Submitted:
04 October 2024
Posted:
08 October 2024
You are already at the latest version
Abstract
Keywords:
1. Introduction
1.1. Soot Formation and Properties
- Pyrolysis, the formation of polycyclic aromatic hydrocarbons (PAH) and acetylene precursor molecules at high temperature, largely without oxidation,
- Nucleation, the formation of 1.5–2 nm solid particles through the radical addition of aliphatic hydrocarbons on the precursors,
- Surface growth, the increase in particle mass through absorption of mostly acetylene from the gas phase onto the nuclei,
- Coagulation and agglomeration of the primary soot particles (20–70 nm) to chain-like structures (100 nm–2 µm)
1.2. The Impact of Soot on Engine Tribology
2. Materials and Methods
2.1. Engine Dynamometer Test
2.2. Engine Oil and Oil Condition Monitoring
2.2.1. Soot Removal and Extraction
2.2.2. Conventional Oil Analysis
2.2.3. Advanced Oil Analysis
2.3. Tribometrical Characterization
2.4. Tribofilm Composition via XPS
3. Results and Discussion
3.1. Conventional Oil Analysis
3.2. Advanced Oil Analysis
3.2.1. Soot Additive Binding
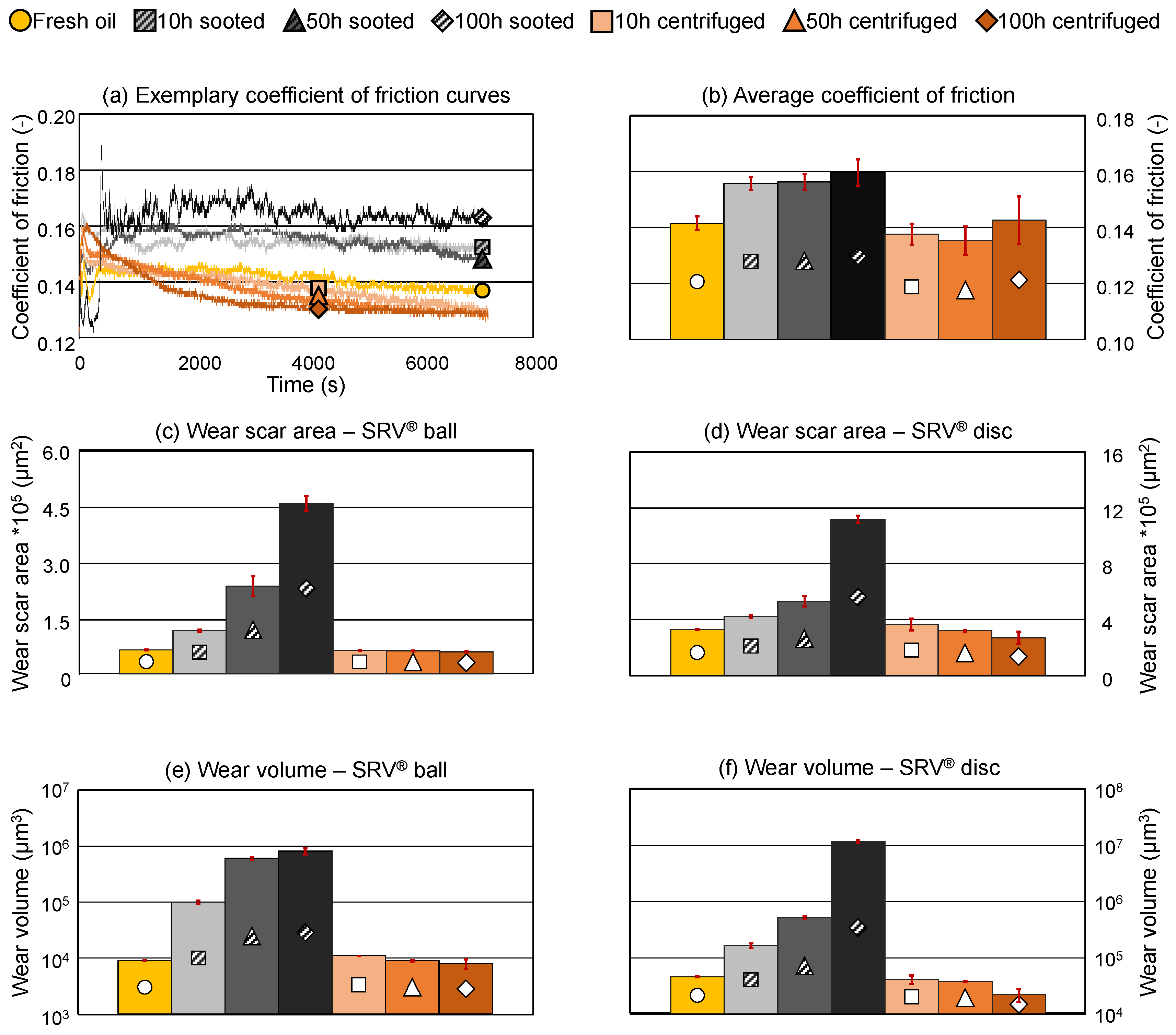
3.3. Tribometrical Characterization
3.4. Tribofilm Composition
4. Summary and Conclusions
Author Contributions
Funding
Data Availability Statement
Acknowledgments
Conflicts of Interest
References
- Xin, C.F.P.Q. 9—Improving the Environmental Performance of Heavy-Duty Vehicles and Engines: Key Issues and System Design Approaches. In Alternative Fuels and Advanced Vehicle Technologies for Improved Environmental Performance; 2014; pp. 225–278.
- ACEA Fuel Types of New Cars: Battery Electric 12.1%, Hybrid 22.6% and Petrol 36.4% Market Share Full-Year 2022 2023.
- ACEA Fuel Types of New Trucks: Electric 0.6%, Diesel 96.6% Market Share Full-Year 2022. Available online: https://www.acea.auto/fuel-cv/fuel-types-of-new-trucks-electric-0-6-diesel-96-6-market-share-full-year-2022/#:~:text=Fuel%20types%20of%20new%20trucks,ACEA%20%2D%20European%20Automobile%20Manufacturers’%20Association (accessed on 17 September 2024).
- Research, G.V. Marine Propulsion Engines Market Size, Share & Trends Analysis Report By Fuel Type (Diesel, Heavy Fuel Oil, Natural Gas, Other Fuels), By Application, By Power Range, By Region, And Segment Forecasts, 2023–2030 2022.
- Zhou, X.; Li, T.; Wang, N.; Wang, X.; Chen, R.; Li, S. Pilot Diesel-Ignited Ammonia Dual Fuel Low-Speed Marine Engines: A Comparative Analysis of Ammonia Premixed and High-Pressure Spray Combustion Modes with CFD Simulation. Renewable and Sustainable Energy Reviews 2023, 173. [Google Scholar] [CrossRef]
- Agocs, A.; Rappo, M.; Obrecht, N.; Schneidhofer, C.; Frauscher, M.; Besser, C. The Impact of Ammonia Fuel on Marine Engine Lubrication: An Artificial Lubricant Ageing Approach. Lubricants 2023, 11. [Google Scholar] [CrossRef]
- Hountalas, D.T.; Mavropoulos, G.C.; Binder, K.B. Effect of Exhaust Gas Recirculation (EGR) Temperature for Various EGR Rates on Heavy Duty DI Diesel Engine Performance and Emissions. Energy 2008, 33, 272–283. [Google Scholar] [CrossRef]
- Smith, O.I. FUNDAMENTALS OF SOOT FORMATION IN FLAMES WITH APPLICATION TO DIESEL ENGINE PARTICULATE EMISSIONS. Prog. Energy Combust. Sci 7, 275–291. [CrossRef]
- Agocs, A.; Budnyk, S.; Frauscher, M.; Ronai, B.; Besser, C.; Dörr, N. Comparing Oil Condition in Diesel and Gasoline Engines. Industrial Lubrication and Tribology 2020, 72, 1033–1039. [Google Scholar] [CrossRef]
- Nagy, A.L.; Agocs, A.; Ronai, B.; Raffai, P.; Rohde-Brandenburger, J.; Besser, C.; Dörr, N. Rapid Fleet Condition Analysis through Correlating Basic Vehicle Tracking Data with Engine Oil Ft-Ir Spectra. Lubricants 2021, 9. [Google Scholar] [CrossRef]
- Agocs, A.; Nagy, A.L.; Tabakov, Z.; Perger, J.; Rohde-Brandenburger, J.; Schandl, M.; Besser, C.; Dörr, N. Comprehensive Assessment of Oil Degradation Patterns in Petrol and Diesel Engines Observed in a Field Test with Passenger Cars—Conventional Oil Analysis and Fuel Dilution. Tribol Int 2021, 161. [Google Scholar] [CrossRef]
- Tree, D.R.; Svensson, K.I. Soot Processes in Compression Ignition Engines. Prog Energy Combust Sci 2007, 33, 272–309. [Google Scholar] [CrossRef]
- Mueller, C.J.; Pitz, W.J.; Pickett, L.M.; Martin, G.C.; Siebers, D.L.; Westbrook, C.K. Effects of Oxygenates on Soot Processes in Di Diesel Engines: Experiments and Numerical Simulations. In Proceedings of the SAE Technical Papers; SAE International, 2003. [Google Scholar]
- Vyavhare, K.; Bagi, S.; Patel, M.; Aswath, P.B. Impact of Diesel Engine Oil Additives-Soot Interactions on Physiochemical, Oxidation, and Wear Characteristics of Soot. Energy and Fuels 2019, 33, 4515–4530. [Google Scholar] [CrossRef]
- Thersleff, T.; Jenei, I.Z.; Budnyk, S.; Dörr, N.; Slabon, A. Soot Nanoparticles Generated from Tribofilm Decomposition under Real Engine Conditions for Identifying Lubricant Hazards. ACS Appl Nano Mater 2021, 4, 220–228. [Google Scholar] [CrossRef]
- Johnson, D.W.; Hils, J.E. Phosphate Esters, Thiophosphate Esters and Metal Thiophosphates as Lubricant Additives. Lubricants 2013, 1, 132–148. [Google Scholar] [CrossRef]
- Gautam, M.; Chitoor, K.; Durbha, M.; Summers, J.C. Effect of Diesel Soot Contaminated Oil on Engine Wear-Investigation of Novel Oil Formulations. Tribol Int 1999, 32, 687–699. [Google Scholar] [CrossRef]
- Green, D.A.; Lewis, R. The Effects of Soot-Contaminated Engine Oil on Wear and Friction: A Review. Proceedings of the Institution of Mechanical Engineers, Part D: Journal of Automobile Engineering 2008, 222, 1669–1689. [Google Scholar] [CrossRef]
- Rounds, F.G. Carbon: Cause of Diesel Engine Wear? In Proceedings of the SAE Technical Papers; 1977.
- Hu, E.; Hu, X.; Liu, T.; Fang, L.; Dearn, K.D.; Xu, H. The Role of Soot Particles in the Tribological Behavior of Engine Lubricating Oils. Wear 2013, 304, 152–161. [Google Scholar] [CrossRef]
- Olomolehin, Y.; Kapadia, R.; Spikes, H. Antagonistic Interaction of Antiwear Additives and Carbon Black. Tribol Lett 2010, 37, 49–58. [Google Scholar] [CrossRef]
- Kontou, A.; Southby, M.; Morgan, N.; Spikes, H.A. Influence of Dispersant and ZDDP on Soot Wear. Tribol Lett 2018, 66. [Google Scholar] [CrossRef]
- Salehi, F.M.; Khaemba, D.N.; Morina, A.; Neville, A. Corrosive–Abrasive Wear Induced by Soot in Boundary Lubrication Regime. Tribol Lett 2016, 63. [Google Scholar] [CrossRef]
- Weimin, F.; Hui, S.; Ruhong, S.; Bingxun, Y.; Xianguo, H. Effect of Diesel Soot on the Distribution, Composition and Mechanical Properties of ZDDP Tribofilm 2021, 23, 119–126.
- Cusano, C.; Sliney, H.E. Dynamics of Solid Dispersions in Oil During the Lubrication of Point Contacts, Part I-Graphite NASA I UJ DYNAMICS OF SOLID DISPERSIONS IN OIL DURING THE LUBRICATION OF POINT CONTACTS, PART I-GRAPHITE 1981.
- Salehi, F.M.; Morina, A.; Neville, A. The Effect of Soot and Diesel Contamination on Wear and Friction of Engine Oil Pump. Tribol Int 2017, 115, 285–296. [Google Scholar] [CrossRef]
- Wal, R.L. Vander; Yezerets, A.; Currier, N.W.; Kim, D.H.; Wang, C.M. HRTEM Study of Diesel Soot Collected from Diesel Particulate Filters. Carbon N Y 2007, 45, 70–77. [Google Scholar] [CrossRef]
- Clague, A.D.H.; Donnet, J.B.; Wang, T.K.; Peng, J.C.M. A Comparison of Diesel Engine Soot with Carbon Black. 1999.
- Besser, C.; Agocs, A.; Ronai, B.; Ristic, A.; Repka, M.; Jankes, E.; McAleese, C.; Dörr, N. Generation of Engine Oils with Defined Degree of Degradation by Means of a Large Scale Artificial Alteration Method. Tribol Int 2019, 132, 39–49. [Google Scholar] [CrossRef]
- Agocs, A.; Budnyk, S.; Besser, C.; Ristic, A.; Frauscher, M.; Ronai, B.; Dörr, N. Production of Used Engine Oils with Defined Degree of Degradation in a Large-Scale Device. Acta Technica Jaurinensis 2020, 13, 131–150. [Google Scholar] [CrossRef]
- Besser, C.; Agocs, A.; Ristic, A.; Frauscher, M. Implementation of Nitration Processes in Artificial Ageing for Closer-to-Reality Simulation of Engine Oil Degradation. Lubricants 2022, 10. [Google Scholar] [CrossRef]
- Dörr, N.; Brenner, J.; Ristić, A.; Ronai, B.; Besser, C.; Pejaković, V.; Frauscher, M. Correlation Between Engine Oil Degradation, Tribochemistry, and Tribological Behavior with Focus on ZDDP Deterioration. Tribol Lett 2019, 67. [Google Scholar] [CrossRef]
- Dörr, N.; Agocs, A.; Besser, C.; Ristić, A.; Frauscher, M. Engine Oils in the Field: A Comprehensive Chemical Assessment of Engine Oil Degradation in a Passenger Car. Tribol Lett 2019, 67. [Google Scholar] [CrossRef]
- Agocs, A.; Besser, C.; Brenner, J.; Budnyk, S.; Frauscher, M.; Dörr, N. Engine Oils in the Field: A Comprehensive Tribological Assessment of Engine Oil Degradation in a Passenger Car. Tribol Lett 2022, 70. [Google Scholar] [CrossRef]
- International, A. ASTM D7484—Standard Test Method for Evaluation of Automotive Engine Oils for Valve-Train Wear Performance in Cummins ISB Medium-Duty Diesel Engine 1 2021.
- International, A. ASTM D975—Standard Specification for Diesel Fuel Oils 1 2017.
- für Normung, D.I. DIN 51453—Testing of Lubricants—Determination of Oxidation and Nitration of Used Motor Oils—Infrared Spectrometric Method 2024.
- International, A. ASTM E2412—Standard Practice for Condition Monitoring of Used Lubricants by Trend Analysis Using Fourier Transform Infrared (FT-IR) Spectrometry 2004.
- für Normung, D.I. DIN 51777-2—Testing of Mineral Oil Hydrocarbons and Solvents; Determination of Water Content According to Karl Fischer; Indirect Method 1974.
- for Standardization, I.O. ISO 3771—Petroleum Products — Determination of Base Number — Perchloric Acid Potentiometric Titration Method 2011.
- für Normung, D.I. DIN 51558—Prüfung von Mineralölen—Bestimmung Der Neutralisationszahl—Farbindikator-Titration 2017.
- International, A. ASTM D7042—Standard Test Method for Dynamic Viscosity and Density of Liquids by Stabinger Viscometer (and the Calculation of Kinematic Viscosity) 2021.
- International, A. ASTM D2270—Standard Practice for Calculating Viscosity Index from Kinematic Viscosity at 40 °C and 100 °C 2024.
- Agocs, A.; Nagy, A.L.; Ristic, A.; Tabakov, Z.M.; Raffai, P.; Besser, C.; Frauscher, M. Oil Degradation Patterns in Diesel and Petrol Engines Observed in the Field—An Approach Applying Mass Spectrometry. Lubricants 2023, 11. [Google Scholar] [CrossRef]
- Vorlaufer Georg; Prünner David; Wopelka Thomas; Dörr Nicole Exctracting Wear Information from 3D Topography Data. In Proceedings of the ÖeTG Symposium; September 2018.
- Vorlaufer Georg; Ilincic S; Franek Friedrik; Pauschitz Andreas Wear Quantification by Comparison of Surface Topography Data. In Encyclopedia of Tribology; Q.J., W., Y.W., C., Eds.; Springer US, 2013; pp. 4087–4093.
- Lockwood, F.E.; Zhang, Z.G.; Choi, S.U.S.; Yu, W. Effect of Soot Loading on the Thermal Characteristics of Diesel Engine Oils. 2001.
- Gatto, V.J.; Moehle, W.E.; Cobb, T.W.; Schneller, E.R. Oxidation Fundamentals and Its Application to Turbine Oil Testing. J ASTM Int 2006, 3, 13498. [Google Scholar] [CrossRef]
- Kassler, A.; Pittenauer, E.; Doerr, N.; Allmaier, G. Development of an Accelerated Artificial Ageing Method for the Characterization of Degradation Products of Antioxidants in Lubricants by Mass Spectrometry. European Journal of Mass Spectrometry 2019, 25, 300–323. [Google Scholar] [CrossRef] [PubMed]
- George, S.; Balla, S.; Gautam, V.; Gautam, M. Effect of Diesel Soot on Lubricant Oil Viscosity. Tribol Int 2007, 40, 809–818. [Google Scholar] [CrossRef]
- Khruschov, M.M. PRINCIPLES OF ABRASIVE WEAR. Wear 1974, 28, 69–88. [Google Scholar] [CrossRef]
- Frauscher, M.; Agocs, A.; Wopelka, T.; Ristic, A.; Ronai, B.; Holub, F.; Payer, W. Improving Sustainability by Enhanced Engine Component Lifetime through Friction Modifier Additives in Fuels. Fuel 2024, 358. [Google Scholar] [CrossRef]












| Test engine | |
|---|---|
| Manufacturer | Cummins |
| Model | ISB |
| Configuration | Inline 6 |
| Displacement (L) | 5.9 |
| Aspiration | Turbocharged |
| Fuel system | High-pressure common rail direct injection |
| Fuel | According to ASTM D975 [36] |
| Injection timing | Retarded to -15° |
| Exhaust system | Cooled exhaust gas recirculation (EGR) |
| Engine operating parameters |
Engine speed (RPM) | Torque (NM) | Fuel rate (kg/h) | Fuel temp. (°C) | Coolant outlet temp. (°C) | Coolant pressure (kPa) | Intake manifold pressure (kPa) |
|---|---|---|---|---|---|---|---|
| Average | 1600 | 419 | 20 | 40 | 99 | 104 | 217 |
| Min. | 1597 | 406 | 19 | 33 | 98 | 103 | 206 |
| Max. | 1603 | 443 | 21 | 40 | 100 | 106 | 226 |
|
Engine operating parameters |
Intake manifold temp. (°C) | Inlet air temp. (°C) | Turbo outlet temp. (°C) | Oil temp. (pan) (°C) | Oil pressure (kPa) | Intake restriction (kPa) | Exhaust back pressure (kPa) |
| Average | 68 | 30 | 152 | 110 | 183 | 2.0 | 7.4 |
| Min. | 66 | 25 | 122 | 109 | 151 | 0.6 | 5.4 |
| Max. | 70 | 34 | 160 | 116 | 204 | 2.2 | 7.9 |
| Engine oil | |
|---|---|
| NN (mgKOH/g) | 1.9 |
| TBN (mgKOH/g) | 6.4 |
| Dynamic viscosity at 40 °C (mPa*s) | 35.8 |
| Dynamic viscosity at 100 °C (mPa*s) | 6.1 |
| Density at 40 °C (g/mL) | 0.824 |
| Density at 100 °C (g/mL) | 0.786 |
| Viscosity index (-) | 147.1 |
| Ca content (ppm) | 1900 |
| P content (ppm) | 700 |
| S content (ppm) | 1900 |
| Zn content (ppm) | 800 |
| Parameter | Analytical technique | Equipment |
|---|---|---|
| Oxidation | FTIR at 1720 cm-1 (in-house method [33,34]) |
Tensor 27 FTIR spectrometer (Bruker, Ettlingen, Germany) Tensor 27 FTIR spectrometer (Bruker, Ettlingen, Germany) |
| Nitration | FTIR at 1630 cm-1 (DIN 51453 [37]) |
Tensor 27 FTIR spectrometer (Bruker, Ettlingen, Germany) |
| Soot loading | FTIR at 2000 cm-1 (ASTM E2412 [38]) |
Tensor 27 FTIR spectrometer (Bruker, Ettlingen, Germany) |
| Residual phenolic antioxidants | FTIR at 3650 cm-1 (in-house method [11,33]) |
Tensor 27 FTIR spectrometer (Bruker, Ettlingen, Germany) |
| Residual aminic antioxidants | FTIR at 1515 cm-1 (in-house method [11,33]) |
Tensor 27 FTIR spectrometer (Bruker, Ettlingen, Germany) |
| Residual ZDDP | FTIR at 1020–920 cm-1 (in-house method [11,33]) |
Tensor 27 FTIR spectrometer (Bruker, Ettlingen, Germany) |
| Water content | Indirect Karl-Fischer titration (DIN 51777 [39]) |
KF Coulometer 756 and an Oven Sample Processor 774 (Metrohm AG, Herisau, Switzerland) |
| Total base number (TBN) | Potentiometric indication titration (ISO 3771 [40]) | Titrator Basic Titrino 794 (Metrohm AG, Herisau, Switzerland) |
| Neutralization number (NN) | Color-indication titration (DIN 51558 [41]) |
- |
| Elemental composition | ICP-OES (in-house method [11,33]) |
iCAP 7400 ICP-OES Duo, ThermoFisher, Waltham, Massachusetts, USA) |
| Kinematic viscosity and density at 40°C and 100°C | Stabinger viscometer (ASTM D7042 [42]) |
Stabinger SVM 3000 Viscometer (Anton Paar GmbH, Graz, Austria) |
| Viscosity index (-) | Stabinger viscometer (ASTM D2270 [43]) |
Stabinger SVM 3000 Viscometer (Anton Paar GmbH, Graz, Austria) |
| Tribometrical experimental parameters | |||
|---|---|---|---|
| Oil quantity (mL) | ~ 0.1 | Temperature (°C) | 100 |
| Contact | Ball on disc | Mode | Oscillation |
| Material (ball and disc) | 100Cr6 | Hardness (ball and disc) | HRc 62 |
| Ball dimension (mm) | 10 | Disc dimensions (mm) | 10 x 7.9 |
| Load (N) | 50 | Stroke (mm) | 1 |
| Mean contact pressure (GPa) | 1.2 | Maximum contact pressure (GPa) | 1.7 |
| Frequency (Hz) | 30 | Duration (min) | 120 |
Disclaimer/Publisher’s Note: The statements, opinions and data contained in all publications are solely those of the individual author(s) and contributor(s) and not of MDPI and/or the editor(s). MDPI and/or the editor(s) disclaim responsibility for any injury to people or property resulting from any ideas, methods, instructions or products referred to in the content. |
© 2024 by the authors. Licensee MDPI, Basel, Switzerland. This article is an open access article distributed under the terms and conditions of the Creative Commons Attribution (CC BY) license (http://creativecommons.org/licenses/by/4.0/).