Submitted:
27 August 2024
Posted:
28 August 2024
You are already at the latest version
Abstract
Keywords:
1. Introduction
1.1. Objectives of Wildlife Conservation
1.2. Captive Elephant Behavior and Welfare
1.3. Machine Learning as a Tool for Behavioral Analysis
1.4. Aim of This Paper
- This study expects that the machine learning models can predict selected behaviors on the same level as manual scoring.
- This study expects that behavioral differences between the elephants and behavioral differences between days can be demonstrated using selected computer vision models.
2. Materials and Methods
2.1. Subjects and Enclosure
2.2. Data Collection
2.3. Data Analysis
3. Results
3.1. Comparability of Manual and Automatic Behavioural Observations
3.1.1. A General Overview
3.1.2. Investigating the Reliability of Two Machine Learning Models
3.2. Using Machine Learning Models for Behavioural Analysis
3.2.1. Assessing Behavioral Differences
3.2.2. Investigating Further Applications of Automatic Behavioral Coding
4. Discussion
4.1. Performance and Limitations of the Two Machine Learning Models
4.2. Nocturnal Behavioral Differences of the Two Subjects
4.3. Other Applications of Machine Learning Models for Behavioral Coding
5. Conclusions
Author Contributions
Funding
Institutional Review Board Statement
Informed Consent Statement
Data Availability Statement
Acknowledgments
Conflicts of Interest
Appendix A. Floor Plan of Elephant Enclosure

Appendix B. Selected Behaviors Displayed in Subject Enclosures


Appendix C. Confusion Matrix Comparison of Models
![]() |
![]() |
![]() |
![]() |
Appendix D. Time Budgets for Each Night


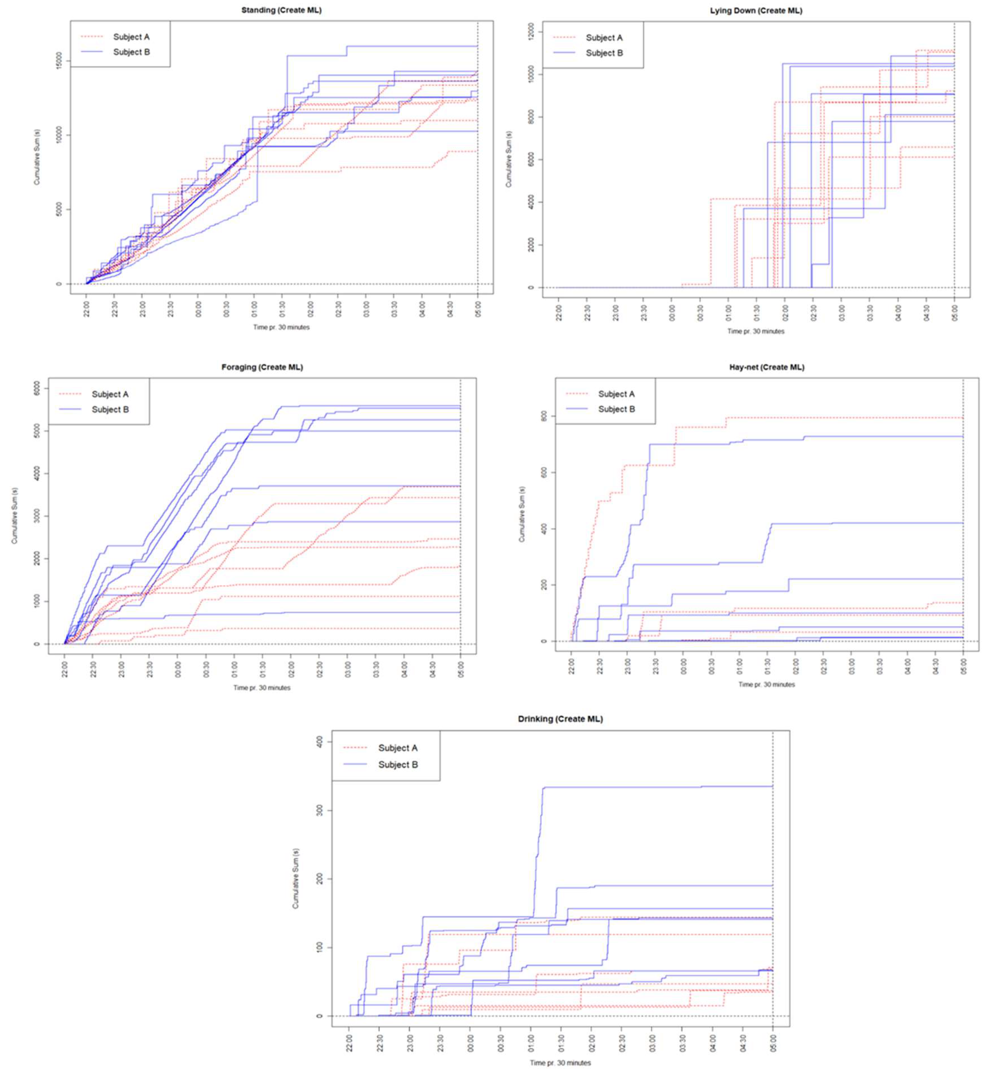
Appendix E. Cumulative Graphs for Every Behavior Each Night

Appendix F. Spearman Rank Correlation between Days
![]() |
![]() |
![]() |
![]() |
Appendix G. Spearman Rank Correlation between Individuals
![]() |
![]() |
References
- J. S. Veasey, "Differing animal welfare conceptions and what they mean for the future of zoos and aquariums, insights from an animal welfare audit," Zoo Biology, vol. 41, no. 4, pp. 292-307, 2022.
- R. Barongi, F. A. Fisken, M. Parker and M. Gusset, "Committing to Conservation: The World Zoo and Aquarium Conservation Strategy," World Association of Zoos and Aquariums (WAZA) Executive Office, Gland, Switzerland, 2015.
- European Association of Zoos and Aquaria, "Standards for the Accommodation and Care of Animals in Zoos and Aquaria," EAZA, 2014.
- Danish Association of Zoos and Aquaria, "DAZA etiske retningslinjer," DAZA, 2022.
- W. J. Sutherland, "The importance of behavioural studies in conservation biology," Animal Behaviour, vol. 56, no. 4, pp. 801-809, 1998.
- S. Wolfensohn, J. Shotton, H. Bowley, S. Davies, S. Thompson og W. S. M. Justice, »Assessment of Welfare in Zoo Animals: Towards Optimum Quality of Life,« Animals (Basel), årg. 8, nr. 7, p. 110, 2018.
- B. M. Perdue, S. L. Sherwen and T. L. Maple, "Editorial: The Science and Practice of Captive Animal Welfare," Frontiers in Psychology, vol. 11, no. 1851, pp. 1-2, 2020.
- S. L. Sherwen and P. H. Hemsworth, "The Visitor Effect on Zoo Animals: Implications and Opportunities for Zoo Animal Welfare," Animals, vol. 9, no. 6, p. 366, 2019.
- S. Hauenstein, N. Jassoy, A.-C. Mupepele, T. Carroll, M. Kshatriya, C. M. Beale and C. F. Dormann, "A systematic map of demographic data from elephant populations throughout Africa: implications for poaching and population analyses," Mammal Review, vol. 52, no. 3, pp. 438-453, 2022.
- A.P. Rees, "Activity budgets and the relationship between feeding and stereotypic behaviors in Asian elephants (Elephas maximus) in a Zoo," Zoo Biology, vol. 28, no. 2, pp. 79-97, 2009.
- L. Yon, E. Williams, N. D. Harvey and L. Asher, "Development of a behavioural welfare assessment tool for routine use with captive elephants," PLoS One, vol. 14, no. 2, p. e0210783, 2019.
- B. J. Greco, C. L. Meehan, J. L. Heinsius and J. A. Mench, "Why pace? The influence of social, housing, management, life history, and demographic characteristics on locomotor stereotypy in zoo elephants," Applied Animal Behaviour Science, vol. 194, pp. 104-111, 2017.
- P. Bansiddhi, K. Nganvongpanit, J. L. Brown, V. Punyapornwithaya, P. Pongsopawijit and C. Thitaram, "Management factors affecting physical health and welfare of tourist camp elephants in Thailand," Biodiversity and Conservation, 2019.
- S. S. Bertelsen, A. S. Sørensen, S. Pagh, C. Pertoldi and T. H. Jensen, "Nocturnal Behaviour of Three Zoo Elephants (Loxodonta Africana)," Genetics and Biodiversity Journal, pp. 93-113, 2020.
- M. R. Holdgate, C. L. Meehan, J. N. Hogan, L. J. Miller, J. Rushen, A. M. de Passillé, J. Soltis, J. Andrews and D. J. Shepherdson, "Recumbence Behavior in Zoo Elephants: Determination of Patterns and Frequency of Recumbent Rest and Associated Environmental and Social Factors," PLoS One, vol. 11, no. 7, pp. 1-19, 2016.
- S. A. Boyle, B. Roberts, B. M. Pope, M. R. Blake, S. R. Leavelle, J. J. Marshall, A. Smith, A. Hadicke, J. F. Falcone, K. Knott and A. J. Kouba, "Assessment of Flooring Renovations on African Elephant (Loxodonta africana) Behavior and Glucocorticoid Response," PLoS One, vol. 10, no. 11, pp. 1-19, 2015.
- C. Schiffmann, L. Hellriegel, M. Clauss, B. Stefan, K. Knibbs, C. Wenker, T. Hård og C. Galeffi, »From left to right all through the night: Characteristics of lying rest in zoo elephants,« Zoo Biology, årg. 42, pp. 17-25, 2023.
- B. J. Greco, C. L. Meehan, J. N. Hogan, K. A. Leighty, J. Mellen, G. J. Mason and J. A. Mench, "The Days and Nights of Zoo Elephants: Using Epidemiology to Better Understand Stereotypic Behvaior of African Elephants (Loxodonta africana) and Asian Elephants (Elephas maximus) in North American Zoos," PLoS ONE, vol. 11, no. 7, 2016.
- D. M. Broom, "Welfare of Animals: Behavior as a Basis for Decisions," Encyclopedia of Animal Behavior, vol. 3, pp. 580-584, 2010.
- S. L. Jacobson, S. R. Ross and M. A. Bloomsmith, "Characterizing abnormal behavior in a large population of zoo-housed chimpanzees: prevalence and potential influencing factors," PeerJ, 2016.
- H. Bacon, "Behaviour-Based Husbandry—A Holistic Approach to the Management of Abnormal Repetitive Behaviors," Animals, vol. 8, no. 7, p. 103, 2018.
- S. Fuktong, P. Yuttasaen, V. Punyapornwithaya, J. L. Brown, C. Thitaram, N. Luevitoonvechakij and P. Bansiddhi, "A survey of stereotypic behaviors in tourist camp elephants in Chiang Mai, Thailand," Applied Animal Behavior Science, vol. 243, 2021.
- G. J. Mason, "Stereotypies and suffering," Behavioural Processes, vol. 25, pp. 103-115, 1991.
- G. J. Mason and J. Rushen, "Stereotypic Animal Behaviour: Fundamentals and Applications to Welfare," CABI Digital Library, 2006.
- K. E. Mostard, "General understanding, neuro-endocrinologic and (epi)genetic factors of stereotypy," Nijmegen, The Netherlands, 2011.
- J. Altmann, "Observational Study of Behavior: Sampling Methods," Behaviour, vol. 49, no. 3/4, pp. 227-267, 1974.
- V. Vanitha, K. Thiyagesan and N. Baskaran, "Prevalence of stereotypies and its possible causes among captive Asian elephants (Elephas maximus) in Tamil Nadu, India," Applied Animal Behaviour Science, vol. 174, pp. 137-146, 2016.
- J. Adams and J. K. Berg, "Behavior of Female African Elephants (Loxodonta africana) in Captivity," Applied Animal Ethology, vol. 6, pp. 257-276, 1980.
- A.I. Dell, J. A. Bender, K. Branson, I. D. Couzin, G. G. de Polavieja, L. P. Noldus, A. Pérez-Escudero, P. Perona, A. D. Straw, M. Wikelski and U. Brose, "Automated image-based tracking and its application in ecology," Trends in Ecology & Evolution, vol. 29, no. 7, pp. 417-428, 2014.
- A.Gomez-Marin, J. J. Paton, A. R. Kampff, R. M. Costa and Z. F. Mainen, "Big Behavioral Data: Psychology, Ethology and the Foundations of Neuroscience," Nature Neuroscience, vol. 17, no. 11, pp. 1455-1462, 2014.
- D. J. Anderson and P. Perona, "Toward a Science of Computational Ethology," Neuron, vol. 84, no. 1, pp. 18-31, 2014.
- A. Mathis, P. Mamidanna, K. M. Cury, T. Abe, V. N. Murthy, M. W. Mathis and M. Bethge, "DeepLabCut: markerless pose estimation of user-defined body parts with deep learning," Nature Neuroscience, vol. 21, pp. 1281-1289, 2018.
- E. Mirkó, A. Dóka and Á. Miklósi, "Association between subjective rating and behaviour coding and the role of experience in making video assessments on the personality of the domestic dog (Canis familiaris)," Applied Animal Behaviour Science, vol. 149, no. 1-4, pp. 45-54, 2013.
- Z.-Q. Zhao, P. Zheng, S.-T. Xu og X. Wu, »Object Detection With Deep Learning: A Review,« IEEE Transactions on Neural Networks and Learning Systems, årg. 30, nr. 11, pp. 3212-3232, 2019.
- Z.-H. Zhou and S. Liu, Machine Learning, Nanjing, China: Springer Nature, 2021.
- J. Lenzi, A. F. Barnas, A. A. ElSaid, T. Desell, R. F. Rockwell and S. N. Ellis-Felege, "Artificial intelligence for automated detection of large mammals creates path to upscale drone surveys," Scientific Reports, vol. 13, no. 947, 2023.
- M. Bain, A. Nagrani, D. Schofield, S. Berdugo, J. Bessa, J. Owen, K. J. Hockings, T. Matsuzawa, M. Hayashi, D. Biro, S. Carvalho og A. Zisserman, »Automated audiovisual behavior recognition in wild primates,« Science Advances, årg. 7, nr. 46, 2021.
- F. Sakib and T. Burghardt, "Visual Recognition of Great Ape Behaviours in the Wild," arXiv, 2020.
- P. K. Hebbar and P. K. Pullela, "Deep Learning in Object Detection: Advancements in Machine Learning and AI," in 2023 International Conference on the Confluence of Advancements in Robotics, Vision and Interdisciplinary Technology Management (IC-RVITM), 2023.
- A. Hardin og I. Schlupp, »Using machine learning and DeepLabCut in animal behavior,« Acta ethologica, årg. 25, nr. 6, pp. 125-133, 16 July 2022.
- M. Marks, Q. Jin, O. Sturman, L. von Ziegler, S. Kollmorgen, W. von der Behrens, V. Mante, J. Bohacek and M. F. Yanik, "Deep-learning-based identification, tracking, pose estimation and behaviour classification of interacting primates and mice in complex environments," Nature Machine Learning, vol. 4, pp. 331-340, 2022.
- T. Nath, A. Mathis, A. C. Chen, A. Patel, M. Bethge and M. W. Mathis, "Using DeepLabCut for 3D markerless pose estimation across species and behaviors," Nature Protocols, vol. 14, no. 7, pp. 2152-2176, 2019.
- O. Marques, "Machine Learning with Core ML," in Image Processing and Computer Vision in IOS, Switzerland: Springer International Publishing AG, 2020, pp. 29-40.
- T. A. Andersen, C. Herskind, J. Maysfelt and R. W. Rørbæk, "The nocturnal behaviour of African elephants (Loxodonta africana) in Aalborg Zoo and how changes in the environment affect them," Genetics and Biodiversity Journal, vol. 4, no. 2, pp. 114-130, 2020.
- S. Ruuska, W. Hämäläinen, S. Kajava, M. Mughal, P. Matilainen and J. Mononen, "Evaluation of the confusion matrix method in the validation of an automated system for measuring feeding behaviour of cattle," Behavioural Processes, vol. 148, no. 3, pp. 56-62, 2018.
- J. F. Larsen, K. K. D. Andersen, J. Cuprys, T. B. Fosgaard, J. H. Jacobsen, D. Krysztofiak, S. M. Lund, B. Nielsen, M. E. B. Pedersen, M. J. Pedersen, A. Trige-Esbensen, E. M. Walther, C. Pertoldi, T. H. Jensen, A. K. O. Alstrup and J. O. Perea-García, "Behavioral analysis of a captive male Bornean orangutan (Pongo pygmaeus) when," Archives of Biological Sciences, vol. 75, no. 4, pp. 443-458, 2023.
- A.P. Field, "Kendall's Coefficient of Concordance," Encyclopedia of Statistics in Behavioral Science, vol. 2, pp. 1010-1011, 2005.
- J. Brownlee, "Machine Learning Mastery," Guiding Tech Media, 19 August 2020. [Online]. Available: https://machinelearningmastery.com/distance-measures-for-machine-learning/. [Accessed 22 May 2024].
- M. Malviya, N. T. Buswell and C. G. P. Berdanier, "Visual and Statistical Methods to Calculate Intercoder Reliability for Time-Resolved Observational Research," International Journal of Qualitative Methods, vol. 20, 2021.
- M. R. Whiteway, D. Biderman, Y. Friedman, M. Dipoppa, E. K. Buchanan, A. Wu, J. Zhou, N. Bonacchi, N. J. Miska, J.-P. Noel, E. Rodriguez, M. Schartner, K. Socha, A. E. Urai, C. D. Salzman, J. P. Cunningham og L. Paninski, »Partitioning variability in animal behavioral videos using semi-supervised variational autoencoders,« Plos Computational Biology, årg. 17, nr. 9, pp. 1-50, 2021.
- I.Tobler, "Fundamental Research Behavioral Sleep in the Asian Elephant in Captivity," Sleep, vol. 15, no. 1, pp. 1-12, 1992.
- K. Finch, F. Sach, M. Fitzpatrick og L. J. Rowden, »Insights into Activity of Zoo Housed Asian Elephants (Elephas maximus) during Periods of Limited Staff and Visitor Presence, a Focus on Resting Behaviour,« Zoological and Botanical Gardens, årg. 2, pp. 101-114, 2021.
- M. Casares, G. Silván, M. D. Carbonell, C. Gerique, L. Martinez-Fernandez, S. Cáceres and J. C. Illera, "Circadian rhythm of salivary cortisol secretion in female zoo-kept African elephants (Loxodonta africana)," Zoo Biology, vol. 35, no. 1, pp. 65-69, 2016.




| Behavior | Description |
|---|---|
| Standing | The elephant is standing or walking. This behavior is the default if no other selected behavior is taking place. |
| Lying down | The elephant is lying down on the floor of the enclosure. |
| Drinking | The elephant is drinking from a water bowl. |
| Foraging | The elephant is using the foraging boxes, accessed using trunks in the holes at the back of the enclosure. |
| Hay-net | The elephant is using its trunk to reach the hay-net at the top of the enclosure. |
| Swaying | The elephant is swaying from side to side for at least 5 seconds. |
| Out of view | The elephant is out of view of the camera. This may also include falsely unlabeled frames by the machine learning models. |
Disclaimer/Publisher’s Note: The statements, opinions and data contained in all publications are solely those of the individual author(s) and contributor(s) and not of MDPI and/or the editor(s). MDPI and/or the editor(s) disclaim responsibility for any injury to people or property resulting from any ideas, methods, instructions or products referred to in the content. |
© 2024 by the authors. Licensee MDPI, Basel, Switzerland. This article is an open access article distributed under the terms and conditions of the Creative Commons Attribution (CC BY) license (http://creativecommons.org/licenses/by/4.0/).









