Submitted:
26 September 2024
Posted:
29 September 2024
You are already at the latest version
Abstract
Keywords:
1. Introduction
1.1. Artificial Neural Network Architectures
2. Feedforward Neural Network
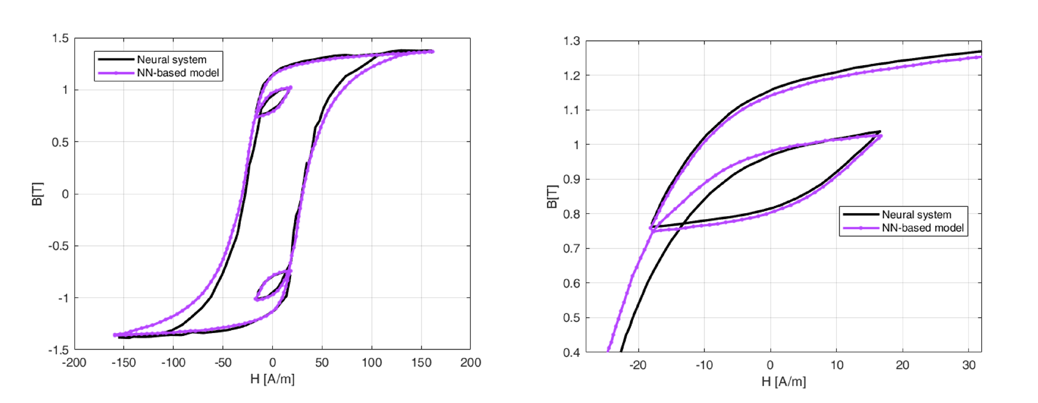
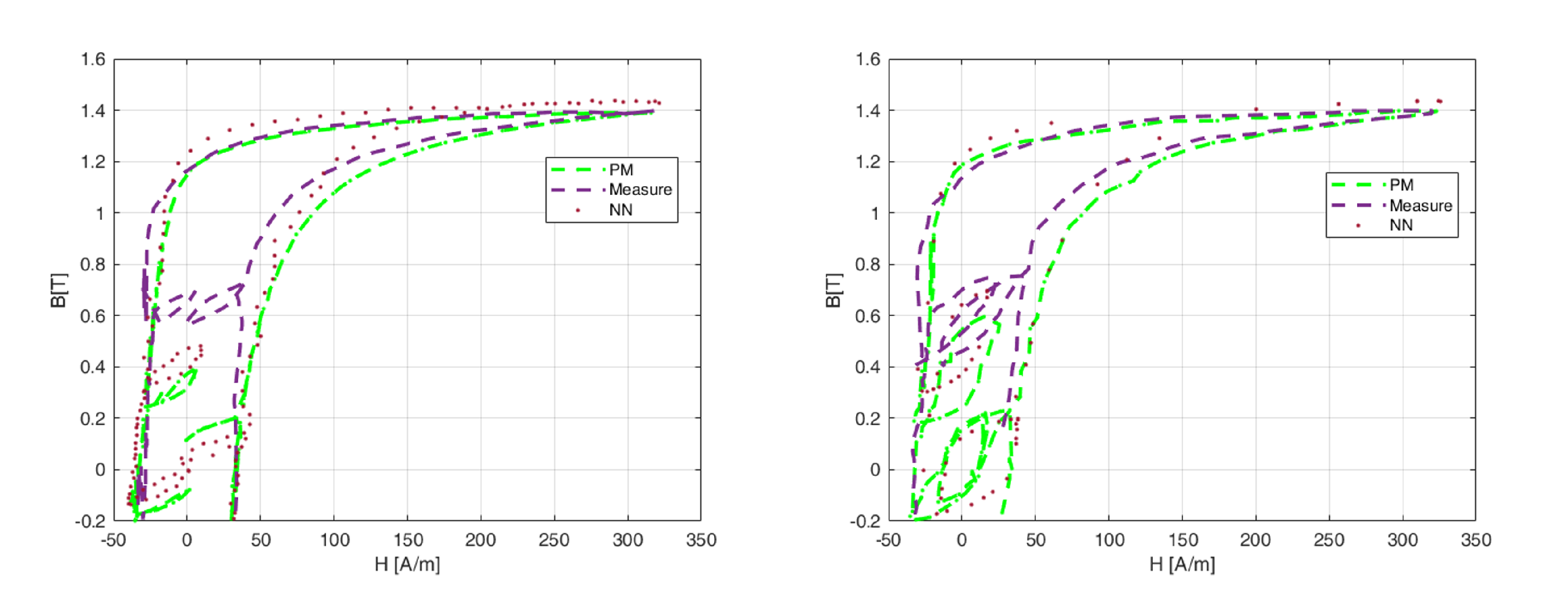
3. Hybrid Architectures—FNN and RNN
- MSE error, normalized sample by sample, evaluated considering measured and calculated B values of the main cycle (), with ,where is the element of the sequence of measured and evaluated B fields.
- The second term is the normalized MSE of the error between the measured value maximum and calculated value of the magnetic induction in the vertices of the cycles.
- The last term is introduced to improve the accuracy of the model by introducing cycle areas for the calculation of hysteresis losseswith areas of calculated and measured hysteresis cycles.
4. Further Neural Architectures
4.1. Recurrent NN, Diagonal RNN and LSTM
4.2. Convolutional NN and Temporal CNN
4.3. Generative Adversarial Networks (GAN)
4.4. FNN and Extended PM
4.5. Deep Operator Networks
5. Conclusions
Author Contributions
Funding
Acknowledgments
Conflicts of Interest
References
- Kittel, C. Introduction to Solid State Physics, 8th Ed.; John Wiley & Sons, Inc, USA, 2005.
- Mencuccini, C. Silvestrini, V. Fisica II Elettromagnetismo, Liguori Ed.; 1988, Napoli. ISBN 88-207-1633-X.
- Chitarin, G. , Elettrotecnica 1 – Principi, Società Editrice Esculapio; Bologna, 2020.
- Jiles, D.C.; Atherton, D.L. Theory of ferromagnetic hysteresis. J. Appl. Phys. 1984, 55, 2115. [Google Scholar] [CrossRef]
- Salvini, A. , Fulginei, F.R. Genetic algorithms and neural networks generalizing the Jiles-Atherton model of static hysteresis for dynamic loops. IEEE Trans. Magn., 2002, vol. 38, no 2, 873–876.
- Deželak, K. Petrun, M., Klopčič, B., Dolinar, D., Štumberger, G.Usage of a Simplified and Jiles–Atherton Model When Accounting for the Hysteresis Losses Within a Welding Transformer. IEEE Trans. Magn., 2014, vol. 50, no. 4, 1–4, Art no. 7300404.
- Yang, Y. Yang, B., Niu, M. Parameter identification of Jiles–Atherton model for magnetostrictive actuator using hybrid niching coral reefs optimization algorithm. Sens. Actuators, A, 2017, vol. 261, 184–195. ISBN 0924-4247.
- Stoner, E.C. Wohlfarth, E.P. A mechanism of magnetic hysteresis in heterogeneous alloys. Philos. Trans. R. Soc. London, Ser. A, 1948, vol 240, issue 826.
- Mayergoyz, I.D. Mathematical Models of Hysteresis and Their Applications, Elsevier, 2003. ISBN 978-0-12-480873-7.
- Al Janaideh, M.; Al Saaideh, M.; Tan, X. The Prandtl–Ishlinskii Hysteresis Model: Fundamentals of the Model and Its Inverse Compensator [Lecture Notes]. IEEE Contr. Syst. Mag. 2023, 43, 66–84. [Google Scholar] [CrossRef]
- Feng, Y.; Li, Z.; Rakheja, S.; Jiang, H. A Modified Prandtl-Ishlinskii Hysteresis Modeling Method with Load-dependent Delay for Characterizing Magnetostrictive Actuated Systems. Mech. Sci. 2018, 9, 177–188. [Google Scholar] [CrossRef]
- Gan, J.; Zhang, X. A review of nonlinear hysteresis modeling and control of piezoelectric actuators. AIP Advances 2019, 9, 040702. [Google Scholar] [CrossRef]
- Preisach, F. Über die magnetische Nachwirkung, Zeitschrift für Physik, 94 (5–6), 1935, pp. 277–302.
- Mayergoyez, I.D. Mathematical models of hysteresis, Springer-Verlag, New York, 1991.
- Sarker, P.C.; Guo, Y.; Lu, H.Y.; Zhu, J.G. A generalized inverse Preisach dynamic hysteresis model of Fe-based amorphous magnetic materials. J. Magn. Magn. Mater. 2020, 514, 167290. [Google Scholar] [CrossRef]
- Ge, P.; Jouaneh, M. Generalized preisach model for hysteresis nonlinearity of piezoceramic actuators. Precis. Eng. 1997; 20, 99–111. [Google Scholar]
- Mayergoyz, I.D.; Friedman, G. Generalized Preisach model of hysteresis. IEEE Trans. Magn. 1988; 24, 212–217. [Google Scholar]
- Heslop, D.; McIntosh, G.; Dekkers, M.J. Using time-and temperature-dependent Preisach models to investigate the limitations of modelling isothermal remanent magnetization acquisition curves with cumulative log Gaussian functions. Geoph. J. Intern. 2004, 157, 55–63. [Google Scholar] [CrossRef]
- Bertotti, G. , Mayergoyz, I. D., The Science of Hysteresis, Elsevier, ISBN 0080540783, 9780080540788, 2005.
- Amann, A.; Brokate, M.; McCarthy, S.; Rachinskii, D.; Temnov, G. Characterization of memory states of the Preisach operator with stochastic inputs. Physica B: Condensed Matter 2012, 407, 1404–1411. [Google Scholar] [CrossRef]
- Visintin, A. Differential Models of Hysteresis, Springer, Berlin, 1994, pp. 10–29.
- Ma, Y.; Li, Y., Sun. Research on the inverse vector hysteresis model with the deep learning parameter identification algorithm. J. Magn. Magne. Mater, 2022; 562, 169839ISBN 0304-8853. [Google Scholar]
- Szabó, Z.; Füzi, J. Implementation and identification of Preisach type hysteresis models with Function in closed form. J. Magn. Magn. Mater. 2016; 406, 251–258ISBN 0304-8853. [Google Scholar]
- Quondam Antonio, S. , Riganti Fulginei F., Laudani A., Faba A., Cardelli E. An effective neural network approach to reproduce magnetic hysteresis in electrical steel under arbitrary excitation waveforms. J. Magn. Magn. Mater., 2021, 528, 167735. [Google Scholar] [CrossRef]
- Quondam Antonio, S. , Riganti Fulginei F., Lozito G.M., Faba A., Salvini A., Bonaiuto V., Sargeni F. Computing Frequency-Dependent Hysteresis Loops and Dynamic Energy Losses in Soft Magnetic Alloys via Artificial Neural Networks. Mathematics, MDPI, 2022, 10, 2346. [Google Scholar]
- Quondam Antonio, S.; Bonaiuto, V.; Sargeni, F.; Salvini, A. Neural Network Modeling of Arbitrary Hysteresis Processes: Application to GO Ferromagnetic Steel. Magnetochemistry 2022, 2022, 18. [Google Scholar] [CrossRef]
- Faba, A.; Riganti Fulginei, F.; Quondam Antonio, S.; Stornelli, G.; Di Schino, A.; Cardelli, E. Hysteresis Modelling in Additively Manufactured FeSi Magnetic Components for Electrical Machines and Drives. IEEE Trans. Industr. Electr. 2024, 71, 3. [Google Scholar] [CrossRef]
- Akbarzadeh, V.; Davoudpour, M.; Sadeghian, A. Neural network modeling of magnetic hysteresis.IEEE Intern. Conf. Emerg. Techn. Fact. Autom., 2008, Hamburg, Germany, 1267–1270.
- Chen, G. Chen, G., Lou, Y. Diagonal Recurrent Neural Network-Based Hysteresis Modeling. IEEE Trans. Neural Networks Learn. Syst., 2022, vol. 33, no. 12, 7502–7512.
- Grech, C. Buzio, M., Pentella, M., Sammut, N. Dynamic Ferromagnetic Hysteresis Modelling Using a Preisach-Recurrent Neural Network Model. Materials, MDPI, 2020, 13(11): 2561.
- Farrokh, M. , Dizaji, F.S., Dizaji, M.S. Hysteresis Identification Using Extended Preisach Neural Network. Neural Process Lett., 2022, 54, 1523–1547. [Google Scholar] [CrossRef]
- Zhang, H. Yang, C., Zhang, Y., Li, Y., Chen, Y. Temperature-dependent hysteresis model based on temporal convolutional network, AIP Advances, 2024, 14(2).
- Chen, S. Xu, M., Liu, S. et al., CNN–AUPI-Based Force Hysteresis Modeling for Soft Joint Actuator. Arab. J. Sci. Eng., 2024, vol. 49, 14577–14591.
- Teoh, T.T. , Rong, Z., Deep Convolutional Generative Adversarial Network. In: Artificial Intelligence with Python. Machine Learning: Foundations, Methodologies, and Applications; Springer, Singapore, 2022.
- Liu, Y. Zhou, R., Huo, M. Long short term memory network is capable of capturing complex hysteretic dynamics in piezoelectric actuators. Electronics Letters, 2019, 55(2).
- Chandra, A. Daniels, B., Curti, M., Tiels, K., Lomonova, E.A. Magnetic Hysteresis Modeling with Neural Operators, arXiv:2407.03261v1 [cs.LG], 03 Jul 2024.
- Francomano, E. , Paliaga, M. Highlighting numerical insights of an efficient SPH method. Appl. Math. Comput., 2018, 339, 899–915. [Google Scholar]
- Antonelli, L. , Francomano, E., Gregoretti, F. A CUDA-based implementation of an improved SPH method on GPU. Appl. Math. Comput., 2021, 409, 125482. [Google Scholar]
- Buhmann, M.D. Radial Basis Functions: Theory and Implementations; Cambridge University, 2003, ISBN 0-521-63338-9.
- Chen, S. Cowan, C.F.N., Grant, P.M., Orthogonal Least Squares Learning Algorithm for Radial Basis Function Networks. IEEE Trans. Neural Networks, 1991, vol. 2, no. 2, 302–309.
- Marquardt, D.W. An Algorithm for Least-Squares Estimation of Nonlinear Parameters. J. Soc. Industr. Appl. Math. 1963, 11, 431–441. [Google Scholar] [CrossRef]
- Salvini, A. Riganti-Fulginei, F., Coltelli, C. A neuro-genetic and time-frequency approach to macromodeling dynamic hysteresis in the harmonic regime. IEEE Trans. Magn., 2003, 39(3I).
- Zirka, S.E. , Moroz, Y.I. Hysteresis modeling based on similarity. IEEE Trans. Magn., 1999, 35, 2090–2096. [Google Scholar] [CrossRef]
- Takács, J. The Everett Integral and Its Analytical Approximation, Open access article distributed under the terms of the Creative Commons Attribution 3.0 License. Available online: https://cdn.intechopen.com/ pdfs/37228/InTech−The_ everett_integral_and_its_analytical _approximation.pdf.
- Biorci, G. Pescetti, D. Analytical theory of the behaviour of ferromagnetic materials. Nuovo Cim., 1958, 7(6), 829–842.
- Bernard, Y. Mendes, E., Bouillault, F. Dynamic hysteresis modeling based on Preisach model. IEEE Trans. on Mag., 2002, 38(2), 885–888.
- Kadar, G. Kisdi-Koszo, E., Kiss, L., Potocky, L., Zatroch, M., Della Torre, E. Bilinear product Preisach modeling of magnetic hysteresis curves. IEEE Trans. on Mag., 1989, vol. 25, no. 5, 3931–3933.
- Goodfellow, I. , Bengio, Y., Courville, A. Ch.10: Sequence Modeling: Recurrent and Recursive Nets in Deep Learning, MIT Press, 2016. Available online: www.deeplearningbook.org.
- Ala, G. Catrini, P., Ippolito, M.G., La Villetta, M., Licciardi, S. et al. Deep Learning for Smart Grid and Energy Context. In proceedings of Asia Meeting on Environment and Electrical Engineering (EEE-AM), Hanoi, Vietnam, (November 13-15 2023), pp. 1–6.
- Chung, J. Gulcehre, C., Cho, K., Bengio, Y. Empirical evaluation of gated recurrent neural networks on sequence modeling, NIPS 2014 Workshop on Deep Learning. Available on arXiv:1412.3555 [cs.NE], 2014.
- Hagan, M.T. , Menhaj, M.B. Training feedforward networks with the Marquardt algorithm. IEEE Trans. Neural Netw., 1994, 5, 989–993. [Google Scholar] [CrossRef] [PubMed]
- Chandra, A. et al. Neural oscillators for magnetic hysteresis modeling, Available on arXiv:2308.12002 [cs.LG], 2023.
- LeCun, Y. , Bengio, Y., Convolutional networks for images, speech, and time series. In The handbook of brain theory and neural networks, (Second ed.); Arbib, Michael A. (ed.)., 1995, The MIT press., pp. 276–278.
- Wei, J.D. Sun C.T., Constructing hysteretic memory in neural networks. IEEE Trans. Syst. Man Cybern Part B Cybern, 2000, 30(4), 601–609.
- Chiang, D.Y. The generalized Masing models for deteriorating hysteresis and cyclic plasticity. Appl. Math. Model., 1999, vol. 23, issue 11, 847–863. ISBN 0307-904X.
- Joghataie, A. Farrokh M. Dynamic analysis of nonlinear frames by prandtl neural networks. J. Eng. Mech., 2008, 134(11), 961–969.
- Farrokh, M. Joghataie A., Adaptive modeling of highly nonlinear hysteresis using preisach neural networks. J. Eng. Mech., 2013, 140(4), 06014002.
- Badel, A. , Qiu, J., Nakano, T.,A new simple asymmetric hysteresis operator and its application to inverse control of piezoelectric actuators. IEEE Trans. Ultrason. Ferroelectr. Freq. Control, 2008, 55, 1086–1094. [Google Scholar] [CrossRef] [PubMed]
- Pollok, S. , Olden-Jorgensen, N., Jorgensen, P.S., Bjork, R. Magnetic field prediction using generative adversarial networks. J. Magn. Magn. Mater., 2023, 571, 170556. [Google Scholar] [CrossRef]
- He, K. , Zhang, X., Ren, S., Sun, J. Deep residual learning for image recognition. In Proc. IEEE Conf. Comput. Vis. Pattern Recognit., CVPR, 2016, pp. 770–778.
- Lu, L. Jin, P., Pang, G., Zhang, Z., Karniadakis, G.E. Learning nonlinear operators via DeepONet based on the universal approximation theorem of operators. Nat. Mach. Intell., 2021, vol. 3, no. 3, 218–229.
- Chen, T. Chen, H. Universal approximation to nonlinear operators by neural networks with arbitrary activation functions and its application to dynamical systems. IEEE Trans. Neural Networks, 1995, vol. 6, 4, 911–917.
- Azizzadenesheli, K.; Kovachki, N.; Li, Z.; Liu-Schiaffini, M.; Kossaifi, J.; Anandkumar, A. Neural operators for accelerating scientific simulations and design. Nat. Rev. Phys. 2024, 1–9. [Google Scholar] [CrossRef]
| 1 | |
| 2 | In such hybrid models FNN are used to calculate the memory-free relationship between input and otput while to take into account the memory effect, which is typical of hysteretic behaviour, a hysteron-based model is adopted. This is to deal with the problem of the formulation of adequate dependence on the memory of the output model depending on the hysteretic behavior of magnetic materials. Instead of hybrid techniques, also approaches full network-based can be used, such as recurrent neural network architectures (RNN) having an intrinsically recursive memory, as we will see in Section 4.1. |
| 3 | Recall that Everett integral is known in the following form
|
| 4 | We recall that ⊙ is tradionally the symbol for Hadamard product. |











Disclaimer/Publisher’s Note: The statements, opinions and data contained in all publications are solely those of the individual author(s) and contributor(s) and not of MDPI and/or the editor(s). MDPI and/or the editor(s) disclaim responsibility for any injury to people or property resulting from any ideas, methods, instructions or products referred to in the content. |
© 2024 by the authors. Licensee MDPI, Basel, Switzerland. This article is an open access article distributed under the terms and conditions of the Creative Commons Attribution (CC BY) license (http://creativecommons.org/licenses/by/4.0/).