Submitted:
10 September 2024
Posted:
11 September 2024
You are already at the latest version
Abstract
Keywords:
1. Introduction
2. Materials and Methods
2.1. Herds and AMS
2.2. Milking Dynamic Control
2.2. Data Recording and Statistical Analysis
3. Results
3.1. Data Description
3.2. Main Milking Parameters
3.3. Parameters Associated with Mastitis Risk
3.4. Frequencies of Bimodality and Irregular Vacuum Fluctuations
4. Discussion
5. Conclusions
Author Contributions
Funding
Institutional Review Board Statement
Data Availability Statement
Acknowledgments
Conflicts of Interest
References
- Sharipov, D.R.; Yakimov, O.A.; Gainullina, M.K.; Kashaeva, A.R.; Kamaldinov, I.N.; Iop. Development of automatic milking systems and their classification. In Proceedings of the International Conference on Engineering Studies and Cooperation in Global Agricultural Production, Azov Black Sea Engn Inst Zernograd, Zernograd, RUSSIA, Aug 27-28, 2020. [CrossRef]
- Hamann, J.; Burvenich, C.; Bramley, A.J.; Osteras, O.; Woolford, M.; Woyke, M.; Haider, W.; Mayntz, M.; Ledu, J. Teat tissue reactions to machine milking and new infection risk. Bulletin of the International Dairy Federation 1994, 297, 1-43.
- Zecconi, A.; Hamann, J. Interpretation of machine effects on bovine teat tissues defence mechanisms. Milchwissenschaft 2006, 61, 356-359.
- Zecconi, A. Contagious mastitis control. FIL-IDF Bulletin 2007, 416, 34-40.
- Hamann, J. Guidelines for the evaluation of the milking process. Bulletin of the International Dairy Federation 1997, 321, 26-30.
- Tancin, V.; Bruckmaier, R.M. Factors affecting milk ejection and removal during milking and suckling of dairy cows. Veterinarni Medicina 2001, 46, 108-118. [CrossRef]
- Martin, T.; Gasselin, P.; Hostiou, N.; Feron, G.; Laurens, L.; Purseigle, F.; Ollivier, G. Robots and transformations of work in farm: a systematic review of the literature and a research agenda. Agron. Sustain. Dev. 2022, 42, 20. [CrossRef]
- Bijl, R.; Kooistra, S.R.; Hogeveen, H. The Profitability of Automatic Milking on Dutch Dairy Farms. Journal of Dairy Science 2007, 90, 239-248. [CrossRef]
- Jacobs, J.A.; Siegford, J.M. The impact of automatic milking systems on dairy cow management, behavior, health, and welfare. Journal of Dairy Science 2012, 95, 2227-2247. [CrossRef]
- Hansen, B.G.; Herje, H.O.; Höva, J. Profitability on dairy farms with automatic milking systems compared to farms with conventional milking systems. International Food and Agribusiness Management Review 2019, 22, 215-228. [CrossRef]
- Múnera-Bedoya, O.D.; Cassoli, L.D.; Machado, P.F.; Cerón-Muñoz, M.F. Influence of attitudes and behavior of milkers on the hygienic and sanitary quality of milk. PLOS ONE 2017, 12, e0184640. [CrossRef]
- Dufour, S.; Fréchette, A.; Barkema, H.W.; Mussell, A.; Scholl, D.T. <em>Invited review:</em> Effect of udder health management practices on herd somatic cell count. Journal of Dairy Science 2011, 94, 563-579. [CrossRef]
- Tarabla, H.D.; Dodd, K. Associations between farmers’ personal characteristics, management practices and farm performance. British Veterinary Journal 1990, 146, 157-164. [CrossRef]
- Kuczaj, M.; Mucha, A.; Kowalczyk, A.; Mordak, R.; Czerniawska-Piatkowska, E. Relationships between Selected Physiological Factors and Milking Parameters for Cows Using a Milking Robot. Animals 2020, 10, 12. [CrossRef]
- Chikurtev, D.; Chikurteva, A.; Blagoeva, E. Technological Analysis of Types of Milking Systems and Robots: A Review. Cham, 2024; pp. 575-584.
- Bruckmaier, R.M.; Wellnitz, O. Induction of milk ejection and milk removal in different production systems. Journal of Animal Science 2008, 86, 15-20. [CrossRef]
- Odorcic, M.; Rasmussen, M.D.; Paulrud, C.O.; Bruckmaier, R.M. Review: Milking machine settings, teat condition and milking efficiency in dairy cows. Animal 2019, 13, S94-S99. [CrossRef]
- Castro, A.; Pereira, J.M.; Amiama, C.; Bueno, J. Estimating efficiency in automatic milking systems. Journal of Dairy Science 2012, 95, 929-936. [CrossRef]
- Pezzuolo, A.; Cillis, D.; Marinello, F.; Sartori, L. Estimating efficiency in automatic milking systems. In Proceedings of the 16th International Scientific Conference on Engineering for Rural Development, Latvia Univ Agr, Fac Engn, Jelgava, LATVIA, May 24-26, 2017; pp. 736-741. [CrossRef]
- Goodger, W.J.; Galland, J.C.; Christiansen, V.E. Survey of milking management practices on large dairy dairies and their relationship to udder health and production variables. J Dairy Sci 1988, 71, 2535-2542. [CrossRef]
- Vetter, A.; van Dorland, H.A.; Youssef, M.; Bruckmaier, R.M. Effects of a latency period between pre- stimulation and teat cup attachment and periodic vacuum reduction on milking characteristics and teat condition in dairy cows. Journal of Dairy Research 2014, 81, 107-112. [CrossRef]
- Tancin, V.; Ipema, B.; Hogewerf, P.; Macuhova, J. Sources of variation in milk flow characteristics at udder and quarter levels. Journal of Dairy Science 2006, 89, 978-988. [CrossRef]
- Zecconi, A.; Frosi, S.; Cipolla, M.; Gusmara, C. Effects of chronic mastitis and its treatment with ketoprofen on the milk ejection curve. Journal of Dairy Research 2018, 85, 50-52. [CrossRef]
- Erskine, R.J.; Norby, B.; Neuder, L.M.; Thomson, R.S. Decreased milk yield is associated with delayed milk ejection. Journal of Dairy Science 2019, 102, 6477-6484. [CrossRef]
- Besier, J.; Lind, O.; Bruckmaier, R.M. Dynamics of teat-end vacuum during machine milking: types, causes and impacts on teat condition and udder health - a literature review. J. Appl. Anim. Res. 2016, 44, 263-272. [CrossRef]
- Bach, A.; Cabrera, V. Robotic milking: Feeding strategies and economic returns. Journal of Dairy Science 2017, 100, 7720-7728. [CrossRef]
- Fernandes, S.; Pereira, G.; Bexiga, R. Bimodal milk flow and overmilking in dairy cattle: risk factors and consequences. Animal 2023, 17, 100716. [CrossRef]
- Aerts, J.; Sitkowska, B.; Piwczynski, D.; Kolenda, M.; Önder, H. The optimal level of factors for high daily milk yield in automatic milking system. Livest. Sci. 2022, 264, 10. [CrossRef]
- Tamburini, A.; Bava, L.; Piccinini, R.; Zecconi, A.; Zucali, M.; Sandrucci, A. Milk emission and udder health status in primiparous dairy cows during lactation. Journal of Dairy Research 2010, 77, 13-19. [CrossRef]
- Zucali, M.; Bava, L.; Sandrucci, A.; Tamburini, A.; Piccinini, R.; Dapra, V.; Tonni, M.; Zecconi, A. Milk flow pattern, somatic cell count and teat apex score in primiparous dairy cows at the beginning of lactation. Ital J Anim Sci 2009, 8, 103-111. [CrossRef]
- Jacobs, J.A.; Ananyeva K Fau - Siegford, J.M.; Siegford, J.M. Dairy cow behavior affects the availability of an automatic milking system. [CrossRef]
- Weiss, D.; Bruckmaier, R.M. Optimization of individual prestimulation in dairy cows. Journal of Dairy Science 2005, 88, 137-147. [CrossRef]
- Jago, J.G.; Davis, K.L.; Copeman, P.J.; Woolford, M.M. The effect of pre-milking teat-brushing on milk processing time in an automated milking system. Journal of Dairy Research 2006, 73, 187-192. [CrossRef]
- Lüdi, I.; Bruckmaier, R.M. The teat cup detachment level affects milking performance in an automatic milking system with teat cleaning and milking in the same teat cup. Journal of Dairy Research 2022, 89, 279-284. [CrossRef]
- Sandrucci, A.; Tamburini, A.; Bava, L.; Zucali, M. Factors affecting milk flow traits in dairy cows: Results of a field study. Journal of Dairy Science 2007, 90, 1159-1167. [CrossRef]




| Characteristics | Brand | |||||
|---|---|---|---|---|---|---|
| A | B | C | D | E1 | F1 | |
| Traffic | Forced/free | Free | Forced/free | Free | Free | Free |
| Milking boxes | Single | Single | Single/Multi | Single | Single/Multi | Single/Multi |
| Robot arm type | Special | Special | Special | Special | Special | Industrial |
| Drive control of the robot arm | Hydraulic | Electric | Electric | Pneumatic / electric | Electric | Electric |
| Robot arm location | Side of the udder | Side of the udder | Side of the udder | Side of the udder | Behind the udder | Side of the udder |
| Teat cleaning | Special cluster | Rotating brushes | Milking cluster | Rotating brushes | Special cluster |
Special cluster |
| Entry and exit from milking box | Combined | Combined | Combined | Straight | Combined | Combined |
| Teat-end vacuum | Average teat-end vacuum with milk flow |
| Vacuum level and fluctuations | |
| Teat-end vacuum during peak-flow | |
| Milking Time Testing | Presence of Bi-modal milking |
| Overmilking duration and vacuum | |
| Automatic Take-off functioning | |
| Liner fit for teats | |
| Pulsator Testing | Correct timing of the A, B, C, and D-phases |
| Vacuum build-up in pulsator channels | |
| Cluster Falloff Testing | Vacuum recovery according to ISO 6690 standard |
| Slug Test | Physical aspect of the slug in the milk line |
| Air injection rate and volume of water |
| Brand | Units | Milk Yield (Kg/quarter) | ||||
|---|---|---|---|---|---|---|
| <2.50 | 2.51-3.50 | 3.51-4.50 | >4.50 | Total | ||
| A | N | 59a,1 | 107b | 116b | 216c | 498 |
| % | 11.8% | 21.5% | 23.3% | 43.4% | 10.2% | |
| B | N | 247a | 205b | 169b.c | 157c | 778 |
| % | 31.7% | 26.3% | 21.7% | 20.2% | 15.9% | |
| C | N | 110a | 262b | 288b.c | 334c | 994 |
| % | 11.1% | 26.4% | 29.0% | 33.6% | 20.4% | |
| D | N | 769a | 661b | 631b | 547c | 2608 |
| % | 29.5% | 25.3% | 24.2% | 21.0% | 53.5% | |
| Total | N | 1185 | 1235 | 1204 | 1254 | 4878 |
| % | 24.3% | 25.3% | 24.7% | 25.7% | 100% | |
| Parameter | Factors | ||||
|---|---|---|---|---|---|
| Brand | Milk Yield | Brand x Milk Yield |
P (model) | R2 | |
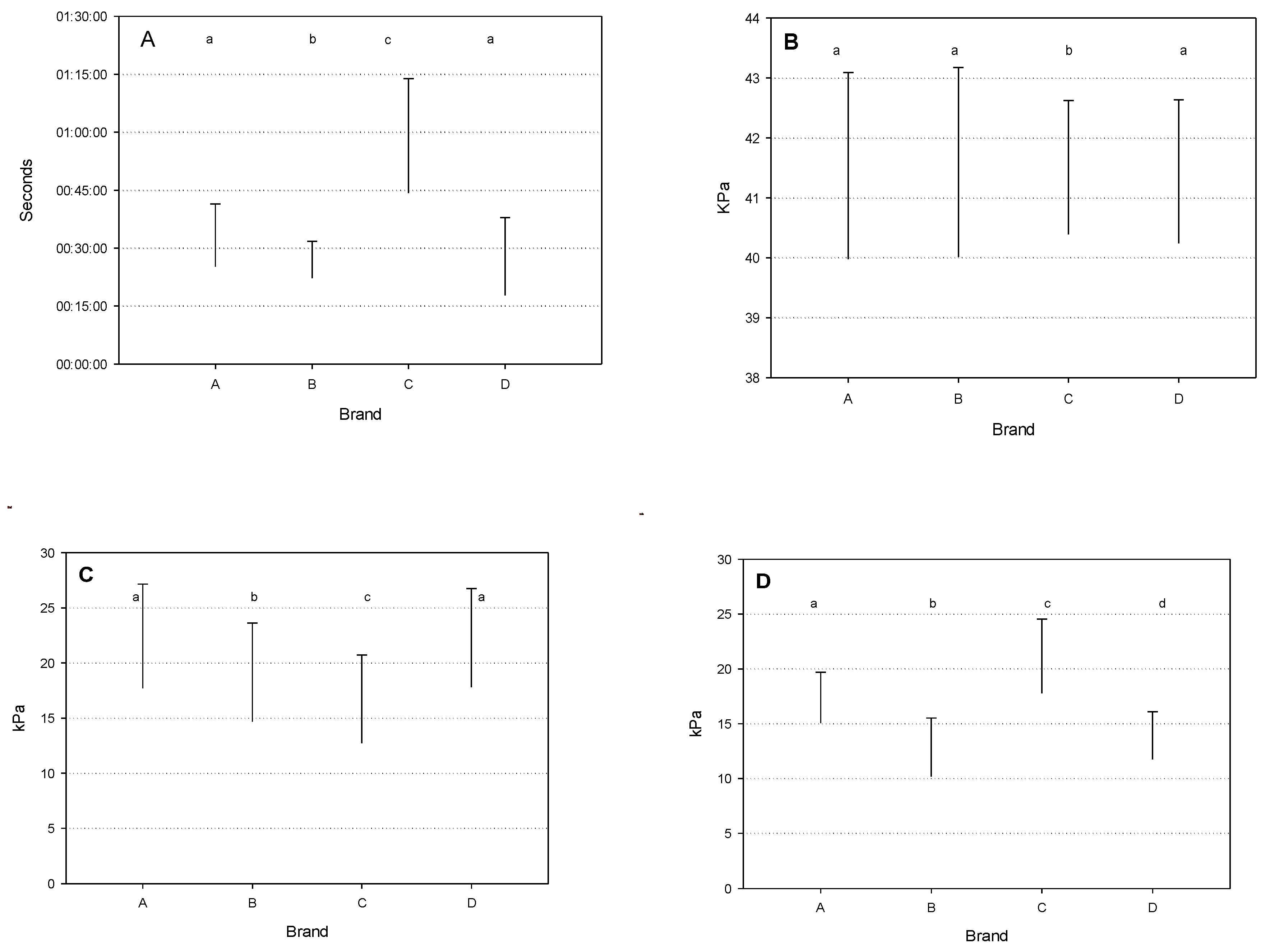
| Milking duration | * | * | * | <0.001 | 22.1% |
| Milk let down | * | n.s.a | * | <0.001 | 13.7% |
| Average milk flow | * | * | * | <0.001 | 20.2% |
| Mean vacuum during milking | * | * | * | <0.001 | 25.1% |
| Mean vacuum at peak | * | * | * | <0.001 | 29.7% |
| Parameter | Brand | Milk Yield (Kg/quarter) | |||
|---|---|---|---|---|---|
| <2.50 | 2.51-3.50 | 3.51-4.50 | >4.50 | ||
| Milking duration (min) | A | 2:47:55a,1 | 3:43:47a | 4:08:17a,c | 5:14:40a |
| B | 3:05:53a,c | 3:39:47a | 4:24:56a,b | 5:39:48b | |
| C | 3:24:31c | 4:25:42b | 4:35:32b | 5:45:03b | |
| D | 3:05:50a,c | 3:39:35a | 3:59:51c | 5:09:01a | |
| Mean | 3:06:44 | 3:45:46 | 4:12:43 | 5:23:26 | |
|
Milk let down (sec) |
A | 0:25:56a | 0:27:52a | 0:33:04a | 0:31:25a |
| B | 0:40:35b | 0:33:47b | 0:32:43a | 0:35:28b | |
| C | 0:45:01c | 0:42:37c | 0:44:27b | 0:42:20c | |
| D | 0:23:46a | 0:25:32a | 0:24:27c | 0:24:45d | |
| Mean | 29:21 | 30:44 | 31:13 | 31:55 | |
|
Average milk flow (Kg/min) |
A | 0.76a,b | 0.91a | 1.09a,c | 1.22a |
| B | 0.73b | 0.90a | 0.97a,b | 1.10b | |
| C | 0.63a | 0.78b | 0.95b | 1.47c | |
| D | 0.74a,b | 0.97a | 1.16c | 1.23a | |
| Mean | 0.73 | 0.91 | 1.08 | 1.28 | |
| Mean vacuum during milking (kPa) | A | 37.45a | 37.49a | 37.17a | 36.43a |
| B | 37.82a | 37.26a | 36.86a | 36.98b | |
| C | 38.98b | 38.22b | 38.06b | 37.83c | |
| D | 39.55c | 39.44c | 39.32c | 39.02d | |
| Mean | 39.03 | 37.65 | 38.47 | 37.99 | |
| Mean vacuum at peak (kPa) | A | 39.02a | 37.30a | 36.92a | 36.18a |
| B | 36.55a | 36.21b | 35.99b | 36.34a | |
| C | 38.03b | 37.38a | 37.15a | 37.11b | |
| D | 39.33c | 39.31c | 39.22c | 38.92c | |
| Mean | 38.51 | 38.21 | 38.05 | 37.64 | |
| Parameter | Factors | ||||
|---|---|---|---|---|---|
| Brand | Milk Yield | Brand x Milk Yield |
P (model) | R2 | |
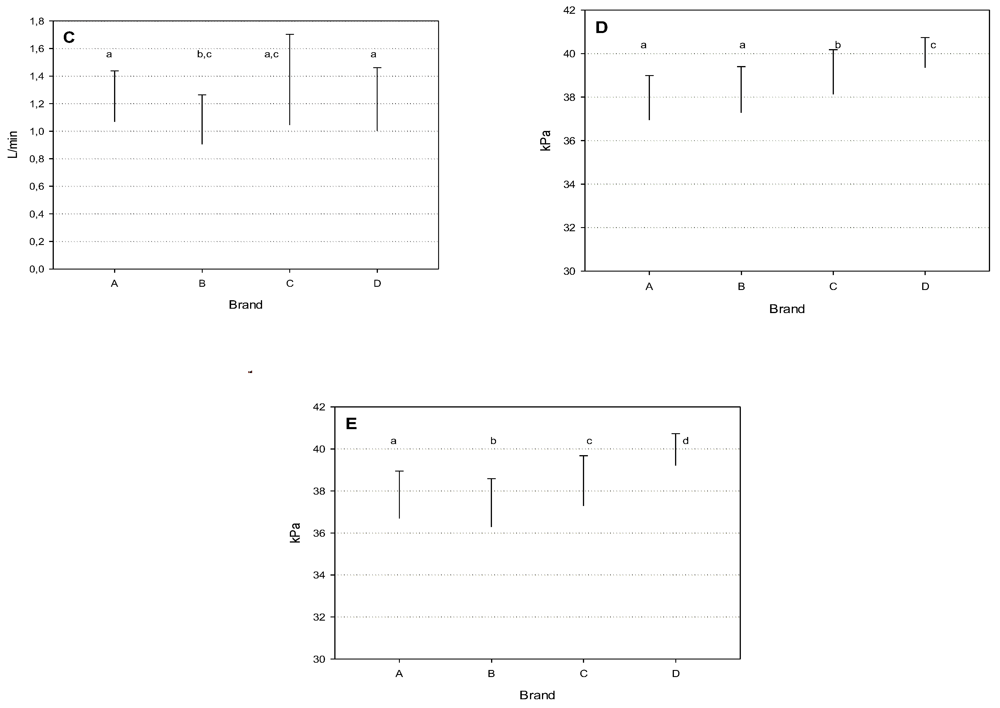
| Overmilking | * | n.s.a | * | <0.0001 | 19.8% |
| Mean overmilking vacuum | * | * | * | 0.013 | 1.3% |
| Mouthpiece chamber vacuum | * | n.s. | * | <0.001 | 5.8% |
| Delta vacuum fluctuations | * | * | * | <0.001 | 24.8% |
| Parameter | Brand | Milk Yield (L) | |||
|---|---|---|---|---|---|
| <2.50 | 2.51-3.50 | 3.51-4.50 | >4.50 | ||
| Overmilking (sec) | A | 28:41a,1 | 25:05a | 25:51a | 23:50a |
| B | 21:25b | 22:05a | 23:27a | 22:16a | |
| C | 41:21c | 41:54b | 43:23b | 47:45b | |
| D | 20:52b | 16:16c | 16:02c | 16:59c | |
| Mean | 23:16 | 23:26 | 24:34 | 27:01 | |
| Mean overmilking vacuum (kPa) | A | 40.44a | 40.62a,c | 39.67a | 39.70a |
| B | 39.98a | 40.16a | 40.18a,b | 39.69a | |
| C | 40.51a | 40.37a,c | 40.49b | 40.30b | |
| D | 40.62a | 40.39c | 40.09a | 39.70a | |
| Mean | 40.47 | 40.37 | 40.15 | 39.86 | |
| Mouthpiece chamber vacuum (kPa) | A | 16.47a,b | 16.82a,b | 17.87a | 18.39a |
| B | 15.92b | 15.04b | 14.62b | 12.41b | |
| C | 12.96c | 12.09c | 11.90c | 13.85b | |
| D | 17.56a | 17.94a | 17.25a | 18.68a | |
| Mean | 16.74 | 16.12 | 15.66 | 16.56 | |
| Delta vacuum fluctuations (kPa) | A | 13.80a | 14.87a | 14.11a | 16.02a |
| B | 8.41b | 10.62b | 11.29b | 11.10b | |
| C | 17.22c | 17.29c | 19.31c | 17.02c | |
| D | 10.73d | 11.51d | 12.22d | 12.95d | |
| Mean | 11.00 | 12.88 | 13.96 | 14.33 | |
| 95% C.I. Odds Ratio | ||||||
|---|---|---|---|---|---|---|
| Factors | B | S.E. | Sign. | Odds Ratio | Lower | Higher |
| Brand | <0.001 | |||||
| B vs A | -0.046 | 0.156 | n.s.a | 0.96 | 0.70 | 1.30 |
| C vs A | 0.178 | 0.156 | n.s. | 1.19 | 0.88 | 1.62 |
| D vs A | -0.864 | 0.131 | <0.001 | 0.42 | 0.33 | 0.55 |
| Milk yield (Kg/milking) | <0.001 | |||||
| 2.6-3.5 vs < 2.5 | -1.525 | 0.082 | <0.001 | 0.22 | 0.18 | 0.26 |
| 3.6-4.5 vs < 2.5 | -2.086 | 0.100 | <0.001 | 0.12 | 0.10 | 0.15 |
| >4.5 vs < 2.5 | -2.045 | 0.141 | <0.001 | 0.05 | 0.04 | 0.06 |
| 95% C.I. Odds Ratio | ||||||
|---|---|---|---|---|---|---|
| Factors | B | S.E. | Sign. | Odds Ratio | Lower | Higher |
| Brand | <0.001 | |||||
| B vs A | -1.007 | 0.122 | <0.001 | 0.37 | 0.29 | 0.464 |
| C vs A | 1.223 | 0.117 | <0.001 | 3.40 | 2.70 | 4.27 |
| D vs A | -1.323 | 0.098 | <0.001 | 0.27 | 0.22 | 0.32 |
| Milk yield (Kg/milking) | <0.001 | |||||
| 2.6-3.5 vs < 2.5 | -0.709 | 0.073 | <0.001 | 0.49 | 0.43 | 0.57 |
| 3.6-4.5 vs < 2.5 | -0372 | 0.070 | <0.001 | 0.39 | 0.60 | 0.79 |
| >4.5 vs < 2.5 | -0.239 | 0.066 | <0.001 | 0.79 | 0.69 | 0.90 |
Disclaimer/Publisher’s Note: The statements, opinions and data contained in all publications are solely those of the individual author(s) and contributor(s) and not of MDPI and/or the editor(s). MDPI and/or the editor(s) disclaim responsibility for any injury to people or property resulting from any ideas, methods, instructions or products referred to in the content. |
© 2024 by the authors. Licensee MDPI, Basel, Switzerland. This article is an open access article distributed under the terms and conditions of the Creative Commons Attribution (CC BY) license (http://creativecommons.org/licenses/by/4.0/).