Submitted:
09 August 2024
Posted:
12 August 2024
You are already at the latest version
Abstract
Keywords:
1. Introduction

2. Materials and Methods
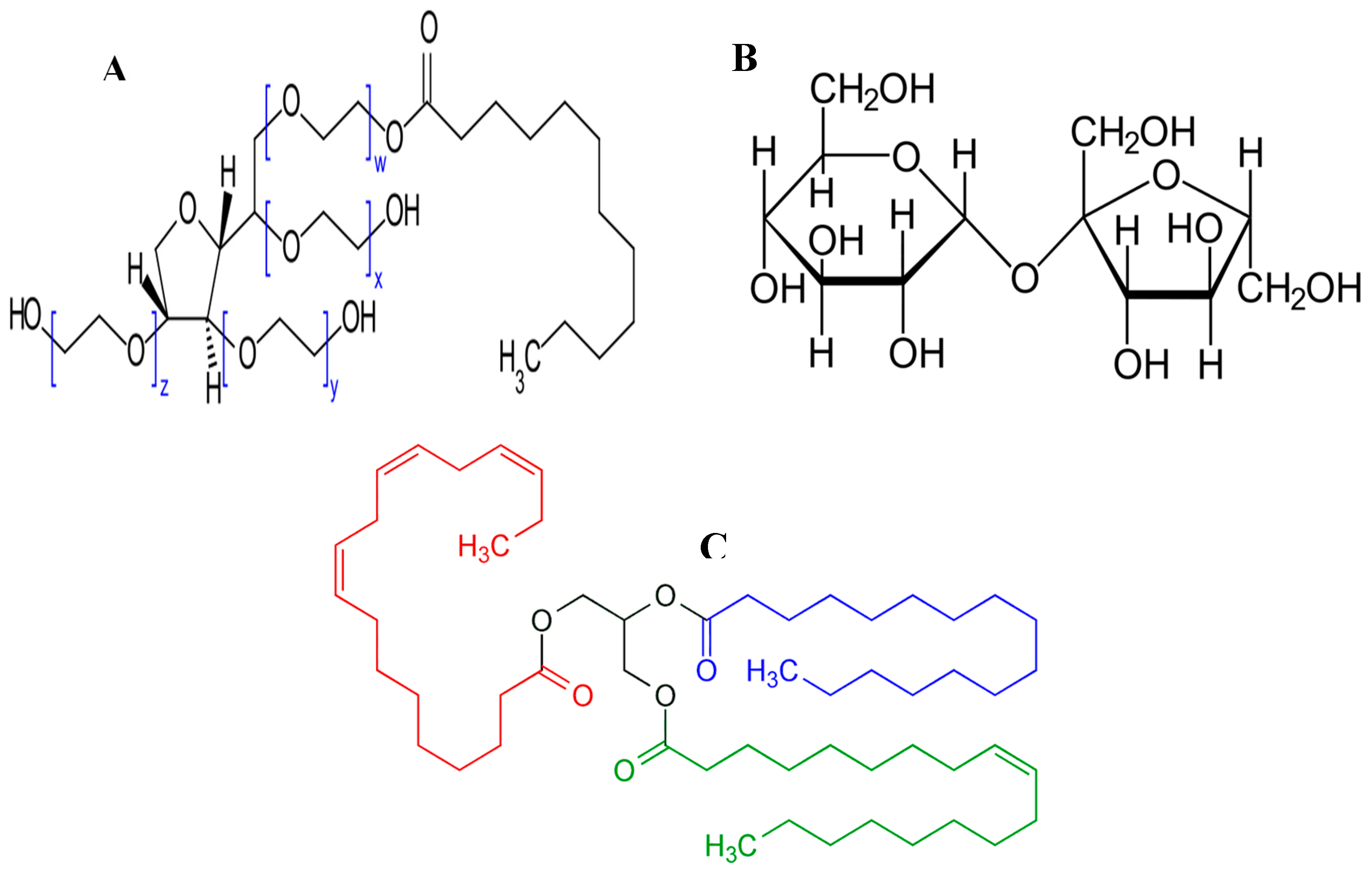
2.1. Materials
2.2. Preparation of Emulsions
2.3. Characterization of Fat Emulsion
3. Results and Discussion
3.1. Impact of Crystallization on Particle Size Distribution
3.2. Impact of Different Homogenisation Speed and Quick Run (One Cycle) Particle Size Distribution
3.3. Impact of Surfactant Concentration and Homogenisation Speed on Particle Size Distribution

3.4. Impact of Viscosity (Different Sugar Concentration) and Homogenisation Speed on Particle Size Distribution
4. Conclusions
Authorship Contribution Statement
Declaration of Competing Interest
Data Availability Statement
References
- Acosta, E. (2009). Bioavailability of nanoparticles in nutrient and nutraceutical delivery. Current Opinion in Colloid & Interface Science, 14(1), 3-15. [CrossRef]
- Anton, N., Benoit, J., & Saulnier, P. (2008). Design and production of nanoparticles formulated from nano-emulsion templates—A review. Journal of Controlled Release, 128(3), 185-199. [CrossRef]
- Anton, N., & Vandamme, T. F. (2009). The universality of low-energy nano-emulsification. International Journal of Pharmaceutics, 377(1), 142-147. [CrossRef]
- Cox, S., Sandall, A., Smith, L., Rossi, M., & Whelan, K. (2021). Food additive emulsifiers: a review of their role in foods, legislation and classifications, presence in food supply, dietary exposure, and safety assessment. Nutrition Reviews, 79(6), 726-741. [CrossRef]
- Cruz, C., Fonte, C. P., Simone, A. D., Oppong, F. K., Jeatt, W., & Rodgers, T. L. (2022). Effect of homogenisation on fat droplets and viscosity of aged ice cream mixes. Chemical Engineering Science, 260. [CrossRef]
- Dai, L., Sun, C., Wei, Y., Zhan, X., Mao, L., & Gao, Y. (2018). Formation and characterization of zein-propylene glycol alginate-surfactant ternary complexes: Effect of surfactant type. Food Chemistry, 258, 321-330. [CrossRef]
- Date, A. A., Desai, N., Dixit, R., & Nagarsenker, M. (2010). Self-nanoemulsifying drug delivery systems: formulation insights, applications and advances. Nanomedicine (London, England), 5(10), 1595-1616. [CrossRef]
- Douglas Goff, H. (2004). . Elsevier BV. [CrossRef]
- Goff, H. D. (1997). Colloidal aspects of ice cream—A review. Elsevier Ltd. [CrossRef]
- Haakansson, A., Traegaardh, C., & Bergenstaahl, B. (2009). Dynamic simulation of emulsion formation in a high pressure homogenizer. Chemical Engineering Science, 64(12), 2915-2925. [CrossRef]
- Jafari, S. M., Assadpoor, E., He, Y., & Bhandari, B. (2008). Re-coalescence of emulsion droplets during high-energy emulsification. Food Hydrocolloids, 22(7), 1191-1202. [CrossRef]
- Juttulapa, M., Piriyaprasarth, S., Takeuchi, H., & Sriamornsak, P. (2016). Effect of high-pressure homogenization on stability of emulsions containing zein and pectin. Elsevier BV. [CrossRef]
- Kesisoglou, F., Panmai, S., & Wu, Y. (2007). Application of Nanoparticles in Oral Delivery of Immediate Release Formulations. Current Nanoscience, 3(2), 183-190. [CrossRef]
- Lamaallam, S., Bataller, H., Dicharry, C., & Lachaise, J. (2005). Formation and stability of miniemulsions produced by dispersion of water/oil/surfactants concentrates in a large amount of water. Elsevier BV. [CrossRef]
- Leong, T. S. H., Wooster, T. J., Kentish, S. E., & Ashokkumar, M. (2009). Minimising oil droplet size using ultrasonic emulsification. Ultrasonics Sonochemistry, 16(6), 721-727. [CrossRef]
- McClements. (2005). Food emulsions: Principles, practice, and techniques (2nded.). Boca Raton: CRC Press.
- McClements, D. J., Decker, E. A., Park, Y., & Weiss, J. (2009). Structural Design Principles for Delivery of Bioactive Components in Nutraceuticals and Functional Foods. Critical Reviews in Food Science and Nutrition, 49(6), 577-606. [CrossRef]
- McClements, D. J., & Rao, J. (2011). Food-Grade Nanoemulsions: Formulation, Fabrication, Properties, Performance, Biological Fate, and Potential Toxicity. Critical Reviews in Food Science and Nutrition, 51(4), 285-330. [CrossRef]
- Qian, C., & McClements, D. J. (2011). Formation of nanoemulsions stabilized by model food-grade emulsifiers using high-pressure homogenization: Factors affecting particle size. Food Hydrocolloids, 25(5), 1000-1008. [CrossRef]
- Schultz, S., Wagner, G., Urban, K., & Ulrich, J. (2004). High-Pressure Homogenization as a Process for Emulsion Formation. Chemical Engineering & Technology, 27(4), 361-368. [CrossRef]
- Wei, L., Yu, H. ;., Chang, W. ;., Lin, C. ;., Chen, Y. ;., & Wu, J. (2013). Effect of container on the physicochemical stability of propofol injectable emulsion after being diluted with 0.9% NaCl for intravenous infusion. The Journal of Food and Drug Analysis (JFDA), Food and Drug Administration, Taiwan (TFDA). [CrossRef]
- Weiss, J., Decker, E. A., McClements, D. J., Kristbergsson, K., Helgason, T., & Awad, T. (2008). Solid Lipid Nanoparticles as Delivery Systems for Bioactive Food Components. Food Biophysics, 3(2), 146-154. [CrossRef]
- Wooster, T. J., Golding, M., & Sanguansri, P. (2008). Impact of Oil Type on Nanoemulsion Formation and Ostwald Ripening Stability. Langmuir, 24(22), 12758-12765. [CrossRef]




Disclaimer/Publisher’s Note: The statements, opinions and data contained in all publications are solely those of the individual author(s) and contributor(s) and not of MDPI and/or the editor(s). MDPI and/or the editor(s) disclaim responsibility for any injury to people or property resulting from any ideas, methods, instructions or products referred to in the content. |
© 2024 by the authors. Licensee MDPI, Basel, Switzerland. This article is an open access article distributed under the terms and conditions of the Creative Commons Attribution (CC BY) license (http://creativecommons.org/licenses/by/4.0/).