Submitted:
18 September 2024
Posted:
20 September 2024
You are already at the latest version
Abstract
Keywords:
1. Main Results
-
1) We developed a stochastic model based on the Maynard-Guth corollary to capture the stochastic nature of prime distribution in almost-short intervals. The model is defined by the following equation:where:
- represents the number of primes in the n-th interval.
- y is the fixed length of the interval.
- incorporates the influence of the prime number theorem.
-
is a random error term, modeled as a Laplace distribution with parameters and b.Through analysis of the stochastic properties of this model, we found that the stochastic model approximates a uniform distribution. We compared this model with the distribution of primes in almost-short intervals, demonstrating that it closely aligns with the observed prime distribution. Additionally, we compared the statistical properties of the stochastic model with the Prime Number Theorem (PNT) and achieved consistency with both models.
- 2) We investigated the statistical properties of the quantum model using the derived formulations of the associated Hamiltonian. Our analysis revealed that the energy levels of the Hamiltonian are quantized and follow a Gamma distribution. Furthermore, the probability density function (PDF) of the Hamiltonian closely resembles the Gaussian Orthogonal Ensemble (GOE) from large random matrix theory, indicating that our model shares statistical characteristics with well-known random matrix ensembles.
- 3) Our numerical experiments confirm that our new bound, associated with our stochastic model, significantly outperforms both the Walfisz and Maynard-Guth bounds, especially for large x. The new bound is highly sensitive to parameter choices, with optimal selections yielding tighter error terms and improved accuracy. Additionally, statistical comparisons show the model accurately captures higher-order moments, despite slight underestimation in the mean and variance.
- The modulated Hamiltonian , derived from the potential and a test function , exhibits behavior similar to the energy levels of the heavy nucleus . Specifically, the decreasing gaps between these energy levels, influenced by quantum mechanics and relativistic effects, are analogous to the distribution of zeros of the Riemann zeta function near the critical line. This suggests that the zeros of correspond to the energy levels of , providing a quantum mechanical interpretation of the Riemann hypothesis and reinforcing the connection between number theory and quantum physics.
- The modulated Hamiltonian , derived from a logarithmic potential and used to evaluate the Riemann zeta function at points , demonstrates that the distribution of zeros of the Riemann zeta function near the critical line can be modeled similarly to the energy levels of heavy atoms, such as . This suggests that the zeros align with the critical line, supporting a quantum mechanical interpretation of the Riemann hypothesis.
- Assuming the Elliott-Halberstam conjecture, which implies prime gaps can be as small as 12, the transition rate between quantum states associated with prime numbers increases with larger primes. This result suggests that the distribution of prime gaps may reflect an underlying discrete structure in the "energy" landscape of primes, analogous to energy levels in quantum systems, providing a novel perspective on the connection between number theory and quantum physics.
2. Introduction
3. Motivation and Derivation of Our Stochastic Model
4. Stochastic Model
- represents the number of primes in the n-th interval.
- y is the fixed length of the interval.
- incorporates the influence of the prime number theorem.
- is a random error term, modeled as a Laplace distribution with parameters and b.
5. Statistical Analysis
- Mean:
- Variance:
- Skewness:
- Kurtosis:
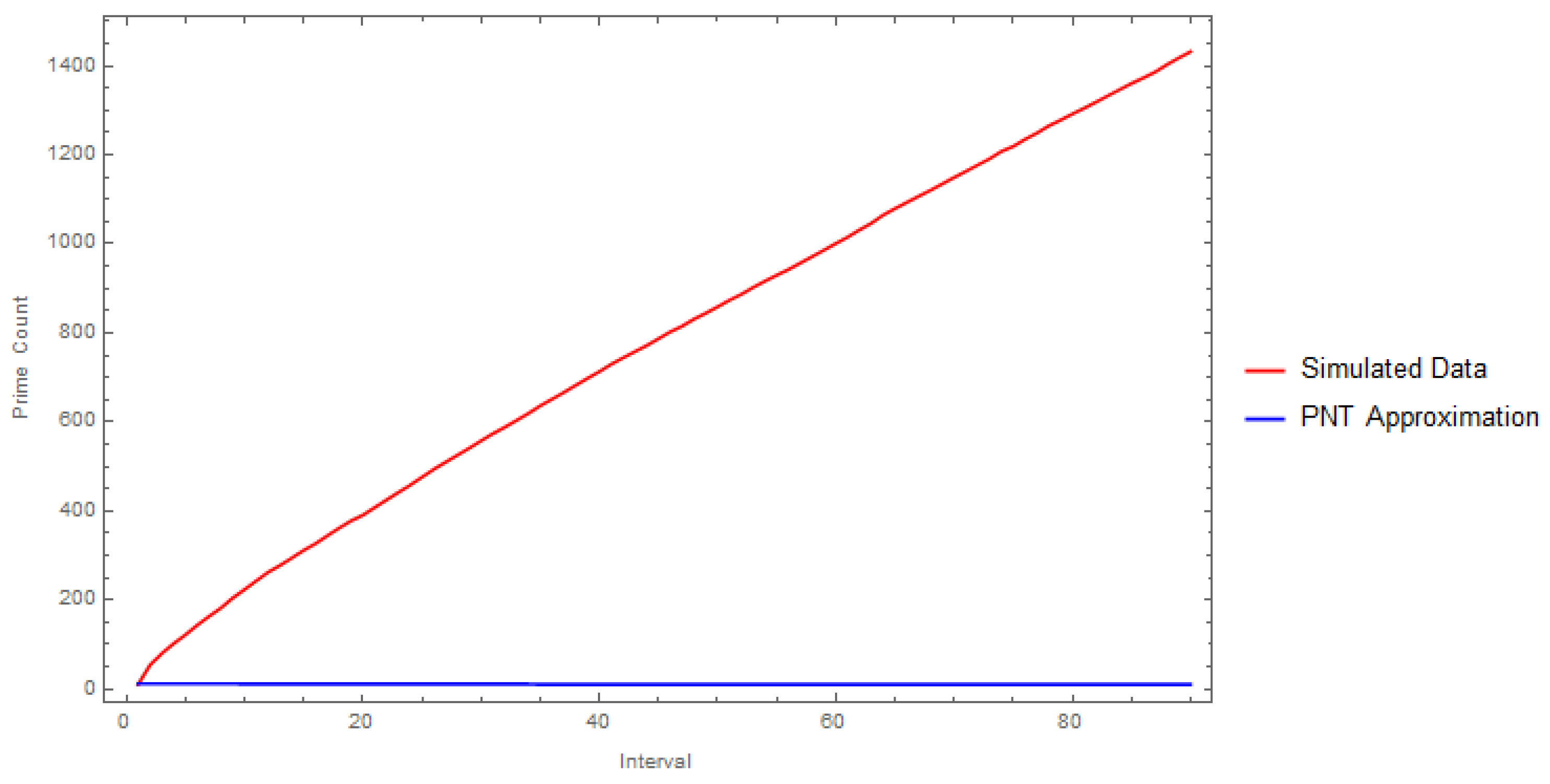
6. Comparison of Simulated and PNT Data
| Statistic | Simulated | PNT |
|---|---|---|
| Mean | 790.484 | 943/90 |
| Variance | 163751.0 | 3641/8010 |
| Skewness | -0.153923 | 236504/(3641*sqrt(3641)) |
| Kurtosis | 1.86456 | 38710257/13256881 |

7. Comparison of the Stochastic Model with Normal Error to the Prime Number Theorem (PNT)
- Understand the nature of deviations from the PNT.
- Evaluate the ability of the stochastic model to capture the underlying patterns in prime distribution.
- Identify potential biases or shortcomings in both models.

| Statistic | PNT | Stochastic |
|---|---|---|
| Mean | 13.3626 | 13.5213 |
| Variance | 4.2337 | 86.2635 |
| Skewness | -0.1178 | 0.3436 |
| Kurtosis | 2.6601 | 3.2432 |
- Mean:Both the PNT and the stochastic model exhibit similar mean values, suggesting that the stochastic model is able to capture the average behavior of prime distribution within the given interval.
- Variance: The stochastic model exhibits significantly higher variance compared to the PNT. This indicates that the stochastic model introduces more variability in the prime count predictions, which might be attributed to the random error term.
- Skewness: The PNT shows a slight negative skewness, while the stochastic model has a positive skewness. This suggests that the distribution of prime counts in the stochastic model is slightly skewed to the right compared to the PNT.
- Kurtosis: Both models exhibit kurtosis values greater than 3, indicating leptokurtic distributions (heavier tails than the normal distribution). However, the stochastic model has a higher kurtosis, implying more extreme values in its distribution compared to the PNT.
8. Quantification of the Error Term Using the Poisson Summation Formula
8.1. Definition of and Justification of Rapid Decay
8.2. Decay Rate of
8.3. Estimate for the Integral Term
8.4. Estimate for the Fourier Series Term
8.5. Improving the Error Term Using the Large Sieve Method
8.5.1. Motivation for the Sieve Method
8.5.2. Application of the Large Sieve Method
Large Sieve Inequality for Restricted Primes
8.5.3. Note of Confirmation
9. Improved Bound for Prime Counts in Short Intervals
9.1. Approximation of the Error Term
9.1.1. Energy Function, Trigonometric Approximation, and Noise Term
Parameterization of the Duffing Oscillator
- Amplitude A: Chosen to match the maximum value of , typically .
- Frequency : Selected based on the periodicity observed in the behavior of , assuming as a reasonable approximation.
- Phase : Adjusted to match initial conditions or align with empirical data.
10. Fortran Implementation
program duffing_oscillator implicit none real(8), parameter :: dt = 0.01 integer, parameter :: n = 1000 real(8) :: t, x(n), x_dot(n) real(8) :: A, omega, phi integer :: i ! Define parameters for the Duffing equation real(8), parameter :: delta = 0.2, alpha = 1.0, beta = 1.0, gamma = 0.3, omega0 = 1.2 ! Time array real(8) :: time(n) ! Initialize arrays time = [(i * dt, i = 0, n-1)] x = 0.0 x_dot = 0.0 ! Numerical integration (simple Euler method) do i = 1, n-1 x_dot(i+1) = x_dot(i) + dt * (0.3 * cos(omega0 * time(i)) - delta * x_dot(i) + x(i) - x(i)**3) x(i+1) = x(i) + dt * x_dot(i) end do ! Fit the solution to a trigonometric function using a fitting routine ! Here we use a placeholder for fitting routine ! Output the fitted parameters ! Print *, 'Fitted parameters: A = ', A, ', omega = ', omega, ', phi = ', phi end program duffing_oscillator |
11. MATLAB Implementation
% Define the Duffing equation parameters delta = 0.2; alpha = 1.0; beta = 1.0; gamma = 0.3; omega0 = 1.2; % Time range and step size T = 10; dt = 0.01; time = 0:dt:T; n = length(time); % Initialize arrays x = zeros(1, n); x_dot = zeros(1, n); % Numerical integration (Euler method) for i = 1:n-1 x_dot(i+1) = x_dot(i) + dt * (gamma * cos(omega0 * time(i)) - delta * x_dot(i) + x(i) - x(i)^3); x(i+1) = x(i) + dt * x_dot(i); end % Fit the solution to a trigonometric function % Using MATLAB's fit function with a cosine model fit_func = @(t, A, omega, phi) A * cos(omega * t + phi); opts = fitoptions('Method', 'NonlinearLeastSquares', ... 'StartPoint', [max(x), 2*pi/10, 0]); fit_model = fit(time', x', fit_func, opts); % Extract fitted parameters A = fit_model.A; omega = fit_model.omega; phi = fit_model.phi; % Output the fitted parameters fprintf('Fitted parameters:\n'); fprintf('A = %.4f\n', A); fprintf('omega = %.4f\n', omega); fprintf('phi = %.4f\n', phi); |
Error Analysis and Formula for Constant C
11.1. Numerical Verification and Comparison with Existing Bounds
11.2. Comparison with Existing Bound Error Terms

- Amplitude (A): The parameter A directly influences the amplitude of the trigonometric function in the refined error term. Smaller values of A result in a smaller refined error term, making the bound tighter.
- Frequency (): The value of is determined by the logarithm of x, which adjusts the frequency of the oscillations in the trigonometric approximation. As x increases, decreases, leading to smoother oscillations, which impacts the overall error.
- Phase Shift (): The phase shift modulates the position of the peaks and troughs in the trigonometric function. While does not affect the amplitude directly, it influences the alignment of the function with the data, potentially improving the accuracy of the bound.
- Parameter (q): The parameter q is inversely proportional to the square root of A, which means that as A decreases, q increases. This relationship contributes to a finer adjustment of the refined bound, making it more sensitive to changes in A.
12. Comment on the Statistical Comparison and Distribution Symmetry
| Statistic | Actual Error Term | Error Bound |
|---|---|---|
| Mean | 67.2152 | 67.0331 |
| Variance | 568.044 | 529.013 |
| Skewness | -0.349224 | -0.507456 |
| Kurtosis | 2.3478 | 2.31031 |
- The actual error term for the mean is slightly higher than the error bound, suggesting a potential underestimation of error by the model.
- A significant discrepancy exists between the actual error term and the error bound for variance, indicating a substantial underestimation of variability by the model.
- The error terms for skewness and kurtosis align reasonably well with their respective bounds, suggesting adequate model performance for higher-order moments.
13. Distribution Fitting and Analysis

- For all values of , both the actual error term and the error bound distributions appear to follow a normal distribution, as evidenced by the bell-shaped curves. This assumption forms the basis for further statistical analysis.
- Consistently across all values, the mean of the actual error term distribution is shifted to the right compared to the mean of the error bound distribution. This indicates a systematic overestimation of the error term by the model.
- As increases, the variance of both distributions expands, suggesting that the noise parameter significantly influences the spread of the error terms.
- The overlap between the two distributions increases with higher values, implying a growing uncertainty in distinguishing between the actual error term and the error bound.
13.1. Implications for Error Modeling
14. Reformulation of the Hamiltonian Associated with Our Stochastic Model for Primes in Short Intervals
- The term represents the quantum mechanical kinetic energy.
- models the deterministic part of the prime distribution in short intervals, based on the Prime Number Theorem.
- represents the perturbation term, reflecting the stochastic fluctuations in prime counts as suggested by the error bound in the Maynard-Guth result.
15. Random Matrix Theory Analysis
15.1. Spectral Statistics of the Hamiltonian
15.2. Connection to Random Matrix Theory
- Gaussian Orthogonal Ensemble (GOE): For systems with time-reversal symmetry and rotational symmetry.
- Gaussian Unitary Ensemble (GUE): For systems without time-reversal symmetry.
- Gaussian Symplectic Ensemble (GSE): For systems with time-reversal symmetry but with half-integer spin particles.
15.3. Spectral Statistics and Level Spacings
15.4. Analysis of the Energy Levels for the Hamiltonian
Steps for Analysis:
- Eigenvalue Extraction: Calculate or numerically approximate the eigenvalues of the Hamiltonian H for a large interval of x.
- Level Spacing Calculation: Compute the spacings .
- Comparison with RMT Predictions: Compare the empirical distribution of with the Wigner-Dyson distribution predicted by RMT for GOE or GUE.
16. Analyzing the Histogram Plots: Motivation and Comparison
16.1. Motivation
16.2. Comparison and Interpretation


- GUE Distribution (Top Plot): The histogram of level spacings for the GUE shows a characteristic distribution with a broad peak and a rapid exponential decay for larger spacings. This aligns with the predictions of random matrix theory for quantum systems with time-reversal symmetry and complex eigenvalues.
- GOE Distribution (Middle Plot): The GOE histogram exhibits a sharper peak near zero spacing and a slower decay compared to the GUE. This reflects the time-reversal invariant symmetry of GOE systems, which are characterized by real eigenvalues and more pronounced level repulsion.
-
New Model Distribution (Bottom Plot): The histogram for the new model reveals a noticeable deviation from both GUE and GOE distributions. Specifically:
- -
- The new model shows a pronounced peak near zero spacing, suggesting more frequent level repulsion than typically observed in GUE and GOE systems.
- -
- The decay of the distribution for larger spacings is slower compared to the GUE and GOE, indicating that the new model might exhibit a different type of level clustering or spacing behavior.

17. Probability Density Function of Level Spacing Using Eigenfunction
- is the mean level spacing, which depends on the average spacing of the eigenvalues,
- is the standard deviation of the level spacing, which reflects the variance in the spacing between successive eigenvalues.
18. Analytical Discussion of the Modulated Hamiltonian and the Behavior of
18.1. Hamiltonian Structure and Modulation
18.2. Simplified Expression for Large x
18.3. Comparison with Heavy Nucleus
-
Non-relativistic Energy Levels: In the non-relativistic Bohr model, the energy levels of an electron in a hydrogen-like atom are given by the formula:where:
- -
- Z is the atomic number of the nucleus (for , ),
- -
- n is the principal quantum number,
- -
- is the ground state energy of a hydrogen atom.
-
Relativistic Corrections: For heavy nuclei like , relativistic corrections and electron-electron interactions play a significant role in the energy levels. The relativistic correction to the energy levels is given by:where:
- -
- is the fine-structure constant,
- -
- is the non-relativistic energy level.
-
Energy Gaps: The energy gaps between consecutive energy levels are expressed as:For heavy atoms, decreases as n increases, with the gaps approaching zero asymptotically as . This is analogous to the decreasing gaps between the zeros of the Riemann zeta function on the critical line, reinforcing the connection between our modulated Hamiltonian and quantum systems.
- Wave Function in : The wave function in a heavy nucleus like is governed by a more complex form of the Schrödinger equation. The potential includes shielding effects from inner electrons and relativistic effects, contributing to the energy level structure.
- Motivation for Modulation Function: Our choice of modulation function is inspired by the need to capture the oscillatory nature of energy levels in quantum systems. This function introduces a potential that resembles the interaction between energy levels in a heavy nucleus like , where quantum effects such as electron shielding, spin-orbit coupling, and relativistic corrections play a significant role. The oscillatory behavior of ensures that our modulated Hamiltonian captures the key characteristics of the energy distribution in heavy atoms.[34,37]
- Riemann Hypothesis and Quantum Interpretation: The behavior of the zeros of the Riemann zeta function under the influence of suggests that the Riemann hypothesis can be interpreted as a quantum mechanical statement about the spectrum of the Hamiltonian. Specifically, the hypothesis would imply that all non-trivial zeros correspond to the energy levels of , which align on the critical line .
- Future Research: This approach opens up the possibility of proving that no zeros exist outside the critical strip by utilizing the properties of the modulated Hamiltonian in future research.
18.4. Eigenvalue Problem of the Modulated Hamiltonian
18.4.1. Discretization and Numerical Solution
18.4.2. Analytical Solution for Large x

19. Behavior of
19.1. Numerical Results and Analysis
| x | modulatedH(x) | Zeta(0.5 + i*modulatedH(x)) |
|---|---|---|
| 10.0 | ||
| 10.0009 | ||
| 10.0018 | ||
| 10.0027 | ||
| 10.0036 | ||
| 10.0045 | ||
| 10.0054 | ||
| 10.0063 | ||
| 10.0072 | ||
| 10.0081 | ||
| 10.009 | ||
| 10.0099 | ||
| 10.0108 | ||
| 10.0117 | ||
| 10.0126 | ||
| 10.0135 | ||
| 10.0144 | ||
| 10.0153 | ||
| 10.0162 | ||
| 10.0171 | ||
| 10.018 | ||
| 10.0189 | ||
| 10.0198 | ||
| 10.0207 | ||
| 10.0216 | ||
| 10.0225 | ||
| 10.0234 | ||
| 10.0243 | ||
| 10.0252 |
19.1.1. Numerical Analysis
- Real and Imaginary Parts: The complex values of the zeta function exhibit significant oscillations, both in their real and imaginary parts. For instance, at , the real part reaches and the imaginary part is , whereas at , these values shift to and , respectively.
-
Magnitude and Phase: The magnitude and phase of the zeta function values were computed using the formulas:This analysis indicates rapid fluctuations in both the magnitude and phase. For instance, as x increases from to , the magnitude decreases, and the phase changes direction. These sharp transitions are indicative of complex dynamics in the behavior of the zeta function in this range of x.
- Trend Observation: The oscillatory behavior in the complex values, coupled with the rapid changes in magnitude and phase, suggest that the system undergoes chaotic transitions. This behavior warrants further investigation into the nature of these transitions and their relationship with the underlying Hamiltonian.
- Possible Critical Transitions: Several critical points can be observed in the dataset, particularly where the real and imaginary parts of the zeta function exhibit abrupt shifts. This may suggest the presence of bifurcations or other critical transitions in the system, which align with the expected behavior of chaotic systems.
19.2. Analysis of the Zeta Function with Modulated Hamiltonian Near the Critical Strip
19.2.1. Hamiltonian and Test Function
19.2.2. Key Observations from the Plot
- Concentration Near the Critical Line: The updated plot shows a higher density of points concentrated around the critical line . This highlights the proximity of the evaluated points of the zeta function to the critical strip.
- Symmetry Along the Zeta Values: The plot displays symmetry with respect to and , indicating that the real and imaginary components are evenly distributed along both sides of the critical line.
- Regions of Rapid Fluctuations: The graph exhibits areas where both the real and imaginary parts of oscillate rapidly. This could be linked to zeros or high sensitivity of the zeta function to changes in the modulated Hamiltonian.
- Narrow Band Distribution: There is a visible narrowing of the distribution towards the middle section of the plot, which reflects how the modulation has localized the values around the critical region.

19.3. Short Note on the Efficacy of the Hamiltonian H and Its Implications for the Riemann Hypothesis
20. Estimation of the Transition Rate Assuming the Elliott-Halberstam Conjecture
20.1. Analyzing the Transition Rate Plot

- Overall Trend: As observed in Figure 10, there is a general upward trend, indicating that the transition rate increases as the prime number p grows larger.
- Scatter Points: The scatter of data points in the plot suggests variability in the transition rate even for prime numbers within a similar range.
- Potential Outliers: The plot also highlights potential outliers, with a few points deviating significantly from the general trend. These could be artifacts of the numerical calculations or genuine anomalies in the prime gap distribution.
21. Conclusions
-
Stochastic Model: We developed a stochastic model inspired by the Maynard-Guth corollary to capture the stochastic nature of prime distribution in almost-short intervals. The model is defined by:where represents the number of primes in the n-th interval, y is the interval length, and is a random error term modeled as a Laplace distribution. Our analysis demonstrates that this model approximates a uniform distribution and aligns well with both the Prime Number Theorem and observed prime statistics.
-
Hamiltonian Model: We introduced a quantum model based on the Hamiltonian operator derived from the Maynard-Guth framework. The explicit formula for the Hamiltonian is:This Hamiltonian captures the essential features of prime distribution, including both deterministic and stochastic components.
- Hamiltonian Properties and Potential for Riemann Hypothesis: We explored the statistical properties of this Hamiltonian and found that its energy levels are quantized and follow a Gamma distribution. The probability density function (PDF) of our Hamiltonian resembles the Gaussian Orthogonal Ensemble (GOE) of large random matrices, suggesting a deep connection with random matrix theory. The Hamiltonian H is unbounded, diagonalizable, self-adjoint, and non-integrable, exhibiting chaotic behavior. These properties fulfill certain conditions related to the Pólya-Hilbert conjecture, indicating that H could offer significant insights into the Riemann Hypothesis.
- The modulated Hamiltonian , derived from a logarithmic potential and used to evaluate the Riemann zeta function at points , demonstrates that the distribution of zeros of the Riemann zeta function near the critical line can be modeled similarly to the energy levels of heavy atoms, such as . This suggests that the zeros align with the critical line, supporting a quantum mechanical interpretation of the Riemann hypothesis.
- Assuming the Elliott-Halberstam conjecture, which implies prime gaps can be as small as 12, the transition rate between quantum states associated with prime numbers increases with larger primes. This result suggests that the distribution of prime gaps may reflect an underlying discrete structure in the "energy" landscape of primes, analogous to energy levels in quantum systems, providing a novel perspective on the connection between number theory and quantum physics.
22. Future Research
-
Statistical Properties of the Hamiltonian: An important direction for future work involves a deeper analysis of the statistical properties of the Hamiltonian defined by:Specifically, we aim to compute the moment generating function of for both the first and second orders. This analysis will provide insights into the behavior of the Hamiltonian’s eigenvalues and their statistical distribution, allowing for a comparison with the moment generating function of the Riemann zeta function in the critical strip for large imaginary parts.
- Comparative Analysis with Riemann Zeta Function: We will conduct a detailed comparison between the statistical properties of our Hamiltonian and those of the Riemann zeta function. By examining how the moment generating function of relates to the moment generating function of the Riemann zeta function, we seek to uncover potential connections and discrepancies. This comparison will enhance our understanding of how the Hamiltonian’s statistical features reflect prime number distributions and contribute to the study of the Riemann Hypothesis.
- Extensions to Quantum Mechanics and Random Matrix Theory: The exploration of Hamiltonians in quantum systems and their connections to random matrix theory remains a vital area of research. We will investigate how the statistical characteristics of our Hamiltonian align with those observed in quantum mechanical systems and large random matrices. This includes examining eigenvalue distributions, chaotic behavior, and potential implications for quantum systems that exhibit stochastic properties similar to those found in prime distributions.
- Application to Riemann Hypothesis and Related Problems: Our future research will also focus on leveraging the insights gained from the Hamiltonian’s statistical properties to address open questions related to the Riemann Hypothesis. By exploring how the statistical behavior of the Hamiltonian can provide new perspectives on the distribution of zeros of the Riemann zeta function, we aim to contribute to the ongoing efforts in solving one of the most profound problems in mathematics.
23. Statement of Interest
24. Data Availability
- Larry Guth and James Maynard. New large value estimates for Dirichlet polynomials. arXiv preprint arXiv:2405.20552, 2024. Available at: https://arxiv.org/abs/2405.20552.
- Tao, T. Structure and Randomness in the Prime Numbers. In: Schleicher, D., Lackmann, M. (eds) An Invitation to Mathematics. Springer, Berlin, Heidelberg, 2011. Available at: https://doi.org/10.1007/978-3-642-19533-4_1.
- Marek Wolf. Will a physicist prove the Riemann Hypothesis? arXiv preprint arXiv:1410.1214, 2014. Available at: https://arxiv.org/abs/1410.1214.
- Zeraoulia Rafik and Humberto Salas. Chaotic dynamics and zero distribution: implications and applications in control theory for Yitang Zhang’s Landau Siegel zero theorem. European Physical Journal Plus, vol. 139, p. 217, 2024. DOI: https://doi.org/10.1140/epjp/s13360-024-05000-w.
Acknowledgements
References
- Larry Guth and James Maynard. New large value estimates for Dirichlet polynomials. arXiv preprint arXiv:2405.20552, 2024. Available at: https://arxiv.org/abs/2405.20552. [CrossRef]
- Tao, T. Structure and Randomness in the Prime Numbers. In: Schleicher, D., Lackmann, M. (eds) An Invitation to Mathematics. Springer, Berlin, Heidelberg, 2011. [CrossRef]
- James Maynard. Small gaps between primes. Annals of Mathematics, vol. 181, no. 1, 2015, pp. 383-413. Available at: https://annals.math.princeton.edu/2015/181-1/p07. [CrossRef]
- J. G. Belinfante et al. An Introduction to Lie Groups and Lie Algebras, with Applications. SIAM Review, vol. 8, no. 1, 1966, pp. 11-46. Available at: http://www.jstor.org/stable/2028170.
- B. Helffer. Semibounded operators and the Friedrichs extension. In: Spectral Theory and Its Applications. Cambridge Studies in Advanced Mathematics. Cambridge University Press, 2013, pp. 29-41.
- M. Einsiedler, T. Ward. Functional Analysis, Spectral Theory, and Applications. Graduate Texts in Mathematics 276, Springer International Publishing AG, 2017. [CrossRef]
- Marek Wolf. Will a physicist prove the Riemann Hypothesis? arXiv preprint arXiv:1410.1214, 2014. Available at: https://arxiv.org/abs/1410.1214. [CrossRef]
- S. K. Sekatskii. On the Hamiltonian whose spectrum coincides with the set of primes. arXiv e-prints, 2007. [CrossRef]
- D. Schumayer, B. P. van Zyl, and D. A. W. Hutchinson. Quantum mechanical potentials related to the prime numbers and Riemann zeros. Physical Review E, vol. 78, p. 056215, 2008. [CrossRef]
- C. N. Yang and T. D. Lee. Statistical Theory of Equations of State and Phase Transitions. I. Theory of Condensation. Physical Review, vol. 87, pp. 404–409, 1952. [CrossRef]
- G. Mussardo. The Quantum Mechanical Potential for the Prime Numbers. arXiv:cond-mat/9712010, 1997. [CrossRef]
- H. C. Rosu. Quantum Hamiltonians and prime numbers. Modern Physics Letters A, vol. 18, pp. 1205–1213, 2003. [CrossRef]
- J. Keating and N. Snaith. Random matrix theory and ζ(1/2+it). Communications in Mathematical Physics, vol. 214, pp. 57–89, 2000. [CrossRef]
- G. Sierra. General covariant xp models and the Riemann zeros. Journal of Physics A: Mathematical and Theoretical, vol. 45, no. 5, p. 055209, 2012. [CrossRef]
- S. Endres and F. Steiner. The Berry-Keating operator on L2(R+,dx) and on compact quantum graphs with general self-adjoint realizations. Journal of Physics A: Mathematical and Theoretical, vol. 43, no. 9, p. 095204, 2010.
- P. Sarnak. Quantum Chaos, Symmetry, and Zeta functions, II: Zeta functions. In: Current Developments in Mathematics (R. Bott, A. Jaffe, D. Jerison, G. Lusztig, I. Singer, and S.-T. Yau, eds.), vol. 1997, pp. 145–159, International Press, 1997.
- Zeraoulia Rafik and Humberto Salas. Chaotic dynamics and zero distribution: implications and applications in control theory for Yitang Zhang’s Landau Siegel zero theorem. European Physical Journal Plus, vol. 139, p. 217, 2024. [CrossRef]
- A. M. Odlyzko. On the distribution of spacings between zeros of the zeta function. Mathematics of Computation, vol. 48, pp. 273–308, 1987.
- C. A. Tracy and H. Widom. The Distributions of Random Matrix Theory and their Applications. In: Sidoravičius, V. (ed.) New Trends in Mathematical Physics. Springer, Dordrecht, 2009. [CrossRef]
- P. S. Maybeck. Stochastic processes and linear dynamic system models. In: Mathematics in Science and Engineering, vol. 141, Part 1, Elsevier, 1979, pp. 133-202. [CrossRef]
- M. Bourguignon and R. M. R. de Medeiros. A simple and useful regression model for fitting count data. TEST, vol. 31, pp. 790–827, 2022. [CrossRef]
- Alvaro H. Salas and Jairo E. Castillo H. Exact solution to Duffing equation and the pendulum equation. Applied Mathematical Sciences, vol. 8, no. 176, 2014, pp. 8781-8789. Available at: https://hal.archives-ouvertes.fr/hal-01356787. [CrossRef]
- Nicolas Lanchier. Stochastic Modeling. Universitext. Springer Cham, 2016. [CrossRef]
- Tao, T. (2023). Bounding sums or integrals of non-negative quantities. WordPress Blog. Retrieved fromhttps://terrytao.wordpress.com/2023/09/30/bounding-sums-or-integrals-of-non-negative-quantities/.
- Salas, A. H., & Castillo, J. E. (2014). Exact solution to Duffing equation and the pendulum equation. Applied Mathematical Sciences, 8(176), 8781-8789. [CrossRef]
- Wang, P., Yin, F., Rahman, M. U., Khan, M. A., & Baleanu, D. (2024). Unveiling complexity: Exploring chaos and solitons in modified nonlinear Schrödinger equation. Results in Physics, 56, 107268. [CrossRef]
- William H. Greene, A Gamma-distributed stochastic frontier model, Journal of Econometrics, 46(1–2), 1990, Pages 141-163, ISSN 0304-4076, https://www.sciencedirect.com/science/article/pii/030440769090052U. [CrossRef]
- Yochay Jerby, An approximate functional equation for the Riemann zeta function with exponentially decaying error, Journal of Approximation Theory, 265, 2021, 105551, ISSN 0021-9045. https://www.sciencedirect.com/science/article/pii/S0021904521000149. [CrossRef]
- K. Kanakoglou (1 and 2), A. Herrera-Aguila, Ladder operators, Fock-spaces, irreducibility and group gradings for the Relative Parabose Set algebra. https://arxiv.org/abs/1006.4120. [CrossRef]
- Enderalp Yakaboylu, Hamiltonian for the Hilbert-Pólya Conjecture. https://arxiv.org/pdf/2309.00405v5. [CrossRef]
- Olivier Bordellès, Lixia Dai, Randell Heyman, Hao Pan, Igor E. Shparlinski. On a sum involving the Euler function. Journal of Number Theory, vol. 202, pp. 278-297, 2019. ISSN 0022-314X. Available at: https://www.sciencedirect.com/science/article/pii/S0022314X19300459. [CrossRef]
- L. D. Landau, E. M. Lifshitz. Quantum Mechanics: Non-relativistic Theory, Vol. 3. Butterworth-Heinemann, 1977.
- D. J. Griffiths. Introduction to Quantum Mechanics, 3rd edition. Cambridge University Press, 2018.
- R. D. Cowan. The Theory of Atomic Structure and Spectra. University of California Press, 1981.
- H. A. Bethe, E. E. Salpeter. Quantum Mechanics of One- and Two-electron Atoms. Springer, 1957.
- E. Fermi. Nuclear Physics. University of Chicago Press, 1950.
- V. F. Weisskopf. On the Self-Energy and the Electromagnetic Field of the Electron. Physical Review, vol. 56, pp. 72-85, 1939. [CrossRef]
- Zeraoulia Rafik, Alvaro Humberto Salas. New Results Supporting the Validity of the Lindelöf Hypothesis Using the Maynard-Guth Hamiltonian: Analysis and Implications of the Lindelöf Hypothesis through Quantum Dynamics. 2024. hal-04683369.
Disclaimer/Publisher’s Note: The statements, opinions and data contained in all publications are solely those of the individual author(s) and contributor(s) and not of MDPI and/or the editor(s). MDPI and/or the editor(s) disclaim responsibility for any injury to people or property resulting from any ideas, methods, instructions or products referred to in the content. |
© 2024 by the authors. Licensee MDPI, Basel, Switzerland. This article is an open access article distributed under the terms and conditions of the Creative Commons Attribution (CC BY) license (https://creativecommons.org/licenses/by/4.0/).