Submitted:
03 August 2024
Posted:
06 August 2024
You are already at the latest version
Abstract
Keywords:
1. Introduction
2. Experimental Section
- Electrode preparation
- Characterization
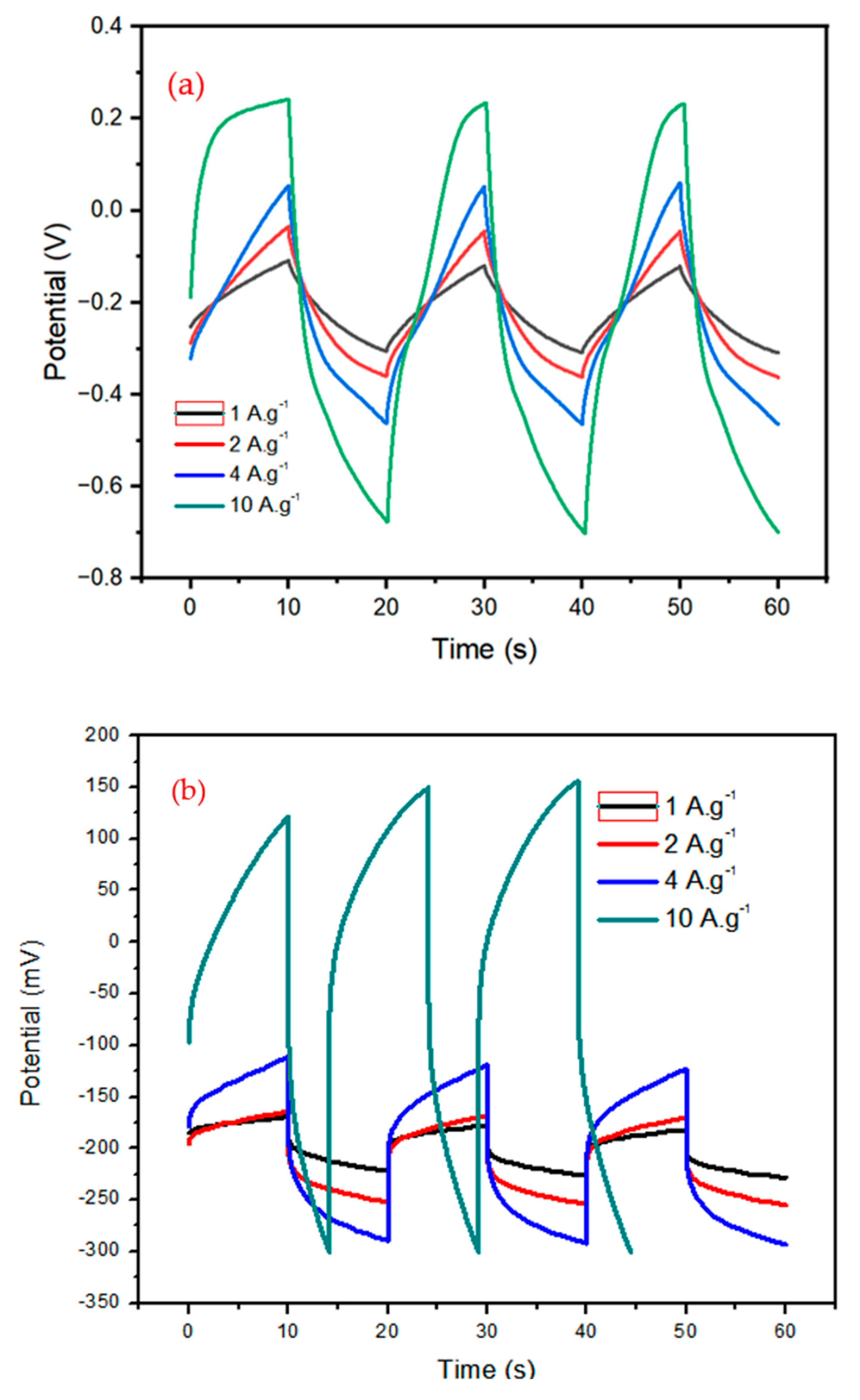
3. Results and Discussion
4. Conclusions
References
- Wujie Dong, Miao Xie, Siwei Zhao, Qiuliang Qin, Fuqiang Huang, Materials design and preparation for high energy density and high power density electrochemical supercapacitors, Materials Science and Engineering: R: Reports, Volume 152, 2023, 100713, ISSN 0927-796X. [CrossRef]
- Tianqi He, Xiaoya Kang, Fujuan Wang, Junlei Zhang, Tianyun Zhang, Fen Ran, Capacitive contribution matters in facilitating high power battery materials toward fast-charging alkali metal ion batteries, Materials Science and Engineering: R: Reports, Volume 154, 2023, 100737, ISSN 0927-796X. [CrossRef]
- Kandasamy, S. K., & Kandasamy, K. (2018). Recent advances in electrochemical performances of graphene composite (graphene-polyaniline/polypyrrole/activated carbon/carbon nanotube) electrode materials for supercapacitor: a review. Journal of Inorganic and Organometallic Polymers and Materials, 28, 559-584.
- Xiaomin Yang, Huihui He, Ting Lv, Jieshan Qiu, Fabrication of biomass-based functional carbon materials for energy conversion and storage, Materials Science and Engineering: R: Reports, Volume 154, 2023, 100736, ISSN 0927-796X. [CrossRef]
- Yingkui Yang, Cuiping Han, Beibei Jiang, James Iocozzia, Chengen He, Dean Shi, Tao Jiang, Zhiqun Lin, Graphene-based materials with tailored nanostructures for energy conversion and storage, Materials Science and Engineering: R: Reports, Volume 102, 2016, Pages 1-72, ISSN 0927-796X. [CrossRef]
- Debin Kong, Zhichang Xiao, Yang Gao, Xinghao Zhang, Ruiying Guo, Xiaoxiong Huang, Xianglong Li, Linjie Zhi, Sp2-carbon dominant carbonaceous materials for energy conversion and storage, Materials Science and Engineering: R: Reports, Volume 137, 2019, Pages 1-37, ISSN 0927-796X. [CrossRef]
- Rui Xiong, Anise M. Grant, Ruilong Ma, Shuaidi Zhang, Vladimir V. Tsukruk, Naturally-derived biopolymer nanocomposites: Interfacial design, properties and emerging applications, Materials Science and Engineering: R: Reports, Volume 125, 2018, Pages 1-41, ISSN 0927-796X. [CrossRef]
- V. Pavlenko, S. Khosravi H, S. Żółtowska, A.B. Haruna, M. Zahid, Z. Mansurov, Z. Supiyeva, A. Galal, K.I. Ozoemena, Q. Abbas, T. Jesionowski, A comprehensive review of template-assisted porous carbons: Modern preparation methods and advanced applications, Materials Science and Engineering: R: Reports, Volume 149, 2022, 100682, ISSN 0927-796X. [CrossRef]
- Yanhong Liu, Jiahong Liu, Yijun Cao, Wei Shang, Ning Peng, Xianhao Long, Shengjun Zhou and Yuqing Wen (2021) 'Facile Synthesis and Characterization of the Mn-MOF Electrode Material for Flexible Supercapacitors', J. Electrochem. Energy Convers. Storage, Vol.19 (3) p. 031002. [CrossRef]
- Abdelkarim Chaouiki, Maryam Chafiq, Young Gun Ko, The art of controlled nanoscale lattices: A review on the self-assembly of colloidal metal–organic framework particles and their multifaceted architectures, Materials Science and Engineering: R: Reports, Volume 159, 2024, 100785, ISSN 0927-796X. [CrossRef]
- Kandasamy, S. K., & Kandasamy, K. (2019). Graphene–PolyanilineNanocomposite Treated with Microwave as a New Supercapacitor Electrode and its Structural, Electrochemical Properties Graphene–Polyaniline Nanocomposite Treated with Microwave as a New Supercapacitor Electrode and its Structural, Electrochemical Properties. J of New Materials for Electrochem Sys, 22(3), 125-131. [CrossRef]
- Sivalingam, D., Elangovan, H., Subramanian, M., Kandasamy, S. K., & Govindasamy, M. (2013). Synthesis and characterization of PANI/ferric chloride composite for fabrication of electrodes in supercapacitor. In Advanced Materials Research (Vol. 768, pp. 334-337). Trans Tech Publications Ltd.
- Kandasamy, S. K., Singaram, K. N., Krishnamoorthy, H., Arumugam, C., Palanisamy, S., Kandasamy, K., ...& D.-Cancar, H. (2021). Microwave-assisted graphene-based conducting polymer materials for supercapacitors. Handbook of Supercapacitor Materials: Synthesis, Characterization, and Applications, 299-326.
- Khan, A., & Asiri, A. M. (2022). Handbook of Supercapacitor Materials. R. Boddula (Ed.). Wiley-VCH.
- Arumugam, C., Kandasamy, S. K., Gunasekaran, K., Somasundaram, K., & Eswaramoorthi, K. P. (2021, November). Hierarchical structure of graphene oxide/polyaniline composite flexible supercapacitor. In AIP Conference Proceedings (Vol. 2387, No. 1, p. 090003). AIP Publishing LLC.
- Arumugam, C., Kandasamy, S. K., & Subramaniam, T. K. (2023). Structural and Electrochemical Analysis of Activated Carbon Derived from Seeds of Ziziphus jujuba and Shells of Prunus dulcis Decorated over Graphene Oxide/Polyaniline Binary Composite for High Energy Density Supercapacitor Applications. High Energy Chemistry, 57(3), 177-185. [CrossRef]
- Arumugam, C., Kandasamy, S. K., &Kumaravel Subramaniam, T. (2023). Enhancement of the Carbon Content and Electrochemical Performance by Decorating Zinc Oxide Over Graphene Oxide/Polyaniline Composite. Journal of Electrochemical Energy Conversion and Storage, 20(2), 020904. [CrossRef]
- Zifeng Wang, Minshen Zhu, Zengxia Pei, Qi Xue, Hongfei Li, Yan Huang, Chunyi Zhi, Polymers for supercapacitors: Boosting the development of the flexible and wearable energy storage, Materials Science and Engineering: R: Reports, Volume 139, 2020, 100520, ISSN 0927-796X. [CrossRef]
- Jing Zhang, Jiajie Huang, Liang Wang, Peiheng Sun, Peijia Wang, Zhujun Yao and Yefeng Yang (2021) 'Coupling Bimetallic NiMn-MOF Nanosheets on NiCo2O4 Nanowire Arrays with Boosted Electrochemical Performance for Hybrid Supercapacitor', Mater. Res. Bulletin, Vol.149, p 111707. [CrossRef]
- Muhammad Zahir Iqbal, Mian Muhammad Faisal, Syeda Ramsha Ali, Sidra Farid and Amir Muhammad Afzal (2020) 'Co-MOF/polyaniline-based electrode material for high performance supercapattery devices' Electochem. Acta, Vol. 346, p 136039. [CrossRef]
- Rajkumar Srinivasan, Elanthamilan Elaiyappillai, Evangeline Jafneel Nixon, I.Sharmila Lydia and Princy merlin Johnson (2020) 'Enhanced electrochemical behaviour of Co-MOF/PANI composite electrode for supercapacitors', Inorgan. Chem. Acta, Vol.502, p 119393. [CrossRef]
- Yunhe Zhao, Hongxing Dong, Xinyi He, Jing Yu, Rongrong Chen, Qi Liu, Jingyuan Liu, Hongsen Zhang and Jun Wang (2019) 'Carbon Cloth Modified with Metal-Organic Framework Derived CC@CoMoO4-Co(OH)2Nanosheets Array as a Flexible Energy-Storage Material', ChemElectroChem, Vol. 6 (13) p 3355-3366. [CrossRef]
- Qian Wang, Liang Shao, Zhonglei Ma, Juanjuan Xu, Ying Li, and Caiyun Wang (2018) 'Hierarchical porous PANI/MIL-101 nanocomposites based solid-state flexible supercapacitor', Electrochem. Acta, Vol.281, p 582-593. [CrossRef]
- Liangjing Zhang, Yiyue Zhang, Shaolong Huang, Yuliang Yuan, Hui Li, Zhengyuan Jin, Jiahao Wu, Qiufan Liao, Liang Hu, Jiamguo Lu, Shuangyuan Ruan and Yu-Jia Zeng (2018) 'Co3O4/Ni-based MOFs on carbon cloth for flexible alkaline battery supercapacitor hybrid devices and near-infrared photocatalytic hydrogen evolution', Electrochem. Acta, Vol. 281, p 189-197. [CrossRef]
- Chunmei Zhu, Ying He, Yijun Liu, Natalia Kazantseva, Petr Saha and Qilin Cheng (2019) 'ZnO@MOF@PANI core-shell nanoarrays on carbon cloth for high-performance supercapacitor electrodes', J Ener. Chem., Vol. 35, p 124-131. [CrossRef]
- Zheng, F., Zhang, Z., Xiang, D., Li, P., Du, C., Zhuang, Z., Li, X. and Chen, W., 2019. Fe/Ni bimetal organic framework as efficient oxygen evolution catalyst with low overpotential. Journal of colloid and interface science, 555, pp.541-547. [CrossRef]
- Dai, L., Xie, M., Liu, J. and Peng, H., 2023. A Bimetallic Ni–Fe MOF Nanofiber as High Performance Anode for Enhancing Lithium Storage. ACS Applied Energy Materials, 6(23), pp.12114-12119. [CrossRef]
- Yaqoob, L., Noor, T., Iqbal, N., Nasir, H., Zaman, N. and Talha, K., 2021. Electrochemical synergies of Fe–Ni bimetallic MOF CNTs catalyst for OER in water splitting. Journal of Alloys and Compounds, 850, p.156583. [CrossRef]
- Zheng, F., Xiang, D., Li, P., Zhang, Z., Du, C., Zhuang, Z., Li, X. and Chen, W., 2019. Highly conductive bimetallic Ni–Fe metal organic framework as a novel electrocatalyst for water oxidation. ACS sustainable chemistry & engineering, 7(11), pp.9743-9749. [CrossRef]
- Taffa, D.H., Balkenhohl, D., Amiri, M. and Wark, M., 2023. Minireview: Ni–Fe and Ni–Co Metal–Organic Frameworks for Electrocatalytic Water-Splitting Reactions. Small Structures, 4(6), p.2200263. [CrossRef]
- You, S.M., El Rouby, W.M., Thamilselvan, A., Tsai, C.K., Darmanto, W., Doong, R.A. and Millet, P., 2020. Fe/Ni bimetallic organic framework deposited on TiO2 nanotube array for enhancing higher and stable photoelectrochemical activity of oxygen evaluation reaction. Nanomaterials, 10(9), p.1688. [CrossRef]
- Li, Q., Wang, Q., Li, Y., Zhang, X. and Huang, Y., 2021. 2D bimetallic Ni/Fe MOF nanosheet composites as a peroxidase-like nanozyme for colorimetric assay of multiple targets. Analytical Methods, 13(17), pp.2066-2074. [CrossRef]
- Zhao, T., Cheng, C., Wang, D., Zhong, D., Hao, G., Liu, G., Li, J. and Zhao, Q., 2021. Preparation of a Bimetallic NiFe-MOF on Nickel Foam as a Highly Efficient Electrocatalyst for Oxygen Evolution Reaction. ChemistrySelect, 6(6), pp.1320-1327. [CrossRef]
- Wang, D., Le, F., Lv, J., Yang, X., Chen, X., Yao, H. and Jia, W., 2023. Fe-Incorporated Nickel-Based Bimetallic Metal–Organic Frameworks for Enhanced Electrochemical Oxygen Evolution. Molecules, 28(11), p.4366. [CrossRef]
- Acharya, D., Pathak, I., Dahal, B., Lohani, P.C., Bhattarai, R.M., Muthurasu, A., Kim, T., Ko, T.H., Chhetri, K. and Kim, H.Y., 2023. Immoderate nanoarchitectures of bimetallic MOF derived Ni–Fe–O/NPC on porous carbon nanofibers as freestanding electrode for asymmetric supercapacitors. Carbon, 201, pp.12-23. [CrossRef]
- Qin, Z., Xu, Y., Liu, L., Liu, M., Zhou, H., Xiao, L., Cao, Y. and Chen, C., 2022. Ni-MOF composite polypyrrole applied to supercapacitor energy storage. RSC advances, 12(45), pp.29177-29186. [CrossRef]
- Iftikhar Hussain, Sumanta Sahoo, Muhammad Sufyan Javed, Jian Lu, Kaili Zhang, Flexible 2D MXenes for wearable next-generation energy storage applications, Materials Science and Engineering: R: Reports, Volume 160, 2024,100814, ISSN 0927-796X. [CrossRef]
- Wang, L., Wang, X., Xiao, X., Xu, F., Sun, Y., & Li, Z. (2013). Reduced graphene oxide/nickel cobaltite nanoflake composites for high specific capacitance supercapacitors. Electrochimica acta, 111, 937-945. [CrossRef]
- Jamil, S., Khan, S. R., Bibi, S., Jahan, N., Mushtaq, N., Rafaqat, F., ... & Janjua, M. R. S. A. (2023). Recent advances in synthesis and characterization of iron–nickel bimetallic nanoparticles and their applications as photo-catalyst and fuel additive. RSC advances, 13(42), 29632-29644. [CrossRef]
- Dikio, E. D., & Farah, A. M. (2013). Synthesis, characterization and comparative study of copper and zinc metal organic frameworks. Chemical Science Transactions, 2(4), 1386-1394.
- Aziz, S. B., Dannoun, E. M., Murad, A. R., Mahmoud, K. H., Brza, M. A., Nofal, M. M., ... & Kadir, M. F. Z. (2022). Influence of scan rate on CV Pattern: Electrical and electrochemical properties of plasticized Methylcellulose: Dextran (MC: Dex) proton conducting polymer electrolytes. Alexandria Engineering Journal, 61(8), 5919-5937. [CrossRef]
- ABID, M. A. A. M., Radzi, M. I., Mupit, M., Osman, H., Munawar, R. F., Samat, K. F., ... & Islam, M. R. (2020). Cyclic voltammetry and galvanostatic charge-discharge analyses of polyaniline/graphene oxide nanocomposite based supercapacitor. Malaysian Journal on Composites Science and Manufacturing, 3(1), 14-26. [CrossRef]







| S.No | Sample Name | Specific Capacitance at Different Scan Rates, F.g-1/ at different current densities, A.g-1 | |||
|---|---|---|---|---|---|
| 10 mV.s-1 / 1 A.g-1 | 25 mV.s-1 / 2 A.g-1 | 50 mV.s-1 / 4 A.g-1 | 100 mV.s-1 / 10 A.g-1 | ||
| 1 | Fe/Ni MOF | 104 / 228.88 | 68.64 / 162.48 | 55.92 / 129.83 | 48.32 / 99.79 |
| 2 | Fe/Ni MOF-PANI composite | 90/ 33.26 | 45.44 / 33.5 | 33.44 / 33.01 | 30.68 / 27.83 |
Disclaimer/Publisher’s Note: The statements, opinions and data contained in all publications are solely those of the individual author(s) and contributor(s) and not of MDPI and/or the editor(s). MDPI and/or the editor(s) disclaim responsibility for any injury to people or property resulting from any ideas, methods, instructions or products referred to in the content. |
© 2024 by the authors. Licensee MDPI, Basel, Switzerland. This article is an open access article distributed under the terms and conditions of the Creative Commons Attribution (CC BY) license (http://creativecommons.org/licenses/by/4.0/).