; Rodriguez, L.; 2023 Vesicular stomatitis Indiana virus near-full-length genome sequences reveal low genetic diversity during the 2019 outbreak in Colorado, U.S.A. Front Vet Sci 10, 1110483.
- Hole, K.; Buchanan, C.; Lung, O.; Babiuk, S.; Nfon, C.; Navarro-Lopez, R.; Gomez-Romero, N.; Rodriguez, L.L.; Bertram, R.M.; Mire, C.; Velazquez-Salinas, L. Near-full length Vesicular Stomatitis Indiana Virus Genome Sequences Representative of Endemic Strains Circulating in Mexico Genome Announc.
- Thompson, J.D.; Higgins, D.G.; Gibson, T.J. 1994. CLUSTAL W: improving the sensitivity of progressive multiple sequence alignment through sequence weighting, position-specific gap penalties and weight matrix choice. Nucleic Acids Res 22, 4673-4680.
- Kumar, S.; Stecher, G.; Li, M.; Knyaz, C.; Tamura, K., 2018. MEGA X: Molecular Evolutionary Genetics Analysis across Computing Platforms. Mol Biol Evol 35, 1547-1549.
- Pickett, B.E.; Liu, M.; Sadat, E.L.; Squires, R.B.; Noronha, J.M.; He, S.; Jen, W.; Zaremba, S.; Gu, Z.; Zhou, L.; Larsen, C.N.; Bosch, I.; Gehrke, L.; McGee, M.; Klem, E.B.; Scheuermann, R.H., 2013. Metadata-driven comparative analysis tool for sequences (meta-CATS): an automated process for identifying significant sequence variations that correlate with virus attributes. Virology 447, 45-51.
- Hudson, R.R.; Slatkin, M.; Maddison, W.P., 1992. Estimation of levels of gene flow from DNA sequence data. Genetics 132, 583-589.
- Pond, S.L.; Frost, S.D.; Muse, S.V., 2005. HyPhy: hypothesis testing using phylogenies. Bioinformatics 21, 676-679.
- Paradis, E.; Claude, J.; Strimmer, K., 2004. APE: Analyses of Phylogenetics and Evolution in R language. Bioinformatics 20, 289-290.
- Paradis, E., 2010. pegas: an R package for population genetics with an integrated-modular approach. Bioinformatics 26, 419-420.
- Velazquez-Salinas, L.; Zarate, S.; Eberl, S.; Gladue, D.P.; Novella, I.; Borca, M.V., 2020. Positive Selection of ORF1ab, ORF3a, and ORF8 Genes Drives the Early Evolutionary Trends of SARS-CoV-2 During the 2020 COVID-19 Pandemic. Frontiers in Microbiology 11.
- Kosakovsky Pond, S.L.; Frost, S.D., 2005. Not so different after all: a comparison of methods for detecting amino acid sites under selection. Mol Biol Evol 22, 1208-1222.
- Murrell, B.; Wertheim, J.O.; Moola, S.; Weighill, T.; Scheffler, K.; Kosakovsky Pond, S.L., 2012. Detecting individual sites subject to episodic diversifying selection. PLoS Genet 8, e1002764.
- Weaver, S.; Shank, S.D.; Spielman, S.J.; Li, M.; Muse, S.V.; Kosakovsky Pond, S.L., 2018. Datamonkey 2.0: A Modern Web Application for Characterizing Selective and Other Evolutionary Processes. Mol Biol Evol 35, 773-777.
- Spielman, S.J.; Weaver, S.; Shank, S.D.; Magalis, B.R.; Li, M.; Kosakovsky Pond, S.L., 2019. Evolution of Viral Genomes: Interplay Between Selection, Recombination, and Other Forces. Methods Mol Biol 1910, 427-468.
- Wertheim, J.O.; Murrell, B.; Smith, M.D.; Kosakovsky Pond, S.L.; Scheffler, K., 2015. RELAX: detecting relaxed selection in a phylogenetic framework. Mol Biol Evol 32, 820-832.
- Kosakovsky Pond, S.L.; Posada, D.; Gravenor, M.B.; Woelk, C.H.; Frost, S.D., 2006. GARD: a genetic algorithm for recombination detection. Bioinformatics 22, 3096-3098.
- Hipp, A.L.; Hall, J.C.; Sytsma, K.J., 2004. Congruence versus phylogenetic accuracy: revisiting the incongruence length difference test. Syst Biol 53, 81-89.
- Kosakovsky Pond, S.L.; Poon, A.F.Y.; Velazquez, R.; Weaver, S.; Hepler, N.L.; Murrell, B.; Shank, S.D.; Magalis, B.R.; Bouvier, D.; Nekrutenko, A.; Wisotsky, S.; Spielman, S.J.; Frost, S.D.W.; Muse, S.V., 2020. HyPhy 2.5-A Customizable Platform for Evolutionary Hypothesis Testing Using Phylogenies. Mol Biol Evol 37, 295-299.
- Barr, J.N.; Whelan, S.P.; Wertz, G.W., 1997. cis-Acting signals involved in termination of vesicular stomatitis virus mRNA synthesis include the conserved AUAC and the U7 signal for polyadenylation. J Virol 71, 8718-8725. [CrossRef]
- Benndorf, R.; Velazquez, R.; Zehr, J.D.; Pond, S.L.K.; Martin, J.L.; Lucaci, A.G. 2022. Human HspB1, HspB3, HspB5 and HspB8: Shaping these disease factors during vertebrate evolution. Cell Stress Chaperones 27, 309-323.
- Lucaci, A.G.; Zehr, J.D.; Enard, D.; Thornton, J.W.; Kosakovsky Pond, S.L., 2023. Evolutionary Shortcuts via Multinucleotide Substitutions and Their Impact on Natural Selection Analyses. Mol Biol Evol 40. [CrossRef]
- Zehr, J.D.; Pond, S.L.K.; Martin, D.P.; Ceres, K.; Whittaker, G.R.; Millet, J.K.; Goodman, L.B.; Stanhope, M.J., 2022. Recent Zoonotic Spillover and Tropism Shift of a Canine Coronavirus Is Associated with Relaxed Selection and Putative Loss of Function in NTD Subdomain of Spike Protein. Viruses 14.
- Leyrat, C.; Yabukarski, F.; Tarbouriech, N.; Ribeiro, E.A., Jr.; Jensen, M.R.; Blackledge, M.; Ruigrok, R.W.; Jamin, M., 2011. Structure of the vesicular stomatitis virus N(0)-P complex. PLoS Pathog 7, e1002248. 10.1371/journal.ppat.1002248.
- Green, T.J.; Luo, M.; 2009 Structure of the vesicular stomatitis virus nucleocapsid in complex with the nucleocapsid-binding domain of the small polymerase cofactor, P. Proc Natl Acad Sci U S A 106, 11713-11718.
- Dancho, B.; McKenzie, M.O.; Connor, J.H.; Lyles, D.S. 2009. Vesicular stomatitis virus matrix protein mutations that affect association with host membranes and viral nucleocapsids. J Biol Chem 284, 4500-4509.
- Jayakar, H.R.; Whitt, M.A. 2002. Identification of two additional translation products from the matrix (M) gene that contribute to vesicular stomatitis virus cytopathology. J Virol 76, 8011-8018. [CrossRef]
- Redondo, N.; Madan, V.; Alvarez, E.; Carrasco, L. 2015. Impact of Vesicular Stomatitis Virus M Proteins on Different Cellular Functions. PLoS One 10, e0131137.
- Vandepol, S.B.; Lefrancois, L.; Holland, J.J., 1986. Sequences of the major antibody binding epitopes of the Indiana serotype of vesicular stomatitis virus. Virology 148, 312-325.
- Green, T.J.; Zhang, X.; Wertz, G.W.; Luo, M., 2006. Structure of the vesicular stomatitis virus nucleoprotein-RNA complex. Science 313, 357-360.
- Hanke, L.; Schmidt, F.I.; Knockenhauer, K.E.; Morin, B.; Whelan, S.P.; Schwartz, T.U.; Ploegh, H.L., 2017. Vesicular stomatitis virus N protein-specific single-domain antibody fragments inhibit replication. EMBO Rep 18, 1027-1037.
- Zhou, K.; Si, Z.; Ge, P.; Tsao, J.; Luo, M.; Zhou, Z.H., 2022. Atomic model of vesicular stomatitis virus and mechanism of assembly. Nat Commun 13, 5980.
- Chen, M.; Ogino, T.; Banerjee, A.K., 2006. Mapping and functional role of the self-association domain of vesicular stomatitis virus phosphoprotein. J Virol 80, 9511-9518.
- Das, S.C.; Pattnaik, A.K., 2004. Phosphorylation of vesicular stomatitis virus phosphoprotein P is indispensable for virus growth. J Virol 78, 6420-6430. [CrossRef]
- Das, S.C.; Pattnaik, A.K. 2005. Role of the hypervariable hinge region of phosphoprotein P of vesicular stomatitis virus in viral RNA synthesis and assembly of infectious virus particles. J Virol 79, 8101-8112.
- Gerard, F.C.A.; Jamin, M.; Blackledge, M.; Blondel, D.; Bourhis, J.M. 2020. Vesicular Stomatitis Virus Phosphoprotein Dimerization Domain Is Dispensable for Virus Growth. J Virol 94.
- Gould, J.R.; Qiu, S.; Shang, Q.; Ogino, T.; Prevelige, P.E.; Jr Petit, C.M.; Green, T.J. 2020. The Connector Domain of Vesicular Stomatitis Virus Large Protein Interacts with the Viral Phosphoprotein. J Virol 94.
- Green, T.J., Macpherson, S., Qiu, S., Lebowitz, J., Wertz, G.W., Luo, M., 2000. Study of the assembly of vesicular stomatitis virus N protein: role of the P protein. J Virol 74, 9515-9524.
- Hwang, L.N.; Englund, N.; Das, T.; Banerjee, A.K.; Pattnaik, A.K.; 1999 Optimal replication activity of vesicular stomatitis virus RNA polymerase requires phosphorylation of a residue(s) at carboxy-terminal domain II of its accessory subunit phosphoprotein, P. J Virol 73, 5613-5620.
- Gaudier, M.; Gaudin, Y.; Knossow, M., 2002. Crystal structure of vesicular stomatitis virus matrix protein. EMBO J 21, 2886-2892.
- Lichty, B.D.; McBride, H.; Hanson, S.; Bell, J.C., 2006. Matrix protein of Vesicular stomatitis virus harbours a cryptic mitochondrial-targeting motif. J Gen Virol 87, 3379-3384.
- Keil, W.; Wagner, R.R., 1989. Epitope mapping by deletion mutants and chimeras of two vesicular stomatitis virus glycoprotein genes expressed by a vaccinia virus vector. Virology 170, 392-407.
- Munis, A.M.; Tijani, M.; Hassall, M.; Mattiuzzo, G.; Collins, M.K.; Takeuchi, Y. 2018. Characterization of Antibody Interactions with the G Protein of Vesicular Stomatitis Virus Indiana Strain and Other Vesiculovirus G Proteins. J Virol 92.
- Nikolic, J.; Belot, L.; Raux, H.; Legrand, P.; Gaudin, Y.; A; AA2018. Structural basis for the recognition of LDL-receptor family members by VSV glycoprotein. Nat Commun 9, 1029.
- Roche, S.; Bressanelli, S.; Rey, F.A.; Gaudin, Y.; 2006 Crystal structure of the low-pH form of the vesicular stomatitis virus glycoprotein, G. Science 313, 187-191.
- Roche, S.; Rey, F.A.; Gaudin, Y.; Bressanelli, S.; 2007 Structure of the prefusion form of the vesicular stomatitis virus glycoprotein, G. Science 315, 843-848.
- Roche, S.; Albertini, A.A.; Lepault, J.; Bressanelli, S.; Gaudin, Y., 2008. Structures of vesicular stomatitis virus glycoprotein: membrane fusion revisited. Cell Mol Life Sci 65, 1716-1728.
- Galloway, S.E.; Wertz, G.W., 2008. S-adenosyl homocysteine-induced hyperpolyadenylation of vesicular stomatitis virus mRNA requires the methyltransferase activity of L protein. J Virol 82, 12280-12290.
- Li, J.; Fontaine-Rodriguez, E.C.; Whelan, S.P., 2005. Amino acid residues within conserved domain VI of the vesicular stomatitis virus large polymerase protein essential for mRNA cap methyltransferase activity. J Virol 79, 13373-13384. [CrossRef]
- Liang, B.; Li, Z.; Jenni, S.; Rahmeh, A.A.; Morin, B.M.; Grant, T.; Grigorieff, N.; Harrison, S.C.; Whelan, S.P.J. 2015. Structure of the L Protein of Vesicular Stomatitis Virus from Electron Cryomicroscopy. Cell 162, 314-327.
- Ruedas, J.B.; Perrault, J. 2014. Putative domain-domain interactions in the vesicular stomatitis virus L polymerase protein appendage region. J Virol 88, 14458-14466.
- Rodriguez, L.L.; Pauszek, S.J.; Bunch, T.A.; Schumann, K.R. 2002. Full-length genome analysis of natural isolates of vesicular stomatitis virus (Indiana 1 serotype) from North, Central and South America. J Gen Virol 83, 2475-2483.
- Novella, I.S.; Ebendick-Corpus, B.E.; Zarate, S.; Miller, E.L. 2007. Emergence of mammalian cell-adapted vesicular stomatitis virus from persistent infections of insect vector cells. J Virol 81, 6664-6668. [CrossRef]
- Weaver, S.C., 2006. Evolutionary influences in arboviral disease. Curr Top Microbiol Immunol 299, 285-314.
- Weaver, S.C.; Forrester, N.L.; Liu, J.; Vasilakis, N., 2021. Population bottlenecks and founder effects: implications for mosquito-borne arboviral emergence. Nat Rev Microbiol 19, 184-195.
- Novella, I.S.; Zarate, S.; Metzgar, D.; Ebendick-Corpus, B.E. 2004. Positive selection of synonymous mutations in vesicular stomatitis virus. J Mol Biol 342, 1415-1421.
- Bailey, S.F.; Alonso Morales, L.A.; Kassen, R., 2021. Effects of Synonymous Mutations beyond Codon Bias: The Evidence for Adaptive Synonymous Substitutions from Microbial Evolution Experiments. Genome Biol Evol 13.
- Sun, Y.; Zhang, Y.; Zhang, X. 2019. Synonymous SNPs of viral genes facilitate virus to escape host antiviral RNAi immunity. RNA Biol 16, 1697-1710.
- McGregor, B.L.; Rozo-Lopez, P.; Davis, T.M.; Drolet, B.S.; 2021 Detection of Vesicular Stomatitis Virus Indiana from Insects Collected during the 2020 Outbreak in Kansas, U.S.A. Pathogens 10.
- Jerzak, G.; Bernard, K.A.; Kramer, L.D.; Ebel, G.D., 2005. Genetic variation in West Nile virus from naturally infected mosquitoes and birds suggests quasispecies structure and strong purifying selection. J Gen Virol 86, 2175-2183. [CrossRef]
- Holmes, E.C., 2003. Patterns of intra- and interhost nonsynonymous variation reveal strong purifying selection in dengue virus. J Virol 77, 11296-11298.
- Patil, G.; Xu, L.; Wu, Y.; Song, K.; Hao, W.; Hua, F.; Wang, L.; Li, S. 2020. TRIM41-Mediated Ubiquitination of Nucleoprotein Limits Vesicular Stomatitis Virus Infection. Viruses 12.
- Marquis, K.A.; Becker, R.L.; Weiss, A.N.; Morris, M.C.; Ferran, M.C. 2020. The VSV matrix protein inhibits NF-kappaB and the interferon response independently in mouse L929 cells. Virology 548, 117-123.
- Bloyet, L.; Morin BBrusic, V.; Gardner, E.; Ross, R.A.; Vadakkan, T.; Kirchhausen, T.; Whelan, S.P.J. 2020. Oligomerization of the Vesicular Stomatitis Virus Phosphoprotein Is Dispensable for mRNA Synthesis but Facilitates RNA Replication. J Virol 94:. [CrossRef]
- Munis, A.M.; Tijani, M.; Hassall, M.; Mattiuzzo, G.; Collins, M.K.; Takeuchi, Y. 2018. Characterization of Antibody Interactions with the G Protein of Vesicular Stomatitis Virus Indiana Strain and Other Vesiculovirus G Proteins. J Virol 92.
- Geoghegan, J.L.; Holmes, E.C. 2018. The phylogenomics of evolving virus virulence. Nat Rev Genet 19, 756-769.
- Pond, S.L.; Frost, S.D.; Grossman, Z.; Gravenor, M.B.; Richman, D.D.; Brown, A.J. 2006. Adaptation to different human populations by HIV-1 revealed by codon-based analyses. PLoS Comput Biol 2, e62.
- Rodriguez, L.L.; Fitch, W.M.; Nichol, S.T. 1996. Ecological factors rather than temporal factors dominate the evolution of vesicular stomatitis virus. Proc Natl Acad Sci U S A 93, 13030-13035.
- Young, K.I.; Valdez, F.; Vaquera, C.; Campos, C.; Zhou, L.; Vessels, H.K.; Moulton, J.K.; Drolet, B.S.; Rozo-Lopez, P.; Pelzel-McCluskey, A.M.; Peters, D.C.; Rodriguez, L.L.; Hanley, K.A., 2021. Surveillance along the Rio Grande during the 2020 Vesicular Stomatitis Outbreak Reveals Spatio-Temporal Dynamics of and Viral RNA Detection in Black Flies. Pathogens 10.







| Gene | Codons | Tree length | dS | dN | dN/dS (95% CI) | Sites under selection (p ≤ 0.05) | Sites under selection / 1000 codons | ||
|---|---|---|---|---|---|---|---|---|---|
| Purifying | Positive | Purifying | Positive | ||||||
| N | 422 | 0.176 | 0.814 | 0.011 | 0.019 (0.01-0.03) | 60 | 1 | 142.2 | 2.4 |
| P | 265 | 0.259 | 0.882 | 0.092 | 0.167 (0.13-0.21) | 37 | 4 | 139.6 | 15.1 |
| M | 229 | 0.238 | 1.062 | 0.032 | 0.041 (0.03-0.06) | 45 | 2 | 196.5 | 8.7 |
| G | 511 | 0.263 | 0.933 | 0.089 | 0.136 (0.11-0.16) | 81 | 11 | 158.5 | 21.5 |
| L | 2109 | 0.229 | 0.921 | 0.048 | 0.075 (0.07-0.09) | 342 | 24 | 162.2 | 11.4 |
| Genome | 3536 | 0.230 | 0.912 | 0.051 | 0.081 (0.08-0.09) | 565 | 42 | 159.8 | 11.9 |
Disclaimer/Publisher’s Note: The statements, opinions and data contained in all publications are solely those of the individual author(s) and contributor(s) and not of MDPI and/or the editor(s). MDPI and/or the editor(s) disclaim responsibility for any injury to people or property resulting from any ideas, methods, instructions or products referred to in the content. |
© 2024 by the authors. Licensee MDPI, Basel, Switzerland. This article is an open access article distributed under the terms and conditions of the Creative Commons Attribution (CC BY) license (http://creativecommons.org/licenses/by/4.0/).
