Submitted:
21 August 2024
Posted:
22 August 2024
You are already at the latest version
Abstract
Keywords:
1. Introduction
2. Model Construction
2.1. Loss Function
2.2. Construction of the Student Model
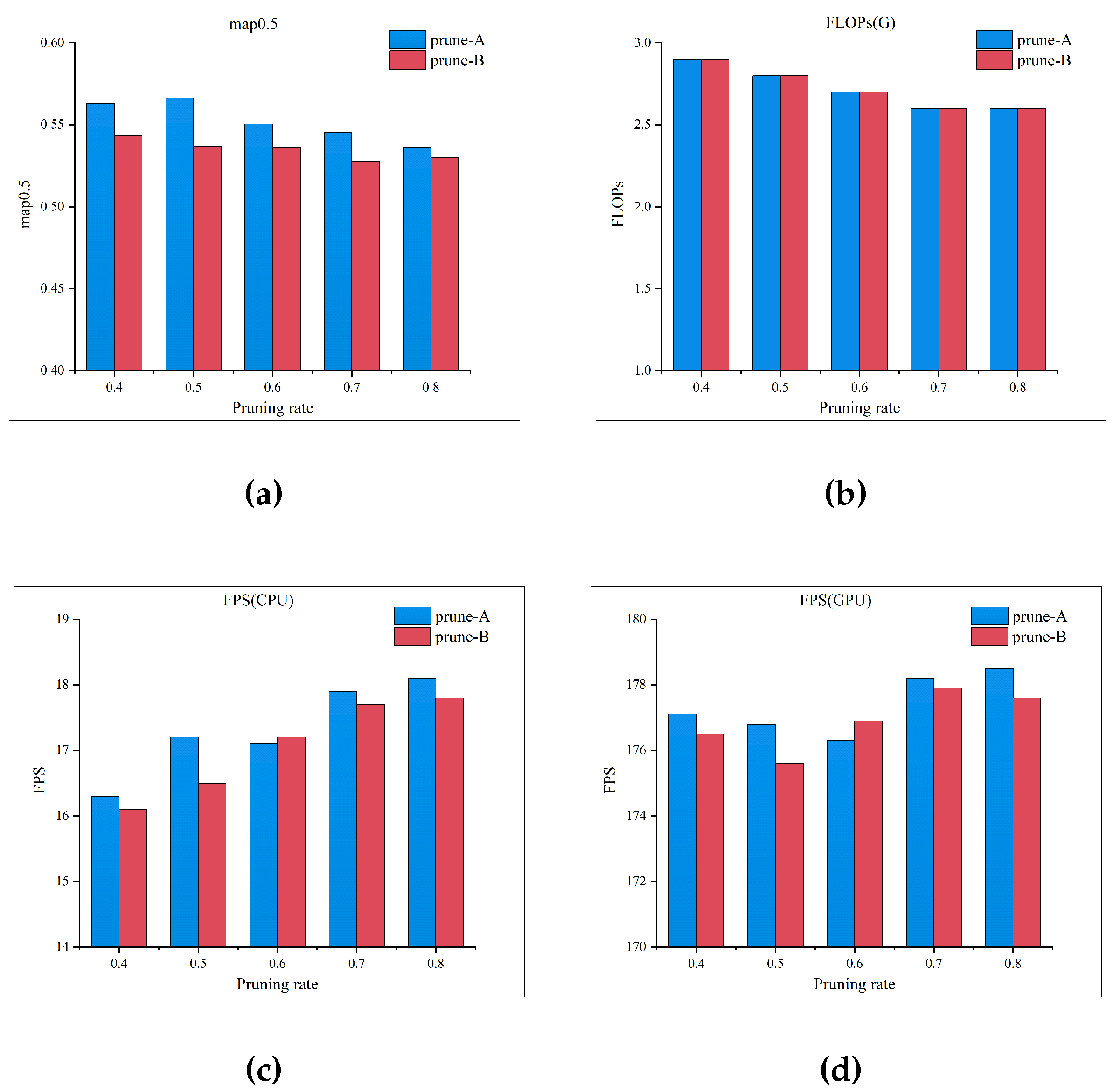
2.3. Parameter Pruning
2.4. Evaluation Criteria
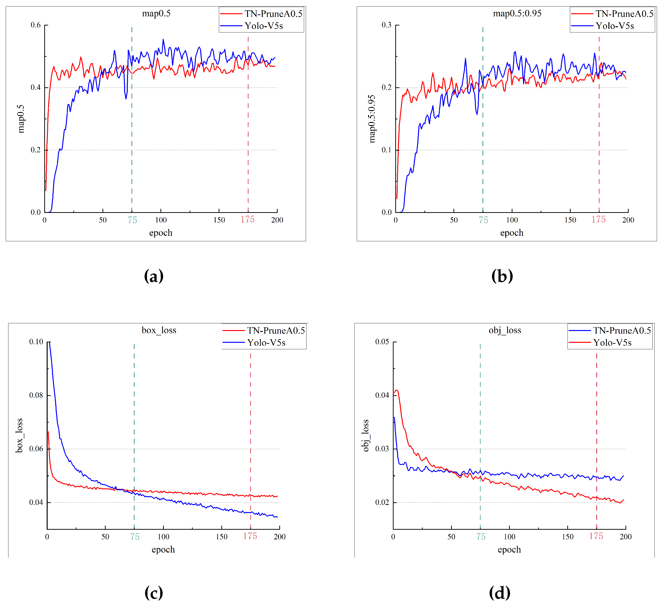
3. Model Validation
4. Engineering Experiment
4.1. Evaluation Criteria
4.2. Data Preprocessing
4.3. Model Application
5. Conclusions
References
- Wang,Q.;Zeng, X. Deep learning methods and their applications in underwater targets recognition. Proceedings of the 2015 Academic Conference of the Hydroacoustics Branch of the Acoustical Society of China, Hydroacoustics Branch of the Acoustical Society of China, 2015, p. 3. Accessed: Dec. 20, 2023. [Online]. Available: https://kns.cnki.net/kcms2/article/abstract?v=zcLOVLBHd2yuc0K9K0lIzqLOnyKffA5JXrD7S_1b3A_AZXUYyZdd4zqOJi6uoXZuBegPu97bvG__mRmWiZ1qiES5LkrfFdAaLnkYK8_GA9f1_xAZ0NOvmf3X2L4wqsnvfrs4_PiwGj1e4kfoQ9LpLw==&uniplatform=NZKPT&language=CHS.
- Girshick,R.; Donahue,J.; Darrell,T.; Malik,J. Rich Feature Hierarchies for Accurate Object Detection and Semantic Segmentation. in 2014 IEEE Conference on Computer Vision and Pattern Recognition, Columbus, OH, USA: IEEE, Jun. 2014, pp. 580–587. [CrossRef]
- R. Girshick, “Fast R-CNN,” in 2015 IEEE International Conference on Computer Vision (ICCV), Santiago, Chile: IEEE, Dec. 2015, pp. 1440–1448. [CrossRef]
- Redmon,J.; Divvala,S.; Girshick,R.;Farhadi, A.; You Only Look Once: Unified, Real-Time Object Detection. in 2016 IEEE Conference on Computer Vision and Pattern Recognition (CVPR), Las Vegas, NV, USA: IEEE, Jun. 2016, pp. 779–788. [CrossRef]
- Xu,S. et al. PP-YOLOE: An evolved version of YOLO. arXiv, Dec. 11, 2022. [CrossRef]
- Jocher,G. YOLOv5 by Ultralytics. May 2020. [CrossRef]
- Krizhevsky,A.; Sutskever,I. Hinton,G. E. ImageNet classification with deep convolutional neural networks. Commun. ACM, vol. 60, no. 6, pp. 84–90, May 2017. [CrossRef]
- Simonyan,K.; Zisserman,A. Very Deep Convolutional Networks for Large-Scale Image Recognition. arXiv, Apr. 10, 2015. [CrossRef]
- Huynh-Thu,Q.; Ghanbari,M. Perceived quality of the variation of the video temporal resolution for low bit rate coding. Accessed: Dec. 20, 2023. [Online]. Available: https://www.researchgate.net/publication/266575823/_Perceived_quality_of_the_variation_of_the_video_temporal_resolution_for_low_bit_rate_coding.
- Han,S.; Pool,J.; Tran,J.; Dally,W,J. Learning both weights and connections for efficient neural networks. in Proceedings of the 28th International Conference on Neural Information Processing Systems - Volume 1, in NIPS’15. Cambridge, MA, USA: MIT Press, Dec. 2015, pp. 1135–1143.
- Wen,W.; Wu,C.; Wang,Y.; Chen,Y.; Li,H. Learning structured sparsity in deep neural networks, in Proceedings of the 30th International Conference on Neural Information Processing Systems, in NIPS’16. Red Hook, NY, USA: Curran Associates Inc., Dec. 2016, pp. 2082–2090.
- Lin,M. et al. HRank: Filter Pruning Using High-Rank Feature Map. in 2020 IEEE/CVF Conference on Computer Vision and Pattern Recognition (CVPR), Jun. 2020, pp. 1526–1535. [CrossRef]
- Gao,S.; Huang,F.; Cai,W.; Huang,H. Network Pruning via Performance Maximization. in 2021 IEEE/CVF Conference on Computer Vision and Pattern Recognition (CVPR), Nashville, TN, USA: IEEE, Jun. 2021, pp. 9266–9276. [CrossRef]
- Gholami,A.; Kim,S.; Dong,Z.; Yao,Z.; Mahoney, M. W.; Keutzer,K. A Survey of Quantization Methods for Efficient Neural Network Inference. arXiv, Jun. 21, 2021. [CrossRef]
- Faraone,J.; Fraser,N.; Blott,M.; Leong,H.W.; SYQ: Learning Symmetric Quantization for Efficient Deep Neural Networks. in 2018 IEEE/CVF Conference on Computer Vision and Pattern Recognition, Salt Lake City, UT: IEEE, Jun. 2018, pp. 4300–4309. [CrossRef]
- Courbariaux,M.; Hubara,I.; Soudry,D.; REl-Yaniv,.; Bengio,Y. Binarized Neural Networks: Training Deep Neural Networks with Weights and Activations Constrained to +1 or -1. arXiv, Mar. 17, 2016. [CrossRef]
- Chen,P.; Liu, J.; Zhuang,B.; Tan,M.; Shen,C. AQD: Towards Accurate Quantized Object Detection. in 2021 IEEE/CVF Conference on Computer Vision and Pattern Recognition (CVPR), Nashville, TN, USA: IEEE, Jun. 2021, pp. 104–113. [CrossRef]
- Zhang,X.; Zhou,X.; Lin, M.; Sun,J. ShuffleNet: An Extremely Efficient Convolutional Neural Network for Mobile Devices. in 2018 IEEE/CVF Conference on Computer Vision and Pattern Recognition, Salt Lake City, UT: IEEE, Jun. 2018, pp. 6848–6856. [CrossRef]
- Wang,X.; Kan, M.; Shan,S.; Chen,X. Fully Learnable Group Convolution for Acceleration of Deep Neural Networks. in 2019 IEEE/CVF Conference on Computer Vision and Pattern Recognition (CVPR), Long Beach, CA, USA: IEEE, Jun. 2019, pp. 9041–9050. [CrossRef]
- Gou,J. Yu,B.; Maybank,S. J.; Tao,D. Knowledge Distillation: A Survey. Int J Comput Vis, vol. 129, no. 6, pp. 1789–1819, Jun. 2021. [CrossRef]
- Buciluǎ,C.; Caruana,R.; Niculescu-Mizil,A. Model compression. in Proceedings of the 12th ACM SIGKDD international conference on Knowledge discovery and data mining, Philadelphia PA USA: ACM, Aug. 2006, pp. 535–541. [CrossRef]
- Zagoruyko,S.; Komodakis,N. Paying More Attention to Attention: Improving the Performance of Convolutional Neural Networks via Attention Transfer. arXiv Feb. 12, 2017. [CrossRef]
- B. Heo, M. Lee, S. Yun, and J. Y. Choi, “Knowledge Transfer via Distillation of Activation Boundaries Formed by Hidden Neurons,” AAAI, vol. 33, no. 01, pp. 3779–3787, Jul. 2019. [CrossRef]
- Peng,B. et al. Correlation Congruence for Knowledge Distillation, in 2019 IEEE/CVF International Conference on Computer Vision (ICCV), Seoul, Korea (South): IEEE, Oct. 2019, pp. 5006–5015. [CrossRef]
- Cho,J.H.; Hariharan, B. On the Efficacy of Knowledge Distillation. in 2019 IEEE/CVF International Conference on Computer Vision (ICCV), Seoul, Korea (South): IEEE, Oct. 2019, pp. 4793–4801. [CrossRef]
- Mirzadeh,S.I.; Farajtabar,M.; Li,A.; Levine,N.; Matsukawa,A.; Ghasemzadeh,H. Improved Knowledge Distillation via Teacher Assistant. AAAI, vol. 34, no. 04, pp. 5191–5198, Apr. 2020. [CrossRef]
- Liu,Y. et al. Search to Distill: Pearls Are Everywhere but Not the Eyes. in 2020 IEEE/CVF Conference on Computer Vision and Pattern Recognition (CVPR), Seattle, WA, USA: IEEE, Jun. 2020, pp. 7536–7545. [CrossRef]
- Shen,S.H.; Li,Y L.; Qiang,Y.K.; Xue,R.L.; Jun,W.L. Research on Compression of Teacher Guidance Network Use Global Differential Computing Neural Architecture Search. in 2022 5th International Conference on Artificial Intelligence and Big Data (ICAIBD), Chengdu, China: IEEE, May 2022, pp. 526–531. [CrossRef]
- Liu,H.; Simonyan,K.; Yang,Y. DARTS: Differentiable Architecture Search. arXiv, Apr. 23, 2019. [CrossRef]


| (a) Normal computation units based on the underwater dataset. |
| (b) Reduce computation units based on the underwater dataset. |







| Model | Cell number | initial channel | mAP0.5 (Undistilled/Distilled) |
Parameter (M) |
FPS (GPU/CPU) |
FLOPs (G) |
|---|---|---|---|---|---|---|
| YOLO-TN(a) | 10 | 8 | 0.5038/0.5205 | 2.8704 | 112.7/9.8 | 7.8 |
| YOLO-TN(b) | 10 | 16 | 0.5312/0.5441 | 3.0516 | 109.4/7.7 | 9.1 |
| YOLO-TN(c) | 7 | 16 | 0.5326/0.5437 | 1.2083 | 134.5/8.9 | 3.9 |
| YOLO-TN(d) | 5 | 16 | 0.5355/0.5471 | 0.9481 | 162.7/10.2 | 3.5 |
| YOLO-TN(e) | 4 | 16 | 0.5384/0.5592 | 0.8401 | 176.3/14.1 | 3.3 |
| YOLO-v5s | - | - | 0.5495/- | 7.2 | 178.9/8.3 | 16.5 |
| Model | Input Size | mAP0.5 | FPS(GPU/CPU) | FLOPs(G) |
|---|---|---|---|---|
| YOLO-TN-640 | 640×640 | 0.5592 | 176.8/17.2 | 3.3 |
| YOLO-TN-416 | 416×416 | 0.5425 | 176.9/28.8 | 2.8 |
| YOLO-TN-320 | 320×320 | 0.5101 | 177.6/38.4 | 2.8 |
| Model | Input Size | FPS(CPU) |
|---|---|---|
| Pruned YOLO-TN-640 | 640×640 | 10.8 |
| Pruned YOLO-TN-416 | 416×416 | 20.4 |
| Pruned YOLO-TN-320 | 320×320 | 28.6 |
| Unpruned YOLO-TN | 640×640 | 8.9 |
| YOLO-v5s | 640×640 | 2.4 |
Disclaimer/Publisher’s Note: The statements, opinions and data contained in all publications are solely those of the individual author(s) and contributor(s) and not of MDPI and/or the editor(s). MDPI and/or the editor(s) disclaim responsibility for any injury to people or property resulting from any ideas, methods, instructions or products referred to in the content. |
© 2024 by the authors. Licensee MDPI, Basel, Switzerland. This article is an open access article distributed under the terms and conditions of the Creative Commons Attribution (CC BY) license (https://creativecommons.org/licenses/by/4.0/).