Submitted:
16 August 2024
Posted:
16 August 2024
You are already at the latest version
Abstract
Keywords:
1. Introduction
1.1. Related Work
1.2. Main Contributions
- Based on the physical parameters of the three-phase separator on the Century platform and the principles of fluid dynamics, a mathematical model is developed, taking into account variables such as inlet flow rate, pressure difference, cross-sectional dimensions, and valve opening. This model serves as the environmental model and is suitable to construct the ALRW-DDPG algorithm network.
- An improved method for the traditional DDPG algorithm using the adaptive learning rate weight is proposed, enhancing the convergence speed and stability of the control algorithm. Additionally, the adaptive learning rate weight function is meticulously designed to dynamically adjust the learning rate.
- The ALRW-DDPG algorithm network for three-phase separator liquid level control is constructed. An environmental state vector is created, incorporating the current level height, level deviation, integral of the height error, derivative of the height error, inlet flow rate, and valve pressure differential. This state vector characterizes the liquid level fluctuations resulting from slug flow. An error reward function is designed to reduce the rate of change of the reward value as the target value is approached, thereby mitigating liquid level fluctuations.
- A comparative analysis is conducted to evaluate the differences in convergence speed and control error between the PID, traditional DDPG control methods, and the proposed ALRW-DDPG control algorithm, and which confirms the effectiveness of the ALRW-DDPG control algorithm, demonstrating its ability to enhance the stability of liquid level control in the three-phase separator.
2. Methods
2.1. The Principle and Model of Three-Phase Separator
2.2. DDPG Algorithm
2.3. Design of the ALRW-DDPG
| Algorithm 1. Pseudocode of ALRW-DDPG |
| 1. Initialization of DDPG Params: Actor θ, Critic ω, , , initialize replay buffer |
| 2. for episode =1 to M do |
| 3. Initialize the state randomly |
| 4. for t =1 to T do |
| 5. Determine using policy network and exploration |
| 6. Apply action compute system reward and determine next state |
| 7. Save transitions in replay buffer R |
| 8. if t > m do |
| 9. Sample a batch from replay buffer R |
| 10. Calculate TD error δ |
| 11. Minimize the loss function to update the critic network parameter: |
| 12. Update the critic network parameter using the policy gradient: |
| 13. Update the target networks parameter: 14. end if |
| 15. end for 16. Updates the actor network and critic network learning rate 17: end for |
3. Simulation and Result Analysis
3.1. Separator and Parameters
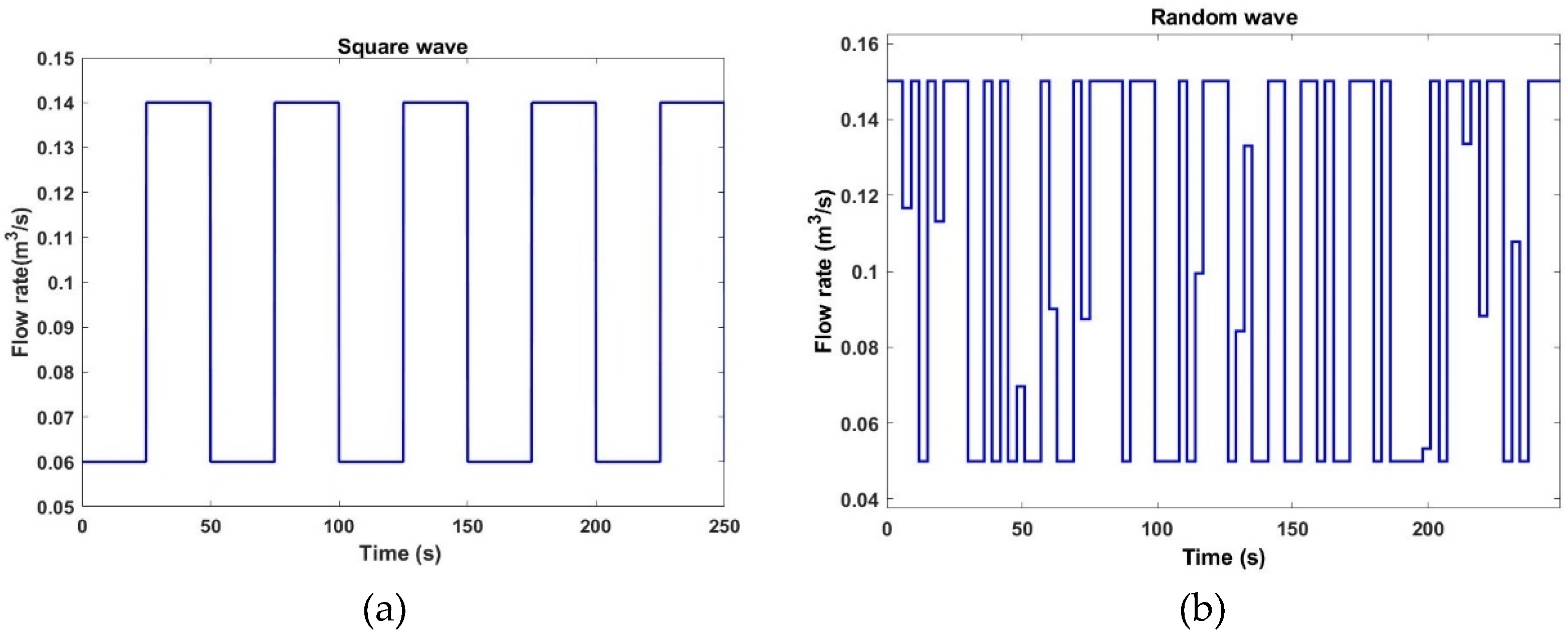
3.2. Simulation Model of Slug Flow
3.3. State Vector and Reward Function
3.3.1. State Vector
3.3.2. Design of the Reward Function
3.4. ALRW-DDPG Simulation Network
3.5. Simulation and Analysis
3.5.1. Simulation Conditions
3.5.2. Comparison between DDPG and ALRW-DDPG
3.5.3. Comparative Analysis of Liquid Level Control Algorithms
4. Conclusions
Author Contributions
Funding
Institutional Review Board Statement
Informed Consent Statement
Data Availability Statement
Conflicts of Interest
References
- Chen, X.; Zheng, J.; Jiang, J.;Peng, H.; Luo, Y.; Zhang, L. Numerical Simulation and Experimental Study of a Multistage Multiphase Separation System. Separations 2022, 9, 405. [CrossRef]
- Bai, Y.; Zhang, R. Application of oil gas water three-phase separator in Oilfield. Chem. Manage. 2020, 12, pp.215–216.
- Guo, S.;Wu, J.; Yu, Y.; Dong, L. Research progress of oil gas water three-phase separator. Pet. Mach. 2016, 44, pp.104–108.
- Flores-Bungacho, F.; Guerrero, J.; Llanos, J.; Ortiz-Villalba, D.; Navas, A.; Velasco, P. Development and Application of a Virtual Reality Biphasic Separator as a Learning System for Industrial Process Control. Electronics 2022, 11, pp.636-657. [CrossRef]
- Fadaei, M.; Ameri, M.J.; Rafiei, Y.; Asghari, M.; Ghasemi, M. Experimental Design and Manufacturing of a Smart Control System for Horizontal Separator Based on PID Controller and Integrated Production Model. Journal of Petroleum Exploration and Production Technology 2024, 6, pp.525-547. [CrossRef]
- John Pretlove, Steve Royston. Towards Autonomous Operations, the Offshore Technology Conference, Houston, TX, USA, 1– 4 May, 2023.
- Li, Y.; Kamotani, Y. Control-Volume Study of Flow Field in a Two-Phase Cyclonic Separator in Microgravity. Theoretical and Computational Fluid Dynamics. 2023, 37, pp.105–127. [CrossRef]
- Sayda, A.F.; Taylor, J.H. Modeling and Control of Three-Phase Gravity Separators in Oil Production Facilities. In Proceedings of the 2007 American Control Conference, Marriott Marquis Hotel at Times Square, New York City, USA, 2007, 6, 11–13.
- Charlton, J.S.; Lees, R.P. The Future of Three Phase Separator Control. In Proceedings of the SPE Asia Pacific Oil and Gas Conference and Exhibition, Melbourne, Australia, 8–10, 10, 2002.
- Li, Z.; Li, Y.; Wei, G. Optimization of Control Loops and Operating Parameters for Three-Phase Separators Used in Oilfield Central Processing Facilities. Fluid Dynamics & Materials Processing, 2023, 19, 3. [CrossRef]
- SONG S., LIU X., CHEN H. The influence of PID control parameters on the production process of gravity three-phase separator. Petroleum Science Bulletin 2023, 8,pp. 179-192.
- MA C; HUANG Z.;LIU X.Analysis and optimization of liquid level setting for three-phase separators based on K-Spice software.China Offshore Oil and Gas, 2021, 33, pp.172-178.
- Fan, X. Research on Oil-Water Treatment Control of Three-Phase Separator Based on Dynamic Mathematical Model and GA Algorithm. Automation and Instrumentation, 2024, 4, 220-224.
- Wu, F.; Huang, K.; Li, H.; Huang, C. Analysis and Research on the Automatic Control Systems of Oil–Water Baffles in Horizontal Three-Phase Separators. Processes 2022, 10, 1102–1111. [CrossRef]
- Durdevic, P.; Yang, Z. Application of H∞ Robust Control on a Scaled Offshore Oil and Gas De-Oiling Facility. Energies 2018, 11, 287. [CrossRef]
- Yao, J.; Ge, Z. Path-Tracking Control Strategy of Unmanned Vehicle Based on DDPG Algorithm. Sensors 2022, 22, 7881. [CrossRef]
- Duguleana, M.; Mogan, G. Neural networks based reinforcement learning for mobile robots obstacle avoidance. Expert Systems with Applications.2016, 62, 104–115. [CrossRef]
- Zhao, J.; Wang, P.; Li, B.; Bai, C. A DDPG-Based USV Path-Planning Algorithm. Applied Sciences. 2023, 13, 10567. [CrossRef]
- Yang, J.; Peng, W.; Sun, C. A Learning Control Method of Automated Vehicle Platoon at Straight Path with DDPG-Based PID. Electronics 2021, 10, 2580. [CrossRef]
- Pokhrel, S.R.; Kua, J.; Satish, D.; Ozer, S.; Howe, J.; Walid, A. DDPG-MPCC: An Experience Driven Multipath Performance Oriented Congestion Control. Future Internet 2024, 16, 37. [CrossRef]
- apaioannou, I.; Dimara, A.; Korkas, C.; Michailidis, I.; Papaioannou, A.; Anagnostopoulos, C.-N.; Kosmatopoulos, E.; Krinidis, S.; Tzovaras, D. An Applied Framework for Smarter Buildings Exploiting a Self-Adapted Advantage Weighted Actor-Critic. Energies 2024, 17, 616. [CrossRef]
- Mai, T.; Yao, H.; Jing, Y.; Xu, X.; Wang, X.; Ji, Z. Self-learning Congestion Control of MPTCP in Satellites Communications. In Proceedings of the 2019 15th International Wireless Communications & Mobile Computing Conference (IWCMC), Tangier, Morocco, 24–28 June 2019; pp. 775–780.
- Chang, C.-C.; Tsai, J.; Lin, J.-H.; Ooi, Y.-M. Autonomous Driving Control Using the DDPG and RDPG Algorithms. Applied Sciences. 2021, 11, 10659. [CrossRef]
- Song Yanyong, SU Mingxu, Wang Zian. Research on the Measurement Principle and Method of Valve Flow Coefficient. Automatic Instrumentation, 2022, 43, 28-32.
- Faria, R.d.R.; Capron,B.D.O.; Secchi, A.R.; de Souza, M.B.,Jr. Where Reinforcement Learning Meets Process Control: Review and Guidelines. Processes 2022, 10, 2311.
- Lu, Z.; Yan, Y. Temperature Control of Fuel Cell Based on PEI-DDPG. Energies 2024, 17, 1728. [CrossRef]
- DENG Luke, LYU Dongpo. PID parameter tuning of remotely operated vehicle control attitude based on genetic algorithm. Manufacturing Automation, 2023, 45, 177-179, 206.
- ZENG Xiongfei. The PID control algorithm based on particle swarm optimization optimized BP neural network. Electronic Design Engineering, 2022, 30, 69-73, 78.
- Grondman I, Busoniu L, Lopes G A D, Babuska R. A Survey of Actor-Critic Reinforcement Learning: Standard and Natural Policy Gradients. IEEE Transactions on Systems, Man, and Cybernetics, Part C: Applications and Reviews, 2012, 42, 1291-1307. [CrossRef]
- Chung, J.; Han, D.; Kim, J.; Kim, C.K. Machine Learning Based Path Management for Mobile Devices Over MPTCP. In Proceedings of the 2017 IEEE International Conference on Big Data and Smart Computing (BigComp), Jeju, Republic of Korea, 13–16 February 2017; pp. 206–209.
- Ebrahim H. S.; Said J. A.; Hitham S. A.; Safwan M. A.; Alawi A.; Mohammed G. R.; Suliman M. F. Deep deterministic policy gradient algorithm: A systematic review. Heliyon 2024, 10, e30697.
- Li, H.; Kang, J.; Li, C. Energy Management Strategy Based on Reinforcement Learning and Frequency Decoupling for Fuel Cell Hybrid Powertrain. Energies 2024, 17, 1929. [CrossRef]












| Parameters | Value |
|---|---|
| Separator Length | 4 m |
| Separator Inner Diameter | 16.5 m |
| Pressure | 350 kPa |
| Pressure | 50~70 °C |
| Processing Capacity (oil) | 293 m3/h |
| Water Phase Export Valve Size | 8 in |
| Water Phase Valve Flow Coefficient Cv | 180.807 GPM |
| Oil Phase Export Valve Size | 10 in |
| Parameters | Value |
|---|---|
| Initial learning rate for Critic network | 0.001 |
| Initial learning rate for Actor network | 0.0001 |
| Sampling time (s) | 0.5s |
| Smooth factor | 0.001 |
| Discount factor | 0.99 |
| Noise mean value | 0 |
| Noise regression parameter | 0.15 |
| Initial value of noise standard deviation | 0.3 |
| Number of iterations | 500 |
| Experience pool playback training batches | 64 |
Disclaimer/Publisher’s Note: The statements, opinions and data contained in all publications are solely those of the individual author(s) and contributor(s) and not of MDPI and/or the editor(s). MDPI and/or the editor(s) disclaim responsibility for any injury to people or property resulting from any ideas, methods, instructions or products referred to in the content. |
© 2024 by the authors. Licensee MDPI, Basel, Switzerland. This article is an open access article distributed under the terms and conditions of the Creative Commons Attribution (CC BY) license (http://creativecommons.org/licenses/by/4.0/).