Submitted:
14 August 2024
Posted:
15 August 2024
You are already at the latest version
Abstract
Keywords:
1. Introduction
2. Equations of Motion and Numerical Details
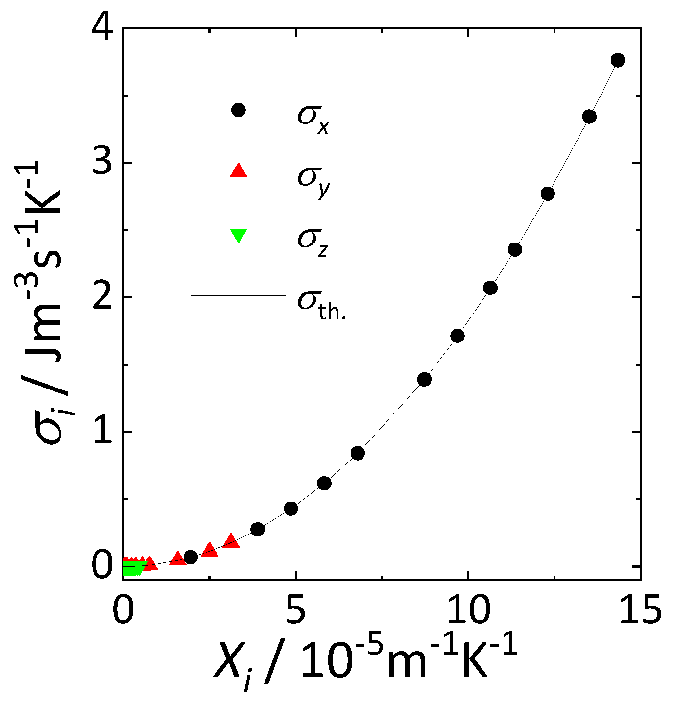
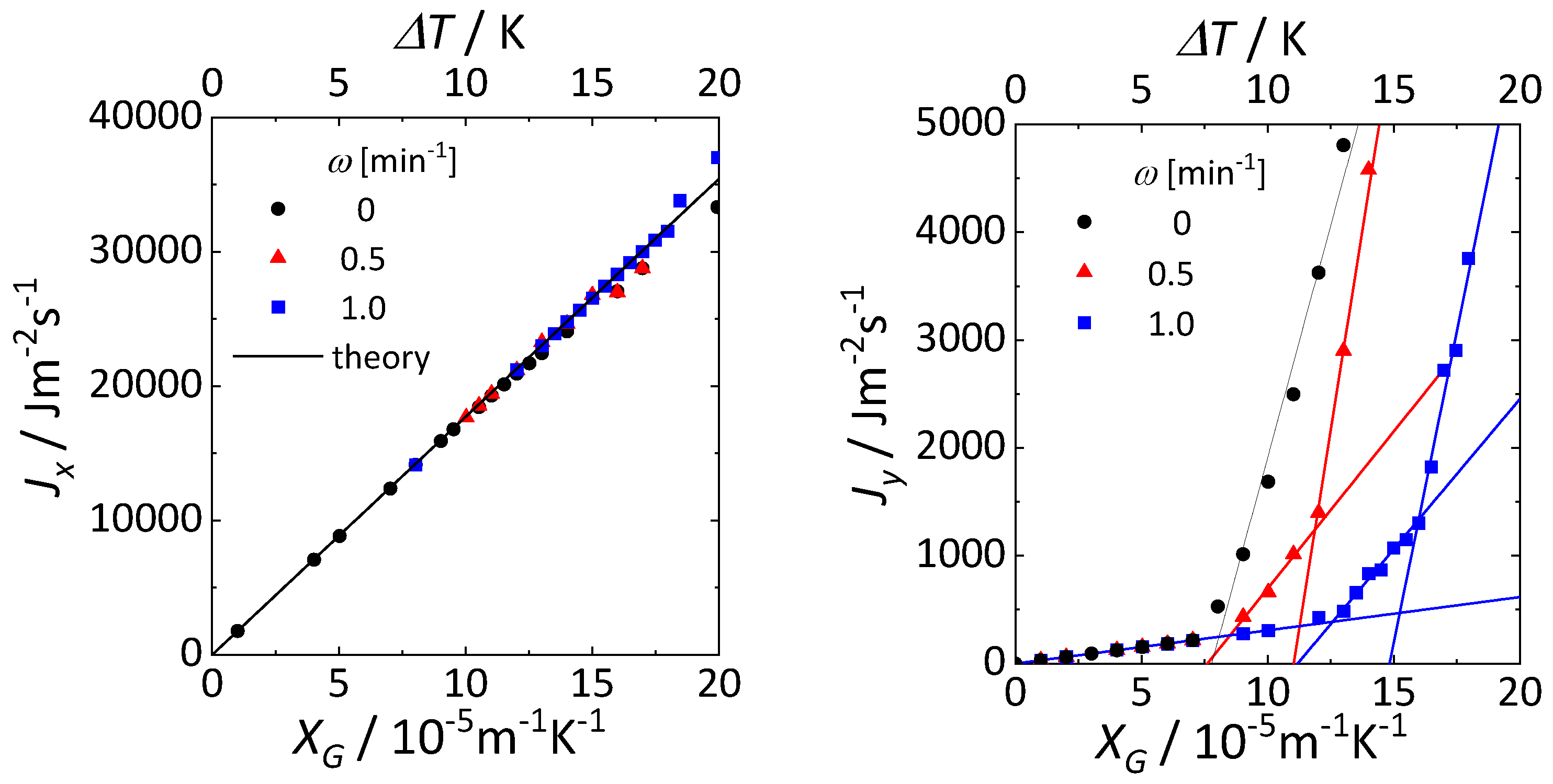
3. Results and Discussion
4. Conclusion
Author Contributions
Funding
Conflicts of Interest
References
- Onsager, L. Reciprocal Relations in Irreversible Processes. I. Phys. Rev. 1931, 37, 405–426. [CrossRef]
- Onsager, L. Reciprocal Relations in Irreversible Processes. II. Phys. Rev. 1931, 38, 2265–2279. [CrossRef]
- Prigogine, I. Introduction to Thermodynamics of Irreversible Processes; Charles C Thomas: Illinois, 1956;
- Hohenberg, P.; Halperin, B. Theory of dynamic critical phenomena. Rev. Mod. Phys. 1977, 49, 435–479. [CrossRef]
- Schwabe, D.; Scharmann, A.; Preisser, F.; Oeder, R.; Liebig-universitdt, I.P.I.D.J.; Germany, W. Experiments on surface tension driven flow in floating zone melting. J. Cryst. Growth 1978, 43, 305–312.
- Hu, H.; Larson, R.G. Marangoni effect reverses coffee-ring depositions. J. Phys. Chem. B 2006, 110, 7090–7094. [CrossRef]
- Deegan, R.D.; Bakajin, O.; Dupont, T.F.; Huber, G.; Nagel, S.R.; Witten, T.A. Capillary flow as the cause of ring stains from dried liquid drops. Nature 1997, 389, 827–829. [CrossRef]
- Bejan, A. A Study of Entropy Generation in Fundamental Convective Heat Transfer. J. Heat Transfer 1979, 101, 718–725. [CrossRef]
- Bejan Adrian Bejan - Advanced Engineering Thermodynamics (2006, Wiley) - libgen.lc 2006.
- Pearson, J.R.A. On convection cells induced by surface tension. J. Fluid Mech. 1958, 4, 489–500. [CrossRef]
- Nield, D.A. Surface tension and buoyancy effects in cellular convection. J. Fluid Mech. 1964, 19, 341–352. [CrossRef]
- GROSSMANN, S.; LOHSE, D. Scaling in thermal convection: a unifying theory. J. Fluid Mech. 2000, 407, 27–56. [CrossRef]
- Farmer, J.D.; Sidorowich, J.J. Predicting chaotic time series. Phys. Rev. Lett. 1987, 59, 845–848. [CrossRef]
- Busse, B.F.H. The stability of finite amplitude cellular convection and its relation to an extremum principle. J. Fluid Mech. 1967, 30, 625–649.
- Malkus, W.V.R.; Veronis, G. Finite amplitude cellular convection. J. Fluid Mech. 1958, 4, 225–260. [CrossRef]
- Bodenschatz, E.; Pesch, W.; Ahlers, G. R ECENT D EVELOPMENTS IN R AYLEIGH -B E. 2000, 709–778.
- Chatterjee, A.; Yadati, Y.; Mears, N.; Iannacchione, G. Coexisting Ordered States, Local Equilibrium-like Domains, and Broken Ergodicity in a Non-turbulent Rayleigh-Bénard Convection at Steady-state. Sci. Rep. 2019, 9, 10615. [CrossRef]
- Chandrasekhar, S. Hydrodynamic and Hydromagnetic Stability; Oxford University Press: Oxford, 1961;
- Hohenberg, P.C.; Swift, J.B. Hexagons and rolls in periodically modulated Rayleigh-Bénard convection. Phys. Rev. A 1987, 35, 3855–3873. [CrossRef]
- Doi, M. Onsager’s variational principle in soft matter. J. Phys. Condens. Matter 2011, 23, 284118. [CrossRef]
- Martyushev, L.M.; Seleznev, V.D. Maximum entropy production principle in physics, chemistry and biology. Phys. Rep. 2006, 426, 1–45. [CrossRef]
- Martyushev, L.M. Мaximum Entropy Production Principle: History and Current Status. Uspekhi Fiz. Nauk 2021, 191, 586–613. [CrossRef]
- Endres, R.G. Entropy production selects nonequilibrium states in multistable systems. Sci. Rep. 2017, 7, 1–13. [CrossRef]
- Lucia, U.; Grisolia, G.; Ponzetto, A.; Silvagno, F. An engineering thermodynamic approach to select the electromagnetic wave effective on cell growth. J. Theor. Biol. 2017, 429, 181–189. [CrossRef]
- Ziegler, H. An introduction to thermomechanics; North Holland, Amsterdam, 1977; ISBN 3804204422.
- Saffman, P.G.; Taylor, G. The Penetration of a Fluid into a Porous Medium or Hele-Shaw Cell Containing a More Viscous Liquid. Proc. R. Soc. A 1958, 245, 312–329. [CrossRef]
- Martyushev, L.M.; Birzina, A.I.; Konovalov, M.S.; Sergeev, A.P. Experimental investigation of the onset of instability in a radial Hele-Shaw cell. Phys. Rev. E - Stat. Nonlinear, Soft Matter Phys. 2009, 80, 1–9. [CrossRef]
- Martyushev, L.M.; Bando, R.D.; Chervontseva, E.A. Instability of the fluid interface at arbitrary perturbation amplitudes. Displacement in the Hele–Shaw cell. Phys. A Stat. Mech. its Appl. 2021, 562, 125391. [CrossRef]
- Ban, T.; Ishii, H.; Onizuka, A.; Chatterjee, A.; Suzuki, R.X.; Nagatsu, Y.; Mishra, M. Momentum transport of morphological instability in fluid displacement with changes in viscosity. Phys. Chem. Chem. Phys. 2024, 26, 5633–5639. [CrossRef]
- Ban, T. Thermodynamic Analysis of Bistability in Rayleigh–Bénard Convection. Entropy 2020, 22, 800. [CrossRef]
- Man, X.; Doi, M. Vapor-Induced Motion of Liquid Droplets on an Inert Substrate. Phys. Rev. Lett. 2017, 119, 1–5. [CrossRef]
- Man, X.; Doi, M. Ring to Mountain Transition in Deposition Pattern of Drying Droplets. Phys. Rev. Lett. 2016, 116, 1–5. [CrossRef]
- Peng, L.; Li, Y.R.; Shi, W.Y.; Imaishi, N. Three-dimensional thermocapillary-buoyancy flow of silicone oil in a differentially heated annular pool. Int. J. Heat Mass Transf. 2007, 50, 872–880. [CrossRef]
- Ban, T.; Shigeta, K. Thermodynamic analysis of thermal convection based on entropy production. Sci. Rep. 2019, 9, 10368. [CrossRef]
- Schwabe, D.; Zebib, A.; Sim, B.C. Oscillatory thermocapillary convection in open cylindrical annuli. Part 1. Experiments under microgravity. J. Fluid Mech. 2003, 491, 239–258. [CrossRef]
- De Groot, S.R.; Mazur, P. Non-Equilibrium Thermodynamics; Dover: New York, 1984; ISBN 0486647412.
- Meyer, C.W.; Cannell, D.S.; Ahlers, G.; Swift, J.B.; Hohenberg, P.C. Pattern Competition in Temporally Modulated Rayleigh-Bénard Convection. Phys. Rev. Lett. 1988, 61, 947–950. [CrossRef]
- Chatterjee, A.; Ban, T.; Iannacchione, G. Evidence of local equilibrium in a non-turbulent Rayleigh–Bénard convection at steady-state. Phys. A Stat. Mech. its Appl. 2022, 593, 126985. [CrossRef]
- Hill, A. Entropy production as the selection rule between different growth morphologies. Nature 1990, 348, 426–428. [CrossRef]
- Martyushev, L.M. Some interesting consequences of the maximum entropy production principle. J. Exp. Theor. Phys. 2007, 104, 651–654. [CrossRef]
- Ban, T.; Hatada, Y.; Takahashi, K. Spontaneous motion of a droplet evolved by resonant oscillation of a vortex pair. Phys. Rev. E - Stat. Nonlinear, Soft Matter Phys. 2009, 79, 1–12. [CrossRef]
- Nabika, H.; Tsukada, K.; Itatani, M.; Ban, T. Tunability of Self-Organized Structures Based on Thermodynamic Flux. 2022. [CrossRef]







| Physical properties | Value |
|---|---|
| Thermal conductivity () Viscosity () Density () Thermal expansion coefficient () Surface tension coefficient () Heat capacity () Melting temperature () |
64 Wm-1K-1 7.0×10-4 kgm-1s-1 2530 kgm-3 1.5×10-4 K-1 −7.0×10-5 Nm-1K-1 1000 Jkg-1K-1 1683 K |
| Region | ||||||
|---|---|---|---|---|---|---|
| 1. 2. 3. |
|
|
|
|
|
|
Disclaimer/Publisher’s Note: The statements, opinions and data contained in all publications are solely those of the individual author(s) and contributor(s) and not of MDPI and/or the editor(s). MDPI and/or the editor(s) disclaim responsibility for any injury to people or property resulting from any ideas, methods, instructions or products referred to in the content. |
© 2024 by the authors. Licensee MDPI, Basel, Switzerland. This article is an open access article distributed under the terms and conditions of the Creative Commons Attribution (CC BY) license (http://creativecommons.org/licenses/by/4.0/).