Submitted:
07 September 2024
Posted:
09 September 2024
You are already at the latest version
Abstract
Keywords:
1. Introduction
2. Materials and Methods
3. Results and Discussion
3.1. Square Wave Voltammetric Investigations of Dihydroxybenzenes in Acetic Acid and Ethyl Acetate
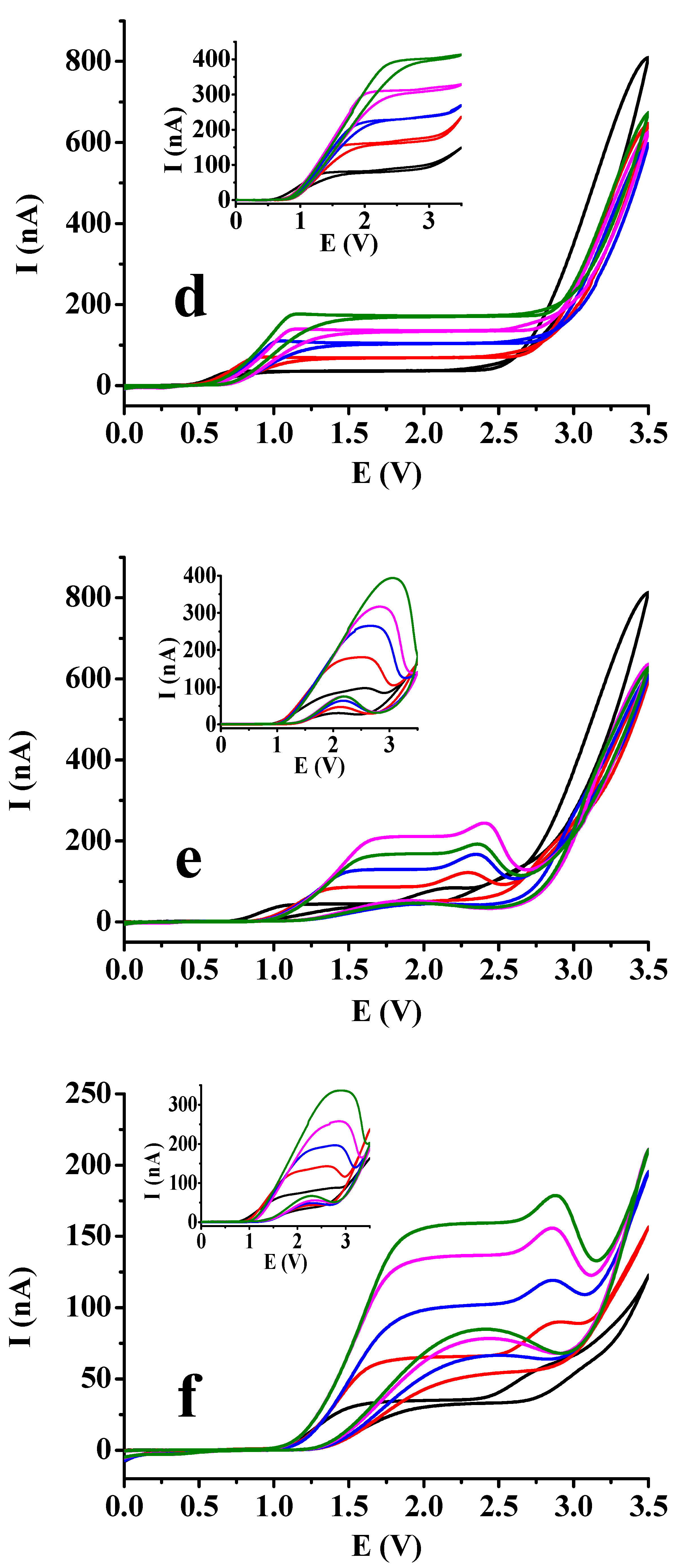
3.2. Microelectrode Studies of 1,2- and 1,4-Dihydroxybenzenes in Acetic Acid and Ethyl Acetate
3.2. Effect of Composition of Acetic Acid-Ethyl Acetate Mixtures on the Microelectrode Voltammograms of Catechol
4. Conclusions
Author Contributions
Funding
Institutional Review Board Statement
Data Availability Statement
Conflicts of Interest
References
- Beginejad, H.; Nematollahi, D.; Varmaghani, F.; Shayani-Jam, H. Investigation of the electrochemical behavior of some dihydroxybenzoic acids in aqueous solution. Monatsh. Chem. 2013, 144, 1481–1488. [Google Scholar] [CrossRef]
- Zhu, M.; Ye, H.; Lai, M.; Ye, J.; Li, R.; Zhang, W.; Liang, H.; Zhu, R.; Fan, H.; Chen, S. The gold nanoparticle sensitized pRGO-MWCNTs grid modified carbon fiber microelectrode as an efficient sensor system for simultaneous detection of three dihydroxybenzoic acid isomers. Electrochim. Acta 2019, 322, 134765. [Google Scholar] [CrossRef]
- Zhou, H.; Cui, M.; Zhao, Y.; Wang, C.; Song, Q. Preparation of Nitrogen and FeP Doped Carbon Nanotubes for Selective and Simultaneous Electrochemical Detection of Dihydroxybenzoic Acid Isomers. Electrochim. Acta 2017, 242, 107–116. [Google Scholar] [CrossRef]
- Van Berkel, G.J.; Kertesz, V. Expanded Electrochemical Capabilities of the Electrospray Ion Source Using Porous Flow-Through Electrodes as the Upstream Ground and Emitter High-Voltage Contact. Anal. Chem. 2005, 77, 8041–8049. [Google Scholar] [CrossRef]
- Sun, W.; Jiang, Q.; Xi, M.; Jiao, K. Determination of 3, 4-dihydroxybenzoic acid by electrocatalytic oxidation at an ionic liquid modified electrode. Microchim. Acta 2009, 166, 343–348. [Google Scholar] [CrossRef]
- Moghaddam, A.B.; Ganjali, M.R.; Dinarvand, R.; Razavi, T.; Riahi, S.; Rezaei-Zarchi, S.; Norouzi, P. Fabrication and electrochemical behavior of single-walled carbon nanotube/graphitebased electrode. Mater. Sci. Eng. C 2009, 29, 187–192. [Google Scholar] [CrossRef]
- Islam, M.A.; Lam, S.C.; Li, Y.; Mostafa, A.A.; Mahbub, P.; Nesterenko, P.M.; Paull, B. ; Macka, M Capillary gap flow cell as capillary-end electrochemical detector in flow-based analysis. Electrochim. Acta 2019, 303, 85–93. [Google Scholar] [CrossRef]
- Nematollahi, D.; Rafiee, M. Diversity in electrochemical oxidation of dihydroxybenzoic acids in the presence of acetylacetone. A green method for synthesis of new benzofuran derivatives. Green Chem. 2005, 7, 638–644. [Google Scholar] [CrossRef]
- Kiss, L.; Li, H.; Y. Hui, Kunsági-Máté, S. Comparison between Electropolymers of 3,5-Dihydroxybenzoic Acid and 2′,6′-Dihydroxyacetophenone in Dimethyl Sulfoxide and Their Analytical Performance towards Selected Analytes with the Role of the Washing Liquid. Molecules 2024, 29, 3972. [Google Scholar] [CrossRef]
- Ziyatdinova, G.K.; Guss, E.; Budnikov, H. Selective electrochemical sensor based on the electropolymerized p-coumaric acid for the direct determination of L-cysteine. Electrochim. Acta 2018, 270, 369–377. [Google Scholar] [CrossRef]
- Ziyatdinova, G.K.; Guss, E.V.; Yakupova, E.N.; Budnikov, H.C. An electrode based on electropolymerized naringin for voltammetry. Uchenye Zap. Kazan. Univ. Seriya Estestv. Nauk. 2019, 161, 5–19. [Google Scholar] [CrossRef]
- Ding, W.; Si, M.R.; Zhang, W.P.; Zhang, Y.L.; Chen, C.; Zhang, L.; Lu, Z.Q.; Chen, S.L.; Shen, X.H. Functional characterization of a vanillin dehydrogenase in Corynebacterium glutamicum. Sci. Rep. 2015, 5, 8044. [Google Scholar] [CrossRef] [PubMed]
- Délécouls-Servat, K.; Bergel, A.; Basséguy, R. Surface-modified electrodes for NADH oxidation in oxidoreductase-catalysed synthesis. J. Appl. Electrochem. 2001, 31, 1095–1101. [Google Scholar] [CrossRef]
- Manjón, A.; Obón, J.M.; Casanova, P.; Fernández, V.M.; Ilborra, J.L. Increased activity of glucose dehydrogenase co-immobilized with a redox mediator in a bioreactor with electrochemical NAD+ regeneration. Biotechnol. Lett. 2002, 24, 1227–1232. [Google Scholar] [CrossRef]
- Antiochia, R.; Lavagnini, I.; Magno, F. Amperometric Mediated Carbon Nanotube Paste Biosensor for Fructose Determination. Anal. Lett. 2004, 37, 1657–1669. [Google Scholar] [CrossRef]
- Delbem, M.F.; Baader, W.J.; Serrano, S.H.P. Mechanism of 3,4-dihydroxybenzaldehyde electropolymerization at carbon paste electrodes – catalytic detection of NADH. Quim. Nova 2002, 25, 741–747. [Google Scholar] [CrossRef]
- Hong, M.; Chang, J.; Yoon, H.C.; Kim, H. Development of a screen-printed amperometric biosensor for the determination of L-lactate dehydrogenase level. Biosens. Bioelectron. 2002, 17, 13–18. [Google Scholar] [CrossRef]
- Tzang, C.; Yuan, R.; Yang, M. Voltammetric biosensors for the determination of formate and glucose-6-phosphate based on the measurement of dehydrogenase-generated NADH and NADPH. Biosens. Bioelectron. 2001, 16, 211–219. [Google Scholar] [CrossRef] [PubMed]
- Naghib, S.M.; Rabiee, M.; Omidinia, E.; Khoshkenar, P. Investigation of a Biosensor Based on Phenylalanine Dehydrogenase Immobilized on a Polymer-Blend Film for Phenylketonuria Diagnosis. Electroanal. 2012, 24, 407–417. [Google Scholar] [CrossRef]
- Pamidi, P.V.A.; Wang, J. Electrocatalysis and Measurements of Hydrazine Compounds at Glassy Carbon Electrodes Coated with Electropolymerized 3,4-Dihydroxybenzaldehyde Films. Electroanal. 1996, 8, 244–247. [Google Scholar] [CrossRef]
- Pariente, F.; Tobalina, F.; Moreno, G.; Hernández, L.; Lorenzo, E.; Abruna, H.D. Mechanistic Studies of the Electrocatalytic Oxidation of NADH and Ascorbate at Glassy Carbon Electrodes Modified with Electrodeposited Films Derived from 3,4-Dihydroxybenzaldehyde. Anal. Chem. 1997, 69, 4056–4075. [Google Scholar] [CrossRef] [PubMed]
- Wang, J.; Chen, Q.; Cepria, G. Electrocatalytic modified electrode for remote monitoring of hydrazines. Talanta 1996, 43, 1387–1391. [Google Scholar] [CrossRef]
- Yu, C.; Yen, M.; Chen, L. A bioanode based on MWCNT/protein-assisted co-immobilization of glucose oxidase and 2,5-dihydroxybenzaldehyde for glucose fuel cells. Biosens. Bioelectron. 2010, 25, 2515–2521. [Google Scholar] [CrossRef]
- Hayness, W. M. CRC Handbook of Chemistry and Physics, 95th ed., CRC Press, Taylor and Francis Group, USA, 2014-2015, Chapter 6, pp. 190–192.
- Michalkiewicz, S.; Skorupa, A.; Jakubczyk, M.; Bebacz, K. Application of a Carbon Fiber Microelectrode as a Sensor for Apocynin Electroanalysis. Materials, 2024, 17, 1593. [Google Scholar] [CrossRef]
- Thitumoorthi, A.; Elango, K.P. Electrochemical oxidation of substituted benzylamines in aquo-acetic acid medium: substituent and solvent effects. J. Chem. Sci. 2007, 119, 289–294. [Google Scholar] [CrossRef]
- Michalkiewicz, S. Anodic oxidation of parabens in acetic acid–acetonitrile solutions. J. Appl. Electrochem. 2013, 43, 85–97. [Google Scholar] [CrossRef]
- Malyszko, J.; Karbarz, M. Electrochemical oxidation of trolox and a-tocopherol in acetic acid: A comparative study. J. Electroanal. Chem. 2006, 595, 136–144. [Google Scholar] [CrossRef]
- Hardcastle, J.L.; Compton, R.G. The electroanalytical detection and determination of copper in heavily passivating media: ultrasonically enhanced solvent extraction by N-benzoyl-N-phenyl-hydroxylamine in ethyl acetate coupled with electrochemical detection by sono-square wave stripping voltammetry analysis. Analyst 2001, 126, 2025–2031. [Google Scholar]
- Li, T.; Xu, J.; Zhou, L.; Wang, L.; Sun, Y.; Cheng, J.; Yuan, M.; Wang, L.; Yue, Y.; Wang, J. Voltammetric Determination of the Adsorption Kinetics of Acetic Acid on Activated Carbon. J. Electrochem. Soc. 2013, 160, H568–H572. [Google Scholar] [CrossRef]
- Hooper, S.E.; Roach, D.; Anderson, M.R. Application of a Square-Wave Potential Program for Time-Dependent Amperometric Detection in Capillary Electrophoresis. Electroanal. 2008, 20, 102–106. [Google Scholar] [CrossRef]
- Agűi, L.; López-Guzmán, J.E.; González-Cortés, A.; Yánez-Sedeno, P.; Pingarrón, J.M. Analytical performance of cylindrical carbon fiber microelectrodes in low-permittivity organic solvents: determination of vanillin in ethyl acetate. Anal. Chim. Acta 1999, 385, 241–248. [Google Scholar] [CrossRef]
- Hernández-Olmos, M.A.; Agüí, L.; Yánez-Sedeno, P.; Pingarrón, J.M. Analytical voltammetry in low-permittivity organic solvents using disk and cylindrical microelectrodes. Determination of thiram in ethyl acetate. Electrochim. Acta 2000, 46, 289–296. [Google Scholar] [CrossRef]
- Michalkiewicz, S.; Tutaj, M.; Kaczor, M.; Malyszko, J. Electrochemical Behavior of Tocopherols on Microelectrodes in Acetic Acid Medium. Electroanal. 2002, 14, 297–302. [Google Scholar] [CrossRef]
- Michalkiewicz, S.; Mechanik, M.; Malyszko, J. Voltammetric Study of Some Synthetic Antioxidants on Platinum Microelectrodes in Acetic Acid Medium. Electroanal. 2004, 16, 588–595. [Google Scholar] [CrossRef]






Disclaimer/Publisher’s Note: The statements, opinions and data contained in all publications are solely those of the individual author(s) and contributor(s) and not of MDPI and/or the editor(s). MDPI and/or the editor(s) disclaim responsibility for any injury to people or property resulting from any ideas, methods, instructions or products referred to in the content. |
© 2024 by the authors. Licensee MDPI, Basel, Switzerland. This article is an open access article distributed under the terms and conditions of the Creative Commons Attribution (CC BY) license (http://creativecommons.org/licenses/by/4.0/).