Preprint
Article

This version is not peer-reviewed.

Hydroxycinnamic Acid Oligomers-Based Biostimulant Nurspray® Enhances Tomato Yield, Fruit Quality, and Reduces Blossom-End Rot

A peer-reviewed article of this preprint also exists.

Submitted:

19 September 2024

Posted:

19 September 2024

You are already at the latest version

Abstract
Nowadays, the global tomato production must cope with divers challenges including a high cost of inputs, losses due to pests and diseases and unfavourable climate changes. Although coping with climate change as a plant stressor may be an area that requires multifaceted commitment, using biostimulants emerges as an interesting option. Here, we aimed to determine the effect of Nurspray®, composed by hydroxycinnamic acid oligomers, on the yield and fruit quality of tomatoes grown under open-field conditions. Different application timing was tested to define strategies that lead to improving their agronomic impact and yield. The assessments were composed by the analysis of plant development (root systems, canopy, and flowering), plant physiological status, fruit quality and yield. The results showed the great potential of Nurspray® as biostimulant, as they enhance crop growth, flowering, fruiting, yield, and yield quality, as well as promoting plant defence. Also, Nurspray® showed a good level of biostimulant effect at different plant stage being the best application strategy the use of three doses at different times: early, intermediate, and advanced stages of the crop. With great clarity, we can affirm the huge potential of Nurspray® and above all, the significant merit of being able to use this fertilizer in organic farming.
Keywords: 
;  ;  ;  

1. Introduction

Tomato (Solanum lycopersicum Mill.) (Solanaceae), is one of the most widely cultivated and consumed vegetables globally. Because of its popularity, nutritional and antioxidant properties, tomatoes are one of the most profitable horticultural crops [1]. In 2023, the market size reached $174.7 billion and is expected to grow to $186.46 billion in 2024, with a compound annual growth rate (CAGR) of 6.7% (Tomatoes Global Market Report 2024). However, its production faces increasing challenges such as rising input costs, substantial crop losses from pests and diseases, and growing demands for sustainable agricultural practices [2]. Furthermore, climate change exacerbates these issues, with projections indicating a potential 6% reduction in tomato yields by 2050 in key regions like Italy and California due to rising temperatures [3].
In this context, open-field cultivation, particularly for processing tomatoes, is increasingly vulnerable to environmental stresses compared to greenhouse-grown salad tomatoes. This vulnerability underscores the need for effective strategies to enhance crop resilience and productivity. Also, transplantation is a critical growth period stage causing root damages and because of the formation of fibrous root system and the seedlings must adapt to new environmental conditions [4]. The stressful shock of transplanting may slow down their growth and development, and sometimes lead to seedling death. So, the development of a functional and strong root system will allow transplants an efficient absorption of water and nutrients together with a faster grown.
Biostimulants have emerged as a promising solution to mitigate these challenges. A wide variety of substances from natural origin have been used as biostimulants since they have beneficial effect on plants [5,6,7]. These substances, derived from natural sources, can improve plant growth, stress tolerance, and overall quality. A plant biostimulant, as defined by Du Jardin [8], is “any substance or microorganism that applied to plants, regardless of its nutrients content, is able to enhance nutrition efficiency and also abiotic stress tolerance and quality traits” [8]. Current knowledge suggests that biostimulants potentially function in regulating and modifying physiological processes in plants to promote growth, alleviate stress, and improve plant yield and fruit/flower quality [8,9,10].
Given the growing need for sustainable solutions in tomato cultivation, our study focuses on evaluating Nurspray®, a biostimulant based on hydroxycinnamic acid oligomers (HAOs). It was selected for this study due to its unique properties and potential benefits in tomato cultivation.
Unlike many commercial biostimulants that consist of complex mixtures, Nurspray® contains a single well-defined molecule. Nurspray®, is a biostimulant based on hydroxycinnamic acid oligomers (HAOs). HAOs are naturally present in plant cell walls and play a vital role in cell wall strength and extensibility [11]. Despite these advantages, the use of HAOs in tomato cultivation is unknown. Therefore, our present work is a first report of the use of this compound as biostimulant in open-field tomato cultivation. Open-fields trials are particularly important because they offer realistic assessments of biostimulant effectiveness across diverse environmental conditions, which is essential for making practical recommendations for agricultural practices [8]. However, relatively few articles explore biostimulant in open field tomato cultivation [12,13,14,15].
This study evaluates the effectiveness of Nurspray® in enhancing tomato plant development and yield under open-field conditions. We focused on optimizing application strategies to maximize its impact at different growth stages of tomato plants. Our approach aims to provide practical recommendations for integrating the biostimulant into both conventional and organic farming practices, contributing to a more sustainable approach to improving tomato cultivation.

2. Material and Methods

2.1. Plant Growth, Experimental Design, and Treatments

The field experiment was conducted at Sele Agroresearch S.r.l. located in Napoli, Italy, on tomato (Solanum lycopersicum cv. Taylor F1) plants during the growing season 2020. The geographic coordinates for the trial location are latitude Nord 40° 98′ 06′’.39 N, longitude East 14° 06′ 48”.69 E, and altitude 30 m.a.s.l. During the whole growing period climatic data were registered (Table 1).
Seedlings were transplanted mechanically in open field on 24th of April 2020, at a transplanting rate of 32.000 pt/ha. Four treatments, including the untreated control which did not receive any biostimulant, were evaluated in a randomized block with four repetitions. There were three treatments where the biostimulant was applied at different moment using the phenological growth scale [16] (Table 2). The commercial biostimulant Nurspray®, from the Fyteko Company (Brussels—Belgium; [17]), was used. It is a liquid formulation containing 0.015% (w/v) of HAO grafted on a natural modified polysaccharide (Belgian derogation EM622.B). Their effectiveness start from 24 hours after spray application, is compatible with microorganisms and other biostimulants, biodegradable and free of harsh chemicals. The Nurspray® solutions were applied mechanically by foliar spray in a dosage rate of 1.0 L/ha or tap water for control treatment.
Each experimental plot had an area of 39 m2. Double row system was used with a spacing of 2.4 m between each row and 0.25 m between plants in the row. Two meters from the top were excluded in the assessment zones and two meters at the end of the plots. Soil had a silty loam texture (156, 543, 301 g/kg-1 clay, silt, and sand, respectively), a pH 7.6 (in H2O), 17.9 g kg-1 organic matter and 0.5 dS m-1 at 25°C cation exchange capacity. Prior to the trial, the soil nutrient analysis revealed nitrogen (N) content at 14.0 g/kg, phosphorus (P) at 12.7 g/kg, and potassium (K) at 17.9 g/kg, reflecting moderate fertility levels.
Before the transplanting, the NPK (nitrogen, phosphorus, and potassium) fertilizer at 14-11-22 ratio was placed at 15 cm from the plants by a slight milling process. This was embedded at a depth of five centimetres. Weeds were controlled by using herbicide (Metribuzin), fungus by using fungicides (Metalaxil M, Dimetomorf, Oxathiapiprolin Amisulbrom) and plagues were controlled by using insecticides (Clorantraniliprole, Acetamiprid, Bacillus thuringiensis).
Two days before the transplant, a small amount of irrigation was carried out to wet the soil and for easily transplantation. Two weeks after the transplant procedure, a control of the root system was performed on all the plots. At application soil and crops were in good conditions.
After applications, at intervals of each different day, the plants were excavated to make the root systems and leaves visual for surveying to check if there had been any effects of phytotoxicity. In the field where the test was performed, no pre-transplantation nor biostimulant was carried out. The irrigation timing was maintained equally to the entire field. During the complete trial period, different fertilizations were carried out using simple mineral fertilizers to ensure not only consistent nitrogen (N) levels across all treatments but also uniform applications of phosphorus (P) and potassium (K). This balanced fertilization strategy was aimed at minimizing nutrient variability and isolating the effects of Nurspray® on plant growth and performance. Also, throughout the test period, the tomato plants were treated with the classic fungicides.

2.2. The Studied Traits

The assessment of the phytotoxicity of Nurspray® including both efficacy and selectivity trials, was examined on the crop during the entire trial perio [18]. For all the treatments, including the untreated control, the measurements of root systems and the percentage of canopy, and flowering were made at 23 and 30 days after application (DA-A). A rating scale of 1-9 was used for the measurements of root systems (Supplementary Figure S1). The relative leaf chlorophyll content, and the Normalized Difference Vegetation Index (NDVI) was measured after 29, 43 and 57 DA-A. The measurement of the relative leaf chlorophyll content was carried out using a Soil Plant Analysis Development (SPAD) 502 Plus (Minolta, Warrington, UK) portable chlorophyll meter and it was given as a SPAD units (ranging from 0 to 199.9) [19]. NDVI index was measured using a FieldScout CM 1000 NDVI Meter (Spectrum Technologies, Inc.) [20].
The day before the harvest (on July 30, 2020), all the fruit of the tomato production surveys were carried out. The tomatoes were harvested for the single plants and the fruit collected was weighted (g) and divided into “marketable,” and “unmarketable” production. The assessments were composed by quantitative parameters as the number of fruits per plant, weight of the fruit (g), Kg total of the fruits per plant, divided in marketable and unmarketable fruit with the Blossom-end rot (BER), and estimation yield (tons/ha); as well as qualitative parameters as lycopene content (mg/Kg), dry matter, pH, acidity, and firmness parameter.

2.3. Statistical Analyses

All data management and statistical analysis were performed using the Agriculture Research Management (ARM) software, version 2019 (GDM Solutions, Inc.). The effects of biostimulant were significantly different if p-value < 0.05.

3. Results

The meteorological conditions recorded during the growing season showed a gradual increase in minimum temperatures, from 14.5°C in April to 19.9°C in July, while maximum temperatures peaked at 31.3°C in July. Total rainfall varied, with the highest recorded in July (105.0 mm) and the lowest in April (0.0 mm). Relative humidity ranged between 71.9% and 76.4% throughout the season. The recorded conditions, particularly the rising temperatures peaking at 31.3°C in July, likely imposed heat stress on the tomato plants, potentially affecting fruit set and overall yield [21]. While the relatively high humidity levels (71.9% to 76.4%) may have mitigated some transpiration stress, they also posed a risk for increased disease pressure, particularly fungal infections. The variability in rainfall, with no rain in April and a peak in July, could have further stressed the plants by creating fluctuating water availability.
No phytotoxicity symptoms were observed on the crop during the entire trial period on any of the treated plots, either on the root system, flowers, or fruits, suggesting that all the tested treatments were completely selective for the crop.
The effect of Nurspray® on the root system development, canopy and flowering of tomato plant are shown in Table 3. The development of the root system was increased approximately by 62.5 % and 103 % in the plots T3 and T4 from the first assessment at 23 DA-A, respectively, compared with the control. After a few weeks this difference disappeared. This advance in root growth was also observed for flowering and canopy where both were anticipated in T3 and T4. After 30 DA-A the percentage of canopy and flowering was 100 % for both T3 and T4. Both treatments showed a significant increase in all the measurements compared to untreated control (p-value <0.05). However, the best results were obtained with T4, when the Nurspray® was applied in BBCH 19-23-51.
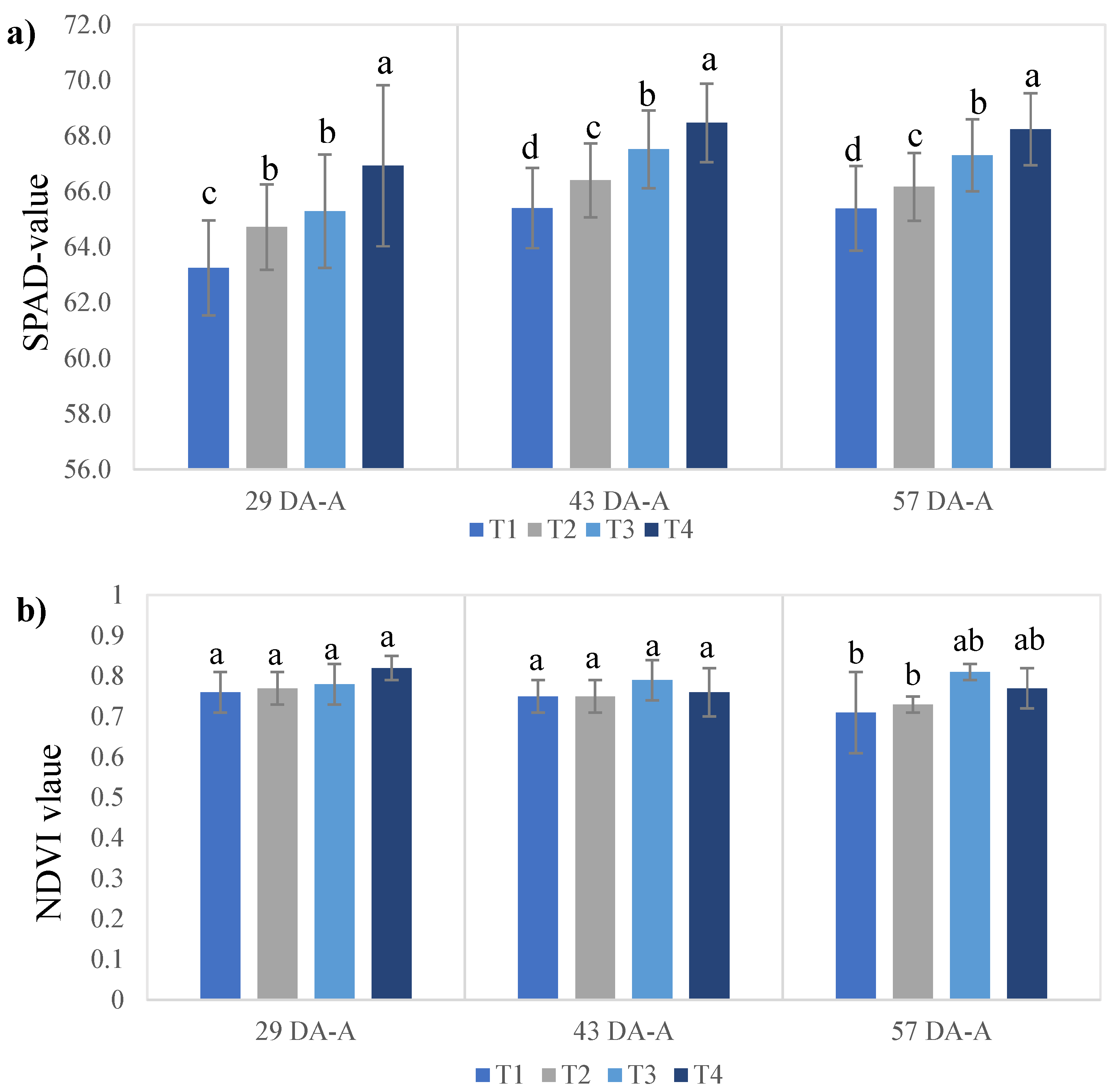
Thanks to the much more balanced fertilization of the tomato plants, a slight difference in colour of the tomato leaves were also found. This slight difference was not visible to the naked eye but was noticeable with a significant difference for SPAD and NDVI value in leaves where Nurspray® was applied, compared to the untreated control (Figure 1). The highest SPAD values were measured in T4 from the first evaluation at 29 DA-A by 6 %, and by 8% sustained at both 47 DA-A and 57 DA-A, compared with the control (Figure 1a). For the NDVI value, no significant difference was detected in all treatments at 29 and 43 DA-A. Nevertheless, at 57 DA-A there was a reduction in the untreated control (T1) and T2, compared to T3 and T4, but it was not statistically different from both treatments (Figure 1b).
On the other hand, the results of the effect of Nurspray® on quantitative parameters and on final yield and yield components are shown in Table 4. A significant difference (P <0.05) was found for the number of fruits per plant with the higher values in the untreated control (T1) compared to plants treated with Nurspray® (T2, T3 and T4). However, the weight per fruit (g) was significantly higher in T2, T3 and T4 compared to untreated control, which lead to similar average of total kilograms of fruit per plant and total yield (tons/ha). Also, the number of marketable fruits was statistically similar in all the treatments, so the contribution of Nurspray® on the increase of marketable yield was lower than expected. On the contrary, a significant reduction in the incidence of BER was detected in the plots where the Nurspray® was placed and consequently, in the number of unmarketable fruits (P <0.05) compared to untreated control, where T3 and T4 showed the minimal value (0.00). Due to this difference, it was possible to estimate a higher yield per hectare with a greater profit for the owner of the farm.
From the analysis on tomato fruit, for some parameters such as dry matter content (g) a significant increase in quality was found in the plots where Nurspray® was applied (P <0.05), compared to untreated control and the other treatments (Table 5). No significant differences were found for the pH, acidity, and firmness parameters.

4. Discussion

This study demonstrates the significant effects of foliar application of Nurspray® on tomato plants at various developmental stages under open-field conditions, particularly under fluctuating climatic conditions. The application led to enhanced root development and improved fruit quality, as evidenced by a more voluminous fruit with better overall characteristics, as well as more visible and healthy root systems (Figure 2).
The plant cell wall-derived oligomers in Nurspray® effectively enhanced crop growth, flowering, fruiting, and yield quality, while also promoting plant defense mechanisms. These positive outcomes are likely due to Nurspray® acting as a “plant priming” agent [22], which accelerates the plant’s tolerance mechanisms when facing environmental stress. The plant cell wall-derived oligomers in Nurspray® effectively enhanced crop growth, flowering, fruiting, and yield quality, while also promoting plant defense mechanisms. These positive outcomes are likely due to Nurspray® acting as a “plant priming” agent [22], which accelerates the plant’s tolerance mechanisms when facing environmental stress. In open-field conditions, the varied climatic factors such as fluctuating rainfall, high temperatures, and relative humidity pose significant challenges to tomato cultivation, affecting plant growth and yield. The increasing temperatures, peaking at 31.3°C in July, and variable rainfall patterns likely imposed stress on tomato plants, particularly during the critical fruit set stage. Despite these challenges, Nurspray® demonstrated its potential to buffer against these stresses.
Successful tomato production begins with the sowing of seeds in protected environments in optimal germination and growth conditions to obtain seedlings that will later be transplanted to the final cropping site. Tomato plantlets treated with Nurspray® showed enhanced root development, particularly during the critical transplanting phase, which is typically associated with root damage and stress. Previous studies have demonstrated that plant cell wall-derived oligosaccharides promote root formation and elongation in species such as tomatoes, beans, and Arabidopsis thaliana [23,24,25]. Although the differences observed disappeared after a few weeks from transplant, the biostimulant had a positive effect on the vegetative growth of tomato plants. Probably, Nurspray® is perceiving in the plant as signalling molecules stimulating the biosynthesis of endogenous phytohormones thus promoting growth, flowering, and fruit setting. In agreement with this, the flowering was anticipated in the plots where Nurspray® was placed. Similar effect on tomato plant growth and development have been also reported in other studies using different biostimulants, for example, their influence on the timing of plant flowering [26,27].
Nurspray® also significantly increased chlorophyll content, as measured by SPAD, which is known to correlate with improved leaf physiology and photosynthesis [28]. These results are consistent with another study using Nurspray®, which demonstrated that applications of these oligomers stimulated photosynthesis in greenhouse-grown tomatoes under heat stress conditions [29]. They found a significant increase in net photosynthesis that was accompanied by a significant increase in tomato yield compared with the control. The NDVI values were also slightly higher in the plants treated with Biostimulant in T4. The healthy vegetation produces high NDVI values, so this indicator has good correlation with several vegetation parameters including the ability to predict yield [30]. Altogether, the effects due to Nurspray® application are agronomically significant as prerequisites for increasing yield crop and fruit quality.
The positive effects of biostimulant on yield parameters was demonstrated by a significant decrease of BER incidence, which is a devastating physiological disorder affecting vegetable production worldwide including tomato [31]. Many studies suggested that BER incidence initiates with Ca2+ deficiency in young fruit and influenced by different environmental factors as irregular watering conditions. The reduction of BER and the consequent increase of marketable fruit with Nurspray® suggest a positive effect on the transport of Ca2+ to the fruit and/or the rate of the differential Ca2+ concentrations between the proximal and distal end of the fruit (the higher the difference, the higher incidence of BER). There was also a slight increase in the average fruit weight and the average in the number of fruits per plant marketable. Although the effect of Nurspray® was not significant in either of these parameters, the combination of both with a high reduction in the number of fruits per plant unmarketable led to higher production and yield.
The positive effect of Nurspray® was observed on fruit quality, with a significant increase in the dry matter content. However, foliar application of Nurspray® did not modify other parameters of interest in the fruit as firmness, pH or lycopene. The possible reason for the higher dry matter content of the fruit by using the treatment T4 with Nurspray® could be explained by major photosynthetic capacity and vigorous vegetative growth that resulted in higher quality fruit. Tomato fruit quality is assessed in terms of dry matter content (also known as total solids content) and is used as a reliable indicator of harvest time for vegetables [32]. An increase in dry matter is associated with fruit development and ripe, which is very important in tomato since they can ripen after harvest and needs to be removed from the plant when fully ripe. These results may also help tomatoes have relatively longer storage life at post-harvest.
More remarkable than the effect of the biostimulant per se, was the fact that its impact depends on the moment it was applied. The difference between treatments was related to the plant stage in which the foliar application of Nurspray® was made. Different studies focus on the use of biostimulants to improve fruit production and their predominant mode and time of application [33]. According to the biostimulant, they can be applied only once, or twice or several times during the vegetative season. A very important criteria to be considered is that biostimulants are mainly applied before the stressful event to prime plant physiological defences, as previously mentioned. In our study, no stressful conditions were induced in the crop, although there were changing climatic conditions. Therefore, we focus on the moment of application, considering the vegetative state of the plants, to define strategies that lead to improving their agronomic impact and yield. It is evident that two foliar applications at BBCH 19 and BBCH 51 (T2) were not as effective as the three applications used in T3 and T4, BBCH 19-51-61 and BBCH 19-23-51, respectively. Notably T4 showed the best results, demonstrating that the best biostimulant application strategy is three doses at different times: early, intermediate, and advanced stages of the crop (BBCH 19-51-61). Thus, the biostimulant was most effective in increasing yield and fruit quality when its application covered the phenological phases from leaf development and inflorescence emergence to flowering. Further studies should be tested to evaluate their effectiveness against biotic and abiotic stress in open field conditions.
This study provides a strong basis for further research on Nurspray® and other biostimulants to enhance crop resilience, growth, and quality. Nurspray® can be effectively integrated into agricultural practices, especially under stress conditions such as transplanting and fluctuating climates, making it a valuable tool in sustainable agriculture.
The observed increase in dry matter content and reduction in BER incidence highlight its potential to improve both yield and marketable fruit quality. These results are consistent with metabolomic studies that demonstrate how biostimulants modulate plant metabolic pathways to enhance stress tolerance and promote growth [34]. In that sense, advanced metabolomics approaches could be developed to investigate the specific metabolic changes triggered by Nurspray®, which would help elucidate the underlying molecular mechanisms. Additionally, further studies are also needed to evaluate Nurspray®‘s effectiveness against both biotic and abiotic stressors across various crops and environments.
Nurspray® demonstrates strong potential for use in both conventional and organic farming, promoting sustainable agricultural practices. Its ability to enhance root development and plant resistance during critical growth stages further highlights its value. From a consumer perspective, the use of biostimulants could lead to higher-quality, longer-lasting produce, aligning with the growing demand for environmentally friendly and health-conscious agricultural products.

5. Conclusions

This study underscores the significant potential of Nurspray® and its valuable application in organic farming. When applied at various stages of tomato plant development, Nurspray® enhanced growth, resulting in a more robust root system and stronger plants, with indications of improved disease resistance. Our results demonstrate that applying Nurspray® in three doses at key growth stages (BBCH 19-51-61) is the most effective strategy to optimize both yield and fruit quality.
From a production standpoint, incorporating biostimulants like Nurspray® into agricultural practices supports sustainable farming by increasing crop resilience and productivity without relying on synthetic fertilizers. For consumers, the enhanced fruit quality and extended shelf life of tomatoes treated with Nurspray® offer a means to reduce food waste while providing healthier, more nutritious produce. These findings suggest that biostimulants should be integrated into broader strategies aimed at meeting rising food demands and addressing sustainability challenges.

Supplementary Materials

The following supporting information can be downloaded at the website of this paper posted on Preprints.org.

Data Availability Statement

The original contributions presented in the study are included in the article/supplementary material, further inquiries can be directed to the corresponding author/s.

Acknowledgments

We thank Claire Leclef, Guillaume Wegria, and Juan C. Cabrera, employees of Fyteko SA, for their contributions as funders. This research was funded by the project “Nurspray Biostimulants—Protecting Agriculture Against Climate Stress with Breakthrough Sustainable Crop Treatment,” supported from 2020 to 2022 under grant number 953636 by the EIC Accelerator program.

Conflicts of Interest

The authors declare no conflicts of interest.

References

  1. Wakil, W.; Brust, G.E.; Perring, T. Sustainable Management of Arthropod Pests of Tomato; 2017; p. 353;
  2. Gatahi, D.M. Challenges and Opportunities in Tomato Production Chain and Sustainable Standards. Int. J. Hortic. Sci. Technol. 2020, 7, 235–262. [Google Scholar] [CrossRef]
  3. Eyshi Rezaei, E.; Webber, H. Processing Tomatoes under Climate Change. Nat. Food 2022, 3, 404–405. [Google Scholar] [CrossRef]
  4. Dong, C.; Wang, G.; Du, M.; Niu, C.; Zhang, P.; Zhang, X.; Ma, D.; Ma, F.; Bao, Z. Biostimulants Promote Plant Vigor of Tomato and Strawberry after Transplanting. Sci. Hortic. 2020, 267, 109355. [Google Scholar] [CrossRef]
  5. Baltazar, M.; Correia, S.; Guinan, K.J.; Sujeeth, N.; Bragança, R.; Gonçalves, B. Recent Advances in the Molecular Effects of Biostimulants in Plants: An Overview. Biomolecules 2021, 11, 1096. [Google Scholar] [CrossRef]
  6. Wozniak, E.; Blaszczak, A.; Wiatrak, P.; Canady, M. Biostimulant Mode of Action. In The Chemical Biology of Plant Biostimulants. John Wiley & Sons, Ltd., 2020; pp. 205–227. ISBN 978-1-119-35725-4. [Google Scholar]
  7. Kisvarga, S.; Farkas, D.; Boronkay, G.; Neményi, A.; Orlóci, L. Effects of Biostimulants in Horticulture, with Emphasis on Ornamental Plant Production. Agronomy 2022, 12, 1043. [Google Scholar] [CrossRef]
  8. du Jardin, P. Plant Biostimulants: Definition, Concept, Main Categories and Regulation. Sci. Hortic. 2015, 196, 3–14. [Google Scholar] [CrossRef]
  9. Bulgari, R.; Franzoni, G.; Ferrante, A. Biostimulants Application in Horticultural Crops under Abiotic Stress Conditions. Agronomy 2019, 9, 306. [Google Scholar] [CrossRef]
  10. Xu, L.; Trinh, H.K.; Geelen, D. Biostimulant Mode of Action. In The Chemical Biology of Plant Biostimulants. John Wiley & Sons, Ltd., 2020; pp. 245–259. ISBN 978-1-119-35725-4. [Google Scholar]
  11. Mnich, E.; Bjarnholt, N.; Eudes, A.; Harholt, J.; Holland, C.; Jørgensen, B.; Larsen, F.H.; Liu, M.; Manat, R.; Meyer, A.S.; et al. Phenolic Cross-Links: Building and de-Constructing the Plant Cell Wall. Nat. Prod. Rep. 2020, 37, 919–961. [Google Scholar] [CrossRef] [PubMed]
  12. Balas, J.; Keutgen, A.; Herzog, E. Biostimulants Affect the Quality and Yield of Tomato Fruits from Open-Field Production. Acta Hortic. 2021, 93–102. [Google Scholar] [CrossRef]
  13. Caradonia, F.; Ronga, D.; Flore, A.; Barbieri, R.; Moulin, L.; Terzi, V.; Francia, E. Biostimulants and Cherry Rootstock Increased Tomato Fruit Yield and Quality in Sustainable Farming Systems. Ital. J. Agron. 2020, 15, 121–131. [Google Scholar] [CrossRef]
  14. Francesca, S.; Barone, A.; Rigano, M.M. One Plant-Based Biostimulant Stimulates Good Performances of Tomato Plants Grown in Open Field. Biol. Life Sci. Forum 2021, 3, 30. [Google Scholar] [CrossRef]
  15. Francesca, S.; Cirillo, V.; Raimondi, G.; Maggio, A.; Barone, A.; Rigano, M.M. A Novel Protein Hydrolysate-Based Biostimulant Improves Tomato Performances under Drought Stress. Plants 2021, 10, 783. [Google Scholar] [CrossRef]
  16. Meier, U. Growth stages of mono- and dicotyledonous plants: BBCH Monograph. 2018; ISBN 978-3-95547-071-5. [Google Scholar]
  17. Fyteko Biomolecules to improve crop yield Available online:. Available online: https://fyteko.com/ (accessed on 17 September 2024).
  18. European and Mediterranean Plant Protection Organization Phytotoxicity Assessment. EPPO Bull. 2007, 37, 4–10. [CrossRef]
  19. Jiang, C.; Johkan, M.; Hohjo, M.; Tsukagoshi, S.; Maruo, T. A Correlation Analysis on Chlorophyll Content and SPAD Value in Tomato Leaves. HortResearch 2017, 71, 37–42. [Google Scholar] [CrossRef]
  20. Grados, D.; Reynarfaje, X.; Schrevens, E. A Methodological Approach to Assess Canopy NDVI–Based Tomato Dynamics under Irrigation Treatments. Agric. Water Manag. 2020, 240, 106208. [Google Scholar] [CrossRef]
  21. Camejo, D.; Rodríguez, P.; Angeles Morales, M.; Miguel Dell’Amico, J.; Torrecillas, A.; Alarcón, J.J. High Temperature Effects on Photosynthetic Activity of Two Tomato Cultivars with Different Heat Susceptibility. J. Plant Physiol. 2005, 162, 281–289. [Google Scholar] [CrossRef] [PubMed]
  22. Fleming, T.R.; Fleming, C.C.; Levy, C.C.B.; Repiso, C.; Hennequart, F.; Nolasco, J.B.; Liu, F. Biostimulants Enhance Growth and Drought Tolerance in and Exhibit Chemical Priming Action. Ann. Appl. Biol. 2019, 174, 153–165. [Google Scholar] [CrossRef]
  23. González-Pérez, L.; Vázquez-Glaría, A.; Perrotta, L.; Acosta, A.; Scriven, S.A.; Herbert, R.; Cabrera, J.C.; Francis, D.; Rogers, H.J. Oligosaccharins and Pectimorf® Stimulate Root Elongation and Shorten the Cell Cycle in Higher Plants. Plant Growth Regul. 2012, 68, 211–221. [Google Scholar] [CrossRef]
  24. Kollárová, K.; Henselová, M.; Lišková, D. Effect of Auxins and Plant Oligosaccharides on Root Formation and Elongation Growth of Mung Bean Hypocotyls. Plant Growth Regul. 2005, 46, 1–9. [Google Scholar] [CrossRef]
  25. Suzuki, T.; Tomita-Yokotani, K.; Tsubura, H.; Yoshida, S.; Kusakabe, I.; Yamada, K.; Miki, Y.; Hasegawa, K. Plant Growth-Promoting Oligosaccharides Produced from Tomato Waste. Bioresour. Technol. 2002, 81, 91–96. [Google Scholar] [CrossRef]
  26. Hussain, H.I.; Kasinadhuni, N.; Arioli, T. The Effect of Seaweed Extract on Tomato Plant Growth, Productivity and Soil. J. Appl. Phycol. 2021, 33, 1305–1314. [Google Scholar] [CrossRef]
  27. Turan, M.; Yildirim, E.; Ekinci, M.; Argin, S. Effect of Biostimulants on Yield and Quality of Cherry Tomatoes Grown in Fertile and Stressed Soils. HortScience 2021, 56, 414–423. [Google Scholar] [CrossRef]
  28. Yuan, Z.; Cao, Q.; Zhang, K.; Ata-Ul-Karim, S.T.; Tian, Y.; Zhu, Y.; Cao, W.; Liu, X. Optimal Leaf Positions for SPAD Meter Measurement in Rice. Front. Plant Sci. 2016, 7. [Google Scholar] [CrossRef] [PubMed]
  29. Hernández, V.; Hellín, P.; Botella, M.Á.; Vicente, E.; Fenoll, J.; Flores, P. Oligosaccharins Alleviate Heat Stress in Greenhouse-Grown Tomatoes during the Spring-Summer Season in a Semi-Arid Climate. Agronomy 2022, 12, 802. [Google Scholar] [CrossRef]
  30. Gessesse, A.A.; Melesse, A.M. Chapter 8—Temporal Relationships between Time Series CHIRPS-Rainfall Estimation and eMODIS-NDVI Satellite Images in Amhara Region, Ethiopia. In Extreme Hydrology and Climate Variability; Melesse, A.M., Abtew, W., Senay, G., Eds.; Elsevier, 2019; pp. 81–92. ISBN 978-0-12-815998-9. [Google Scholar]
  31. Topcu, Y.; Nambeesan, S.U.; van der Knaap, E. Blossom-End Rot: A Century-Old Problem in Tomato (Solanum Lycopersicum L.) and Other Vegetables. Mol. Hortic. 2022, 2, 1. [Google Scholar] [CrossRef] [PubMed]
  32. Acharya, U.K.; Subedi, P.P.; Walsh, K.B. Robustness of Tomato Quality Evaluation Using a Portable Vis-SWNIRS for Dry Matter and Colour. Int. J. Anal. Chem. 2017, 2017, 2863454. [Google Scholar] [CrossRef]
  33. Andreotti, C.; Rouphael, Y.; Colla, G.; Basile, B. Rate and Timing of Application of Biostimulant Substances to Enhance Fruit Tree Tolerance toward Environmental Stresses and Fruit Quality. Agronomy 2022, 12, 603. [Google Scholar] [CrossRef]
  34. Nephali, L.; Piater, L.A.; Dubery, I.A.; Patterson, V.; Huyser, J.; Burgess, K.; Tugizimana, F. Biostimulants for Plant Growth and Mitigation of Abiotic Stresses: A Metabolomics Perspective. Metabolites 2020, 10, 505. [Google Scholar] [CrossRef]
Figure 1. Values of SPAD (a) and NDVI (b) in leaves of Solanum lycopersicum cv. Taylor F1 plants grown in open field and treated or not with the Nurspray® as biostimulant at different timing. Treatment T1: Untreated control; T2: Nurspray® application on BBCH 19-51; T3: Nurspray® application on BBCH 19-51-61; and T4: Nurspray® application on BBCH 19-23-51; DA-A: Mean ± SD values were obtained from four repetitions in a randomized block experiment; different letters indicate statistically different means p < 0.05.
Figure 1. Values of SPAD (a) and NDVI (b) in leaves of Solanum lycopersicum cv. Taylor F1 plants grown in open field and treated or not with the Nurspray® as biostimulant at different timing. Treatment T1: Untreated control; T2: Nurspray® application on BBCH 19-51; T3: Nurspray® application on BBCH 19-51-61; and T4: Nurspray® application on BBCH 19-23-51; DA-A: Mean ± SD values were obtained from four repetitions in a randomized block experiment; different letters indicate statistically different means p < 0.05.
Preprints 118646 g001
Figure 2. Schematic representation of the effects of Nurspray® foliar application on tomato plants at different stages (BBCH 19-51, BBCH 19-51-61, BBCH 19-23-51) under open-field conditions. The untreated control shows a smaller root system and lower fruit yield. The treatments with Nurspray® demonstrate enhanced root development and increased fruit size and quality, with T4 (BBCH 19-23-51) showing the most significant improvements in both root health and fruit yield.
Figure 2. Schematic representation of the effects of Nurspray® foliar application on tomato plants at different stages (BBCH 19-51, BBCH 19-51-61, BBCH 19-23-51) under open-field conditions. The untreated control shows a smaller root system and lower fruit yield. The treatments with Nurspray® demonstrate enhanced root development and increased fruit size and quality, with T4 (BBCH 19-23-51) showing the most significant improvements in both root health and fruit yield.
Preprints 118646 g002
Table 1. Meteorological conditions recorded during the growing season, from April to July 2020.
Table 1. Meteorological conditions recorded during the growing season, from April to July 2020.
Month Total Rainfall (mm) Average Min Temperature (°C) Average Max Temperature (°C) Average Relative Humidity (%)
April 0.0 14.5 23.1 71.9
May 66.1 14.8 24.4 72.8
June 17.6 16.6 28.8 72.7
July 105.0 19.9 31.3 76.4
Table 2. Treatment list and application timing on Solanum lycopersicum cv. Taylor F1 plants in open filed evaluation.
Table 2. Treatment list and application timing on Solanum lycopersicum cv. Taylor F1 plants in open filed evaluation.
Treatment No. Treatment Application timing according to BBCH scale1 BBCH growth grade meaning
T1 Untreated control - -
T2 Nurspray® 19–51 Nine or more leaves on main shoot unfolded—first flower bud visible
T3 Nurspray® 19–51–61 Nine or more leaves on main shoot unfolded—first flower bud visible—first flower open
T4 Nurspray® 19–23–51 Nine or more leaves on main shoot unfolded—third primary apical side shoot visible—first flower bud visible
Notes: 1Phenological growth according to the BBCH (Biologische Bundesanstalt, Bundessortenamt und Chemische Industrie) scale [16].
Table 3. Root system development, percentage of the canopy, and flowering of Solanum lycopersicum cv. Taylor F1 plants grown in open field and treated or not with the Nurspray® as biostimulant at different timing.
Table 3. Root system development, percentage of the canopy, and flowering of Solanum lycopersicum cv. Taylor F1 plants grown in open field and treated or not with the Nurspray® as biostimulant at different timing.
Root System1 % Canopy % Flowering
Treatment 23 DA-A2 30 DA-A 23 DA-A 30 DA-A 23 DA-A 30 DA-A
T1 2.48±0.51d 3.58±0.50 c 75.25±0.50 b 82.50±2.08 c 7.50±2.89 c 82.50±5.00 b
T2 3.48±0.64 c 4.18±0.50 c 80.25±5.50 ab 92.50±2.89 b 27.50±5.00 b 90.00±7.07 b
T3 4.03±0.53 b 5.35±0.66 b 86.25±6.29 a 100±0.00 a 27.00±5.42 b 100±0.00 a
T4 5.05±0.39 a 6.03±0.70 a 86.75±1.26 a 100±0.00 a 43.75±1.50 a 100±0.00 a
Notes: 1Root systems rating scale 0-10. 2DA-A: Days after application. Treatment T1: Untreated control; T2: Nurspray® application on BBCH 19-51; T3: Nurspray® application on BBCH 19-51-61; and T4: Nurspray® application on BBCH 19-23-51; DA-A: Days after application. Mean ± SD values were obtained from four repetitions in a randomized block experiment; different letters indicate statistically different means p < 0.05.
Table 4. Average of the weight, number of fruits per plant and kg of fruits per plant (total, marketable and unmarketable), and estimation yield (tons/ha) of Solanum lycopersicum cv. Taylor F1 plants grown in open field and treated or not with the Nurspray® as biostimulant at different timing. Measurements were done at 81 days after application.
Table 4. Average of the weight, number of fruits per plant and kg of fruits per plant (total, marketable and unmarketable), and estimation yield (tons/ha) of Solanum lycopersicum cv. Taylor F1 plants grown in open field and treated or not with the Nurspray® as biostimulant at different timing. Measurements were done at 81 days after application.
Treatment No. fruit per plant No. fruit per plant—marketable No. fruit per plant—unmarketable Weight per fruit (g) Kg fruit per plant—total Kg fruit per plant—marketable Kg fruit per plant—unmarketable Yield (tons/ha)
T1 50.63±0.38a 45.63±0.38a 5.00±0.00a 71. ±1.29b 3.63±0.05a 3.26±0.06a 0.40±0.00a 97.88±1.82a
T2 48.58±0.59b 45.58±1.55a 3.00±2.00b 75.75±0.96a 3.68±0.05a 3.46±0.15a 0.28±0.15b 103.65±4.39a
T3 45.38±0.84c 45.38±0.84a 0.00±0.00c 77.75±1.26a 3.55±0.06a 3.53±0.05a 0.00±0.00c 105.83±1.42a
T4 46.5±1.26bc 46.50±1.26a 0.00±0.00c 75.75±0.96a 3.55±0.10a 3.52±0.12a 0.00±0.00c 105.68±3.48a
Notes: Treatment T1: Untreated control; T2: Nurspray® application on BBCH 19-51; T3: Nurspray® application on BBCH 19-51-61; and T4: Nurspray® application on BBCH 19-23-51. Mean ± SD values were obtained from four repetitions in a randomized block experiment; different letters indicate statistically different means p < 0.05.
Table 5. Average of firmness (N), dry matter content (g), pH and lycopene (mg/kg) of Solanum lycopersicum cv. Taylor F1 plants grown in open field and treated or not with the Nurspray® as biostimulant at different timing. Measurements were done at 81 days after application.
Table 5. Average of firmness (N), dry matter content (g), pH and lycopene (mg/kg) of Solanum lycopersicum cv. Taylor F1 plants grown in open field and treated or not with the Nurspray® as biostimulant at different timing. Measurements were done at 81 days after application.
Treatment Firmness (N) Dry matter content (g) pH Lycopene (mg/kg)
T1 10.30±0.08 a 6.35±0.13 c 4.24±0.05 a 61.90±0.59 a
T2 10.33±0.22 a 6.30±0.08 c 4.28±0.05 a 62.33±0.47 a
T3 10.23±0.05 a 6.56±0.17 ab 4.24±0.01 a 62.63±0.57 a
T4 10.30±0.14 a 6.75±0.06 a 4.22±0.02 a 62.43±0.10 a
Notes: Treatment T1: Untreated control; T2: Nurspray® application on BBCH 19-51; T3: Nurspray® application on BBCH 19-51-61; and T4: Nurspray® application on BBCH 19-23-51. Mean ± SD values were obtained from four repetitions in a randomized block experiment; different letters indicate statistically different means p < 0.05.
Disclaimer/Publisher’s Note: The statements, opinions and data contained in all publications are solely those of the individual author(s) and contributor(s) and not of MDPI and/or the editor(s). MDPI and/or the editor(s) disclaim responsibility for any injury to people or property resulting from any ideas, methods, instructions or products referred to in the content.
Copyright: This open access article is published under a Creative Commons CC BY 4.0 license, which permit the free download, distribution, and reuse, provided that the author and preprint are cited in any reuse.
Prerpints.org logo

Preprints.org is a free preprint server supported by MDPI in Basel, Switzerland.

Subscribe

Disclaimer

Terms of Use

Privacy Policy

Privacy Settings

© 2026 MDPI (Basel, Switzerland) unless otherwise stated