Submitted:
06 August 2024
Posted:
07 August 2024
You are already at the latest version
Abstract
Keywords:
1. Introduction
2. Materials and Methods
2.1. Materials
2.1.1. Mining Tailings (MTs)
2.1.2. Pumice (PP)
2.1.3. Metakaolin (MK)
2.2. Methods
2.2.1. Preparation of Alkaline Activating Solution
2.2.2. Preparation of Geopolymer
2.3. Techniques for Characterization of Mine Tailings-Based Geopolymers
2.3.1. Mechanical Compression Strength
2.3.2. Mineralogical Analysis of Geopolymers
2.3.3. Infrared Spectroscopic Analysis of Geopolymers
2.3.4. Morphological Analysis of Geopolymers
2.3.5. Thermogravimetric Analysis
2.3.6. Toxicological Analysis of Geopolymers
3. Results
3.1. Mechanical Properties
3.1.1. Mechanical Compression Strength of Geopolymers with Initial Curing at 40°C for 20 Hours
3.2. Mineralogical Analysis
3.2.1. XRD Analysis
3.3. Infrared Spectroscopic Analysis of Geopolymer
3.3.1. FTIR Analysis
3.4. Morphological Analysis of Geopolymers
3.4.1. SEM/EDS Analysis of Formed Geopolymers
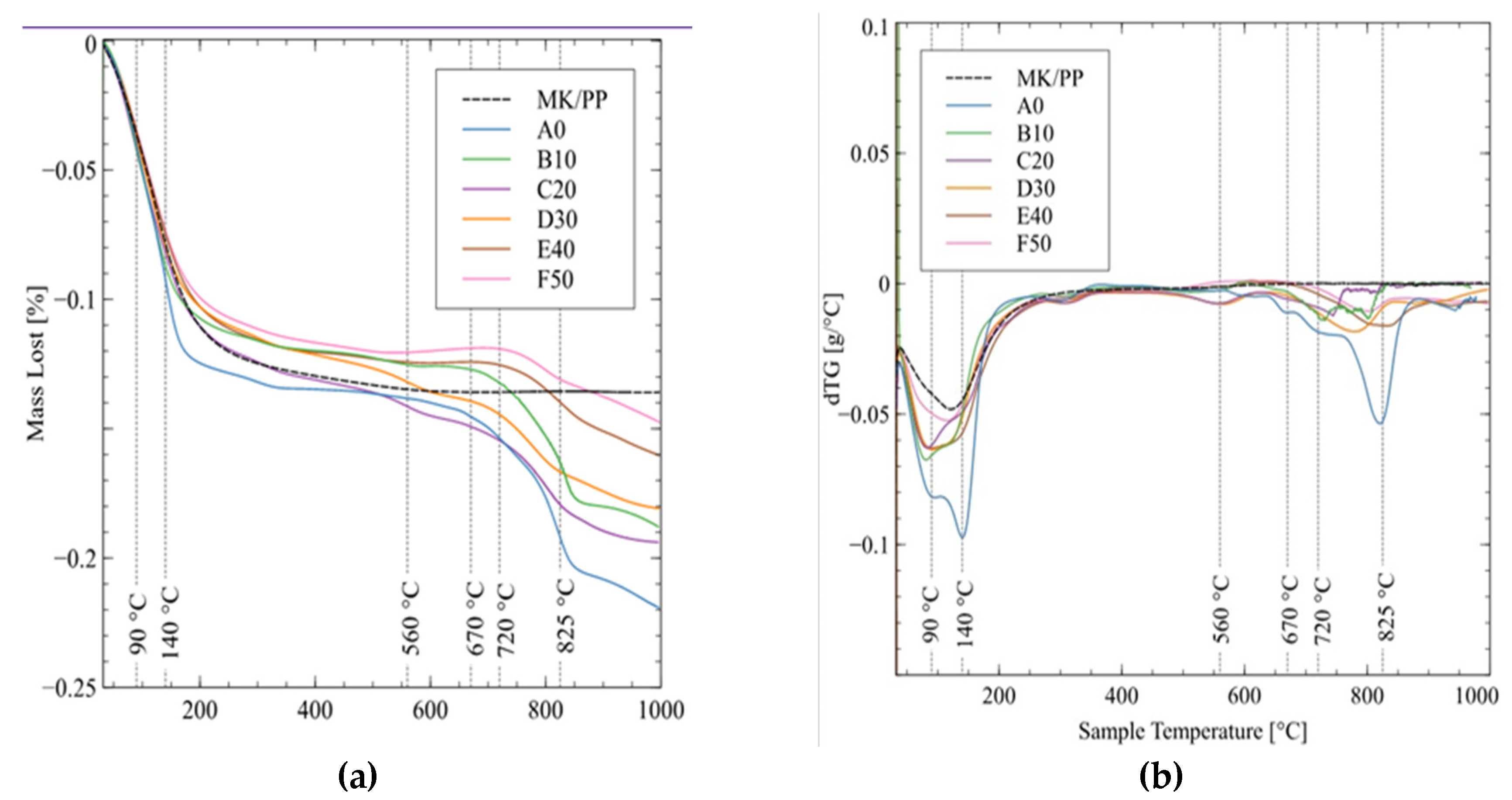
3.5. Thermogravimetric Analysis (TGA)
3.6. Environmental Impact of Geopolymer
3.6.1. TCLP Analysis
4. Discussion
5. Conclusions
Author Contributions
Funding
Data Availability Statement
Acknowledgments
Conflicts of Interest
References
- Taghipour, M.; Jalali, M. Heavy Metal Release from Some Industrial Wastes: Influence of Organic and Inorganic Acids, Clay Minerals, and Nanoparticles. Pedosphere 2018, 28, 70–83. [CrossRef]
- González-Valoys, A. C.; Arrocha, J.; Monteza-Destro, T.; Vargas-Lombardo, M.; Esbrí, J. M.; Garcia-Ordiales, E.; Jiménez-Ballesta, R.; García-Navarro, F. J.; Higueras, P. Environmental Challenges Related to Cyanidation in Central American Gold Mining; the Remance Mine (Panama). J Environ Manage 2022, 302, 113979. [CrossRef]
- Saeed, A.; Najm, H. M.; Hassan, A.; Sabri, M. M. S.; Qaidi, S.; Mashaan, N. S.; Ansari, K. Properties and Applications of Geopolymer Composites: A Review Study of Mechanical and Microstructural Properties. Materials. MDPI November 1, 2022, 15, 8250. [CrossRef]
- Ji, Z.; Pei, Y. Bibliographic and Visualized Analysis of Geopolymer Research and Its Application in Heavy Metal Immobilization: A Review. Journal of Environmental Management, 2019, 231, pp 256–267. [CrossRef]
- Tian, Q.; Bai, Y.; Pan, Y.; Chen, C.; Yao, S.; Sasaki, K.; Zhang, H. Application of Geopolymer in Stabilization/Solidification of Hazardous Pollutants: A Review. Molecules 2022, 27, 4570. [CrossRef]
- Davidovits, J. Geopolymers: Ceramic-like Inorganic Polymers. Journal of Ceramic Science and Technology. Goller Verlag 2017, 8, pp 335–350. [CrossRef]
- Sikder, A.; Mishra, J.; Nanda, B.; Patro, S. K. Geopolymer Concrete as a Revolutionary Green Building Material for Modern Infrastructures. In Encyclopedia of Green Materials; Springer Nature Singapore: Singapore, 2022; pp 1–9. [CrossRef]
- Wan, Q.; Rao, F.; Song, S.; García, R. E.; Estrella, R. M.; Patiño, C. L.; Zhang, Y. Geopolymerization Reaction, Microstructure and Simulation of Metakaolin-Based Geopolymers at Extended Si/Al Ratios. Cement and Concrete Composites 2017, 79, 45–52. [CrossRef]
- Lazorenko, G.; Kasprzhitskii, A.; Shaikh, F.; Krishna, R. S.; Mishra, J. Utilization Potential of Mine Tailings in Geopolymers: Physicochemical and Environmental Aspects. Process Safety and Environmental Protection. Institution of Chemical Engineers 2021, 147, pp 559–577. [CrossRef]
- Xiaolong, Z.; Shiyu, Z.; Hui, L.; Yingliang, Z. Disposal of Mine Tailings via Geopolymerization. Journal of Cleaner Production 2021, 284, p 124756. [CrossRef]
- Kiventerä, J.; Lancellotti, I.; Catauro, M.; Poggetto, F. D.; Leonelli, C.; Illikainen, M. Alkali Activation as New Option for Gold Mine Tailings Inertization. J Clean Prod 2018, 187, 76–84. [CrossRef]
- Wan, Q.; Rao, F.; Song, S.; Zhang, Y. Immobilization Forms of ZnO in the Solidification/Stabilization (S/S) of a Zinc Mine Tailing through Geopolymerization. Journal of Materials Research and Technology 2019, 8, 5728–5735. [CrossRef]
- Almalkawi, A. T.; Hamadna, S.; Soroushian, P. One-Part Alkali Activated Cement Based Volcanic Pumice. Constr Build Mater 2017, 152, 367–374. [CrossRef]
- Yadollahi, M. M.; Benli, A.; Demirboga, R. The Effects of Silica Modulus and Aging on Compressive Strength of Pumice-Based Geopolymer Composites. Constr Build Mater 2015, 94, 767–774. [CrossRef]
- Qaidi, S. M. A.; Tayeh, B. A.; Zeyad, A. M.; de Azevedo, A. R. G.; Ahmed, H. U.; Emad, W. Recycling of Mine Tailings for the Geopolymers Production: A Systematic Review. Case Studies in Construction Materials 2022, 16, e00933. [CrossRef]
- Simonsen, A. M. T.; Solismaa, S.; Hansen, H. K.; Jensen, P. E. Evaluation of Mine Tailings’ Potential as Supplementary Cementitious Materials Based on Chemical, Mineralogical and Physical Characteristics. Waste Management 2020, 102, 710-721. [CrossRef]
- Felaous, K.; Aziz, A.; Achab, M.; Fernández-Raga, M.; Benzaouak, A. Optimizing Alkaline Activation of Natural Volcanic Pozzolan for Eco-Friendly Materials Production: An Investigation of NaOH Molarity and Na2SiO3-to-NaOH Ratio. Sustainability (Switzerland) 2023, 15 (5), 4453. [CrossRef]
- Churata, R.; Almirón, J.; Vargas, M.; Tupayachy-Quispe, D.; Torres-Almirón, J.; Ortiz-Valdivia, Y.; Velasco, F. Study of Geopolymer Composites Based on Volcanic Ash, Fly Ash, Pozzolan, Metakaolin and Mining Tailing. Buildings 2022, 12 , 1118. [CrossRef]
- Sedira, N.; Castro-Gomes, J. Effect of Activators on Hybrid Alkaline Binder Based on Tungsten Mining Waste and Ground Granulated Blast Furnace Slag. Construction and Building Materials 2020, 232, 117176. [CrossRef]
- Li, C.; Ouyang, J.; Yang, H. Novel Sensible Thermal Storage Material from Natural Minerals. Phys Chem Minerals 2013, 40, 681–689. [CrossRef]
- Figueiredo, R. A. M.; Silveira, A. B. M.; Melo, E. L. P.; Costa, G. Q. G.; Brandão, P. R. G.; Aguilar, M. T. P.; Henriques, A. B.; Mazzinghy, D. B. Mechanical and Chemical Analysis of One-Part Geopolymers Synthesised with Iron Ore Tailings from Brazil. Journal of Materials Research and Technology 2021, 14, 2650–2657. [CrossRef]
- Pan, Z.; Hu, S.; Zhang, C.; Zhou, T.; Hua, G.; Li, Y.; Lv, X. Mechanical and Hydration Characteristics of Stabilized Gold Mine Tailings Using a Sustainable Industrial Waste-Based Binder. Materials 2023, 16, 634. [CrossRef]
- Longhi, M. A.; Rodríguez, E. D.; Bernal, S. A.; Provis, J. L.; Kirchheim, A. P. Valorisation of a Kaolin Mining Waste for the Production of Geopolymers. J Clean Prod 2016, 115, 265–272. [CrossRef]
- Catauro, M.; Papale, F.; Lamanna, G.; Bollino, F. Geopolymer/PEG Hybrid Materials Synthesis and Investigation of the Polymer Influence on Microstructure and Mechanical Behavior. Materials Research 2015, 18, 698–705. [CrossRef]
- Ferreira, I. C.; Galéry, R.; Henriques, A. B.; Paula De Carvalho Teixeira, A.; Prates, C. D.; Lima, A. S.; Souza Filho, I. R. Reuse of Iron Ore Tailings for Production of Metakaolin-Based Geopolymers. Journal of Materials Research and Technology 2022, 18, 4194–4200. [CrossRef]
- Burciaga-Díaz, O.; Escalante-Garcia, J. I.; Magallanes-Rivera, R. X. Resistencia a La Compresión y Evolución Microestructural de Geopolímeros Base Metacaolín Expuestos a Alta Temperatura. ALCONPAT 2015, 5, 58–75. [CrossRef]
- Malviya, R.; Chaudhary, R. Factors Affecting Hazardous Waste Solidification/Stabilization: A Review. J Hazard Mater 2006, 137, 267–276. [CrossRef]
- Vu, T. H.; Gowripalan, N. Mechanisms of Heavy Metal Immobilisation Using Geopolymerisation Techniques – A Review. Journal of Advanced Concrete Technology. Japan Concrete Institute 2018, pp 124–135. [CrossRef]
- Tian, Q.; Guo, B.; Sasaki, K. Immobilization Mechanism of Se Oxyanions in Geopolymer: Effects of Alkaline Activators and Calcined Hydrotalcite Additive. J Hazard Mater 2020, 387, 121994. [CrossRef]
- Burciaga-Diaz, O.; Escalante-Garcia, J. I.; Gorokhovsky, A. Geopolymers Based on a Coarse Low-Purity Kaolin Mineral: Mechanical Strength as a Function of the Chemical Composition and Temperature. Cement and Concrete Composites 2012, 34, 18–24. [CrossRef]
- Rovnaník, P. Effect of Curing Temperature on the Development of Hard Structure of Metakaolin-Based Geopolymer. Constr Build Mater 2010, 24 (7), 1176–1183. [CrossRef]
- Paiva, H.; Yliniemi, J.; Illikainen, M.; Rocha, F.; Ferreira, V. M. Mine Tailings Geopolymers as Awaste Management Solution for a More Sustainable Habitat. Sustainability 2019, 11, 995. [CrossRef]













| Samples of mining environmental liabilities | Toxic heavy metals | ||||
|---|---|---|---|---|---|
| Arsenic (As) | Cadmium (Cd) | Lead (Pb) |
Mercury (Hg) |
Zinc (Zn) |
|
| Kiowa- Au | 49.9 | 1.47 | 168.22 | 0.1 | 21 |
| Kiowa-Cu | 291.9 | 2.42 | 1585.8 | 0.2 | 161.9 |
| Topacio | 609.6 | 29.75 | 828.72 | 8.1 | 1221 |
| Coriminas | 145 | 4.17 | 191.47 | 0.6 | 205.2 |
| Madrigal | 195 | 6.03 | 2290.49 | 0.4 | 323.3 |
| Secocha | 160.1 | 21.95 | 1028.8 | 276 | 375.3 |
| Century | 28 | 2.25 | 21.27 | 0.1 | 21.1 |
| Mollehuaca | 2052.2 | 7.96 | 875.74 | 193.1 | 41.3 |
| Paraíso | 6001 | 332.54 | 2081.87 | 35 | 2309 |
| Otapara | 26.3 | 9.29 | 12.71 | 0.8 | 23.4 |
| Samples of mining environmental liabilities | Toxic heavy metals | |||||
|---|---|---|---|---|---|---|
| Arsenic (As) |
Cadmiun (Cd) |
Lead (Pb) |
Mercury (Hg) |
Zinc (Zn) |
||
| Kiowa- Au | 0.011 | <0.004 | 0.237 | < 0.003 | 0.051 | |
| Kiowa-Cu | 0.023 | 0.063 | 0.01 | < 0.003 | 9.286 | |
| Topacio | 0.587 | 0.201 | 0.034 | 0.003 | 2.612 | |
| Coriminas | 0.051 | 0.005 | < 0.005 | < 0.003 | 0.317 | |
| Madrigal | < 0.006 | 0.072 | 0.020 | < 0.003 | 6.162 | |
| Secocha | < 0.006 | 0.005 | 0.403 | 0.026 | 0.139 | |
| Century | < 0.006 | < 0.004 | 0.008 | < 0.003 | 0.093 | |
| Mollehuaca | 0.020 | 0.004 | 0.071 | < 0.003 | 0.071 | |
| Paraíso | 0.393 | 0.046 | 0.590 | 0.041 | 1.828 | |
| Otapara | < 0.006 | < 0.004 | 0.006 | < 0.003 | 0.105 | |
| Mineral name | General Formula | % in weigh |
|---|---|---|
| Quartz +bargain | SiO2+ varied composition | 60.7 |
| Pyrite | FeS2 | 15.39 |
| Arsenopyrite | FeAsS | 9.30 |
| Chalcopyrite | CuFeS2 | 6.40 |
| Goethite | Fe3+O(OH) | 4.27 |
| Galena | PbS | 2.29 |
| rutile | TiO2 | 1.30 |
| Sphalerite | ZnS | Trace |
| Covellite | CuS | Trace |
| Pyrrhotite | Fe(1-X)S | Trace |
| gray coppers | varied composition | Trace |
| Geopolymer | Bs∗ (%) |
MT (%) |
MT (gr) |
Bs (gr) | Bs + MT (gr) | AAS∗∗ | AAS/Bs | |||
|---|---|---|---|---|---|---|---|---|---|---|
| MK | PP | NaOH (gr) |
Na2SiO3 (gr) | AAS (gr) | ||||||
| A0 | 0 | 100 | 750 | 0 | 0 | 750 | 64.18 | 188.6 | 252.78 | 0 |
| B10 | 10 | 90 | 675 | 37.5 | 37.5 | 750 | 64.18 | 188.6 | 252.78 | 3.37 |
| C20 | 20 | 80 | 600 | 75 | 75 | 750 | 64.18 | 188.6 | 252.78 | 1.69 |
| D30 | 30 | 70 | 525 | 112.5 | 112.5 | 750 | 64.18 | 188.6 | 252.78 | 1.12 |
| E40 | 40 | 60 | 450 | 150 | 150 | 750 | 64.18 | 188.6 | 252.78 | 0.84 |
| F50 | 50 | 50 | 375 | 187.5 | 187.5 | 750 | 64.18 | 188.6 | 252.78 | 0.67 |
| MK-PP | 0 | 0 | 0 | 375 | 375 | 750 | 64.18 | 188.6 | 252.78 | 0.34 |
| Element | A0 | B10 | C20 | D30 | E40 | F50 | MK-PP | |
|---|---|---|---|---|---|---|---|---|
| O | 45.96 | 45.59 | 45.43 | 46.06 | 46.03 | 45.79 | 48.08S | |
| F | - | - | - | - | - | 1.15 | - | |
| Na | 5.53 | 4.90 | 5.64 | 6.06 | 6.41 | 5.84 | 6.41 | |
| Mg | 0.85 | 0.69 | - | 0.85 | 0.75 | 0.65 | 0.56 | |
| Al | 2.53 | 3.41 | 4.37 | 4.95 | 5.81 | 5.39 | 8.64 | |
| Si | 24.11 | 23.51 | 24.38 | 23.91 | 25.37 | 24.96 | 31.99 | |
| S | 5.15 | 4.63 | 3.83 | 4.41 | 3.04 | 3.47 | - | |
| Cl | 1.17 | 0.86 | 1.13 | 0.88 | 0.71 | 0.53 | - | |
| K | 0.84 | 0.99 | 0.98 | 1.03 | 1.15 | 0.80 | 1.20 | |
| Ca | 2.12 | 2.70 | 2.35 | 2.15 | 1.81 | 1.64 | 0.97 | |
| Ti | - | 0.18 | - | - | 0.13 | 0.12 | - | |
| Fe | 10.10 | 11.52 | 10.29 | 8.91 | 7.51 | 8.32 | 1.45 | |
| Cu | 0.97 | - | - | - | - | - | 0.66 | |
| As | 0.93 | 1.03 | 10.29 | 0.80 | 1.28 | 1.33 | 0.03 | |
| Mine tailking |
Concentration of Heavy Metals and Metalloids (mg/kg) | ||||
|---|---|---|---|---|---|
| As | Cd | Pb | Zn | Hg | |
| Paraíso | 6000 | 32,54 | 2081,87 | 2309,00 | 35,00 |
| Heavy Metals |
Concentration of Heavy Metals and Metalloids (mg/L) | ||||
|---|---|---|---|---|---|
| As | Cd | Pb | Zn | Hg | |
| MTs Paraíso | 0.393 | 0.046 | 0.590 | 1.828 | 0.401 |
| A0 | 10.460 | 0.0660 | 0.105 | 5.4060 | <0.004 |
| B10 | 2.602 | 0.0250 | 0.197 | 6.8870 | <0.004 |
| C20 | 0.625 | 0.0160 | 0.099 | 7.7940 | <0.004 |
| D30 | 0.277 | 0.0150 | 0.067 | 7.4240 | <0.004 |
| E40 | 0.223 | <0.0004 | <0.006 | 7.2670 | <0.004 |
| Sample | Arsenic |
Cadmium |
Mercury |
Lead |
Zinc |
Clasification | |||||
|---|---|---|---|---|---|---|---|---|---|---|---|
| Conc. (mg/ Kg) |
TCLP (ml/L) |
Conc. (mg/Kg) |
TCLP (ml/L) |
Conc. (mg/Kg) |
TCLP (ml/L) |
Conc. (mg /Kg) |
TCLP (ml/L) |
Conc. (mg/ Kg) |
TCLP (ml/L) |
No information for assessment | |
| MTs-P | 6000 | 0.393 | 32.54 | 0.046 | 35 | 0.401 | 2081.87 | 0.59 | 2309 | 1.828 | very hazardous material |
| A0 | 6000 | 10.460 | 32.54 | 0.0660 | 35 | <0.004 | 2081.87 | 0.105 | 2309 | 5.4060 | |
| B10 | 5400 | 2.602 | 29.25 | 0.0250 | 31.5 | <0.004 | 1873.68 | 0.197 | 2078.1 | 6.8870 | hazardous material |
| C20 | 4800 | 0.625 | 26.00 | 0.0160 | 28.00 | <0.004 | 1665.49 | 0.099 | 1847.2 | 7.7940 | |
| D30 | 4200 | 0.277 | 22.75 | 0.0150 | 24.5 | <0.004 | 1457.31 | 0.067 | 1616.3 | 7.4240 | No hazardous material |
| E40 | 3600 | 0.223 | 19.5 | <0.0004 | 21.0 | <0.004 | 1249.12 | <0.006 | 1385.4 | 7.2670 | |
Disclaimer/Publisher’s Note: The statements, opinions and data contained in all publications are solely those of the individual author(s) and contributor(s) and not of MDPI and/or the editor(s). MDPI and/or the editor(s) disclaim responsibility for any injury to people or property resulting from any ideas, methods, instructions or products referred to in the content. |
© 2024 by the authors. Licensee MDPI, Basel, Switzerland. This article is an open access article distributed under the terms and conditions of the Creative Commons Attribution (CC BY) license (http://creativecommons.org/licenses/by/4.0/).