Submitted:
20 September 2024
Posted:
23 September 2024
You are already at the latest version
Abstract
Keywords:
1. Introduction
2. Case of a Discrete-Time Hopfield Neural Network of Two Neurons with Two Delays and No Self- Connections























3. Case of a Discrete-Time Hopfield Neural Network of Two Neurons with a Single Delay and Self- Connections


. At 1.40693 a supercritical Neimark–Sacker bifurcation occurs.


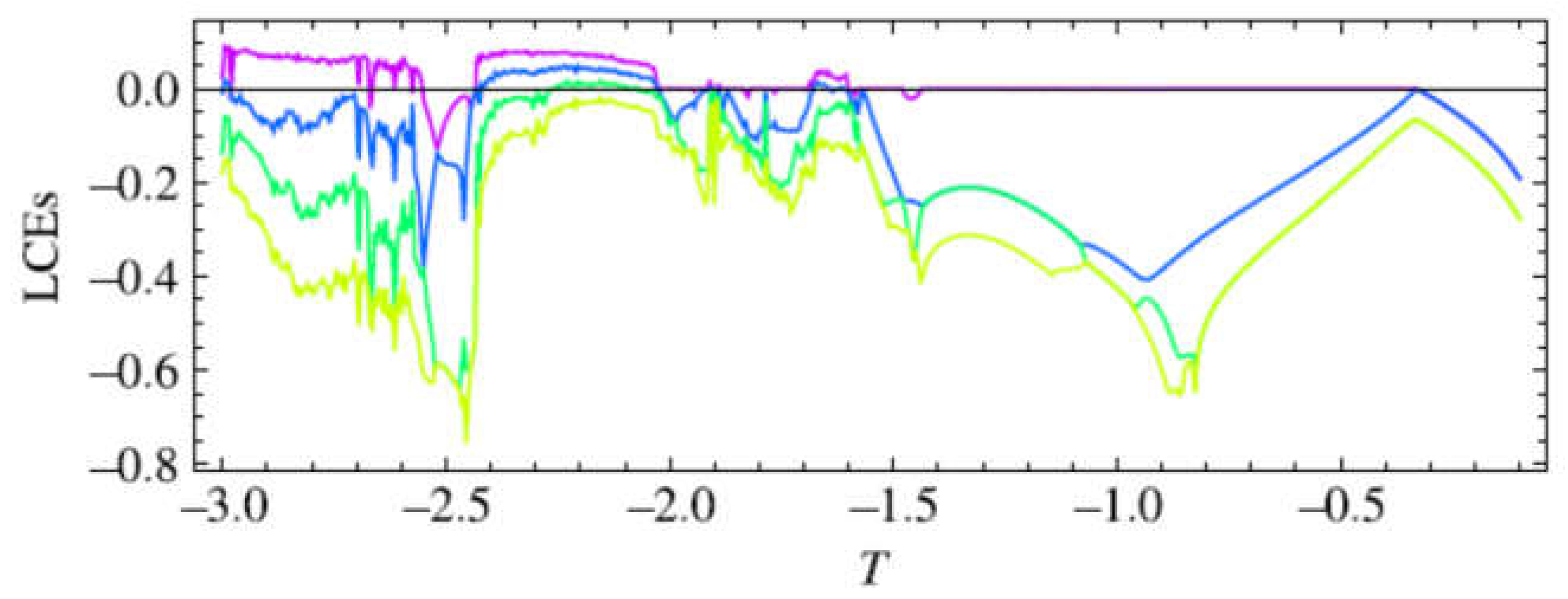
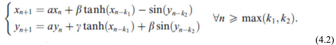
4. Case of a Discrete-Time Hopfield Neural Network of Two Neurons with a Two Delays and Self- Connections

with; a = 0.5, k1 = 4, k2 = 10, For γ = 0.19 the null solution of (4.2) is asymptotically stable and trajectories converges to the null solution.



5. Case of a Discrete-Time Hopfield Neural Network with Delay and Ring Architecture







6. Results
7. Discussion
Author Contributions
Funding
Institutional Review Board Statement
Informed Consent Statement
Conflicts of Interest
References
- Mandelbrot, Benoit (July 8, 2013). 24/7 Lecture on Fractals (https://www.youtube.com/watch?v=5e7HB5Oze4g#t=70). 2006 Ig Nobel Awards. Improbable Research. Archived (https://ghostarchive.org/varchive/youtube/20211211/5e7HB5Oze4g) from the original on December 11, 2021.
- Mandelbrot, B. B.: The Fractal Geometry of Nature. W. H. Freeman and Company, New York (1982); p. 15.
- Edgar, Gerald (2007). Measure, Topology, and Fractal Geometry (https://books.google.com/books?id=dk2vruTv0_gC&pg=PR7). Springer Science & Business Media. p. 7. ISBN 978-0-387-74749-1.
- Vicsek, Tamás (1992). Fractal growth phenomena. Singapore/New Jersey: World Scientific. pp. 31, 139–146. ISBN 978-981-02-0668-0.
- Gouyet, Jean-François (1996). Physics and fractal structures. Paris/New York: Masson Springer. ISBN 978-0-387-94153-0.
- Peters, Edgar (1996). Chaos and order in the capital markets: a new view of cycles, prices, and market volatility. New York: Wiley. ISBN 978-0-471-13938-6.
- Krapivsky, P. L.; Ben-Naim, E. (1994). Multiscaling in Stochastic Fractals. Physics Letters A. 1994, 196, 168. Bibcode:1994PhLA..196..168K (https://ui.adsabs.harvard.edu/abs/1994Ph LA..196..168K). [CrossRef]
- Hassan, M. K.; Rodgers, G. J. (1995). Models of fragmentation and stochastic fractals. Physics Letters A. 1995, 208, 95. Bibcode:1995PhLA..208...95H (https://ui.adsabs.harvard.edu/abs/1995PhLA..208...95H). [CrossRef]
- Hassan, M. K.; Pavel, N. I.; Pandit, R. K.; Kurths, J. Dyadic Cantor set and its kinetic and stochastic counterpart. Chaos, Solitons & Fractals. 2014, 60, 31–39. arXiv:1401.0249 . [CrossRef]
- Tan, Can Ozan; Cohen, Michael A.; Eckberg, Dwain L.; Taylor, J. Andrew Fractal properties of human heart period variability: Physiological and methodological implications(https://www.ncbi.nlm.nih.gov/pmc/articles/PMC2746620). The Journal of Physiology. 2009, 587, 3929–3941. [CrossRef] [PubMed]
- Liu, Jing Z. ; Zhang, Lu D.; Yue, Guang H. Fractal Dimension in Human Cerebellum Measured by Magnetic Resonance Imaging (https://www.ncbi.nlm.nih.gov/pmc/articles/PMC1303704). Biophysical Journal. 2003, 85, 4041–4046. [Google Scholar] [CrossRef] [PubMed]
- Karperien, Audrey L. ; Jelinek, Herbert F.; Buchan, Alastair M. Box-Counting Analysis of Microglia Form in Schizophrenia, Alzheimer's Disease and Affective Disorder. Fractals 2008, 16, 103. [Google Scholar] [CrossRef]
- Jelinek, Herbert F.; Karperien, Audrey; Cornforth, David; Cesar, Roberto; Leandro, Jorge de Jesus Gomes (2002). MicroMod-an L-systems approach to neural modelling. In Sarker, Ruhul (ed.). Workshop proceedings: the Sixth Australia-Japan Joint Workshop on Intelligent and Evolutionary Systems, University House, ANU (https://books.google.com/books?id=FFSUGQAACAAJ). University of New South Wales. ISBN 978-0-7317-0505-4. OCLC 224846454 (https://search.worldcat.org/oclc/224846454). Retrieved February 3, 2012.Event location: Canberra, Australia.
- Hu, Shougeng; Cheng, Qiuming; Wang, Le; Xie, Shuyun Multifractal characterization of urban residential land price in space and time. Applied Geography. 2012, 34, 161–170. [CrossRef]
- Karperien, Audrey; Jelinek, Herbert F.; Leandro, Jorge de Jesus Gomes; Soares, João V. B.;Cesar Jr, Roberto M.; Luckie, Alan (2008). Automated detection of proliferative retinopathy in clinical practice (https://www.ncbi.nlm.nih.gov/pmc/articles/PMC2698675). Clinical Ophthalmology. [CrossRef] [PubMed]
- Losa, Gabriele A.; Nonnenmacher, Theo F. (2005). Fractals in biology and medicine (https://books.google.com/books?id=t9l9GdAt95gC). Springer. ISBN 978-3-7643-7172-2.
- Vannucchi, Paola; Leoni, Lorenzo (2007). Structural characterization of the Costa Rica décollement: Evidence for seismically-induced fluid pulsing. Earth and Planetary Science Letters 2007, 262, 413–Bibcode:2007E. [Google Scholar] [CrossRef]
- Wallace, David Foster (August 4, 2006). Bookworm on KCRW (https://web.archive.org/web/20101111033857/http://www.kcrw.com/etc/programs/bw/bw960411david_foster_wallace). Kcrw.com. Archived from the original (http://www.kcrw.com/etc/programs/bw/bw960411david_foster_wallace) on November 11, 2010. Retrieved October 17, 2010.
- Eglash, Ron (1999). African Fractals: Modern Computing and Indigenous Design (https://web.archive.org/web/20180103005701/http://homepages.rpi.edu/~eglash/eglash.dir/afractal/afbook.htm). New Brunswick: Rutgers University Press. Archived from the original (http://www.rpi.edu/~eglash/eglash.dir/afractal/afractal.htm) on January 3, 2018. Retrieved October 17, 2010.
- Ostwald, Michael J., and Vaughan, Josephine (2016) The Fractal Dimension of Architecture Birhauser, Basel. [CrossRef]
- Larry, S. Liebovitch, Fractals and Chaos Simplified for the Life Sciences; Oxford Univ. Press, 1998.
- Gabriele Angelo Losa; Antonio Di Ieva; Fabio Grizzi; and Gionata De Vico; On the fractal nature of nervous cell system, NEUROANATOMY, 21 July 2011. [CrossRef]
- Gabriele A. Losa, On the Fractal Design in Human Brain and Nervous Tissue; Applied Mathematics, 2014, 5,1725-1732 Published Online June 2014 in Sci.Res. http://www.scirp.org/journal/am.
- Luis H. Favela, Charles A. Coey, Edwin R. Griff, Michael J. Richardson; Fractal analysis reveals subclasses of neurons and suggests an explanation of their spontaneous activity, Neuroscience Letters (2016) 54–58.
- Conor Rowland, Bruce Harland, Julian H. Smith, Saba Moslehi, John Dalrymple-Alford and Richard P. Taylor; Investigating Fractal Analysis as a Diagnostic Tool That Probes the Connectivity of Hippocampal Neurons; Front. Physiol. 13, 932598. [CrossRef]
- Ian Pilgrim and Richard P. Taylor, Fractal Analysis of Time-Series Data Sets: Methods and Challenges. [CrossRef]
- Zaletel, I. Fractal analysis in neuroanatomy and neurohistology. MedPodml 2016, 67, 1–7. [Google Scholar] [CrossRef]
- Wonsang You, Sophie Achardy, J¨org Stadler, Bernd Bruckner, and Udo Seiffert, Fractal analysis of resting state functional connectivity of the brain, WCCI 2012 IEEE World Congress on Computational Intelligence, June, 10-15, 2012 - Brisbane, Australia.
- Malvin C. Teich, Conor Heneghan, Steven B. Lowen, Tsuyoshi Ozaki and Ehud Kaplan, Fractal character of the neural spike train in the visual system of the cat. J. Opt. Soc. Am. A 1997, 14.
- Antonio Di Ieva, Fabio Grizzi, Herbert Jelinek, Andras J. Pellionisz, and Gabriele Angelo Losa, Fractals in the Neurosciences, Part I: General Principles and Basic Neurosciences. The Neuroscientist 2014, 20, 403–417. [Google Scholar] [CrossRef] [PubMed]
- Antonio Di Ieva, Francisco J. Esteban, Fabio Grizzi,Wlodzimierz Klonowski, and Miguel Martín-Landrove, Fractals in the Neurosciences, PartII: Clinical Applications and Future Perspectives. The Neuroscientist 2015, 21, 30–43. [Google Scholar] [CrossRef]
- Gerhard Werner, Fractals in the nervous system: conceptual implications for theoretical neuroscience, Frontiers in Physiology. Fractal Physiology 2010, 1, 15.
- Erhard Bieberich, Recurrent fractal neural networks: a strategy for the exchange of local and global information processing in the brain, BioSystems 2002, 66, 145_/164.
- Hodgkin AL, Huxley AF. A quantitative description of membrane current and its application to conduction and excitation in nerve. J Physiol (Lond) 1952, 117, 500–544. [Google Scholar] [CrossRef]
- S. Hagiwara, S. Nakajimao. Effects of the intracellular Ca ion concentration upon excitability of the muscle fiber membrane of a barnacle. J. Gen. Physiol. 1966, 49, 807–818. [CrossRef] [PubMed]
- S. S. Hagiwara, H. Hayashi, K. Takahashi. Calcium and potassium currents of the membrane of a barnacle muscle fiber in relation to the calcium spike. J. Physiol. 1969, 205, 115–129. [Google Scholar] [CrossRef] [PubMed]
- R. Keynes, D. Rojas, T. Eduardo, E. Robert, J.R. Vergara. Calcium and potassium systems of a giant barnacle muscle fiber under membrane potential control. J. Physiol. (Lond.) 1973, 229, 409–455. [CrossRef] [PubMed]
- S. Hagiwara, J. Fukuda, D.C. Eaton. Membrane currents carried by Ca, Sr, and Ba in barnacle muscle fiber during voltage clamp. J. Gen. Physiol. 1974, 63, 564–578. [CrossRef] [PubMed]
- K. Murayama, N. Lakshminarayanaiah. Some electrical properties of the membrane of the barnacle muscle fibers under internal perfusion. J. Membr. Biol. 1977, 35, 257–283. [CrossRef]
- P. P.S. Beirao, N. Lakshminarayanaiah. Calcium carrying system in the giant muscle fibre of the barnacle species Balanus Nubilus. J. Physiol. 1979, 293, 319–327. [Google Scholar] [CrossRef]
- C. Morris, & Lecar, Harold. Voltage oscillations in the barnacle giant muscle fiber. Biophysical J. 1981, 35, 193–213.
- S.H.Weinberg, Membrane Capacitive Memory Alters Spiking in Neurons Described by the Fractional Order Hodgkin-Huxley Model. PloS ONE, 2015; 10, e0126629.
- Brandibur O , Kaslik E . Stability properties of a two dimensional system involv- ing one Caputo derivative and applications to the investigation of a fractional order Morris-Lecar neuronal model. Nonlinear Dyn 2017, 90, 2371–2386. [CrossRef]
- M. A. Moreles, & Lainez, Rafael. Mathematical Modelling of Fractional Order Circuits. ArXiv 2016, arXiv:1602.03541.
- Agneta M. Balint , Stefan Balint , Robert Szabo , Mathematical description of the ion transport across biological neuron membrane and in biological neuron networks, voltage propagation along neuron axons and dendrites, which uses temporal classic Caputo or Riemann-Liouville fractional partial derivatives, is non-objective, MATHEMATICS IN ENGINEERING, SCIENCE AND AEROSPACE MESA - www.journalmesa.com Vol. 12, No. 4, pp. 1057–1079, 2021 c CSP - Cambridge, UK; I&S - Florida, USA, 2021.
- Agneta, M. Agneta M. Balint , Stefan Balint , Adrian Neculae , On the objectivity of mathematical description of ion transport processes using general temporal Caputo and Riemann-Liouville fractional partial Derivatives. Chaos, Solitons and Fractals 2022, 156, 111802. [Google Scholar]
- J. Hopfield, Neural networks and physical systems with emergent collective computational abilities, Proc. Nat. Acad. Sci. 1982, 79, 2554–2558. [Google Scholar] [CrossRef] [PubMed]
- Tank, D.W.; Hopfield, J.J. Simple neural optimization networks: an A/D converter, signal decision circuit and a linear programming circuit. IEEE Transactions on Circuits and Systems 1986, 33, 533–541. [Google Scholar] [CrossRef]
- Yu, W.; Cao, J. Cryptography based on delayed chaotic neural networks. Physics Letters A, 2006; 356, 333–338. [Google Scholar]
- Mirela Darau, Eva Kaslik, Stefan Balint; Cryptography using chaotic discrete-time delayed Hopfield neural networks; MATHEMATICS IN ENGINEERING, SCIENCE AND AEROSPACE MESA - www.journalmesa.com Vol. 3, No. 1, pp. 31–40, 2012 CSP - Cambridge, UK; I&S - Florida, USA, 2012.
- Adachi, M.; Aihara, K. Associative dynamics in a chaotic neural network. Neural Networks 1997, 10, 83–98. [Google Scholar] [CrossRef]
- Bremen, H. F.; Udwadia, F.E.; Proskurowski, W. An efficient QR based method for the computation of Lyapunov exponents. Physica D: Nonlinear Phenomena 1997, 101, 1–16. [Google Scholar] [CrossRef]
- Chen, L.; Aihara, K. Chaotic simulated annealing by a neural network model with transient chaos. Neural Networks 1995, 8, 915–930. [Google Scholar] [CrossRef]
- Chen, L.; Aihara, K. Chaos and asymptotical stability in discrete-time neural networks. Physica D: Nonlinear Phenomena 1997, 104, 286–325. [Google Scholar] [CrossRef]
- Chen, L.; Aihara, K. Chaotic dynamics of neural networks and its application to combinatorial optimization. Journal of Dynamical Systems and Differential Equations 2001, 9, 139–168. [Google Scholar]
- Chen, S.S.; Shih, C.W. Transversal homoclinic orbits in a transiently chaotic neural network. Chaos 2002, 12, 654–671. [Google Scholar] [CrossRef]
- Guo, S.; Huang, L. Periodic oscillation for discrete-time Hopfield neural networks. Physics Letters A 2004, 329, 199–206. [Google Scholar] [CrossRef]
- Guo, S.; Huang, L.; Wang, L. Exponential stability of discrete-time Hopfield neural networks. Computers and Mathematics with Applications 2004, 47, 1249–1256. [Google Scholar] [CrossRef]
- Guo, S.; Tang, X.; Huang, L. (2007). Stability and bifurcation in a discrete system of two neurons with delays. Nonlinear Analysis: Real World Applications, in press. [CrossRef]
- He, W.; Cao, J. Stability and bifurcation of a class of discrete-time neural networks. Applied Mathematical Modelling 2007, 31, 2111–2122. [Google Scholar] [CrossRef]
- E. Kaslik, St. Balint; Configurations of steady states for Hopfield-type neural networks. Applied Mathematics and Computation 2006, 182, 934–946. [Google Scholar] [CrossRef]
- St. Balint, L. Braescu and E. Kaslik, Regions of attraction and applications to control theory; Cambridge Scientific Publishers Ltd. 2008. Edited by S. Sivasundaram.
- Yuan, Z.; Hu, D.; Huang, L. Stability and bifurcation analysis on a discrete-time system of two neurons. Applied Mathematical Letters 2004, 17, 1239–1245. [Google Scholar] [CrossRef]
- Yuan, Z.; Hu, D.; Huang, L. Stability and bifurcation analysis on a discrete-time neural network. Journal of Computational and Applied Mathematics 2005, 177, 89–100. [Google Scholar] [CrossRef]
- Zhang, C.; Zheng, B. Hopf bifurcation in numerical approximation of a n dimension neural network model with multi-delays. Chaos, Solitons & Fractals 2005, 25, 129–146. [Google Scholar]
- Zhang, C.; Zheng, B. Stability and bifurcation of a two-dimension discrete neural network model with multi-delays. Chaos, Solitons & Fractals 2007, 31, 1232–1242. [Google Scholar]
- E. Kaslik, S. E. Kaslik, S. Balint.Chaotic Dynamics of a Delayed Discrete-Time Hopfield Network of Two No identical Neurons with no Self-Connections. J Nonlinear Sci. [CrossRef]
- E. Kaslik, St. Balint. Bifurcation analysis for a two-dimensional delayed discrete-time Hopfield neural network. Chaos, Solitons and Fractals 2007, 34, 1245–1253. [CrossRef]
- E. Kaslik, St. Balint. Bifurcation analysis for a discrete-time Hopfield neural network of two neurons with two delays and self-connections. Chaos, Solitons and Fractals 2009, 39, 83–91. [CrossRef]
- Eva Kaslik, Stefan Balint. Complex and chaotic dynamics in a discrete-time-delayed Hopfield neural network with ring architecture. Neural Networks 2009, 22, 1411_1418. [Google Scholar]
- Feifei Yang, Jun Ma, Fuqiang Wu; Review on memristor application in neural circuit and network. Chaos, Solitons&Fractals 2024, 187, 115361.
Disclaimer/Publisher’s Note: The statements, opinions and data contained in all publications are solely those of the individual author(s) and contributor(s) and not of MDPI and/or the editor(s). MDPI and/or the editor(s) disclaim responsibility for any injury to people or property resulting from any ideas, methods, instructions or products referred to in the content. |
© 2024 by the authors. Licensee MDPI, Basel, Switzerland. This article is an open access article distributed under the terms and conditions of the Creative Commons Attribution (CC BY) license (http://creativecommons.org/licenses/by/4.0/).