Submitted:
17 August 2024
Posted:
20 August 2024
You are already at the latest version
Abstract
Keywords:
1. Introduction
2. Materials and Methods
2.1. Study Design and Sitting
2.2. Study Population
2.3. Ethical Board Approval
2.4. Sociodemographic Data and Medical Variables of the Patient
2.5. Anthropometric Measurements
2.6. Nutritional Screening
2.6.1. The Original Screening Tool for the Assessment of Malnutrition in Pediatrics (oSTAMP)
2.6.2. Saudi Modified Screening Tool for the Assessment of Malnutrition in Pediatrics (S-mSTAMP)
2.7. Statistical Analysis
3. Results
3.1. Sociodemographic Characteristics
3.2. Nutrition Status Characteristics Based on Anthropometric Measurements
3.3. Nutritional Status Characteristics Based on the Original and the Saudi Modified Screening Tool for the Assessment of Malnutrition in Pediatrics
3.4. Anthropometric Characteristics of Hospitalized Children According to Original and Saudi Modified Screening Tool for the Assessment of Malnutrition in Pediatrics
3.5. Prevalence of Malnutrition, Validity, and Agreements of Saudi Modified Screening Tool for the Assessment of Malnutrition in Pediatrics using Original Screening Tool for the Assessment of Malnutrition in Pediatrics
3.6. Prevalence, Validity, and Agreements of Saudi Modified Screening Tool for the Assessment of Malnutrition in Pediatrics Using Anthropometric as Reference Standard
3.7. Prevalence, Validity, and Agreements of the Original Screening Tool for the Assessment of Malnutrition in Pediatrics Using Anthropometric Measurements & Dietary Intake as Reference Standard
4. Discussion
4.1. Main Findings
4.2. Strengths and Limitations
4.3. Implications for Practice and Future Direction
5. Conclusions
Supplementary Materials
Author Contributions
Funding
Institutional Review Board Statement
Informed Consent Statement
Data Availability Statement
Acknowledgments
Conflicts of Interest
References
- Pelletier, D.L.; Frongillo, E.A.; Habicht, J.P. Epidemiologic evidence for a potentiating effect of malnutrition on child mortality. Am J Public Health. 1993, 83, 1130–1133. [Google Scholar] [CrossRef] [PubMed]
- Pollack, M.M.; Ruttimann, U.E.; Wiley, J.S. Nutritional Depletions in Critically Ill Children: Associations with Physiologic Instability and Increased Quantity of Care. Journal of Parenteral and Enteral Nutrition. 1985, 9, 309–313. [Google Scholar] [CrossRef] [PubMed]
- Campanozzi, A.; Russo, M.; Catucci, A.; Rutigliano, I.; Canestrino, G.; Giardino, I.; et al. Hospital-acquired malnutrition in children with mild clinical conditions. Nutrition. 2009, 25, 540–547. [Google Scholar] [CrossRef]
- Wang, Y.J.; Zhou, H.J.; Liu, P.J.; Liu, G.L.; Zheng, Y.; Wei, B.; et al. Risks of undernutrition and malnutrition in hospitalized pediatric patients with spinal cord injury. Spinal Cord. 2017, 55, 247–254. [Google Scholar] [CrossRef] [PubMed]
- WHO (World Health Organization). Malnutrition. Available online: https://www.who.int/news-room/fact-sheets/detail/malnutrition (accessed on 20 July 2023).
- Mehta, N.M.; Corkins, M.R.; Lyman, B.; Malone, A.; Goday, P.S.; Carney, L.; et al. Defining Pediatric Malnutrition. Journal of Parenteral and Enteral Nutrition. 2013, 37, 460–481. [Google Scholar] [PubMed]
- National Health Service. Malnutrition. Available online: https://www.nhs.uk/conditions/malnutrition/causes/#:~:text=Some%20health%20conditions%20that%20can,as%20chronic%20obstructive%20pulmonary%20disease) (accessed on 3 October 2023).
- World Health Organization. 10 Facts on Child Health. Children: Reducing mortality. Available online: http://www.who.int/mediacentre/ factsheets/fs178/en/ (accessed on 20 October 2023).
- Wang, H.; Abbas, K.M.; Abbasifard, M.; Abbasi-Kangevari, M.; Abbastabar, H.; Abd-Allah, F.; et al. Global age-sex-specific fertility, mortality, healthy life expectancy (HALE), and population estimates in 204 countries and territories, 1950–2019: a comprehensive demographic analysis for the Global Burden of Disease Study 2019. The Lancet. 2020, 396, 1160–1203. [Google Scholar] [CrossRef] [PubMed]
- Asiri, A.M.; Alomary, S.A.; AL Qahtani, S.A.; Adam, I.F.; Amer, S.A. Determinants of the Underlying Causes of Mortality during the First Wave of COVID-19 Pandemic in Saudi Arabia: A Descriptive National Study. Int J Environ Res Public Health. 2021, 18, 12647. [Google Scholar] [CrossRef] [PubMed]
- Agostoni, C.; Axelson, I.; Colomb, V.; Goulet, O.; Koletzko, B.; Michaelsen, K.F.; et al. The Need for Nutrition Support Teams in Pediatric Units: A Commentary by the ESPGHAN Committee on Nutrition. Pediatr Gastroenterol Nutr. 2005, 41, 8–11. [Google Scholar]
- Cederholm, T.; Barazzoni, R.; Austin, P.; Ballmer, P.; Biolo, G.; Bischoff, S.C.; et al. ESPEN guidelines on definitions and terminology of clinical nutrition. Clinical Nutrition. 2017, 36, 49–64. [Google Scholar] [CrossRef] [PubMed]
- Wonoputri, N.; Djais, J.T.B.; Rosalina, I. Validity of Nutritional Screening Tools for Hospitalized Children. J Nutr Metab. 2014, 2014, 1–6. [Google Scholar] [CrossRef]
- Chourdakis, M.; Hecht, C.; Gerasimidis, K.; Joosten, K.F.; Karagiozoglou-Lampoudi, T.; Koetse, H.A.; et al. Malnutrition risk in hospitalized children: use of 3 screening tools in a large European population. Am J Clin Nutr. 2016; 103, 1301–1310. [Google Scholar] [CrossRef] [PubMed]
- Hartman, C.; Shamir, R.; Hecht, C.; Koletzko, B. Malnutrition screening tools for hospitalized children. Curr Opin Clin Nutr Metab Care. 2012, 15, 303–309. [Google Scholar] [CrossRef]
- Huysentruyt, K.; Devreker, T.; Dejonckheere, J.; De-Schepper, J.; Vandenplas, Y.; Cools, F. Accuracy of Nutritional Screening Tools in Assessing the Risk of Undernutrition in Hospitalized Children. J Pediatr Gastroenterol Nutr. 2015, 61, 159–166. [Google Scholar] [CrossRef] [PubMed]
- McCarthy, H.; Dixon, M.; Crabtree, I.; Eaton-Evans, M.J.; McNulty, H. The development and evaluation of the Screening Tool for the Assessment of Malnutrition in Paediatrics (STAMP©) for use by healthcare staff. Journal of Human Nutrition and Dietetics. 2012, 25, 311–318. [Google Scholar] [CrossRef]
- Becker, P.J.; Gunnell, B.S.; Wong, V.M.; Corkins, M.R.; Spear, B.A.; Spoede, E.; et al. Validity and Reliability of Pediatric Nutrition Screening Tools for Hospital, Outpatient, and Community Settings: A 2018 Evidence Analysis Center Systematic Review. J Acad Nutr Diet. 2020, 120, 288–318. [Google Scholar] [CrossRef] [PubMed]
- Carey, A.; et al. A pilot study evaluating the use of STAMP© nutrition screening tool in hospitalized infants. Abstracts/Clin Nut ESPEN. 2015, 174–212. [Google Scholar]
- Klanjsek, P.; Pajnkihar, M.; Marcun, V.N.; Povalej, B.P. Screening and assessment tools for early detection of malnutrition in hospitalised children: a systematic review of validation studies. BMJ Open. 2019, 9, e025444. [Google Scholar] [CrossRef] [PubMed]
- Sayed, S.; El-Shabrawi, M.H.F.; Abdelmonaem, E.; El-Koofy, N.; Tarek, S. Value of Nutritional Screening Tools Versus Anthropometric Measurements in Evaluating Nutritional Status of Children in a Low/Middle-Income Country. Pediatr Gastroenterol Hepatol Nutr. 2023, 26, 213. [Google Scholar] [CrossRef]
- Becker, P.J.; Nieman, C.L.; Corkins, M.R.; Monczka, J.; Smith, E.; Smith, S.E.; et al. Consensus Statement of the Academy of Nutrition and Dietetics/American Society for Parenteral and Enteral Nutrition: Indicators Recommended for the Identification and Documentation of Pediatric Malnutrition (Undernutrition). J Acad Nutr Diet. 2014, 114, 1988–2000. [Google Scholar] [CrossRef]
- Pérez-Solís, D.; Larrea-Tamayo, E.; Menéndez-Arias, C.; Molinos-Norniella, C.; Bueno-Pardo, S.; Jiménez-Treviño, S.; et al. Assessment of Two Nutritional Screening Tools in Hospitalized Children. Nutrients 2020, 12, 1221. [Google Scholar] [CrossRef]
- Toledano-Toledano, F.; Rodríguez-Rey, R.; Moral-de-la-Rubia, J.; Luna, D. A Sociodemographic variables questionnaire (Q-SV) for research on family caregivers of children with chronic disease. BMC Psychol. 2019, 7, 85. [Google Scholar] [CrossRef] [PubMed]
- Klanjšek, P.; Pajnkihar, M.; Marčun, V.N.; Močnik, M.; Golob-Jančič, S.; Povalej-Bržan, P. Development and Validation of a New Screening Tool with Non-Invasive Indicators for Assessment of Malnutrition Risk in Hospitalised Children. Children. 2022, 9, 731. [Google Scholar] [CrossRef]
- NACS. Available online: https://www.fantaproject.org/sites/default/files/resources/NACS-Users-Guide-Module2-May2016.pdf (accessed on 19 December 2022).
- El-Mouzan, M.; Al-Herbish, A.; Al-Salloum, A.; Qurachi, M.; Al-Omar, A. Growth charts for Saudi children and adolescents. Saudi Med J. 2007, 28, 1555–1568. [Google Scholar] [PubMed]
- Neelemaat, F.; Meijers, J.; Kruizenga, H.; van-Ballegooijen, H.; van-Bokhorst-de-van-der-Schueren, M. Comparison of five malnutrition screening tools in one hospital inpatient sample. J Clin Nurs. 2011, 20, 2144–2152. [Google Scholar] [CrossRef] [PubMed]
- McHugh, M.L. Interrater reliability: the kappa statistic. Biochem Med (Zagreb). 2012, 22, 276–282. [Google Scholar] [CrossRef]
- Central of Disease Control and Prevention. Saudi Arabia Top 10 Causes of Death. 2019. (accessed on 12 October 2023).
- World Health Organization. Child and adolescent health. Available online: https://www.emro.who.int/child-adolescent-health/data-statistics/saudi-arabia.html (accessed on 12 October 2023).
- El-Mouzan, M.; Al-Salloum, A.; Alqurashi, M.; Al-Herbish, A.; Al-Omar, A. The LMS and Z scale growth reference for Saudi school-age children and adolescents. Saudi Journal of Gastroenterology. 2016, 22, 331. [Google Scholar] [CrossRef] [PubMed]
- El-Mouzan, M.I.; Shaffi, A.; Al-Salloum, A.; Alqurashi, M.M.; Al-Herbish, A.; Al-Omer, A. Z-score growth reference data for Saudi preschool children. Ann Saudi Med. 2017, 37, 10–15. [Google Scholar] [CrossRef] [PubMed]
- Ong, S.H.; Chee, W.S.S.; Lapchmanan, L.M.; Ong, S.N.; Lua, Z.C.; Yeo, J.X.N. Validation of the Subjective Global Nutrition Assessment (SGNA) and Screening Tool for the Assessment of Malnutrition in Paediatrics (STAMP) to Identify Malnutrition in Hospitalized Malaysian Children. J Trop Pediatr. 2019, 65, 39–45. [Google Scholar] [CrossRef]
- Reed, M.; Mullaney, K.; Ruhmann, C.; March, P.; Conte, V.H.; Noyes, L.; et al. Screening Tool for the Assessment of Malnutrition in Pediatrics (STAMP) in the Electronic Health Record: A Validation Study. Nutrition in Clinical Practice 2020, 35, 1087–1093. [Google Scholar] [CrossRef] [PubMed]
- Katsagoni, C.N.; Cheirakaki, O.; Hatzoglou, A.; Zerva, O.; Koulieri, A.; Loizou, K.; et al. Malnutrition in Hospitalised Children—An Evaluation of the Efficacy of Two Nutritional Screening Tools. Nutrients 2021, 13, 1279. [Google Scholar] [CrossRef]
- Tuokkola, J.; Hilpi, J.; Kolho, K.L.; Orell, H.; Merras-Salmio, L. Nutritional risk screening—a cross-sectional study in a tertiary pediatric hospital. J Health Popul Nutr. 2019, 38, 8. [Google Scholar] [CrossRef] [PubMed]

| Variable | All (n=307) |
|---|---|
| Caregiver’s characteristics Age of the Caregiver* Gender of Caregiver*** Male Female |
36.40 ± 6.70 51 (16.6%) 256 (83.4%) |
| Patient’s Characteristics Age (months)** Gender*** Boy Girl Wight (kg)** Length/Height (cm)* MUAC (mm )* BMI (kg/m2)* Admission Diagnosis Documented*** Bowel failure, intractable diarrhea Burn and major trauma Liver disease Major surgery Food allergies/ intolerance Oncology on active treatments Renal disease/ failure Inborn errors of metabolism Coeliac disease Gastro-esophageal reflux Diabetes Respiratory syncytial virus Minor surgery Asthma Neuromuscular conditions Under investigations Pneumonia Acute diarrhea Respiratory Infection Neonatal disorder |
59 (72) 168 (54.7%) 139 (45.3%) 15.2 (13.5) 104.2 ± 26.73 153.37 ± 40.69 17.12 ± 4.69 11 (3.6%) 4 (1.3%) 3 (1%) 6 (2%) 4 (1.3%) 1 (0.3%) 8 (2.6%) 14 (4.6%) 1 (0.3%) 12 (3.9%) 9 (2.9%) 1 (0.3%) 1 (0.3%) 104 (33.9%) 18 (5.9%) 177 (57.7%) 38 (12.4%) 12 (3.9%) 16 (5.2%) 7 (2.3%) |
| Variables | Sample size |
|---|---|
|
Weight for height z score (WHO/CDC) * Malnutrition Absence of malnutrition |
N=155 (age <59 months) 48 (31%) 107 (69%) |
|
Weight for height z score (Saudi) * Malnutrition Absence of malnutrition |
N=155 (age <59 months) 36 (23.2%) 119 (76.8%) |
|
BMI for age z score (CDC) * Malnutrition Absence of malnutrition |
N=152 (age > 59 months) 43 (28.3%) 109 (71.7%) |
|
BMI for age z score (Saudi) * Malnutrition Absence of malnutrition |
N=152 (age > 59 months) 39 (25.7%) 113 (74.3%) |
| STEPs | Original STAMP | Saudi-Modified STAMP |
|---|---|---|
|
STEP 1 – DIAGNOSIS* Does the child have a diagnosis that has any nutritional implications? | ||
| Definite nutritional implications Possible nutritional implications No nutritional implications |
51 (16.6%) 27 (8.8%) 229 (74.6%) |
80 (26.1%) 72 (23.5%) 155 (50.5%) |
|
STEP 2 - NUTRITIONAL INTAKE* What is the child's nutritional intake? | ||
|
No change in eating patterns and good nutritional intake Recently decreased or poor nutritional intake No nutritional intake |
160 (52.1%) 124 (40.4%) 23 (7.5%) |
75 (24.4%) 154 (50.2%) 78 (25.4%) |
|
STEP 3 - WEIGHT AND HEIGHT* Using the centile quick reference tables to determine the child's measurements | ||
| 0 to 1 centile spaces/columns apart > 2 centile spaces/= 2 columns apart > 3 centile spaces/≥3 columns apart (or weight < 2nd centile) |
175 (57%) 93 (30.3%) 39 (12.7%) |
94 (30.6%) 85 (27.7%) 128 (41.7%) |
|
STEP 4 - OVERALL RISK OF MALNUTRITION* Add the scores from steps 1–3 together to calculate the child's overall risk of malnutrition. | ||
| High risk Medium risk Low risk |
72 (23.5%) 121 (39.4%) 114 (37.1%) |
189 (61.5%) 92 (30%) 26 (8.5%) |
| Nutritional status* | ||
| At high risk At low risk |
193 (62.9%) 114 (37.1%) |
281 (91.6%) 26 (8.5%) |
| Overall Saudi Modified STAMP Score (n=307) | p-value | ||||
|---|---|---|---|---|---|
| Anthropometric Measurements | Nutritional Status | All | At low risk | At high risk | |
| Saudi weight for height z scores (n=155) ** | Malnutrition Absence of malnutrition |
36 (23.2%) 119 (76.8%) |
2 (18.2%) 9 (81.8%) |
34 (23.6%) 110 (76.4%) |
1a |
| Saudi BMI for age z scores (n=152) ** | Malnutrition Absence of malnutrition |
39 (25.7%) 113 (74.3%) |
13 (86.7%) 1 (9.1%) |
37 (27%) 100 (73%) |
0356a |
| WHO and CDC weight for height z scores (n=155) ** | Malnutrition Absence of malnutrition |
48 (31%) 107 (69%) |
10 (90.9%) 2 (13.3%) |
47 (32.6%) 97 (67.4%) |
0.174 a |
| CDC BMI for age z scores (n=152) ** |
Malnutrition Absence of malnutrition |
43 (28.3%) 109 (71.7%) |
2 (13.3%) 13 (86.7%) |
41 (29.9%) 96 (70.1%) |
0.235 a |
| MUAC (n=307) * | 153.37 ± 40.69 |
157.15 ± 35.61 |
153.02 + 41.16 |
0.621 b |
|
| Overall Saudi-Modified STAMP Score (n=307) | p-value | ||||
|---|---|---|---|---|---|
| Anthropometric Measurements | Nutritional Status | All | At low risk | At high risk | |
| Saudi weight for height z scores (n=155) ** | Malnutrition Absence of malnutrition |
36 (23.2%) 119 (76.8%) |
12 (18.8%) 52 (81.3%) |
24 (26.4%) 67 (73.6%) |
0.268a |
| Saudi BMI for age z scores (n=152) ** | Malnutrition Absence of malnutrition |
39 (25.7%) 113 (74.3%) |
10 (20%) 40 (80%) |
29 (28.4%) 73 (71.6%) |
0.263 a |
| WHO and CDC weight for height z scores (n=155) ** | Malnutrition Absence of malnutrition |
48 (31%) 107 (69%) |
16 (24.6%) 49 (75.4%) |
32 (35.6%) 58 (64.4%) |
0.146 a |
| CDC BMI for age z scores (n=152) ** |
Malnutrition Absence of malnutrition |
43 (28.3%) 109 (71.7%) |
13 (26.5%) 36 (73.5%) |
30 (29.1%) 73 (70.9%) |
0.740 a |
| MUAC (n=307) * | 153.37 ± 40.69 |
153.51 ± 42.58 | 153.27 ± 39.64 | 0.961 b |
|
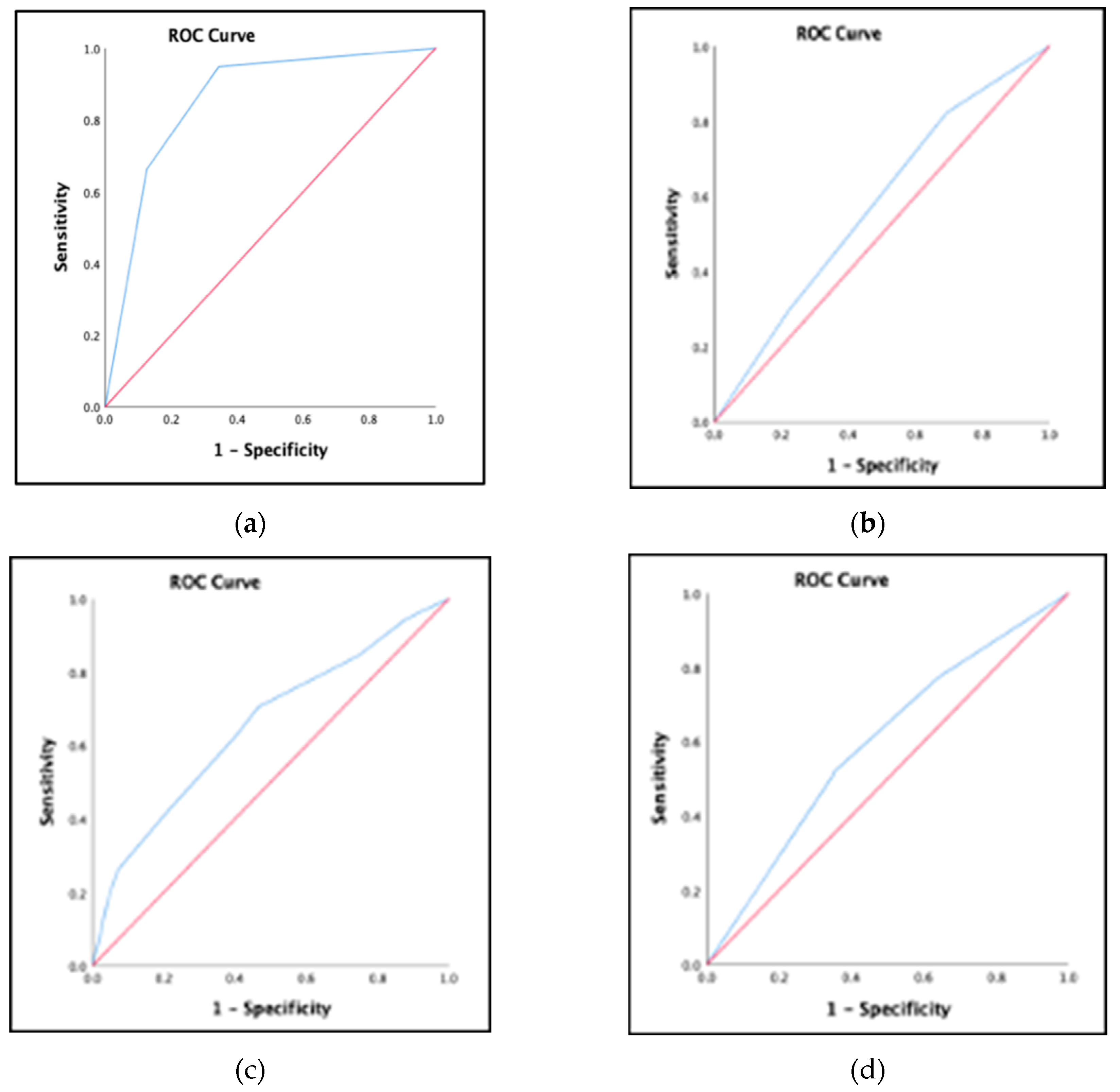
| Statistical Parameters of Concurrent Validity | Diagnosis | Nutritional Intake | Anthropometrics | Overall nutritional status |
|---|---|---|---|---|
| Sensitivity Specificity Positive Predictive Value Negative Predictive Value Kappa AUC (CI 95%) Prevalence |
94.8% 65.7% 48% 97.4% 0.457,p=0.001 0.856(0.810-0.902), p=0.001 25.1% |
82.3% 30.6% 52.2% 65.3% 0.126,p=0.008 0.576(0.512-0.640), p=0.021 47.9% |
75.8% 36% 47.2% 66..3% 0.109, p=0.027 0.595 (0.531-0.659), p=0.04 43% |
94.3% 13.2% 64.8% 57.7% 0.089, p=0.023 0.654 (0.592-0.715), p=0.001 62.9% |
| Statistical Parameters of Concurrent Validity | WHO &CDC weight for height z score | CDC BMI for age z score | Saudi weight for height z score | Saudi BMI for age z score |
|---|---|---|---|---|
| Sensitivity Specificity Positive Predictive Value Negative Predictive Value Prevalence |
97.9% 9.3% 32.6% 90.9% 31% |
95.3% 11.9% 29.9% 86.7% 28.3% |
94.4% 7.6% 23.6% 81.8% 23.2% |
94.9% 11.5% 27% 86.7% 25.7% |
| Statistical Parameters of Concurrent Validity | WHO &CDC weight for height z score | CDC BMI for age z score | Saudi weight for height z score | Saudi BMI for age z score |
|---|---|---|---|---|
| Sensitivity Specificity Positive Predictive Value Negative Predictive Value Prevalence |
54.2% 33.3% 64.4% 24.6% 56.7% |
69.8% 33% 29% 73.5% 28.3% |
66.7% 43.7 26.4% 81.3% 23.2% |
74.4% 35.4% 28.4% 80% 25.7% |
Disclaimer/Publisher’s Note: The statements, opinions and data contained in all publications are solely those of the individual author(s) and contributor(s) and not of MDPI and/or the editor(s). MDPI and/or the editor(s) disclaim responsibility for any injury to people or property resulting from any ideas, methods, instructions or products referred to in the content. |
© 2024 by the authors. Licensee MDPI, Basel, Switzerland. This article is an open access article distributed under the terms and conditions of the Creative Commons Attribution (CC BY) license (http://creativecommons.org/licenses/by/4.0/).
