Submitted:
14 September 2024
Posted:
16 September 2024
You are already at the latest version
Abstract
Keywords:
1. Introduction
1.1. Urban Heat Island Effect and Limitations of Conventional Air Source Heat Pumps
1.2. Ground Source Heat Pump Systems: Applications and Benefits in Southeast Asia
1.3. Energy Piles: Geotechnical Aspects and System Components
1.4. Scope and Purpose
2. Heat Transfer Mechanisms in Energy Piles
2.1. Volumetric Heat Capacity
2.2. The Effective Thermal Conductivity and Diffusivity of the Ground
2.3. Ambient Ground Temperature
2.4. Heat Convection and Heat Conduction in Geomaterials
2.5. Heat Transfer Model
2.5.1. Thermal Borehole Thermal Resistance and G-Function
2.5.2. The Infinite Line Source (ILS) Model
2.5.3. The Cylindrical Source (CS) Model
2.5.4. The Finite Line Source (FLS) Model
3. Performance-Based Design of Energy Piles
3.1. Roles and Responsibilities of the Designer
3.2. Design Factors Affecting Energy Pile Thermal Performance
- (1)
- Site Conditions: The thermal performance of energy piles is significantly affected by site-specific conditions, including air and ground temperatures, which fluctuate seasonally and set the thermal boundaries for the system. The unique geological characteristics of a site, such as soil layering and hydrogeological properties, play a crucial role. For example, sandy soils typically have higher thermal conductivity than clayey soils, enhancing heat transfer efficiency. Groundwater flow, depending on its rate and direction, can either enhance or impede heat exchange. A thorough understanding of these conditions is essential for accurate thermal response testing and optimizing energy pile design to match site-specific characteristics.
- (2)
- Energy Pile Design: The structural design of energy piles, including the shape, size, and dimensions of the pile and the heat exchanger, affects the heat transfer process. Longer piles interact with a larger volume of soil, improving heat exchange capacity, while the pile diameter determines the available surface area for heat transfer. The quantity and configuration of heat exchange pipes within the pile (e.g., U-tube, double U-tube, or helical coil) also influence thermal efficiency. Simulation models are used to determine optimal pile dimensions and heat exchanger layouts, balancing thermal performance with structural requirements and cost.
- (3)
- Materials Used in Energy Piles: The thermal performance of energy piles depends on the materials used, particularly the concrete and the embedded heat exchanger pipes. Concrete with high thermal conductivity improves heat transfer between the pile and the surrounding soil. Heat exchanger pipes are typically made of high-density polyethylene (HDPE) due to its flexibility, durability, and resistance to thermal and mechanical stress.
- (4)
- Operation, Maintenance, and Optimization: Routine monitoring and maintenance of the system are crucial for detecting potential issues early, such as thermal imbalances or reduced heat transfer rates. Maintenance practices, such as flushing pipe circuits and ensuring proper functioning of heat pumps, help prevent efficiency losses. Optimization involves adjusting operational parameters like flow rates, temperature setpoints, and load balancing to ensure the system operates efficiently. Effective operational strategies can predict demand patterns and dynamically adjust system settings to maximize efficiency.
3.3. Heat Transfer Fluid Circulation Velocity
3.4. Heat Exchanger Shape Configuration
- (1)
- Performance Efficiency: The configuration should provide sufficient surface area and an optimal flow arrangement for the heat transfer fluid to maximize the temperature difference and overall efficiency of the energy piles.
- (2)
- Construction and Engineering Constraints: Practical considerations, such as space limitations within the piles, often dictate the final design. For example, single U-tube heat exchangers may be chosen over spiral configurations, despite their higher heat transfer potential, due to installation difficulties, especially in small diameter piles. Multi-U configurations are typically used for large diameter piles.
- (3)
- Operation and maintenance requirements: The design should consider the temperature ranges, pressure levels, and flow rates required for effective operation and maintenance. For example, shell-and-tube heat exchangers are preferred for high-pressure applications because of their rugged construction, while plate heat exchangers are preferred because of their ease of disassembly and cleaning.
3.5. Interconnection of Individual Energy Piles
3.6. Shank Space Configuration
3.7. Materials for Piles and Grout
3.8. Thermomechanical Behavior of Energy Piles
- (1)
- Free expansion conditions: In this scenario, the energy pile is allowed to expand (positive sign) or contract (negative sign) from its original length L by an amount ΔL both vertically and radially without any soil resistance. Under these conditions, the thermally induced strain (εthermal) is generated by temperature changes (ΔT), while the thermally induced stress is zero. The thermally induced strain is given by Equation (14).
- (2)
- Totally Restrained Conditions: In this scenario, the energy pile is restrained from movement when exposed to temperature changes, such as when the pile tip is embedded in a hard soil layer and the supported structure above is very stiff. Here, the thermally induced strain or motion becomes zero, but a thermally induced stress (σthermal) is generated within the pile. This stress is defined by Equation (16).
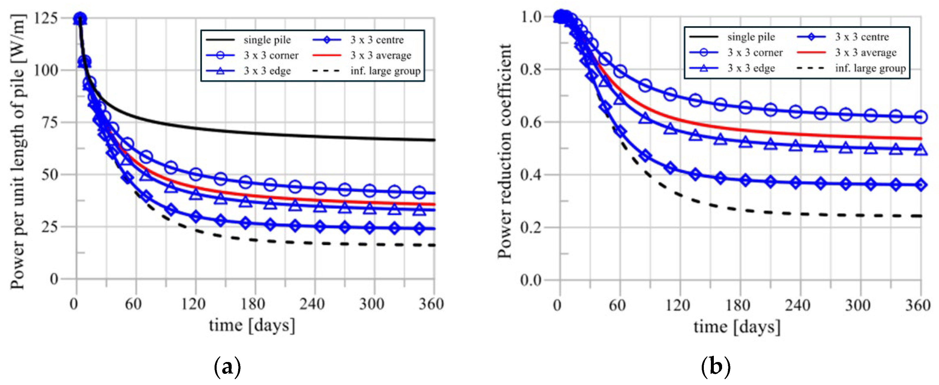
3.9. Thermal Penalty of Energy Pile Groups
4. Field Experience from the Construction of Energy Piles
- (1)
- Double Pressurization of HDPE Pipes Before Pouring Concrete:
- (2)
- Installing Temperature Sensors and Auxiliary Equipment:
- (3)
- Managing Groundwater Seepage and Curing Time:
- (4)
- Pump design and flow management:
5. Measuring the Performance and Efficiency of Energy Piles
5.1. Coefficient of Performance and Seasonal Coefficient of Performance (COP/SCOP)
5.2. Energy Efficiency Ratio and Seasonal Energy Efficiency Ratio (EER/SEER)
5.3. The Seasonal Performance Factor (SPF)
6. Environmental Impact of Energy Piles
6.1. Thermal Cyclic Effect on Pile Capacity
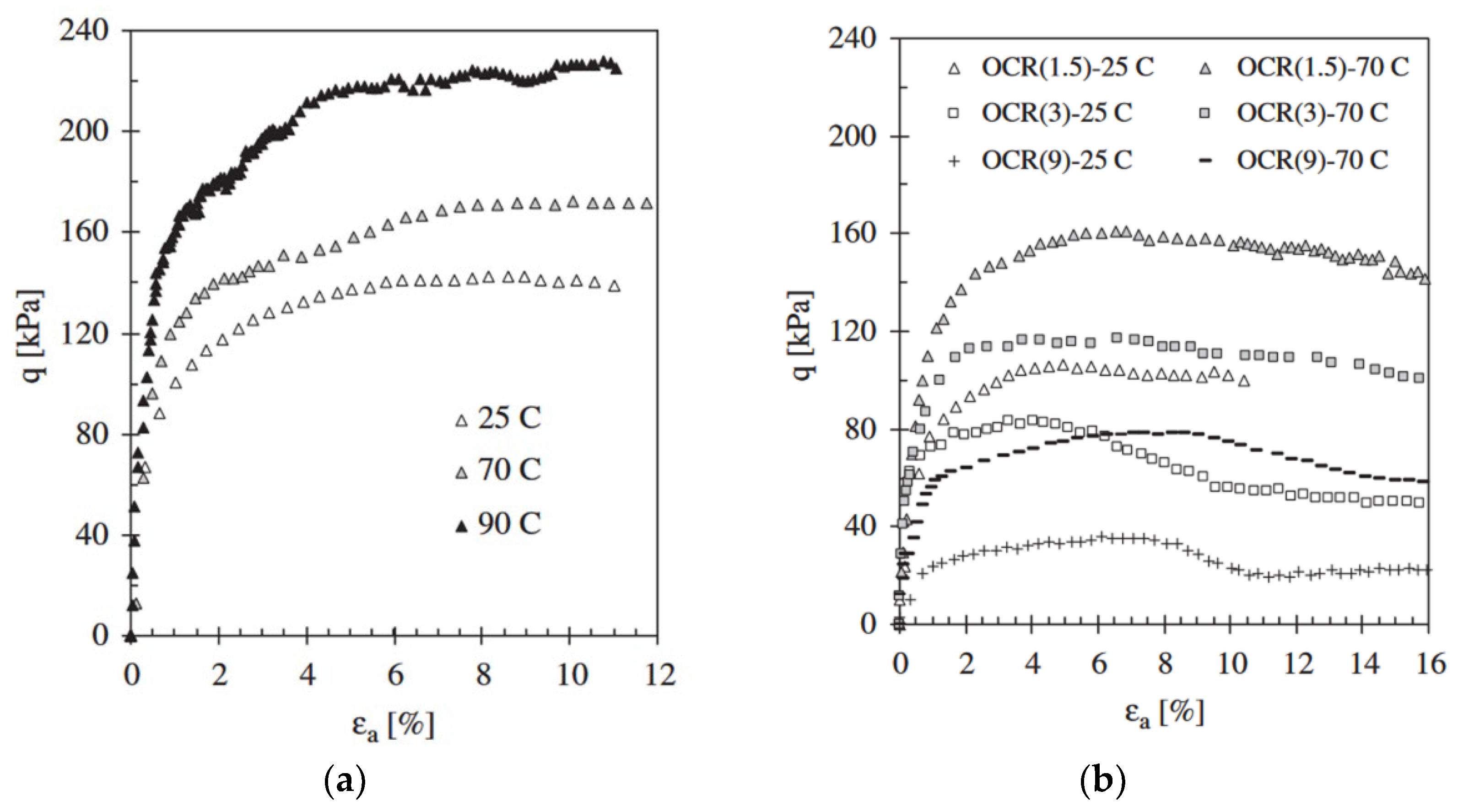
6.2. Thermal Cyclic Effect on Soil Shear Strength
6.3. Thermal Cyclic Effect on Volume Changes and Consolidation
6.4. Thermal Cyclic Effect on Permeability and Pore-Water Pressure
7. Economic Evaluation for Energy Piles
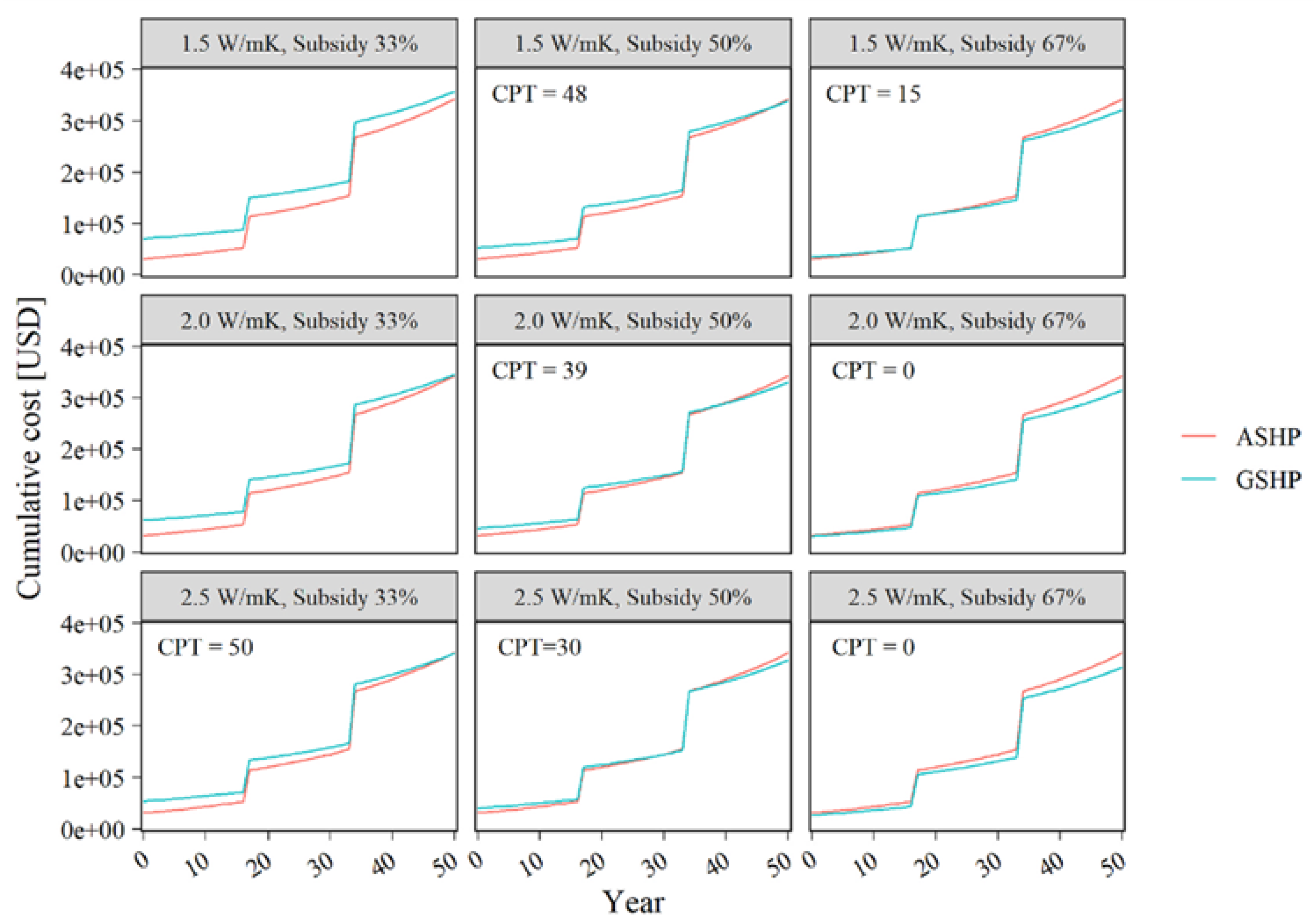
7.1. Life Cycle Cost Analysis (LCCA) Method
7.2. Simple Payback Period (SPBP) Method
7.3. Required Rate of Return (RRR), Net Present Value (NPV), and Internal Rate of Return (IRR) Methods
7.4. Levelized Cost of Energy (LCOE) Method
7.5. Government Support and Policy Initiatives
8. Conclusions
Author Contributions
Funding
Data Availability Statement
Conflicts of Interest
References
- Oke, T. The Energetic Basis of Urban Heat Island. Quarterly Journal of the Royal Meteorological Society 1982, 108, 1–24. [CrossRef]
- Arnfield, A. Two Decades of Urban Climate Research: A Review of Turbulence, Exchanges of Energy and Water, and the Urban Heat Island. International Journal of Climatology 2003, 23, 1–26. [CrossRef]
- Sun, Y.; Augenbroe, G. Urban Heat Island Effect on Energy Application Studies of Office Buildings. Energy and Buildings 2014, 77, 171–179. [CrossRef]
- Li, X.; Zhou, Y.; Yu, S.; Jia, G.; Li, H.; Li, W. Urban Heat Island Impacts on Building Energy Consumption: A Review of Approaches and Findings. Energy 2019, 174, 407–419. [CrossRef]
- Zoelly, H. Patent number CH59350A. Heating Method 1913. Switzerland. https://patents.google.com/patent/CH59350A/en (accessed on 21-07-2024).
- Widiatmojo, A.; Chokchai, S.; Takashima, I.; Uchida, Y.; Yasukawa, K.; Chotpantarat, S.; Charusiri, P. Ground-Source Heat Pumps with Horizontal Heat Exchangers for Space Cooling in the Hot Tropical Climate of Thailand. Energies 2019, 12, 1274. [CrossRef]
- Shimada, Y.; Uchida, Y.; Takashima, I.; Chotpantarat, s; Widiatmojo, A.; Chokchai, S.; Charusiri, P.; Kurishima, H.; Tokimatsu, K. A Study on the Operational Condition of a Ground Source Heat Pump in Bangkok Based on a Field Experiment and Simulation. Energies 2020, 13, 274. [CrossRef]
- Sittidumrong, J.; Jotisankasa, A.; Chantawarangul, K. Effect of Thermal Cycles on Volumetric Behaviour of Bangkok Sand. Geomechanics for Energy and the Environment 2019, 20, 100127. [CrossRef]
- Chanchayanon, T.; Chaiprakaikeow, S.; Jotisankasa, A.; Inazumi, S. Optimization of geothermal heat pump systems for sustainable urban development in Southeast Asia. Smart Cities 2024, 7(3), 1390-1413. [CrossRef]
- Fleming, K.; Weltman, A.; Randolph, M.; Elson, K. Piling Engineering, Third Edition; Taylor & Francis: Milton, United Kingdom. 2008; ISBN 978-0-203-93764-8.
- Carotenuto, A.; Marotta, P.; Massarotti, N.; Mauro, A.; Normino, G. Energy Piles for Ground Source Heat Pump Applications: Comparison of Heat Transfer Performance for Different Design and Operating Parameters. Applied Thermal Engineering 2017, 124. [CrossRef]
- Hu, Z.; Geng, S.; Huang, Y.; Ge, F.; Wang, Y. Heat Storage Characteristics and Application Analysis of Heat Source Tower in Soil Thermal Balance of Ground Source Heat Pump. Energy and Buildings 2021, 235, 110752. [CrossRef]
- Laloui, L.; Donna, A.D. Energy Geostructures: Innovation in Underground Engineering; John Wiley & Sons, 2013; ISBN 978-1-118-76176-2.
- Laloui, L.; Loria, A.F.R. Analysis and Design of Energy Geostructures: Theoretical Essentials and Practical Application; Academic Press, 2019; ISBN 978-0-12-816598-0.
- Advances in Ground-Source Heat Pump Systems; Rees, S.J., Ed.; Woodhead Publishing, 2016; ISBN 978-0-08-100311-4.
- Florides, G.A.; Kalogirou, S.A. Annual Ground Temperature Measurements at Various Depths, In Proceedings of the Proceedings of CLIMA 2005, Lausanne, Switzerland. 9 - 12 October 2005.
- Kalogirou, S.; Florides, G. Measurements of Ground Temperature at Various Depths. In Proceedings of the 3rd International Conference on Sustainable Energy Technologies; Nottingham, United Kingdom, December 2003.
- Taniguchi, M.; Shimada, J.; Fukuda, Y.; Yamano, M.; Onodera, S.; Kaneko, S.; Yoshikoshi, A. Anthropogenic Effects on the Subsurface Thermal and Groundwater Environments in Osaka, Japan and Bangkok, Thailand. Science of The Total Environment 2009, 407, 3153–3164. [CrossRef]
- Taniguchi, M.; Uemura, T. Effects of Urbanization and Groundwater Flow on the Subsurface Temperature in Osaka, Japan. Physics of the Earth and Planetary Interiors 2005, 152, 305–313. [CrossRef]
- Taniguchi, M.; Uemura, T.; Jago-on, K.A. Combined Effects of Urbanization and Global Warming on Subsurface Temperature in Four Asian Cities. Vadose Zone Journal - VADOSE ZONE J 2007, 6. https://doi.org/10.2136/vzj2006.0094.
- Sato, Y.; Kumagai, T.; Saitoh, T.M.; Suzuki, M. Characteristics of Soil Temperature and Heat Flux within a Tropical Rainforest, Lambir Hills National Park, Sarawak, Malaysia. Bulletin of the Institute of Tropical Agriculture, Kyushu University 2004, 27, 55–63, https://doi.org/10.11189/bita.27.55.
- Howard, E.; Thomas, S.; Frame, T.H.A.; Gonzalez, P.L.M.; Methven, J.; Martínez-Alvarado, O.; Woolnough, S.J. Weather Patterns in Southeast Asia: Relationship with Tropical Variability and Heavy Precipitation. Quarterly Journal of the Royal Meteorological Society 2022, 148, 747–769. [CrossRef]
- Endo, N.; Matsumoto, J.; Lwin, T. Trends in Precipitation Extremes over Southeast Asia. Sola 2009, 5, 168–171. [CrossRef]
- Ratchawang, S.; Chotpantarat, S.; Chokchai, S.; Takashima, I.; Uchida, Y.; Charusiri, P. A Review of Ground Source Heat Pump Application for Space Cooling in Southeast Asia. Energies 2022, 15, 4992. [CrossRef]
- Chokchai, S.; Chotpantarat, S.; Takashima, I.; Uchida, Y.; Widiatmojo, A.; Yasukawa, K.; Charusiri, P. A Pilot Study on Geothermal Heat Pump (GHP) Use for Cooling Operations, and on GHP Site Selection in Tropical Regions Based on a Case Study in Thailand. Energies 2018, 11, 2356. [CrossRef]
- Yang, Y.-L.; Zhang, T.; Liu, S.-Y. Influence Factor Analysis and Calculation Model for Thermal/Electrical Resistivity of Geomaterials. Measurement 2020, 152, 107373. [CrossRef]
- Rizvi, Z.; Shoarian Sattari, A.; Wuttke, F. Numerical Analysis of Heat Conduction in Granular Geo-Material Using Lattice Element Method. In; 2016; pp. 367–371 ISBN 978-1-138-03299-6.
- Liu, Z.; Gong, D.; Wang, L. Heat Transfer with Kinetic Phase Transition in Geomaterials. International Journal of Heat and Mass Transfer 2021, 167, 120826. [CrossRef]
- Tomac, I.; Gutierrez, M. Formulation and Implementation of Coupled Forced Heat Convection and Heat Conduction in DEM. Acta Geotech. 2015, 10, 421–433, https://doi.org/10.1007/s11440-015-0400-1.
- Lamarche, L. Analytical g-Function for Inclined Boreholes in Ground-Source Heat Pump Systems. Geothermics 2011, 40, 241–249, https://doi.org/10.1016/j.geothermics.2011.07.006.
- Thomson, W. Heat. In Encyclopaedia Britannica.; Adam and Charles Black: Edinburgh., 1880.
- Thomson, W. Compendium of the Fourier Mathematics for the Conduction of Heat in Solids, and the Mathematically Allied Physical Subjects of Diffusion of Fluids, and Transmission of Electric Signals Through Submarine Cables. In Mathematical and Physical Papers; University Press: Cambridge, 1884; Vol. 2, p. Article 72. Page 41-60.
- Carslaw, H.S.; Jaeger, J.C. Conduction of Heat in Solids; 2nd ed.; Clarendon Press: Oxford, United Kingdom.
- Ingersoll, L.R.; Plass, H.J. Theory of Ground Pipe Heat Source for the Heat Pump. Heating Piping and Air Conditioning 1948, 20, 119–122.
- Whitehead, S. Determining Temperature Distribution e a Contribution to the Evaluation of the Flow of Heat in Isotropic Media. The Electrician 1927, 225–226.
- Li, M.; Lai, A.C.K. Review of Analytical Models for Heat Transfer by Vertical Ground Heat Exchangers (GHEs): A Perspective of Time and Space Scales. Applied Energy 2015, 151, 178–191. [CrossRef]
- Lamarche, L.; Beauchamp, B. A New Contribution to the Finite Line-Source Model for Geothermal Boreholes. Energy and Buildings 2007, 39, 188–198. [CrossRef]
- Claesson, J.; Javed, S. A Load-Aggregation Method to Calculate Extraction Temperatures of Borehole Heat Exchangers. ASHRAE Winter Conference, Chicago, Il, USA. 2012, Vol. 118, pp. 530–539. 2012.
- Ground Source Heat Pump Association National Energy Centre. Thermal Pile Design, Installation & Materials Standards; Davy Avenue, Knowlhill, Milton Keynes MK5 8NG, United Kingdom, 2012.
- Mehrizi, A.A.; Porkhial, S.; Bezyan, B.; Lotfizadeh, H. Energy Pile Foundation Simulation for Different Configurations of Ground Source Heat Exchanger. International Communications in Heat and Mass Transfer 2016, 70, 105–114. [CrossRef]
- Tian, W.; Cheng, X.; Liu, Z.; Wei, Q.; Wang, T.; Guo, H. Heat Exchange Performance of an Energy-Pile Group in a Hybrid GSHP System and Effects of Pile Spacing. Energy and Buildings 2024, 316, 114347. [CrossRef]
- 2011 ASHRAE Handbook: Heating, Ventilating, and Air-Conditioning Applications; American Society of Heating, Refrigerating and Air-Conditioning Engineers, 2011.
- Vella, C.; Borg, S.P.; Micallef, D. The Effect of Shank-Space on the Thermal Performance of Shallow Vertical U-Tube Ground Heat Exchangers. Energies 2020, 13, 602, https://doi.org/10.3390/en13030602.
- ACI Committee 213, 213R-03: Guide for Structural Lightweight-Aggregate Concrete Report, American Concrete Institute, 2003.
- ASTM C0177-19 Standard Test Method for Steady-State Heat Flux Measurements and Thermal Transmission Properties by Means of the Guarded-Hot-Plate Apparatus 2023.
- Asadi, I.; Shafigh, P.; Abu Hassan, Z.F.B.; Mahyuddin, N.B. Thermal Conductivity of Concrete – A Review. Journal of Building Engineering 2018, 20, 81–93, https://doi.org/10.1016/j.jobe.2018.07.002.
- Wang, H.; Zhao, P.; Li, X.; Wang, X.; Bian, X. A Study on the Softening Shear Model of the Energy Pile–Soil Contact Surface. Applied Sciences 2024, 14, 1072, https://doi.org/10.3390/app14031072.
- Concrete Reinforcing Steel Institute; Fanella, D. Design Guide on the ACI 318 Building Code Requirements for Structural Concrete: A Comprehensive Guide Based on ACI 318-19 to Assist Design Professionals on the Design and Detailing of Reinforced Concrete Buildings; Concrete Reinforcing Steel Institute, 2020; ISBN 978-1-943961-51-1.
- Liu, R.Y.W.; Taborda, D.M.G. The Effects of Thermal Interference on the Thermal Performance of Thermo-Active Pile Groups. Renewable Energy 2024, 225, 120357. [CrossRef]
- Jotisankasa, A.; Chantawarangul, K.; Sittidumrong, J.; Thangkhumwong, K.; Aowphitak, P.; Laohasrisakul, P.; Chanchayanon, T.; Aonkam, S.; Satayanan, S. Investigation of the Feasibility of Energy Piles in Bangkok and Their Impacts on Pile Behavior. E3S Web of Conferences 2020, 205, 05018. [CrossRef]
- Air-Conditioning, Heating, and Refrigeration Institute. AHRI 210/240-2024 (I-P) Performance Rating of Unitary Air-Conditioning and Air-Source Heat Pump Equipment; Arlington, VA, USA, 2024.
- Kang, E.; Riederer, P.; Yoo, S.-Y.; Lee, E. New Approach to Evaluate the Seasonal Performance of Building Integrated Geothermal Heat Pump System. Renewable Energy 2013, 54, 51–54. [CrossRef]
- Brandl, H. Energy Foundations and Other Thermo-Active Ground Structures. Geotechnique 2006, 56, 81–122. [CrossRef]
- Luo, J.; Rohn, J.; Bayer, M.; Priess, A.; Wilkmann, L.; Xiang, W. Heating and Cooling Performance Analysis of a Ground Source Heat Pump System in Southern Germany. Geothermics 2015, 53, 57–66. [CrossRef]
- Qiao, Z.; Long, T.; Li, W.; Zeng, L.; Li, Y.; Lu, J.; Cheng, Y.; Xie, L.; Yang, L. Performance Assessment of Ground-Source Heat Pumps (GSHPs) in the Southwestern and Northwestern China: In Situ Measurement. Renewable Energy 2020, 153, 214–227. [CrossRef]
- Wang, D.; Lu, L.; Cui, P. Numerical Simulation of Pile Geothermal Heat Exchanger with Spiral Tube Considering Its Thermo-Mechanical Behavior. In Proceedings of the Proceedings of the IGSHPA Technical/Research Conference and Expo 2017; International Ground Source Heat Pump Association: Denver, USA, March 14 2017.
- Abuel-Naga, H.M.; Bergado, D.T.; Chaiprakaikeow, S. Innovative Thermal Technique for Enhancing the Performance of Prefabricated Vertical Drain during the Preloading Process. Geotextiles and Geomembranes 2006, 24, 359–370. [CrossRef]
- Hoseinimighani, H.; Szendefy, J. A Review on Mechanisms of Thermally Induced Volume Changes in Fine Soil. Minerals 2022, 12, 572. [CrossRef]
- Burghignoli, A.; Desideri, A.; Miliziano, S. A Laboratory Study on the Thermomechanical Behaviour of Clayey Soils. Can. Geotech. J. 2000, 37, 764–780. [CrossRef]
- Cekerevac, C.; Laloui, L. Experimental Analysis of the Cyclic Behaviour of Kaolin at High Temperature. Géotechnique 2010, 60, 651–655. [CrossRef]
- Cekerevac, C.; Laloui, L. Experimental Study of Thermal Effects on the Mechanical Behaviour of a Clay. Num Anal Meth Geomechanics 2004, 28, 209–228. [CrossRef]
- Laloui, L.; Cekerevac, C. Thermo-Plasticity of Clays: An Isotropic Yield Mechanism. Computers and Geotechnics 2003, 30, 649–660. [CrossRef]
- Abuel-Naga, H.M.; Bergado, D.T.; Bouazza, A. Thermal Conductivity of Soft Bangkok Clay. In Proceedings of the GeoCongress 2008; American Society of Civil Engineers: New Orleans, Louisiana, United States, March 7 2008; pp. 1061–1068.
- Bergado, D.T.; Soralump, S. Thermal Consolidation of Soft Bangkok Clay. Lowland Technology International 2005, 7.
- Bidarmaghz, A.; Narsilio, G.A. Shallow Geothermal Energy: Emerging Convective Phenomena in Permeable Saturated Soils. Géotechnique Letters 2016, 6, 119–123. [CrossRef]
- Lee, C.K.; Lam, H.N. Computer Simulation of Borehole Ground Heat Exchangers for Geothermal Heat Pump Systems. Renewable Energy 2008, 33, 1286–1296. [CrossRef]
- Shimada, Y.; Tokimatsu, K.; Uchida, Y.; Kurishima, H. Environmental Compatibility and Economic Feasibility of Ground Source Heat Pumps in Tropical Asia Regarding Lifecycle Aspects: A Case Study in Bangkok, Thailand. Renewable Energy 2024, 223, 119896. [CrossRef]
- Geng, Y.; Sarkis, J.; Wang, X.; Zhao, H.; Zhong, Y. Regional Application of Ground Source Heat Pump in China: A Case of Shenyang. Renewable and Sustainable Energy Reviews 2013, 18, 95–102. [CrossRef]
- Liu, X.; Lu, S.; Hughes, P.; Cai, Z. A Comparative Study of the Status of GSHP Applications in the United States and China. Renewable and Sustainable Energy Reviews 2015, 48, 558–570. [CrossRef]
- Cui, Y.; Zhu, J.; Twaha, S.; Chu, J.; Bai, H.; Huang, K.; Chen, X.; Zoras, S.; Soleimani, Z. Techno-Economic Assessment of the Horizontal Geothermal Heat Pump Systems: A Comprehensive Review. Energy Conversion and Management 2019, 191, 208–236. [CrossRef]































| Materials | Volumetric heat capacity, ρcp (MJ/m3·°C) | |
|---|---|---|
| Dry | Saturated | |
| Clay | 1.5 to 1.6 | 1.6 to 3.4 |
| Silt | 1.5 to 1.6 | 1.6 to 3.4 |
| Sand | 1.3 to 1.6 | 2.2 to 2.9 |
| Gravel | 1.4 to 1.6 | 2.4 |
| Materials | Effective thermal conductivity, λeff (W/m·°C) | |
|---|---|---|
| Dry | Saturated | |
| Clay | 0.2 to 0.3 | 1.1 to 1.6 |
| Silt | 0.2 to 0.3 | 1.2 to 2.5 |
| Sand | 0.3 to 0.4 | 1.7 to 3.2 |
| Gravel | 0.3 to 0.4 | 1.8 to 3.3 |
| Index | ASHP | GSHP |
|---|---|---|
| COP | 2.5 to 4.0 | 3.1 to 5.0 |
| SCOP | 2.5 to 3.5 | 3.5 to 4.5 |
| EER | 8.0 to 12.0 | 14.0 to 20.0 |
| SEER | 13.0 to 20.0 | to 30.0 |
Disclaimer/Publisher’s Note: The statements, opinions and data contained in all publications are solely those of the individual author(s) and contributor(s) and not of MDPI and/or the editor(s). MDPI and/or the editor(s) disclaim responsibility for any injury to people or property resulting from any ideas, methods, instructions or products referred to in the content. |
© 2024 by the authors. Licensee MDPI, Basel, Switzerland. This article is an open access article distributed under the terms and conditions of the Creative Commons Attribution (CC BY) license (http://creativecommons.org/licenses/by/4.0/).