Submitted:
08 October 2024
Posted:
08 October 2024
Read the latest preprint version here
Abstract
Keywords:
1. Introduction
2. Materials and Methods
2.1. Plant Materials and Experimental Design
2.2. Data Collection
2.2.1. The Yields and Physical Quality of Fruits
2.2.2. The Quality of Fruit Parameters
2.2.3. The Mineral Content Analysis
2.2.4. Determination of the Antioxidant Activity
2.3. Data Analysis
3. Results
3.1. The Effect of Different K Levels on Fruit Yield and Physical Qualities of Cherry Tomatoes
3.2. Nutrient Contents in Cherry Tomato Fruits
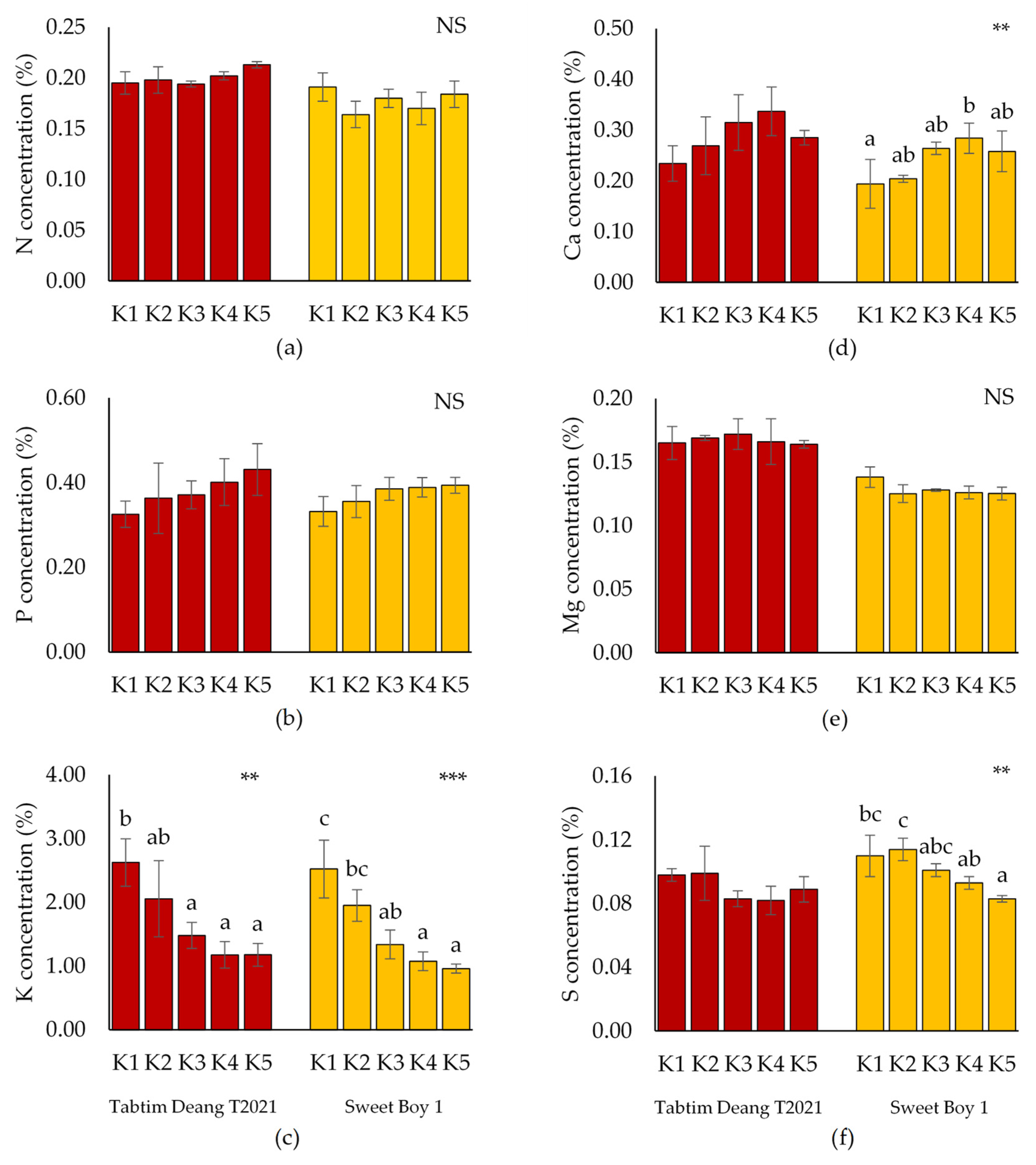
3.2.1. Macronutrients
3.2.2. Micronutrients
3.3. Biological Properties and Antioxidant Activity
3.4. Correlation between Potassium Content, Yield, Quality of Fruit and the Antioxidant Activity

4. Discussion
5. Conclusions
Author Contributions
Funding
Institutional Review Board Statement
Data Availability Statement
Acknowledgments
Conflicts of Interest
References
- Martí, R.; Roselló, S.; Cebolla-Cornejo, J. 2016. Tomato As a Source of Carotenoids and Polyphenols Targeted to Cancer Prevention. Cancers (Basel) 2016, 8, 58–86. [Google Scholar] [CrossRef] [PubMed]
- Raiola, A.; Rigano, M.M.; Calafiore, R.; Frusciante, L.; Barone, A. Enhancing the Health-Promoting Effects of Tomato Fruit for Biofortified Food. Mediat Inflamm. 2014, 1, 139873. [Google Scholar]
- Bügel, S. Vitamin K and Bone Health. Proc. Nutr. Soc. 2003. 62, 839 – 843.
- Fekete, K.; Berti, C.; Trovato, M.; Lohner, S.; Dullemeijer, C.; Souverein, O.W.; Cetin I.; Decsi. T. Effect of Folate Intake on Health Outcomes in Pregnancy: A Systematic Review and Meta-analysis on Birth Weight, Placental Weight, and Length of Gestation. Nutr. J. 2012, 11, 75. [CrossRef]
- Story, E. N., R. E. Kopec, S. J. Schwartz and G. K. Harris. An Update on The Health Effects of Tomato Lycopene. Annu. Rev. Food Sci. Technol. 2010, 1, 189 - 210.
- Burton-Freeman, B; Reimars, K. Tomato Consumption and Health: Emerging Benefits. Am. J. Lifestyle. Med. 2011, 5, 182-191.
- Tomatoes, Red, Ripe, Raw, Year-Round Average. U.S. Department of Agriculture. USDA. 2019, Available online: https://fdc.nal.usda.gov/fdc-app.html#/food-details/170457/nutrients. (accessed on 11 October 2023.
- St-Jules, D.E.; Goldfarb, D.S.; Sevick. M.A. Nutrient Non-Equivalence: Does Restricting High-Potassium Plant Foods Help to Prevent Hyperkalemia in Hemodialysis Patients. J. Ren. Nutr. 2016, 26, 282–287. [CrossRef]
- Yamada, S; Inaba. M. Potassium Metabolism and Management in Patients with CKD. Nutr. 2021, 13, 1751.
- Ceccanti, C.; Guidi, L; D’Alessandro, C.; Cupisti. A. Potassium Bioaccessibility in Uncooked and Cooked Plant Foods: Results from A Static in Vitro Digestion Methodology. Toxins (Basel). 2022. 14: 668.
- Ogawa, A.; Taguchi, S.; Kawashima, C. A Cultivation Method of Spinach with A Low Potassium Content for Patients on Dialysis (In Japanese with English Abstract). Jpn. J. Crop. Sci. 2007, 76, 232–237. [Google Scholar] [CrossRef]
- Amtmann, A.; Hammond, J.P.; Armengaud, P.; White, P.J. Nutrient Sensing and Signaling in Plants: Potassium and Phosphorus. Adv. Bot. Res. 2005, 43, 209–257. [Google Scholar]
- Ogawa, A.; Yamauchi, A. Root Osmotic Adjustment Under Osmotic Stress in Maize Seedlings 2. Mode of Accumulation of Several Solutes for Osmotic Adjustment in Root. Plant. Prod. Sci. 2006, 9, 39–46. [Google Scholar] [CrossRef]
- Fageria, N.K.; Baligar, V.C.; Jones, C.A. Growth and Mineral Nutrient of Field Crops. 3rd ed., CRC Press, New York. 2011, pp 199-200.
- White, P.J.; Karley, A.J. Potassium Cell Biology of Metals and Nutrients. Berlin: Springer, 2010, 199-224.
- Pujos, A.; Morard, P. Effects of Potassium Deficiency on Tomato Growth and Mineral Nutrition at The Early Production Stage. Plant. Soil. 1997, 189, 189–196. [Google Scholar] [CrossRef]
- Chen, S.; Yan, Z.; Chen, Q. Estimating the Potential to Reduce Potassium Surplus in Intensive Vegetable Fields of China. Nutr. Cycl. Agroecosys. 2017, 107, 265–277. [Google Scholar]
- Zhu, Q.; Ozores-Hampton, M.; Li, Y.; Morgan, K.; Lu, Y. Potassium Rages Affected Potassium Uptake and Use Efficiency in Drip-Irrigated Tomato. J. Agron. 2017, 109, 2945–2956. [Google Scholar] [CrossRef]
- Jakobsen, S. Interaction Between Plant Nutrients, III. Antagonism Between Potassium, Magnesium, and Calcium. Acta Agric. Scand. B - Soil Plant Sci. 1992, 43, 1–5. [Google Scholar] [CrossRef]
- Liu, K.; Zhang, T.; Tan, C.; Astatkie, T. Responses of Fruit Yield and Quality of Processing Tomato to Drip-Irrigation and Fertilizers Phosphorus and Potassium. Agron. J. 2011, 103, 1339–1345. [Google Scholar] [CrossRef]
- Voogt, W.; Sonneveld, C. Nutrient Management in Closed Growing Systems for Greenhouse Production. In: Plant Production in Closed Ecosystems Automation, Culture and Environment. Kluwer Academic Press Dordrecht. 1996, 83 - 102.
- Huett, D.O.; Dettmann, E.B. Effect of Nitrogen on Growth, Fruit Quality and Nutrient Uptake of Tomatoes Grown in Sand Culture. Aust. J. Exp. Agric. 1988, 28, 391–399. [Google Scholar] [CrossRef]
- Chapagain, B.P.; Wiesman, Z. Effect of Nutri-Vant-Pea K Foliar Spray on Plant Development, Yield, and Fruit Quality in Greenhouse Tomatoes. Sci. Horti. 2004, 102, 177–188. [Google Scholar] [CrossRef]
- Hartz, T.K.; Johnstone, P.R.; Francis, D.M.; Miyao, E.M. Processing Tomato Yield and Fruit Quality Improved with Potassium Fertigation. Hort. Sci. 2005, 40, 1862–1867. [Google Scholar] [CrossRef]
- Besford, R.T.; Maw, G.A. Effect of Potassium Nutrition on Some Enzymes of The Tomato Plant. Ann. Bot. 1976, 40, 461–471. [Google Scholar] [CrossRef]
- Mengel, K.; Kirkby, E.A. Principles of Plant Nutrition. International Potash Institute. Berne. 1987, pp 588-594.
- Madakadze, R.M.; Kwaramba, J. Effect of Pre-Harvest Factors on Quality of Vegetables Produced in The Tropics; Vegetables: Growing Environment and Quality of Produce. 1 - 36. In: Dris, R. and Jain, S.M. Eds. Production Practices and Quality Assessment of Food Crops, Vol. 1. Preharvest Practice. Kluwer Academic Publishers, The Netherlands. 2004.
- Marschner, H. Marschner’s Mineral Nutrition of Higher Plants. Cambridge, MA: Academic Press. 2012,.
- Liu, X. Effect of Low-Potassium Nutrition on The Quality and Potassium Content of Leafy Vegetables. Master’s Thesis, South China Agricultural University, Guangzhou, China. 2016.
- Ogawa, A.; Eguchi, T.; Toyofuku, K. Cultivation Methods for Leafy Vegetables and Tomatoes with Low Potassium Content for Dialysis Patients. Environ. Control. Biol. 2012, 50, 407–414. [Google Scholar] [CrossRef]
- Asao, T.; Asaduzzaman, M.; Mondal, M. F.; Tokura, M.; Adachi, F.; Ueno, M.; Kawaguchi, M.; Yano, S.; Ban, T. Impact of Reduced Potassium Nitrate Concentration in Nutrient Solution on The Growth, Yield Fruit Quality of Melon in Hydroponics. Sci. Hortic. 2013, 164, 221–231. [Google Scholar] [CrossRef]
- Ogawa, A.; Fujita, S.; Toyofuku, K. A Cultivation Method for Lettuce and Spinach with High Levels of Vitamin C Using Potassium Restriction. Environ. Control Biol. 2014, 52, 95–99. [Google Scholar] [CrossRef]
- Mondal, M.F.; Asaduzzaman, M.; Ueno, M.; Kawaguchi, M.; Yano, S.; Ban, T.; Asao, T. Reduction of Potassium (K) Content in Strawberry Fruits Though KNO3 Management of Hydroponic. Hort. 2017, 86, 26–36. [Google Scholar] [CrossRef]
- Zhang, G.; Johkan, M.; Hohjo, M.; Tsukagoshi, S.; Maruo, T. Plant Growth and Photosynthesis Response to Low Potassium Conditions in Three Lettuce (Lactuca Sativa) Types. Hortic. J. 2017, 86, 229–237. [Google Scholar] [CrossRef]
- Asaduzzaman, M.; Talukder, M.R.; Tanaka, H.; Ueno, M.; Kawaguchi, M.; Yano, S.; Ban, T.; Asao, T. Production of Low-Potassium Content Melon Through Hydroponic Nutrient Management Using Perlite Substrate. Front. Plant Sci. 2018, 9, 1382. [Google Scholar]
- Okada, H.; Abedin, T.; Yamamoto, A.; Hayashi, T.; Hosokawa, M. Production of Low-Potassium Onions Based on Mineral Absorption Patterns During Growth and Development. Sci. Hortic. 2020, 267, 109252. [Google Scholar] [CrossRef]
- Takahashi, S.; Che, J.; Horiuchi, N.; Cho, H.Y.; Onwona-Agyeman, S.; Kojima, K.; Yamada, M.; Ogiwara, I. Production of Low-Potassium Fruit of Potted and Fertigated Southern. Highbush Blueberry (Vaccinium Corymbosum L. Interspecific Hybrid). Hortic. J. 2021, 90, 161–171.
- Tsukagoshi, S.; Aoki, M.; Johkan, M.; Hohjo, M.; Maruo, T.A. Quantitative Management of Potassium Supply for Hydroponic Production of Low-Potassium Cherry-Type Tomato Fruit for Chronic Kidney Disease Patients. J. Horti. 2021, 7, 87. [Google Scholar]
- Son, Y.J.; Park, J.E.; Kim, J.; Yoo, G.; Lee, T.S.; Nho, C.W. Production of Low Potassium Kale with Increased Glucosinolate Content from Vertical Farming as A Novel Dietary Option for Renal Dysfunction Patients. Food Chem. 2021, 339, 128092. [Google Scholar] [CrossRef]
- Renna, M.; Castellino, M.; Leoni, B.; Paradiso, V.; Santamaria, P. Microgreens Production with Low Potassium Content for Patients with Impaired Kidney Function. Nutri. 2018, 10, 675. [Google Scholar] [CrossRef] [PubMed]
- Gordon, A.; Barrett, D.M. Standardization of A Rapid Spectrophotometric Method for Lycopene Analysis. Acta. Hortic. 2007, 758, 111–128. [Google Scholar]
- AOAC. Official Methods of Analysis. 16th ed., 5th Revision, Association of Official Analytical Chemists, Washington DC. 1999,.
- Allen, S.E. Chemical Analysis of Ecological Materials. 2nd ed., Blackwell Scientific Publications, Oxford and London. 1989,.
- Brand-Williams, W.; Cuvelier. M.E.; Berset, C. Use of A Free Radical Method to Evaluate Antioxidant Activity. Lebensm. Wiss. Technol. 1995, 28, 25 – 30.
- Benzie, I.; Strain, J. The Ferric Reducing Ability of Plasma (FRAP) As A Measure of “Antioxidant Power: The FRAP Assay”. Anal. Biochem. 1996, 239, 70–76. [Google Scholar] [CrossRef]
- Setyorini, D.; Sugito, Y.; Aini, N.; Yudho Tyasmoro, S. Lycopene, Beta-Carotene and Productivity of Tomato Varieties at Different Shade Levels Under Medium Land of Indonesia. J. Appl. Hortic. 2018, 20, 92–96. [Google Scholar] [CrossRef]
- Mengel, K. Potassium. In: Barker, A.V.; Pilbeam, D.J. Eds., Handbook of Plant Nutrition, 1st Ed. Taylor & Francis, London, UK. 2007, pp. 91 – 120.
- Jákli, B.; Tavakol, E.; Tränkner, M.; Senbayram, M.; Dittert, K. Quantitative Limitations to Photosynthesis in K Deficient Sunflower and Their Implications on Water-Use Efficiency. J. Plant Physiol. 2017, 209, 20–30. [Google Scholar] [PubMed]
- Hasanuzzaman, M.; Borhannuddin Bhuyan, M.H.M.; Nahar, K.; Shahadat Hossain, Md.; Al Mahmud, J.; Shahadat Hossen, Md.; Masud, A.A.C.; Moumita; Fujita, M. Potassium: A Vital Regulator of Plant Responses and Tolerance to Abiotic Stresses. Agron. 8, 2018, 31.
- Szczerba, M.W.; Britto, D.T.; Kronzucker, H.J. K+ Transport in Plants: Physiology and Molecular Biology. J. Plant. Physiol. 2009, 166, 447- 466.
- Sardans, J.; Peñuelas, J. Potassium Control of Plant Functions: Ecological and Agricultural Implications. Plants. 2021, 10, 419. [Google Scholar]
- Wang, X.; Ling, H.; Zhu, B.; Jiang, Z. Plant Calcium Signaling in Response to Potassium Deficiency. Int. J. Mol. Sci. 2018, 19, 3456. [Google Scholar] [CrossRef] [PubMed]
- Assaha, D.V.M.; Ueda, A.; Saneoka, H.; Al-Yahyai, R.; Yaish, M.W. The Role of Na+ And K+ Transporters in Salt Stress Adaptation in Glycophytes. Front. Physiol. 2017, 8, 509–528. [Google Scholar] [CrossRef] [PubMed]
- Rengel, Z.; Damon, P.M.; Cakmak, I. Crops and Genotypes Differ in Efficiency of Potassium Uptake and Use. Physiol. Plant. 2008, 133, 624–636. [Google Scholar] [CrossRef]
- Ma, W.; Tang, S.; Dengzeng, Z.; Zhang, D.; Zhang, T; Ma, X. Root Exudates Contribute to Belowground Ecosystem Hotspots. A Review. Front. Microbiol. 2022, 13, 937940–937958.
- Wang, T.; Chen, X.; Ju, C.; Wang, C. Calcium Signaling in Plant Mineral Nutrient: From Uptake to Transport. Plant Comm. 2023, 4, 1000678. [Google Scholar]
- Barker, V.A.; Pilbeam, J.D. Handbook of Plant Nutrition. CRC Press, Taylor and Francis Group, Boca Raton, FL. 2007,.
- Narayan, O.P.; Kumar, P.; Yadav, B.; Dua, M.; Johri, A.K. Plant. Signal. Behav. 2023, 18, e2030082-11.
- Bashir, A.; Khan, Q.U.; Alem, A.; Hendi, A.A.; Zaman, U.; Khan, S.U.; Rehman, K.U.; Khan, A.A.; Ullah, I.; Anwar, Y. Zinc and Potassium Fertilizer Synergizes Plant Nutrient Availability and Affects Growth, Yield, and Quality of Wheat Genotypes. Plants. 2023, 12, 2241. [Google Scholar] [CrossRef]
- Chaudhary, D.G.; Chaudhary, S.R.; Chaudhary, M.M.; Mor, V.B. Interaction Effect of Potassium and Zinc on Yield and Nutrient Uptake of Forage Maize (Zea Mays L.) Grown on Loamy Sand Soil. Int. J. Chem. Stud. 2017, 5, 1737–1739. [Google Scholar]
- Brosnan, J.T.; Brosnan, M.E. The Sulfur-Containing Amino Acids: An Overview. J. Nutr. 2006, 136, 1636S–1640S. [Google Scholar] [CrossRef]
- Arif, M.; Tasneem, M.; Bashir, F.; Yaseen, G.; Anwar, A. Evaluation of Different Levels of Potassium and Zinc Fertilizer on The Growth and Yield of Wheat. Int. J. Biosen Bioelectron. 2017, 3, 242–246. [Google Scholar] [CrossRef]
- Oosterhuis, D.; Loka, D.; Kawakami, E.; Pettigrew, W. The Physiology of Potassium in Crop Production. Adv. Agron. 2014, 126, 203–234. [Google Scholar]
- Hermans, C.; Hammond, J.P.; White, P.J.; Verbruggen, N. How Do Plants Respond to Nutrient Shortage by Biomass Allocation? Trends Plant Sci. 2006, 11, 610–617. [Google Scholar]
- Al-Moshileh, A.M.; Errebhi M.A.; Obiadalla-Ali. H.A. Effect of Potassium Fertilization on Tomato and Cucumber Plants Under Greenhouse Conditions. Biosci. Res. 2017, 14, 68–74.
- Wang, Y.; Wu, W.H. Potassium Transport and Signaling in Higher Plants. Annu. Rev. Plant. Biol. 2013, 64, 451–476. [Google Scholar] [CrossRef]
- Cui, J.; Tcherkez, G. Potassium Dependency of Enzymes in Plant Primary Metabolism. Plant Physi. Biochem. 2021, 166, 522–530. [Google Scholar]
- Tränker, M.; Tavakol, A.; Jákli, B. Functioning of Potassium and Magnesium in Photosynthesis, Photosynthate Translocation and Photoprotection. Physiol. Plant. 2018, 163, 414–431. [Google Scholar] [CrossRef]
- Sun, T.; Rao, S.; Zhou, X.; Li, L. Plant Carotenoids: Recent Advances and Future Perspectives. Mol. Hortic. 2022, 2, 1–21. [Google Scholar]
- Bramley, P.M. Regulation of Carotenoid Formation During Tomato Fruit Ripening and Development. J. Exp. Bot. 2002, 53, 2107–2113. [Google Scholar] [CrossRef]
- Frusciante, L.; Carli, P.; Ercolano, M.R.; Pernicr, R.; Matteo, A.D.; Fogliano, V; Pellegrini. N. Antioxidant Nutrient Quality of Tomato. Mol. Nutr. Food Res. 2007, 51, 609–617.
- Gaaliche, B.; Ladhari, A.; Zarrelli, A.; Ben, M.M. Impact of Foliar Potassium Fertilization on Biochemical Composition and Antioxidant Activity of Fig (Ficus Carica L.). Sci. Hortic. (Amsterdam). 2019, 253, 111–119. [Google Scholar]
- Marlin, M.; Simarmata, M.; Salamah, U.; Nurcholis. W. Effect of Nitrogen and Potassium Application on Growth, Total Phenolic, Flavonoid Contents, and Antioxidant Activity of Eleutherine Palmifolia. AIMS Agric. Food. 2022, 7, 580–593.


| Varieties | Treatment | Yield | Fruit weight | Fruit size (mm) | |
|---|---|---|---|---|---|
| (kg/plant) | (g/fruit) | Diameter | Height | ||
| Tabtim deang T2021 | K1 | 2.18 b ± 0.27 | 10.70 ab ± 1.36 | 24.01 ab ± 1.74 | 32.75 ± 2.02 |
| K2 | 2.24 b ± 0.39 | 11.55 b ± 1.24 | 24.94 ab ± 1.21 | 33.48 ± 1.56 | |
| K3 | 1.90 ab ± 0.18 | 11.31 b ± 1.62 | 25.20 b ± 0.89 | 33.44 ± 3.32 | |
| K4 | 1.85 ab ± 0.29 | 10.55 ab ± 1.26 | 24.24 ab ± 1.21 | 32.66 ± 1.81 | |
| K5 | 1.50 a ± 0.16 | 10.02 a ± 1.89 | 23.83 a ± 1.92 | 32.08 ± 2.62 | |
| F-test | *** | *** | ** | NS | |
| CV (%) | 15.32 | 5.66 | 2.23 | 1.79 | |
| Sweet boy 1 | K1 | 2.42 b ± 0.387 | 10.44 b ± 1.04 | 25.93 b ± 2.27 | 30.27 ± 2.47 |
| K2 | 2.17 ab ± 0.313 | 10.00 b ± 1.24 | 25.08 ab ± 1.08 | 29.42 ± 1.26 | |
| K3 | 1.97 ab ± 0.443 | 9.71 ab ± 1.33 | 25.54 b ± 1.12 | 29.58 ± 1.24 | |
| K4 | 1.70 a ± 0.279 | 8.70 a ± 1.19 | 24.72 a ± 1.89 | 30.05 ± 1.98 | |
| K5 | 1.65 a ± 0.108 | 8.67 a ± 1.10 | 23.94 a ± 1.22 | 27.78 ± 1.38 | |
| F-test | ** | *** | ** | NS | |
| CV (%) | 16.42 | 7.4 | 2.73 | 3.39 | |
| Treatment | pH | TSS | Citric acid | Ascorbic acid | Lycopene | Beta-carotene | |
|---|---|---|---|---|---|---|---|
| (% Brix) | (%) | (mg/1 g FW) | (------- µg/1 g FW -------) | ||||
| Tabtim Deang T2021 | K1 | 4.27 ± 0.09 | 5.53 b ± 0.07 | 0.67 ± 0.05 | 0.315 ± 0.023 | 43.05 ± 6.04 | 18.08 ± 2.53 |
| K2 | 4.22 ± 0.10 | 5.31 b ± 0.28 | 0.63 ± 0.07 | 0.308 ± 0.024 | 41.90 ± 5.00 | 17.90 ± 2.15 | |
| K3 | 4.17 ± 0.09 | 4.43 a ± 0.12 | 0.65 ± 0.06 | 0.308 ± 0.022 | 41.87 ± 8.26 | 18.69 ± 2.39 | |
| K4 | 4.28 ± 0.12 | 4.18 a ± 0.02 | 0.64 ± 0.05 | 0.303 ± 0.018 | 38.78 ± 5.91 | 18.03 ± 2.66 | |
| K5 | 4.18 ± 0.16 | 4.29 a ± 0.44 | 0.61 ± 0.05 | 0.306 ± 0.029 | 36.00 ± 2.67 | 17.92 ± 2.31 | |
| F-test | NS | *** | NS | NS | NS | NS | |
| CV (%) | 1.18 | 13.13 | 2.79 | 1.45 | 8.09 | 1.88 | |
| Sweet Boy 1 | K1 | 4.34 b ± 0.06 | 7.19 b ± 0.23 | 0.77 c ± 0.05 | 0.456 b ± 0.019 | Non detected | 9.09 ± 2.15 |
| K2 | 4.26 ab ± 0.05 | 6.17 a ± 0.38 | 0.72 bc ± 0.05 | 0.450 b ± 0.020 | 8.67 ± 1.66 | ||
| K3 | 4.21 a ± 0.07 | 6.01 a ± 0.58 | 0.70 b ± 0.03 | 0.446 ab ± 0.017 | 8.58 ± 1.67 | ||
| K4 | 4.17 a ± 0.09 | 6.00 a ± 0.61 | 0.66 ab ± 0.03 | 0.437 ab ± 0.015 | 8.13 ± 1.54 | ||
| K5 | 4.15 a ± 0.07 | 5.99 a ± 0.32 | 0.61 a ± 0.03 | 0.418 a ± 0.013 | 7.71 ± 1.45 | ||
| F-test | *** | *** | *** | *** | NS | ||
| CV (%) | 1.77 | 8.28 | 9.02 | 3.34 | 7.41 | ||
| Varieties | Treatment | DPPH | FRAP |
|---|---|---|---|
| Tabtim Deang T2021 | K1 | 0.053 a ± 0.003 | 1.488 ± 0.009 |
| K2 | 0.062 ab ± 0.002 | 1.488 ± 0.005 | |
| K3 | 0.082 b ± 0.015 | 1.485 ± 0.010 | |
| K4 | 0.077 b ± 0.001 | 1.481 ± 0.004 | |
| K5 | 0.082 b ± 0.012 | 1.480 ± 0.015 | |
| F-test | ** | NS | |
| CV (%) | 0.24 | 18.68 | |
| Sweet Boy 1 | K1 | 0.080 ± 0.010 | 1.483 ± 0.008 |
| K2 | 0.082 ± 0.008 | 1.485 ± 0.004 | |
| K3 | 0.089 ± 0.026 | 1.478 ± 0.010 | |
| K4 | 0.065 ± 0.003 | 1.484 ± 0.008 | |
| K5 | 0.070 ± 0.017 | 1.493 ± 0.001 | |
| F-test | NS | NS | |
| CV (%) | 0.36 | 12.24 |
Disclaimer/Publisher’s Note: The statements, opinions and data contained in all publications are solely those of the individual author(s) and contributor(s) and not of MDPI and/or the editor(s). MDPI and/or the editor(s) disclaim responsibility for any injury to people or property resulting from any ideas, methods, instructions or products referred to in the content. |
© 2024 by the authors. Licensee MDPI, Basel, Switzerland. This article is an open access article distributed under the terms and conditions of the Creative Commons Attribution (CC BY) license (http://creativecommons.org/licenses/by/4.0/).