Submitted:
17 September 2024
Posted:
18 September 2024
You are already at the latest version
Abstract
Keywords:
1. Introduction
2. Materials and Methods
2.1. Kinematics of DTF and STF Decay Mechanisms
2.1.1. One-step decay: Direct Ternary Fission
2.1.2. Two-steps decay: Sequential Ternary Fission
2.2. DTF and STF Differences in Energy and Angular Distributions
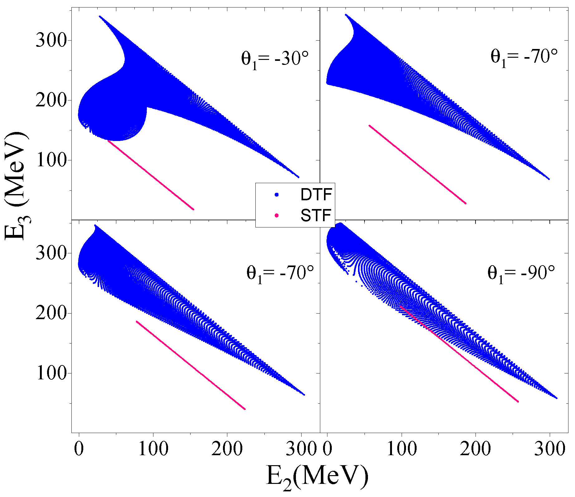
2.2.1. Energy Distributions
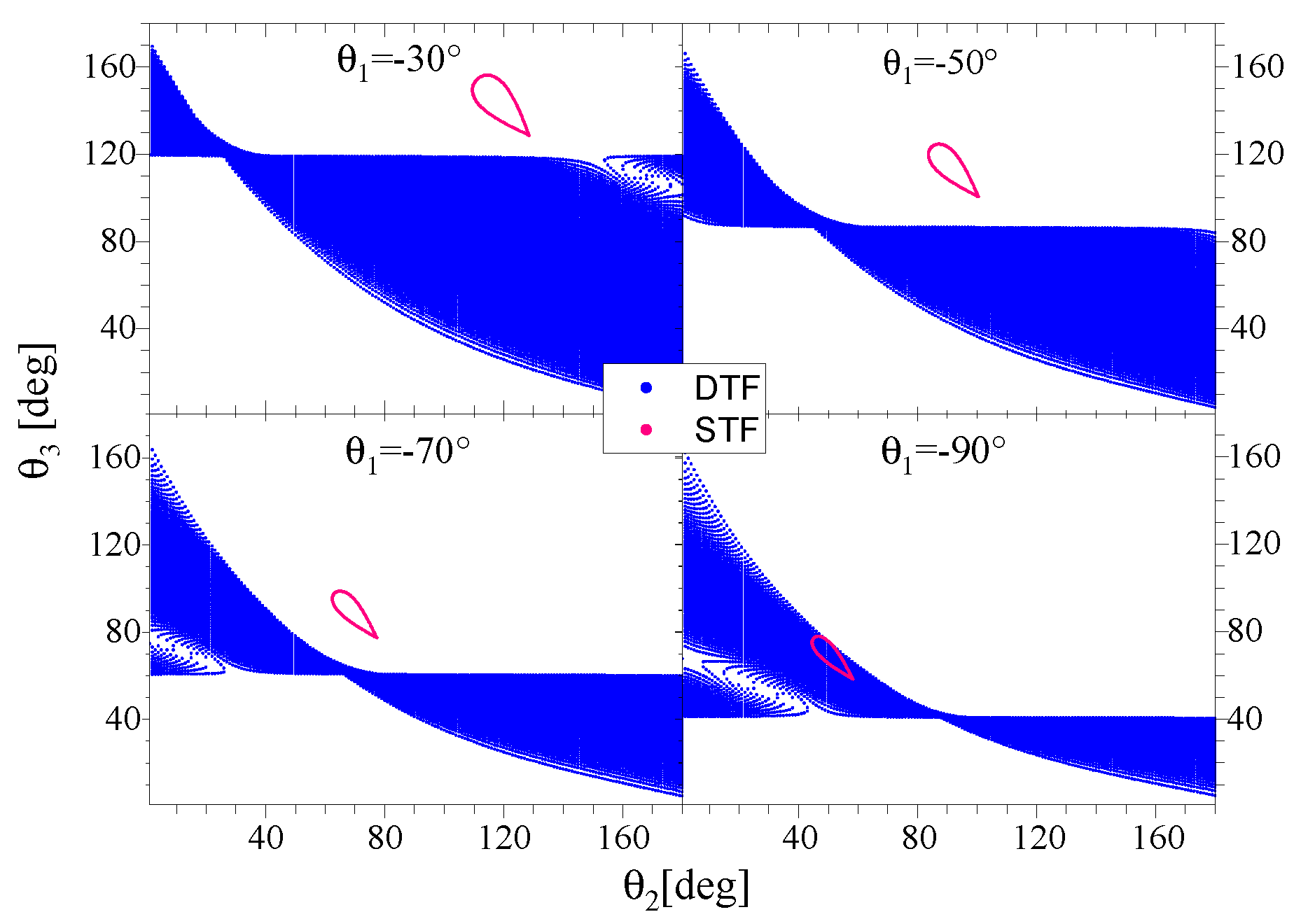
2.2.2. Angular Distributions
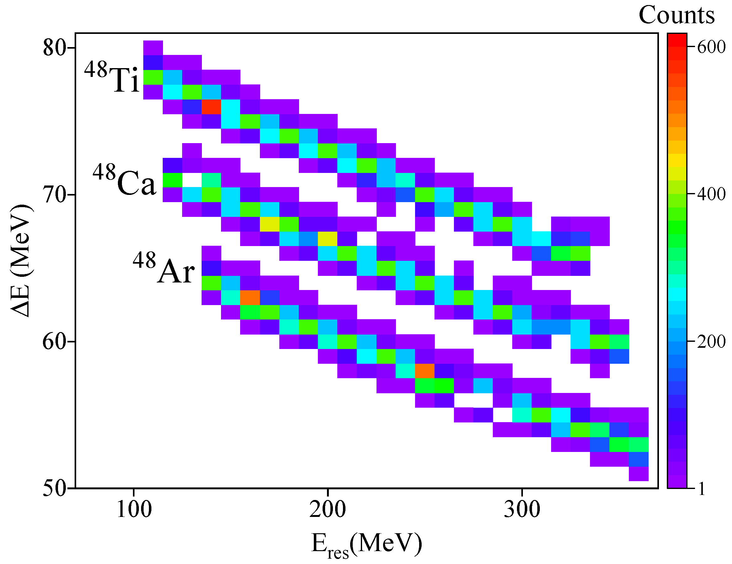
2.2.3. Disentangling of DTF and STF in the 132 Tripartition
2.3. Collection of Binary Fission Events
2.4. Detection Apparatus
- (i) a TOF arm at ;
- (ii) a TOF arm at ;
- (iii) a string of 7 telescope detector covering and centered at ;
- (iv) a system of a TOF arm combined with a squared array of telescope detectors at .
- (a) coincidences between (i) and (ii) elements;
- (b) coincidences between (i) and (iii) elements;
- (d) coincidences between (i), (ii) and (iii) elements;
- (e) single event form (iv) and (iii) elements.
2.5. Rates Estimates



3. Geant4 – Simulation Results
3.1. Correlated velocities in forward detectors
3.2. Identification of Light Ions at Backward Direction for STF Characterization
3.3. Identification of Light Ions at forward Direction for DTF Characterization

4. Discussion and Conclusions
Acknowledgments
Abbreviations
| Binary Fission | BF |
| Liquid Drop Model | LDM |
| Compound Nucleus | CN |
| Ternary Fission | TF |
| Ternary Particle | TP |
| Ternary Fission Potential | TFP |
| Potential Energy Surface | PES |
| True Ternary Fission | TTF |
| Direct Ternary Fission | DTF |
| Sequential Ternary Fission | STF |
| Asymmetrical Binary Fission | AsymBF |
| Total Kinetic Energy | TKE |
| Symmetrical Binary Fission | SymBF |
| Time Of Flight | TOF |
References
- Meitner, L.; Frisch, O.R. Disintegration of uranium by neutrons: a new type of nuclear reaction. Nature 1939, 143, 239. [Google Scholar] [CrossRef]
- Hahn, O.; Strassmann, F. Uber den nachweis und das verhalten der bei der bestrahlung des urans mittels neutronen entstehenden erdalkalimetalle. Naturwissenschaften 1939, 27, 11–15. [Google Scholar] [CrossRef]
- Hahn, O.; Strassmann, F. Nachweis der entstehung aktiver bariumisotope aus uran und thorium durch neutronenbestrahlung; nachweis weiterer aktiver bruchst¨ucke bei der uranspaltung; nachweis weiterer aktiver bruchst¨ucke bei der uranspaltung. Naturwissenschaften 1939, 27, 89–95. [Google Scholar] [CrossRef]
- Bohr, N. Nature 1936, 137, 344–348. [CrossRef]
- Bohr, N.; Wheeler, J.A. Phys. Rev. 1939, 56, 426–450. [CrossRef]
- Present, R.; Wheeler, J. The Mechanism of nuclear fission. Phys. Rev. 1939, 56, 426. [Google Scholar] [CrossRef]
- Present, R. Possibility of ternary fission. Phys. Rev. 1941, 59, 466. [Google Scholar]
- Grad, H.; Rubin, H. Peaceful uses of atomic energy. Proc. 2nd Int. Conf.(Geneva, 1958), 1958, Vol. 31, p. 100.
- Diehl, H.; Greiner, W. Theory of ternary fission in the liquid drop model. Nuclear Physics A 1974, 229, 29–46. [Google Scholar] [CrossRef]
- Alvarez, L.; Farwell, G.; Segre, E.; Wiegand, C. Phys. Rev. 1947, 71, 327. [CrossRef]
- San-Tsiang; Zah-Wei; Chastel; Vigneron, L. On the New Fission Processes of Uranium Nuclei. Phys. Rev. 1947, 71, 382. [Google Scholar] [CrossRef]
- San-Tsiang, T.; Zah-Wei, H.; Vigneron, L.; Chastel, R. Ternary and Quaternary Fission of Uranium Nuclei. Nature 1947, 159, 773. [Google Scholar] [CrossRef]
- Gönnenwein, F. Nucl. Phys. A 2004, 734, 213–216. [CrossRef]
- Gönnenwein, F.; Mutterer, M.; Kopatch, Y. Europhys. News 2005, 36, 11. [CrossRef]
- Wagemans, C.; Deruytter, A. The emission of Long-Range α-particles in the thermal neurtron induced fission of 233U, 235U, and 239Pu. Zeitschrift für Physik A Atoms and Nuclei 1975, 275, 149–156. [Google Scholar] [CrossRef]
- Papka, P.; Beck, C. Cluster in Nuclei: Experimental Perspectives. Cluster in Nuclei 212, 2, 299. [CrossRef]
- Muga, M.L.; Bowman, H.R.; Thompson, S.G. Tripartition in the Spontaneous-Fission Decay of Cf252. Phys. Rev. 1961, 121, 270. [Google Scholar] [CrossRef]
- Rubchenya, V.; Alexandrov, A.; Khlebnikov, S.; Lyapin, V.; Maslov, V.; Penionzhkevich, Y.E.; Prete, G.; Sobolev, Y.G.; Tyurin, G.; Trzaska, W.; others. Light particle accompanied quasifission in superheavy composite systems. Physics of Atomic Nuclei 2006, 69, 1388–1398. [Google Scholar] [CrossRef]
- Duek, E.; Ajitanand, N.; Alexander, J.M.; Logan, D.; Kildir, M.; Kowalski, L.; Vaz, L.C.; Guerreau, D.; Zisman, M.; Kaplan, M.; others. Mechanisms for emission of 4 He in the reactions of 334 MeV 40 Ar with 238 U. Zeitschrift für Physik A Atoms and Nuclei 1984, 317, 83–100. [Google Scholar] [CrossRef]
- Vardaci, E.; Kaplan, M.; Parker, W.E.; Moses, D.J.; Boger, J.; Gilfoyle, G.; McMahan, M.; Montoya, M. Search for ternary fragmentation in the reaction 856 MeV 98Mo+ 51V: kinematic probing of intermediate-mass-fragment emissions. Physics Letters B 2000, 480, 239–244. [Google Scholar] [CrossRef]
- Wagemans, C. Ternary Fission in The Nuclear Fission Process. CRC Press, Boca Raton, FL 1991.
- Gönnenwein, F. World Scientific, Singapore 1999, p. 59.
- Brandt, R. Angew. Chem. internat. 1971, 10, 890. [CrossRef] [PubMed]
- Vijayaraghavan, K.; von Oertzen, W.; Balasubramaniam, M. Kinetic energies of cluster fragments in ternary fission of 252Cf. Eur. Phys. J. A 2012, 48, 27. [Google Scholar] [CrossRef]
- Iyer, R.; Cobble, J. Evidence of ternary fission at lower energies. Physical Review Letters 1966, 17, 541. [Google Scholar] [CrossRef]
- Gönnenwein, F.; Möller, A.; Crön, M.; Hesse, M.; Wöstheinrich, M.; Faust, H.; Fioni, G.; Oberstedt, S. Nuovo Cimento A 1997, 110, 1089. [CrossRef]
- L. Rosen, A.H. Symmetrical tripartition of U235, by thermal neutrons. Phys. Rev. 1950, 78, 533. [Google Scholar] [CrossRef]
- Schall, P.; Heeg, P.; Mutterer, M.; Theobald, J. On symmetric tripartition in the spontaneous fission of 252Cf. Phys. Lett. B 1987, 191, 339. [Google Scholar] [CrossRef]
- Zagrebaev, V.; Karpov, A.; Greiner, W. True ternary fission of superheavy nuclei. Phys. Rev. C 2010, 81, 044608. [Google Scholar] [CrossRef]
- Vijayaraghavan, K.; Balasubramaniam, M.; von Oertzen, W. True ternary fission. Phys. Rev. C 2015, 91, 044616. [Google Scholar] [CrossRef]
- von Oertzen, W.; Nasirov, A. True ternary fission, the collinear decay into fragments of similar size in the 252Cf(sf) and 235U(nth,f) reactions. Phys. Lett. B 2014, 734, 234–238. [Google Scholar] [CrossRef]
- Poenaru, D.; Gherghescu, R.; Greiner, W.; Nagame, Y.; Hamilton, J.; Ramayya, A. True ternary fission. Romanian Reports in Physics 2003, 55, 549–554. [Google Scholar]
- Hamilton, J.H.; Ramayya, A.V.; Kormicki, J.; Ma, W.C.; Lu, Q.; Shi1, D.; Deng, J.K.; Zhu, S.J.; Sandulescu, A.; Greiner, W.; Akopian, G.M.T.; Oganessian, Y.T.; Popeko, G.S.; Daniel, A.V.; Kliman, J.; Polhorsky, V.; Morhac, M.; Cole, J.D.; Aryaeinejad, R.; Lee, I.Y.; Johnson, N.R.; McGowan, F.K. Zero neutron emission in spontaneous fission of 252Cf: a form of cluster radioactivity. J. Phys. G: Nucl. Part. Phys. 1994, 20, L85. [Google Scholar] [CrossRef]
- Ter-Akopian, G.M.; Hamilton, J.H.; Oganessian, Y.T.; Kormicki, J.; Popeko, G.S.; Daniel, A.V.; Ramayya, A.V.; Lu, Q.; Butler-Moore, K.; Ma, W.C.; Deng, J.K.; Shi, D.; Kliman, J.; Polhorsky, V.; Morhac, M.; Greiner, W.; Sandelescu, A.; Cole, J.D.; Aryaeinejad, R.; Johnson, N.R.; Lee, I.Y.; McGowan, F.K. Phys. Rev. Lett. 1994, 73, 1477. [CrossRef]
- Hamilton, J.H.; Ramayya, A.V.; Hwang, J.K.; Kormicki, J.; Babu, B.R.S.; Sandulescu, A.; Florescu, A.; Greiner, W.; Ter-Akopian, G.M.; Oganessian, Y.T.; Daniel, A.V.; Zhu, S.J.; Wang, M.G.; Ginter, T.; Deng, J.K.; Ma, W.C.; Popeko, G.S.; Lu, Q.H.; Jones, E.; Dodder, R.; Gore, P.; Nazarewicz, W.; Rasmussen, J.O.; Asztalos, S.; Lee, I.Y.; Chu, S.Y.; Gregorich, K.E.; Macchiavelli, A.O.; Mohar, M.F.; Prussin, S.; Stoyer, M.A.; Lougheed, R.W.; Moody, K.J.; Wild, J.F.; Bernstein, L.A.; Becker, J.A.; Cole, J.D.; Aryaeinejad, R.; Dardenne, Y.X.; Drigert, M.W.; Butler-Moore, K.; Donangelo, R.; Griffin, H.C. New cold and ultra hot binary and cold ternary spontaneous fission modes for 252Cf and new band structures with gammasphere. Prog. Part. Nucl. Phys. 1997, 38, 273–287. [Google Scholar] [CrossRef]
- Ramayya, A.V.; Hamilton, J.H.; Hwang, J.K.; Peker, L.K.; Kormicki, J.; Babu, B.R.S.; Ginter, T.N.; Sandulescu, A.; Florescu, A.; Carstoiu, F.; Greiner, W.; Ter-Akopian, G.M.; Oganessian, Y.T.; Daniel, A.V.; Ma, W.C.; Varmette, P.G.; Rasmussen, J.O.; Asztalos, S.J.; Chu, S.Y.; Gregorich, K.E.; Macchiavelli, A.O.; Macleod, R.W.; Cole, J.D.; Aryaeinejad, R.; Butler-Moore, K.; Drigert, M.W.; Stoyer, M.A.; Bernstein, L.A.; Lougheed, R.W.; Moody, K.J.; Prussin, S.G.; Zhu, S.J.; Griffin, H.C.; Donangelo, R. Cold (neutronless) α ternary fission of 252Cf. Phys. Rev. C 1998, 57, 2370. [Google Scholar] [CrossRef]
- Ramayya, A.V.; Hwang, J.K.; Hamilton, J.H.; Sandulescu, A.; Florescu, A.; Ter-Akopian, G.M.; Daniel, A.V.; Oganessian, Y.T.; Popeko, G.S.; Greiner, W.; Cole, J.D. Observation of 10Be Emission in the Cold Ternary Spontaneous Fission of 252Cf. Phys. Rev. Lett. 1998, 81, 947. [Google Scholar] [CrossRef]
- Kopatch, Y.N.; Mutterer, M.; Schwalm, D.; Thirolf, P.; Gönnenwein, F. 5He, 7He, and 8Li(E* = 2.26MeV) intermediate ternary. Phys. Rev. C 2002, 65, 044614. [Google Scholar] [CrossRef]
- Daniel, A.V.; Ter-Akopian, G.M.; Hamilton, J.H.; Ramayya, A.V.; Kormicki, J.; Popeko, G.S.; Fomichev, A.S.; Rodin, A.M.; Oganessian, Y.T.; Cole, J.D.; Hwang, J.K.; Luo, Y.X.; Fong, D.; Gore, P.; Jandel, M.; Kliman, J.; Krupa, L.; Rasmussen, J.O.; Wu, S.C.; Lee, I.Y.; Stoyer, M.A.; Donangelo, R.; Greiner, W. Phys. Rev. C 2004, 69, 041305. [CrossRef]
- Ter-Akopian, G.; Daniel, A.V.; Fomichev, A.S.; Popeko, G.S.; Rodin, A.M.; Oganessian, Y.T.; Hamilton, J.H.; Ramayya, A.V.; Kormicki, J.; Hwang, J.K.; Fong, D.; Gore, P.; Cole, J.D.; Jandel, M.; Kliman, J.; Krupa, L.; Rasmussen, J.O.; Lee, I.Y.; Macchiavelli, A.O.; Fallon, P.; Stoyer, M.A.; Donangelo, R.; Wu, S.C.; Greiner, W. Phys. At. Nuclei 2004, 67, 1860. [CrossRef]
- Manimaran, K.; Balasubramaniam, M. Ternary fission fragmentation of 252Cf for all possible third fragments. Eur. Phys. J. A 2010, 45, 293. [Google Scholar] [CrossRef]
- Manimaran, K.; Balasubramaniam, M. All possible ternary fragmentations of 252Cf in collinear configuration. Phys. Rev. C 2011, 83, 034609. [Google Scholar] [CrossRef]
- Pyatkov, Y.; Kamanin, D.; Kopach, Y.; Alexandrov, A.; Alexandrova, I.; Borzakov, S.; Voronov, Y.; Zhuchko, V.; Kuznetsova, E.; Panteleev, T.; Tyukavkin, A. Collinear cluster tri-partition channel in reaction 235U(nth,f). Phys. Atom. Nucl. 2010, 73, 1309–1316. [Google Scholar] [CrossRef]
- Poenaru, D.; W. Greiner, J.H.; Ramayya, A.; Hourany, E.; Gherghescu, R. Multicluster accompanied fission. Phys. Rev. C 1999, 59, 3457. [Google Scholar] [CrossRef]
- Pyatkov, Y.; Trzaska, W.; Khlebnikov, S. Island of the high yields of 252Cf(sf) collinear tripartition in the fragment mass space. Rom. Rep. Phys. 2007, 59, 569. [Google Scholar]
- Pyatkov, Y.; Kamanin, D.; von Oertzen, W.; Alexandrov, A.; Alexandrova, I.; Falomkina, O.; Kondratjev, N.; Kopatch, Y.; Kuznetsova, E.; Lavrova, Y.; Tyukavkin, A.; Trzaska, W.; Zhuhcko, V. Collinear cluster tri-partition of 252Cf(sf) and in the 235U(nth,f) reaction. Eur. Phys. J. A 2010, 45, 29. [Google Scholar] [CrossRef]
- Pyatkov, Y.; Kamanin, D.; Alexandrov, A.; Alexandrova, I.; Kondratuev, N.; Kuznetsova, E.; Jacobs, N.; Malaza, V.; Minh, D.P.; Zhuchko, V. Presumable scenario of one of the collinear cluster tripartition modes. Int. J. Mod. Phys. E 2010, 20, 1008. [Google Scholar] [CrossRef]
- Pyatkov, Y.; Kamanin, D.; von Oertzen, W.; Alexandrov, A.; Alexandrova, I.; Falomkina, O.; Jacobs, N.; Kondratjev, N.; Kuznetsova, E.; Lavrova, Y.; Malaza, V.; Ryabov, Y.; Strekalovsky, O.; Tyukavkin, A.; Zhuchko, V. Collinear cluster tri-partition (CCT) of 252Cf(sf): New aspects from neutron gated data. Eur. Phys. J. A 2012, 48, 94. [Google Scholar] [CrossRef]
- Karamyan, S. Sov. J. Nucl. Phys. 1967, 5, 559.
- Vandenbosch, R.; Huizenga, J.R. Nuclear Fission; Academic Press, 1973.
- Perelygin, V.; Shadieva, N.; Tretiakova, S.; Boos, A.; Brandt, R. Ternary fission produced in Au, Bi, Th and U with Ar ions. Nuclear Physics, Section A 1969, 127, 577–585. [Google Scholar] [CrossRef]
- Price, P.; Fleischer, R.; Walker, R.; Hubbard, E. Ternary Fission of Heavy Compound Nucleis. Proceedings of the Third Conference on Reactions Between Complex Nuclei: Held at Asilomar (Pacific Grove, California), edited by Albert Ghiorso, R. M. Diamond and H. E. Conzett, Berkeley: University of California Press 1963, pp. 332–337. [CrossRef]
- Badala, A.; Cognata, M.L.; Nania, R.; Osipenko, M.; Piantelli, S.; Turrisi, R.; Barion, L.; Capra, S.; Carbone, D.; Carnesecchi, F.; Casula, E.; Chatterjee, C.; Ciani, G.; Depalo, R.; Nitto, A.D.; Fantini, A.; Goasduff, A.; Guardo, G.; Kraan, A.C.; Manna, A.; Marsicano, L.; Martorana, N.; Morales-Gallegos, L.; Naselli, E.; Scordo, A.; Valdre, S.; Volpe, G. Riv. Nuovo Cim. 2022, 45, 189–276. [CrossRef]
- Kozulin, E.; Knyazheva, G.; Karpov, A.; Saiko, V.; Bogachev, A.; Itkis, I.; Novikov, K.; Vorobiev, I.; Pchelintsev, I.; Savelieva, E.; others. Detailed study of multinucleon transfer features in the Xe 136+ U 238 reaction. Physical Review C 2024, 109, 034616. [Google Scholar] [CrossRef]
- Kozulin, E.; Knyazheva, G.; Itkis, I.; Kozulina, N.; Loktev, T.; Novikov, K.; Harca, I. Shell effects in fission, quasifission and multinucleon transfer reaction. Journal of Physics: Conference Series 2014, 515, 012010. [Google Scholar] [CrossRef]
- Di Nitto, A.; Vardaci, E.; La Rana, G.; Nadtochy, P.N.; Prete, G. Evaporation channel as a tool to study fission dynamics. Nucl. Phys. A 2018, 971, 21–34. [Google Scholar] [CrossRef]
- Ramos, D.; Caamano, M.; Farget, F.; Rodriguez-Tajes, C.; Lemasson, A.; Schmitt, C.; Audouin, L.; Benlliure, J.; Casarejos, E.; Clement, E.; others. NSR Query Results. Phys. Rev. C 2023, 107, L021601. [Google Scholar] [CrossRef]
- Wang, M.; Huang, W.; Kondev6, F.; Audi, G.; Naimi, S. The AME 2020 atomic mass evaluation (II). Tables, graphs and references. Chinese Phys. C 2021, 45, 030003. [Google Scholar] [CrossRef]
- Di Nitto, A.; Vardaci, E.; Brondi, A.; La Rana, G.; Cinausero, M.; Gelli, N.; Moro, R.; Nadtochy, P.N.; Prete, G.; Vanzanella, A. Clustering effects in 48Cr composite nuclei produced via the 24Mg +24Mg reaction. Phys. Rev. C 2016, 93, 044602. [Google Scholar] [CrossRef]
- Di Nitto, A.; Vardaci, E.; Davide, F.; La Rana, G.; Ashaduzzaman, M.; Mercogliano, D.; Setaro, P.A.; Banerjee, T.; Vanzanella, A.; Bianco, D.; Cinausero, M.; Gelli, N.; Loffredo, F.; Quarto, M. Clustering effects in 36Ar nuclei produced via the 24Mg+12C reaction. Phys. Rev. C 2023, 107, 024615. [Google Scholar] [CrossRef]
- Moro, R.; Brondi, A.; Gelli, N.; Barbui, M.; Boiano, A.; Cinausero, M.; Di Nitto, A.; Fabris, D.; Fioretto, E.; La Rana, G.; Lucarelli, F.; Lunardon, M.; Montagnoli, G.; Ordine, A.; Prete, G.; Rizzi, V.; Trotta, M.; Vardaci, E. Compound nucleus evaporative decay as a probe for the isospin dependence of the level density. Eur. Phys. J. A 2012, 48, 159. [Google Scholar] [CrossRef]
- Mijatovic, T.; Szilner, S.; Corradi, L.; Montanari, D.; Courtin, S.; Fioretto, E.; Gadea, A.; Goasduff, A.; Haas, F.; Malenica, D.J.; Montagnoli, G.; Pollarolo, G.; Prepolec, L.; Scarlassara, F.; Soic, N.; Stefanini, A.; Tokic, V.; Ur, C.; Dobon, J.V. The pairing correlation study in the 40Ar +208Pb reaction. AIP Conference Proceedings 2015, 1681, 060012. [Google Scholar] [CrossRef]
- Mijatovic, T.; Szilner, S.; Corradi, L.; Montanari, D.; Pollarolo, G.; Fioretto, E.; Gadea, A.; Goasduff, A.; Malenica, D.J.; Marginean, N.; Milin, M.; Montagnoli, G.; Scarlassara, F.; Soic, N.; Stefanini, A.M.; Ur, C.; Valiente-Dobon, J. Multinucleon transfer reactions in the 40Ar +208Pb system. Phys. Rev. C 2016, 94, 064616. [Google Scholar] [CrossRef]
- Strobele, H.; Brockmann, R.; Harris, J.; Riess, F.; Sandoval, A.; Stock, R.; Wolf, K.; Pugh, H.; Schroeder, L.; Renfordt, R.; Tittel, K.; Maie, M. Charged-particle exclusive analysis of central Ar + KCl and Ar + Pb reactions at 1.8 and 0.8 GeV/nucleon. Phys. Rev. C 1983, 27, 1349. [Google Scholar] [CrossRef]
- Grabe, B. Phys. Rev. C 1992, 45, R5–R8. [CrossRef]
- Isaev, A.; Mukhin, R.; Andreev, A.; Bychkov, M.; Chelnokov, M.; Chepigin, V.; Devaraja, H.; Dorvaux, O.; Forge, M.; Gall, B.; Hauschild, K.; Izosimov, I.; Kessaci, K.; Kuznetsova, A.; Lopez-Martens, A.; Malyshev, O.; Popeko, A.; Popov, Y.; Rahmatinejad, A.; Sailaubekov, B.; Shneidman, T.; Sokol, E.; Svirikhin, A.; Testov, D.; Tezekbayeva, M.; Yeremin, A.; Zamyatin, N.; Zhumadilov, K. Prompt neutron emission in the spontaneous fission of 246Fm. Eur. Phys. J. A 2022, 58, 108. [Google Scholar] [CrossRef]
- Manjunatha, H.; Sowmya, N.; Sridhar, K.; Seenappa, L. A study of probable alpha-ternary fission fragments of 257Fm. J. Radioanal. Nucl. Chem. 2017, 314, 991–999. [Google Scholar] [CrossRef]
- Vijayaraghavan, K.; Lakshmi, V.G.; Prema, P.; Balasubramaniam, M. Equatorial, collinear trajectories in the ternary fission of Cf252 for various third fragments. J. Phys. G: Nucl. Part. Phys. 2019, 46, 025103. [Google Scholar] [CrossRef]
- Poenaru, D.; Gherghescu, R.; Greiner, W. Complex fission phenomena. Nucl. Phys. A 2005, 747, 182. [Google Scholar] [CrossRef]
- Degheidy, A.; Maruhn, J. Z. Phys. A 1979, 290, 205–2012. [CrossRef]
- Vardaci, E.; et al.. TOSCA:A Time-of-Flight sub-nanosecond Spectrometer for Charged radiation Applications. in preparation.
- Vardaci, E.; Pulcini, A.; Kozulin, E.M.; Matea, I.; Verney, D.; Maj, A.; Schmitt, C.; Itkis, I.M.; Knyazheva, G.N.; Novikov, K.; Kozulina, N.; Harca, I.M.; Kolesov, I.V.; Saveleva, K.; Kirakosyan, V.V.; Dorvaux, O.; Ciemala, M.; Brambilla, S.; Ashaduzzaman, M.; De Canditiis, B.; Di Nitto, A.; Quero, D.; Parascandolo, C.; Pierroutsakou, D.; Rath, P.K.; Sposito, G.; La Rana, G.; Bracco, A.; Camera, F.; Stezowski, O.; Borcea, C.; Calinescu, S.; Petrone, C.; Wilson, J. Using γ rays to disentangle fusion-fission and quasifission near the Coulomb barrier: A test of principle in the fusion-fission and quasielastic channels. Phys. Rev. C 2020, 101, 064612. [Google Scholar] [CrossRef]
- Agodi, C.; Cappuzzello, F.; Cardella, G.; Cirrone, G.A.P.; De Filippo, E.; Di Pietro, A.; Gargano, A.; La Cognata, M.; Mascali, D.; Milluzzo, G.; Nania, R.; Petringa, G.; Pidatella, A.; Pirrone, S.; Pizzone, R.G.; Rapisarda, G.G.; Sergi, M.L.; Tudisco, S.; Valiente-Dobón, J.J.; Vardaci, E.; Abramczyk, H.; Acosta, L.; Adsley, P.; Amaducci, S.; Banerjee, T.; Batani, D.; Bellone, J.; Bertulani, C.; Biri, S.; Bogachev, A.; Bonanno, A.; Bonasera, A.; Borcea, C.; Borghesi, M.; Bortolussi, S.; Boscolo, D.; Brischetto, G.A.; Burrello, S.; Busso, M.; Calabrese, S.; Calinescu, S.; Calvo, D.; Capirossi, V.; Carbone, D.; Cardinali, A.; Casini, G.; Catalano, R.; Cavallaro, M.; Ceccuzzi, S.; Celona, L.; Cherubini, S.; Chieffi, A.; Ciraldo, I.; Ciullo, G.; Colonna, M.; Cosentino, L.; Cuttone, G.; D’Agata, G.; De Gregorio, G.; Degl’Innocenti, S.; Delaunay, F.; Di Donato, L.; Di Nitto, A.; Dickel, T.; Doria, D.; Ducret, J.E.; Durante, M.; Esposito, J.; Farrokhi, F.; Fernandez Garcia, J.P.; Figuera, P.; Fisichella, M.; Fulop, Z.; Galatá, A.; Galaviz Redondo, D.; Gambacurta, D.; Gammino, S.; Geraci, E.; Gizzi, L.; Gnoffo, B.; Groppi, F.; Guardo, G.L.; Guarrera, M.; Hayakawa, S.; Horst, F.; Hou, S.Q.; Jarota, A.; José, J.; Kar, S.; Karpov, A.; Kierzkowska-Pawlak, H.; Kiss, G.G.; Knyazheva, G.; Koivisto, H.; Koop, B.; Kozulin, E.; Kumar, D.; Kurmanova, A.; La Rana, G.; Labate, L.; Lamia, L.; Lanza, E.G.; Lay, J.A.; Lattuada, D.; Lenske, H.; Limongi, M.; Lipoglavsek, M.; Lombardo, I.; Mairani, A.; Manetti, S.; Marafini, M.; Marcucci, L.; Margarone, D.; Martorana, N.S.; Maunoury, L.; Mauro, G.S.; Mazzaglia, M.; Mein, S.; Mengoni, A.; Milin, M.; Mishra, B.; Mou, L.; Mrazek, J.; Nadtochy, P.; Naselli, E.; Nicolai, P.; Novikov, K.; Oliva, A.A.; Pagano, A.; Pagano, E.V.; Palmerini, S.; Papa, M.; Parodi, K.; Patera, V.; Pellumaj, J.; Petrone, C.; Piantelli, S.; Pierroutsakou, D.; Pinna, F.; Politi, G.; Postuma, I.; Prajapati, P. Prada Moroni, P.G.; Pupillo, G.v Raffestin, D.; Racz, R.; Reidel, C.A.; Rifuggiato, D.; Risitano, F.; Rizzo, F.; Roca Maza, X.; Romano, S.; Roso, L.; Rotaru, F.; Russo, A.D.; Russotto, P.; Saiko, V.; Santonocito, D.; Santopinto, E.; Sarri, G.; Sartirana, D.; Schuy, C.; Sgouros, O.; Simonucci, S.; Sorbello, G.; Soukeras, V.; Spartá, R.; Spatafora, A.; Stanoiu, M.; Taioli, S.; Tessonnier, T.; Thirolf, P.; Tognelli, E.; Torresi, D.; Torrisi, G.; Trache, L.; Traini, G.; Trimarchi, M.; Tsikata, S.; Tumino, A.; Tyczkowski, J.; Yamaguchi, H.; Vercesi, V.; Vidana, I.; Volpe, L.; Weber, U. Nuclear physics midterm plan at LNS. The European Physical Journal Plus 2023, 138, 1038. [Google Scholar] [CrossRef]
- Iyer, R.; Cobble, J. Ternary Fission of U 238 Induced by Intermediate-Energy Helium Ions. Physical Review 1968, 172, 1186. [Google Scholar] [CrossRef]
- Agostinelli, S.; Allison, J.; Amako, K.; Apostolakis, J.; Araujo, H.; Arce, P.; Asai, M.; Axen, D.; Banerjee, S.; Barrand, G.; Behner, F.; Bellagamba, L.; Boudreau, J.; Broglia, L.; Brunengo, A.; Burkhardt, H.; Chauvie, S.; Chuma, J.; Chytracek, R.; Cooperman, G.; Cosmo, G.; Degtyarenko, P.; Dell’Acqua, A.; Depaola, G.; Dietrich, D.; Enami, R.; Feliciello, A.; Ferguson, C.; Fesefeldt, H.; Folger, G.; Foppiano, F.; Forti, A.; Garelli, S.; Giani, S.; Giannitrapani, R.; Gibin, D.; Gómez Cadenas, J.; González, I.; Gracia Abril, G.; Greeniaus, G.; Greiner, W.; Grichine, V.; Grossheim, A.; Guatelli, S.; Gumplinger, P.; Hamatsu, R.; Hashimoto, K.; Hasui, H.; Heikkinen, A.; Howard, A.; Ivanchenko, V.; Johnson, A.; Jones, F.; Kallenbach, J.; Kanaya, N.; Kawabata, M.; Kawabata, Y.; Kawaguti, M.; Kelner, S.; Kent, P.; Kimura, A.; Kodama, T.; Kokoulin, R.; Kossov, M.; Kurashige, H.; Lamanna, E.; Lampén, T.; Lara, V.; Lefebure, V.; Lei, F.; Liendl, M.; Lockman, W.; Longo, F.; Magni, S.; Maire, M.; Medernach, E.; Minamimoto, K.; Mora de Freitas, P.; Morita, Y.; Murakami, K.; Nagamatu, M.; Nartallo, R.; Nieminen, P.; Nishimura, T.; Ohtsubo, K.; Okamura, M.; O’Neale, S.; Oohata, Y.; Paech, K.; Perl, J.; Pfeiffer, A.; Pia, M.; Ranjard, F.; Rybin, A.; Sadilov, S.; Di Salvo, E.; Santin, G.; Sasaki, T.; Savvas, N.; Sawada, Y.; Scherer, S.; Sei, S.; Sirotenko, V.; Smith, D.; Starkov, N.; Stoecker, H.; Sulkimo, J.; Takahata, M.; Tanaka, S.; Tcherniaev, E.; Safai Tehrani, E.; Tropeano, M.; Truscott, P.; Uno, H.; Urban, L.; Urban, P.; Verderi, M.; Walkden, A.; Wander, W.; Weber, H.; Wellisch, J.; Wenaus, T.; Williams, D.; Wright, D.; Yamada, T.; Yoshida, H.; Zschiesche, D. Geant4—a simulation toolkit. Nuclear Instruments and Methods in Physics Research Section A: Accelerators, Spectrometers, Detectors and Associated Equipment 2003, 506, 250–303. [Google Scholar] [CrossRef]
- Allison, J.; Amako, K.; Apostolakis, J.; Arce, P.; Asai, M.; Aso, T.; Bagli, E.; Bagulya, A.; Banerjee, S.; Barrand, G.; Beck, B.; Bogdanov, A.; Brandt, D.; Brown, J.; Burkhardt, H.; Canal, P.; Cano-Ott, D.; Chauvie, S.; Cho, K.; Cirrone, G.; Cooperman, G.; Cortés-Giraldo, M.; Cosmo, G.; Cuttone, G.; Depaola, G.; Desorgher, L.; Dong, X.; Dotti, A.; Elvira, V.; Folger, G.; Francis, Z.; Galoyan, A.; Garnier, L.; Gayer, M.; Genser, K.; Grichine, V.; Guatelli, S.; Guèye, P.; Gumplinger, P.; Howard, A.; Hřivnáčová, I.; Hwang, S.; Incerti, S.; Ivanchenko, A.; Ivanchenko, V.; Jones, F.; Jun, S.; Kaitaniemi, P.; Karakatsanis, N.; Karamitros, M.; Kelsey, M.; Kimura, A.; Koi, T.; Kurashige, H.; Lechner, A.; Lee, S.; Longo, F.; Maire, M.; Mancusi, D.; Mantero, A.; Mendoza, E.; Morgan, B.; Murakami, K.; Nikitina, T.; Pandola, L.; Paprocki, P.; Perl, J.; Petrović, I.; Pia, M.; Pokorski, W.; Quesada, J.; Raine, M.; Reis, M.; Ribon, A.; Ristić Fira, A.; Romano, F.; Russo, G.; Santin, G.; Sasaki, T.; Sawkey, D.; Shin, J.; Strakovsky, I.; Taborda, A.; Tanaka, S.; Tomé, B.; Toshito, T.; Tran, H.; Truscott, P.; Urban, L.; Uzhinsky, V.; Verbeke, J.; Verderi, M.; Wendt, B.; Wenzel, H.; Wright, D.; Wright, D.; Yamashita, T.; Yarba, J.; Yoshida, H. Recent developments in Geant4. Nuclear Instruments and Methods in Physics Research Section A: Accelerators, Spectrometers, Detectors and Associated Equipment 2016, 835, 186–225. [Google Scholar] [CrossRef]
- Bass, R.; Czarnecki, J.; Zitzmann, R. Nuclear Instruments and Methods, 1975; 130, 125–133. [CrossRef]
- Cetnar, J.; Stanisz, P.; Oettingen, M. Linear Chain Method for Numerical Modelling of Burnup Systems. Energies 2021, 14, 1520. [Google Scholar] [CrossRef]
- Stanisz, P.; Oettingen, M.; Cetnar, J. Development of a Trajectory Period Folding Method for Burnup Calculations. Energies 2022, 15, 2245. [Google Scholar] [CrossRef]












Disclaimer/Publisher’s Note: The statements, opinions and data contained in all publications are solely those of the individual author(s) and contributor(s) and not of MDPI and/or the editor(s). MDPI and/or the editor(s) disclaim responsibility for any injury to people or property resulting from any ideas, methods, instructions or products referred to in the content. |
© 2024 by the authors. Licensee MDPI, Basel, Switzerland. This article is an open access article distributed under the terms and conditions of the Creative Commons Attribution (CC BY) license (http://creativecommons.org/licenses/by/4.0/).
