Submitted:
13 September 2024
Posted:
16 September 2024
You are already at the latest version
Abstract
Keywords:
1. Introduction
- An adaptive sliding mode trajectory tracking controller is proposed for the uncertain QUAV, ensuring globally uniformly ultimate boundedness(UUB) despite disturbances, input saturation, and parameter uncertainties.
- To address parameter uncertainties, adaptive laws are developed to estimate the quadrotor’s mass and unknown constants related to the moment of inertia. These adaptive laws are integrated into the control scheme, allowing the controller to compensate for external disturbances and input saturation without requiring prior knowledge of the quadrotor’s physical properties.
- The method also incorporates disturbance observers and auxiliary systems, designed to function without prior knowledge of the quadrotor’s mass and moments of inertia. This enables the system to effectively handle unknown disturbances and input saturation, ensuring robust adaptive path tracking performance under uncertain conditions.
2. Mathematical Model of Quadrotor
3. Control Design
3.1. Position Subsystem Adaptive Control
3.2. Attitude Subsystem Adaptive Control
4. Simulation Study
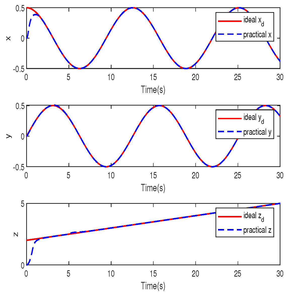
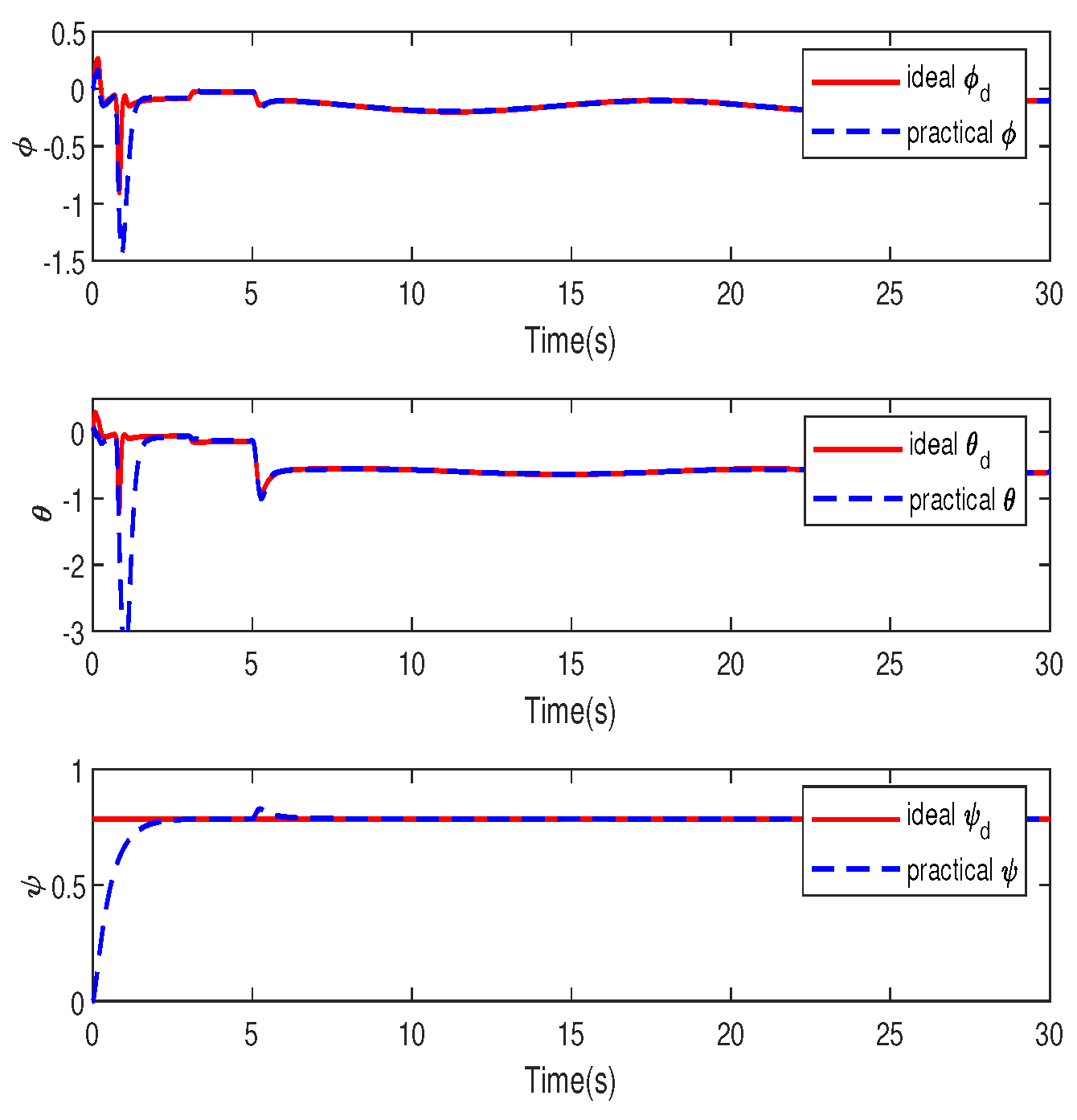
A. Robustness to Constant Disturbances
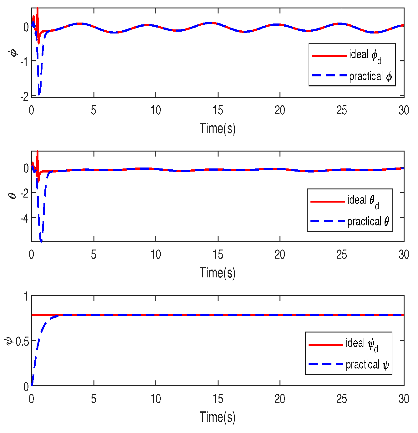
B. Robustness to Time-Varying Disturbances
5. Conclusions
Author Contributions
Funding
Data Availability Statement
Conflicts of Interest
References
- Kendoul, F.; Yu, Z.; Nonami, K. "Guidance and nonlinear control system for autonomous flight of minirotorcraft unmanned aerial vehicles". Journal of Field Robotics 2010, 27, 311–334. [CrossRef]
- Nagaty, A.; Saeedi, S.; Thibault, C.; Seto, M.; Li, H. "Control and navigation framework for quadrotor helicopters". Journal of intelligent & robotic systems 2013, 70, 1–12. [CrossRef]
- Gupte, S.; Mohandas, P.I.T.; Conrad, J.M. "A survey of quadrotor unmanned aerial vehicles". 2012 Proceedings of IEEE Southeastcon 2012, pp. 1–6. [CrossRef]
- Antonio-Toledo, M.E.; Sanchez, E.N.; Alanis, A.Y.; Flórez, J.; Perez-Cisneros, M.A. "Real-time integral backstepping with sliding mode control for a quadrotor UAV". IFAC-PapersOnLine 2018, 51, 549–554. [CrossRef]
- Jia, Z.; Yu, J.; Mei, Y.; Chen, Y.; Shen, Y.; Ai, X. "Integral backstepping sliding mode control for quadrotor helicopter under external uncertain disturbances". Aerospace Science and Technology 2017, 68, 299–307. [CrossRef]
- Zhou, L.; Zhang, J.; Dou, J.; Wen, B. "A fuzzy adaptive backstepping control based on mass observer for trajectory tracking of a quadrotor UAV". International journal of adaptive control and signal processing 2018, 32, 1675–1693. [CrossRef]
- Labbadi, M.; Cherkaoui, M. "Robust adaptive backstepping fast terminal sliding mode controller for uncertain quadrotor UAV". Aerospace Science and Technology 2019, 93, 105306. [CrossRef]
- Zhang, J.; Ren, Z.; Deng, C.; Wen, B. "Adaptive fuzzy global sliding mode control for trajectory tracking of quadrotor UAVs". Nonlinear Dynamics 2019, 97, 609–627. [CrossRef]
- Razmi, H.; Afshinfar, S. "Neural network-based adaptive sliding mode control design for position and attitude control of a quadrotor UAV". Aerospace Science and technology 2019, 91, 12–27. [CrossRef]
- Xiong, J.J.; Zheng, E.H. "Position and attitude tracking control for a quadrotor UAV". ISA transactions 2014, 53, 725–731. [CrossRef]
- Labbadi, M.; Cherkaoui, M. "Adaptive fractional-order nonsingular fast terminal sliding mode based robust tracking control of quadrotor UAV with Gaussian random disturbances and uncertainties". IEEE Transactions on Aerospace and Electronic Systems 2021, 57, 2265–2277. [CrossRef]
- Nguyen, L.V.; Phung, M.D.; Ha, Q.P. "Iterative learning sliding mode control for UAV trajectory tracking. Electronics 2021, 10, 2474. [CrossRef]
- Ohnishi, K. "A new servo method in mechatronics". Trans. of Japanese Society of Electrical Engineering, D 1987, 177, 83–86.
- Chen, W.H. "Disturbance observer based control for nonlinear systems". IEEE/ASME transactions on mechatronics 2004, 9, 706–710. [CrossRef]
- Zhang, H.; Wei, X.; Karimi, H.R.; Han, J. "Anti-disturbance control based on disturbance observer for nonlinear systems with bounded disturbances". Journal of the Franklin Institute 2018, 355, 4916–4930. [CrossRef]
- Wang, H.; Chen, M. "Trajectory tracking control for an indoor quadrotor UAV based on the disturbance observer". Transactions of the Institute of Measurement and Control 2016, 38, 675–692. [CrossRef]
- Sun, N.; Yang, T.; Fang, Y.; Wu, Y.; Chen, H. "Transportation control of double-pendulum cranes with a nonlinear quasi-PID scheme: Design and experiments". IEEE Transactions on Systems, Man, and Cybernetics: Systems 2018, 49, 1408–1418. [CrossRef]
- Wang, R.; Liu, J. "Trajectory tracking control of a 6-DOF quadrotor UAV with input saturation via backstepping". Journal of the Franklin Institute 2018, 355, 3288–3309. [CrossRef]
- Liu, K.; Wang, X.; Wang, R.; Sun, G.; Wang, X. "Antisaturation finite-time attitude tracking control based observer for a quadrotor". IEEE Transactions on Circuits and Systems II: Express Briefs 2020, 68, 2047–2051. [CrossRef]
- Castañeda, H.; Rodriguez, J.; Gordillo, J.L. "Continuous and smooth differentiator based on adaptive sliding mode control for a quad-rotor MAV". Asian Journal of Control 2021, 23, 661–672. [CrossRef]
- Simoud, L.; Kadri, B.; Bousserhane, I.K. "Adaptive fuzzy-sliding mode controller for trajectory tracking control of quad-rotor". Journal of Automation Mobile Robotics and Intelligent Systems 2020, 14, 15–24. [CrossRef]
- Guo, Y.; Wu, M.; Tang, K.; Wang, X. "Integral back-stepping algorithm for designing the quadrotor aircraft controller". Chin. J. Intell. Sci. Technol 2019, 1, 133–139.
- Li, Y.; Tong, S.; Li, T. "Adaptive fuzzy output-feedback control for output constrained nonlinear systems in the presence of input saturation". Fuzzy Sets and Systems 2014, 248, 138–155. [CrossRef]
- Li, S.; Yang, J.; Chen, W.H.; Chen, X. "Disturbance observer-based control: methods and applications"; CRC press, 2014.
- Yu, J.; Shi, P.; Dong, W.; Yu, H. "Observer and command-filter-based adaptive fuzzy output feedback control of uncertain nonlinear systems". IEEE Transactions on Industrial Electronics 2015, 62, 5962–5970. [CrossRef]
- Pu, M.; Wu, Q.; Jiang, C.; Cheng, L. Application of adaptive second-order dynamic terminal sliding mode control to near space vehicle. Journal of Aerospace Power 2010, 25, 1169–1176.
- Zhang, R.; Ji, H. Robust Adaptive Trajectory Tracking Control for Uncertain Quadrotor Unmanned Aerial Vechicles in the Presence of Actuator Saturation. In Proceedings of the 2020 5th International Conference on Control and Robotics Engineering (ICCRE). IEEE, 2020, pp. 104–108. [CrossRef]
- Yang, Q.; Chen, M. "Adaptive neural prescribed performance tracking control for near space vehicles with input nonlinearity". Neurocomputing 2016, 174, 780–789. [CrossRef]
- Boskovic, J.D.; Chen, L.; Mehra, R.K. "Adaptive control design for nonaffine models arising in flight control". Journal of guidance, control, and dynamics 2004, 27, 209–217. [CrossRef]










| parameter | Symbol | Magnitude |
|---|---|---|
| Mass | m | 2 |
| Airframe inertia of roll | Jx | 0.02 |
| Airframe inertia of pitch | Jy | 0.02 |
| Airframe inertia of yaw | Jz | 0.04 |
| Distance | l | 0.2 |
| Gravity | g | 9.8 |
| parameter | Magnitude |
|---|---|
| diag([2 2 2]) | |
| diag([20 20 20]) | |
| diag([2 2 2]) | |
| diag([10 10 10]) | |
| diag([15 15 15]) | |
| [0.2 0.2 0.2 0.2] | |
| [0.5 0.5 0.5 0.5] | |
| diag([18 18 18]) | |
| diag([30 30 30]) | |
| diag([5 5 5]) | |
| diag([10 10 10]) | |
| diag([15 15 15]) |
Disclaimer/Publisher’s Note: The statements, opinions and data contained in all publications are solely those of the individual author(s) and contributor(s) and not of MDPI and/or the editor(s). MDPI and/or the editor(s) disclaim responsibility for any injury to people or property resulting from any ideas, methods, instructions or products referred to in the content. |
© 2024 by the authors. Licensee MDPI, Basel, Switzerland. This article is an open access article distributed under the terms and conditions of the Creative Commons Attribution (CC BY) license (http://creativecommons.org/licenses/by/4.0/).
