Submitted:
12 August 2024
Posted:
13 August 2024
You are already at the latest version
Abstract
Keywords:
1. Introduction
2. Materials and Methods
2.1. Study Area
2.2. Approach
2.3. UAV Image Collection & Image Processing
2.4. Burn Severity Classification
2.5. Supervised Classification - Training Dataset

2.6. Random Forest Classification and Input Variables
2.7. Woody Vegetation Survival/Regrowth Analysis
3. Results
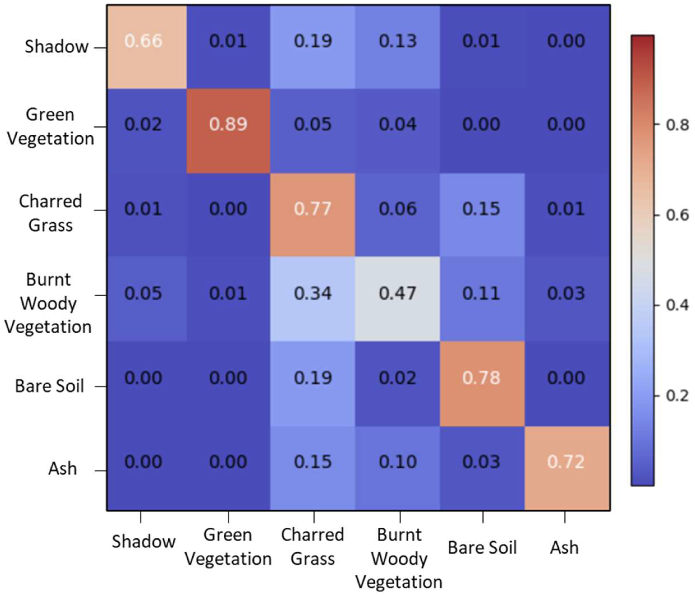
3.1. Burn Severity Classification


3.2. Relative Importance of Model Predictors

3.4. Woody Vegetation Survival/Regrowth Probabilities
4. Discussion
4.1. Severity Accuracy
4.2. Post-Fire Woody Vegetation Dynamics
5. Conclusions
Author Contributions
Funding
Data Availability Statement
Acknowledgments
Conflicts of Interest
References
- Archibald, S.; Scholes, R.J.; Roy, D.P.; Roberts, G.; Boschetti, L. Southern African Fire Regimes as Revealed by Remote Sensing. Int. J. Wildland Fire 2010, 19, 861. [Google Scholar] [CrossRef]
- Komarek Sr., E. V., 1964. The natural history of lightning. In: Annual Tall Timbers Fire Ecology Conference Number 3. Tall Timbers Research Station, Tallahassee, FL, pp. 139–183.
- Mathieu, R.; Main, R.; Roy, D.P.; Naidoo, L.; Yang, H. The Effect of Surface Fire in Savannah Systems in the Kruger National Park (KNP), South Africa, on the Backscatter of C-Band Sentinel-1 Images. Fire 2019, 2, 37. [Google Scholar] [CrossRef]
- Trollope, W.S.W. “Effects and Use of Fire in Southern African Savannas.” Department of Livestock and Pasture Science, Faculty of Agriculture University Fort Hare, Alice, South Africa, 1999.
- Meyer, T.; Holloway, P.; Christiansen, T.B.; Miller, J.A.; D’Odorico, P.; Okin, G.S. An Assessment of Multiple Drivers Determining Woody Species Composition and Structure: A Case Study from the Kalahari, Botswana. Land 2019, 8, 122. [Google Scholar] [CrossRef]
- Dintwe, K.; Okin, G.S.; Xue, Y. Fire-induced Albedo Change and Surface Radiative Forcing in sub-Saharan Africa Savanna Ecosystems: Implications for the Energy Balance. JGR Atmospheres 2017, 122, 6186–6201. [Google Scholar] [CrossRef]
- Saha, M.V.; D’Odorico, P.; Scanlon, T.M. Kalahari Wildfires Drive Continental Post-Fire Brightening in Sub-Saharan Africa. Remote Sensing 2019, 11, 1090. [Google Scholar] [CrossRef]
- Higgins, S.I.; Bond, W.J.; Combrink, H.; Craine, J.M.; February, E.C.; Govender, N.; Lannas, K.; Moncreiff, G.; Trollope, W.S.W. Which Traits Determine Shifts in the Abundance of Tree Species in a Fire-prone Savanna? Journal of Ecology 2012, 100, 1400–1410. [Google Scholar] [CrossRef]
- Joubert, D.F.; Smit, G.N.; Hoffman, M.T. The Role of Fire in Preventing Transitions from a Grass Dominated State to a Bush Thickened State in Arid Savannas. Journal of Arid Environments 2012, 87, 1–7. [Google Scholar] [CrossRef]
- Holdo, R.M. Stem Mortality Following Fire in Kalahari Sand Vegetation: Effects of Frost,Prior Damage, and Tree Neighbourhoods. Plant Ecol 2005, 180, 77–86. [Google Scholar] [CrossRef]
- Govender, N.; Trollope, W.S.W.; Van Wilgen, B.W. The Effect of Fire Season, Fire Frequency, Rainfall and Management on Fire Intensity in Savanna Vegetation in South Africa. Journal of Applied Ecology 2006, 43, 748–758. [Google Scholar] [CrossRef]
- Hoffmann, W.A.; Solbrig, O.T. The Role of Topkill in the Differential Response of Savanna Woody Species to Fire. Forest Ecology and Management 2003, 180, 273–286. [Google Scholar] [CrossRef]
- Lohmann, D.; Tietjen, B.; Blaum, N.; Joubert, D.F.; Jeltsch, F. Prescribed Fire as a Tool for Managing Shrub Encroachment in Semi-Arid Savanna Rangelands. Journal of Arid Environments 2014, 107, 49–56. [Google Scholar] [CrossRef]
- Hudak, A.T.; Ottmar, R.D.; Vihnanek, R.E.; Brewer, N.W.; Smith, A.M.S.; Morgan, P. The Relationship of Post-Fire White Ash Cover to Surface Fuel Consumption. Int. J. Wildland Fire 2013, 22, 780. [Google Scholar] [CrossRef]
- Keeley, J.E. Fire Intensity, Fire Severity and Burn Severity: A Brief Review and Suggested Usage. Int. J. Wildland Fire 2009, 18, 116. [Google Scholar] [CrossRef]
- Lentile, L.B.; Morgan, P.; Hudak, A.T.; Bobbitt, M.J.; Lewis, S.A.; Smith, A.M.S.; Robichaud, P.R. Post-Fire Burn Severity and Vegetation Response Following Eight Large Wildfires Across the Western United States. fire ecol 2007, 3, 91–108. [Google Scholar] [CrossRef]
- Bennett, L.T.; Bruce, M.J.; MacHunter, J.; Kohout, M.; Tanase, M.A.; Aponte, C. Mortality and Recruitment of Fire-Tolerant Eucalypts as Influenced by Wildfire Severity and Recent Prescribed Fire. Forest Ecology and Management 2016, 380, 107–117. [Google Scholar] [CrossRef]
- Retallack, A.; Finlayson, G.; Ostendorf, B.; Lewis, M. Using Deep Learning to Detect an Indicator Arid Shrub in Ultra-High-Resolution UAV Imagery. Ecological Indicators 2022, 145, 109698. [Google Scholar] [CrossRef]
- Devine, A.P.; McDonald, R.A.; Quaife, T.; Maclean, I.M.D. Determinants of Woody Encroachment and Cover in African Savannas. Oecologia 2017, 183, 939–951. [Google Scholar] [CrossRef] [PubMed]
- Kraaij, T.; Ward, D. Effects of Rain, Nitrogen, Fire and Grazing on Tree Recruitment and Early Survival in Bush-Encroached Savanna, South Africa. Plant Ecol 2006, 186, 235–246. [Google Scholar] [CrossRef]
- Roques, K.G.; O’Connor, T.G.; Watkinson, A.R. Dynamics of Shrub Encroachment in an African Savanna: Relative Influences of Fire, Herbivory, Rainfall and Density Dependence. Journal of Applied Ecology 2001, 38, 268–280. [Google Scholar] [CrossRef]
- Sankaran, M.; Hanan, N.P.; Scholes, R.J.; Ratnam, J.; Augustine, D.J.; Cade, B.S.; Gignoux, J.; Higgins, S.I.; Le Roux, X.; Ludwig, F.; et al. Determinants of Woody Cover in African Savannas. Nature 2005, 438, 846–849. [Google Scholar] [CrossRef]
- Case, M.F.; Staver, A.C. Fire Prevents Woody Encroachment Only at Higher-than-historical Frequencies in a South African Savanna. Journal of Applied Ecology 2017, 54, 955–962. [Google Scholar] [CrossRef]
- Beltrán-Marcos, D.; Suárez-Seoane, S.; Fernández-Guisuraga, J.M.; Fernández-García, V.; Pinto, R.; García-Llamas, P.; Calvo, L. Mapping Soil Burn Severity at Very High Spatial Resolution from Unmanned Aerial Vehicles. Forests 2021, 12, 179. [Google Scholar] [CrossRef]
- Fraser, R.; Van Der Sluijs, J.; Hall, R. Calibrating Satellite-Based Indices of Burn Severity from UAV-Derived Metrics of a Burned Boreal Forest in NWT, Canada. Remote Sensing 2017, 9, 279. [Google Scholar] [CrossRef]
- McKenna, P.; Erskine, P.D.; Lechner, A.M.; Phinn, S. Measuring Fire Severity Using UAV Imagery in Semi-Arid Central Queensland, Australia. International Journal of Remote Sensing 2017, 38, 4244–4264. [Google Scholar] [CrossRef]
- Collins, L.; Griffioen, P.; Newell, G.; Mellor, A. The Utility of Random Forests for Wildfire Severity Mapping. Remote Sensing of Environment 2018, 216, 374–384. [Google Scholar] [CrossRef]
- Roy, D.P.; Boschetti, L.; Trigg, S.N. Remote Sensing of Fire Severity: Assessing the Performance of the Normalized Burn Ratio. IEEE Geosci. Remote Sensing Lett. 2006, 3, 112–116. [Google Scholar] [CrossRef]
- Smith, A.M.S.; Wooster, M.J.; Drake, N.A.; Dipotso, F.M.; Falkowski, M.J.; Hudak, A.T. Testing the Potential of Multi-Spectral Remote Sensing for Retrospectively Estimating Fire Severity in African Savannahs. Remote Sensing of Environment 2005, 97, 92–115. [Google Scholar] [CrossRef]
- Hillman, S.; Hally, B.; Wallace, L.; Turner, D.; Lucieer, A.; Reinke, K.; Jones, S. High-Resolution Estimates of Fire Severity—An Evaluation of UAS Image and LiDAR Mapping Approaches on a Sedgeland Forest Boundary in Tasmania, Australia. Fire 2021, 4, 14. [Google Scholar] [CrossRef]
- Von Nonn, J.; Villarreal, M.L.; Blesius, L.; Davis, J.; Corbett, S. An Open-Source Workflow for Scaling Burn Severity Metrics from Drone to Satellite to Support Post-Fire Watershed Management. Environmental Modelling & Software 2024, 172, 105903. [Google Scholar] [CrossRef]
- Kaduyu, I.; Tsheko, R.; Chepete, J.H.; Kgosiesele, E. Burned Area Estimation and Severity Classification Using the Fire Mapping Tool (Fmt) in Arid Savannas of Botswana, a Case Study – Kgalagadi District 2023, preprint, SSRN, 2023.
- Pérez-Rodríguez, L.A.; Quintano, C.; Marcos, E.; Suarez-Seoane, S.; Calvo, L.; Fernández-Manso, A. Evaluation of Prescribed Fires from Unmanned Aerial Vehicles (UAVs) Imagery and Machine Learning Algorithms. Remote Sensing 2020, 12, 1295. [Google Scholar] [CrossRef]
- Kgosikoma, O.E.; Batisani, N. Livestock Population Dynamics and Pastoral Communities’ Adaptation to Rainfall Variability in Communal Lands of Kgalagadi South, Botswana. Pastoralism 2014, 4, 19. [Google Scholar] [CrossRef]
- Porporato, A.; Laio, F.; Ridolfi, L.; Caylor, K.K.; Rodriguez-Iturbe, I. Soil Moisture and Plant Stress Dynamics along the Kalahari Precipitation Gradient. J. Geophys. Res. 2003, 108, 2002JD002448. [Google Scholar] [CrossRef]
- Modisa Wildlife Project - Mission. Available online: https://www.modisawildlifeproject.com/mission (Accessed 25 June 2024).
- Lewis, S.A.; Robichaud, P.R.; Hudak, A.T.; Strand, E.K.; Eitel, J.U.H.; Brown, R.E. Evaluating the Persistence of Post-Wildfire Ash: A Multi-Platform Spatiotemporal Analysis. Fire 2021, 4, 68. [Google Scholar] [CrossRef]
- Edwards A, Russell-Smith J, Maier SW (2015) Chapter 8. Measuring and Mapping Fire Severity in the Tropical Savannas. In: Murphy B, Edwards A, Meyer M, Russell-Smith J, editors. Carbon Accounting and Savanna Fire Management. Melbourne: CSIRO Publishing. pp. 169–181.
- Maxwell, A.E.; Warner, T.A.; Fang, F. Implementation of Machine-Learning Classification in Remote Sensing: An Applied Review. International Journal of Remote Sensing 2018, 39, 2784–2817. [Google Scholar] [CrossRef]
- Rodriguez-Galiano, V.F.; Ghimire, B.; Rogan, J.; Chica-Olmo, M.; Rigol-Sanchez, J.P. An Assessment of the Effectiveness of a Random Forest Classifier for Land-Cover Classification. ISPRS Journal of Photogrammetry and Remote Sensing 2012, 67, 93–104. [Google Scholar] [CrossRef]
- Breiman, L. [No Title Found]. Machine Learning 2001, 45, 5–32. [Google Scholar] [CrossRef]
- Belgiu, M.; Drăguţ, L. Random Forest in Remote Sensing: A Review of Applications and Future Directions. ISPRS Journal of Photogrammetry and Remote Sensing 2016, 114, 24–31. [Google Scholar] [CrossRef]
- Meddens, A.J.H.; Kolden, C.A.; Lutz, J.A. Detecting Unburned Areas within Wildfire Perimeters Using Landsat and Ancillary Data across the Northwestern United States. Remote Sensing of Environment 2016, 186, 275–285. [Google Scholar] [CrossRef]
- Mohammadpour, P.; Viegas, D.X.; Viegas, C. Vegetation Mapping with Random Forest Using Sentinel 2 and GLCM Texture Feature—A Case Study for Lousã Region, Portugal. Remote Sensing 2022, 14, 4585. [Google Scholar] [CrossRef]
- Phan, T.N.; Kuch, V.; Lehnert, L.W. Land Cover Classification Using Google Earth Engine and Random Forest Classifier—The Role of Image Composition. Remote Sensing 2020, 12, 2411. [Google Scholar] [CrossRef]
- Ghimire, B.; Rogan, J.; Galiano, V.R.; Panday, P.; Neeti, N. An Evaluation of Bagging, Boosting, and Random Forests for Land-Cover Classification in Cape Cod, Massachusetts, USA. GIScience & Remote Sensing 2012, 49, 623–643. [Google Scholar] [CrossRef]
- Kupidura, P. The Comparison of Different Methods of Texture Analysis for Their Efficacy for Land Use Classification in Satellite Imagery. Remote Sensing 2019, 11, 1233. [Google Scholar] [CrossRef]
- Zhou, H.; Fu, L.; Sharma, R.P.; Lei, Y.; Guo, J. A Hybrid Approach of Combining Random Forest with Texture Analysis and VDVI for Desert Vegetation Mapping Based on UAV RGB Data. Remote Sensing 2021, 13, 1891. [Google Scholar] [CrossRef]
- Hall-Beyer, M. Practical Guidelines for Choosing GLCM Textures to Use in Landscape Classification Tasks over a Range of Moderate Spatial Scales. International Journal of Remote Sensing 2017, 38, 1312–1338. [Google Scholar] [CrossRef]
- Haralick, R.M. Statistical and Structural Approaches to Texture. Proc. IEEE 1979, 67, 786–804. [Google Scholar] [CrossRef]
- Coulston, J.W.; Blinn, C.E.; Thomas, V.A.; Wynne, R.H. Approximating Prediction Uncertainty for Random Forest Regression Models. Photogram Engng Rem Sens 2016, 82, 189–197. [Google Scholar] [CrossRef]
- Li, Z.; Bi, S.; Hao, S.; Cui, Y. Aboveground Biomass Estimation in Forests with Random Forest and Monte Carlo-Based Uncertainty Analysis. Ecological Indicators 2022, 142, 109246. [Google Scholar] [CrossRef]
- Wang, G.; Gertner, G.Z.; Fang, S.; Anderson, A.B. A Methodology for Spatial Uncertainty Analysis Of Remote Sensing and GIS Products. photogramm eng remote sensing 2005, 71, 1423–1432. [Google Scholar] [CrossRef]
- Zhang, X.; Cui, J.; Wang, W.; Lin, C. A Study for Texture Feature Extraction of High-Resolution Satellite Images Based on a Direction Measure and Gray Level Co-Occurrence Matrix Fusion Algorithm. Sensors 2017, 17, 1474. [Google Scholar] [CrossRef]
- Shin, J.; Seo, W.; Kim, T.; Park, J.; Woo, C. Using UAV Multispectral Images for Classification of Forest Burn Severity—A Case Study of the 2019 Gangneung Forest Fire. Forests 2019, 10, 1025. [Google Scholar] [CrossRef]
- Costa, H.; Benevides, P.; Moreira, F.D.; Moraes, D.; Caetano, M. Spatially Stratified and Multi-Stage Approach for National Land Cover Mapping Based on Sentinel-2 Data and Expert Knowledge. Remote Sensing 2022, 14, 1865. [Google Scholar] [CrossRef]
- Thomsen, A.M.; Ooi, M.K.J. Shifting Season of Fire and Its Interaction with Fire Severity: Impacts on Reproductive Effort in Resprouting Plants. Ecology and Evolution 2022, 12, e8717. [Google Scholar] [CrossRef] [PubMed]
- Meyer, K.M.; Ward, D.; Moustakas, A.; Wiegand, K. Big Is Not Better: Small Acacia Mellifera Shrubs Are More Vital after Fire. African Journal of Ecology 2005, 43, 131–136. [Google Scholar] [CrossRef]
- Brando, P.M.; Nepstad, D.C.; Balch, J.K.; Bolker, B.; Christman, M.C.; Coe, M.; Putz, F.E. Fire-induced Tree Mortality in a Neotropical Forest: The Roles of Bark Traits, Tree Size, Wood Density and Fire Behavior. Global Change Biology 2012, 18, 630–641. [Google Scholar] [CrossRef]








| Date of Image Acquisition | Time Since Fire |
|---|---|
| Sept 26th, 2021 – Dry Season | 12-hours post-burn |
| December 29th, 2021 – Wet Season | 6 months post-burn |
| July 21st, 2022 – Dry Season | 1-year post-burn |
| August 9th, 2023 – Dry Season | 2 years post-burn |
| November 23, 2023 – Wet Season | 2.5 years post-burn |
| Classification Schema | Burn Severity Ranking |
|---|---|
| Green Vegetation | 0 – No Burn Impact |
| Bare Soil | 0 – No Burn Impact |
| Burnt Woody Vegetation | 1 – Low Severity |
| Charred Grass | 2 – Medium Severity |
| Ash | 3 – High Severity |
| Shadow | Null |
| Training Indices & Variables | Equations & Descriptions |
|---|---|
| Excess Green Index (EGI) | 2 × G − R – B |
| Green Chromatic Coordinate Index (GCC) | G/(G + R + B) |
| Char Index (CI) | BI + (MaxDiff × 15) |
| Brightness Index (BI) | R + G + B |
| Maximum RGB Difference (MaxDiff) | Max(|B − G|, |B − R|, |R − G|) |
| Red Band | R |
| Green Band | G |
| Blue Band | B |
| CHM | DSM - DTM |
| GLCM - Contrast | Measures the local variations in GLCM. |
| GLCM - Energy | Provides the sum of squared elements in the GLCM. |
| GLCM – Correlation | Measures the joint probability occurrence of the specified pixel pairs. |
| GLCM – Homogeneity | Measures the closeness of the distribution of elements in the GLCM to the GLCM diagonal. |
| Land Cover Classification | Precision | Recall | F1-Score | Support |
|---|---|---|---|---|
| Shadow | 0.73 | 0.66 | 0.70 | 335703 |
| Green Vegetation | 0.90 | 0.89 | 0.90 | 210213 |
| Charred Grass | 0.74 | 0.77 | 0.75 | 3019852 |
| Burnt Woody Vegetation | 0.55 | 0.47 | 0.51 | 771185 |
| Bare Soil | 0.77 | 0.78 | 0.78 | 2285950 |
| Ash | 0.76 | 0.72 | 0.74 | 223648 |
| Weighted Average | 0.74 | 0.74 | 0.73 | |
| Overall Accuracy (OA): 0.795970 |
Disclaimer/Publisher’s Note: The statements, opinions and data contained in all publications are solely those of the individual author(s) and contributor(s) and not of MDPI and/or the editor(s). MDPI and/or the editor(s) disclaim responsibility for any injury to people or property resulting from any ideas, methods, instructions or products referred to in the content. |
© 2024 by the authors. Licensee MDPI, Basel, Switzerland. This article is an open access article distributed under the terms and conditions of the Creative Commons Attribution (CC BY) license (http://creativecommons.org/licenses/by/4.0/).
