Submitted:
26 July 2024
Posted:
27 July 2024
You are already at the latest version
Abstract

Keywords:
1. Introduction
1.1 Olympic Games Urban Planning
Phase I: Minimal Transformation (1896–1924):
Phase II: Emerging Spatial Organisation (1932–1956):
Phase III: Reconfiguration of Cities (1960–1988):
Phase IV: Large-Scale Urban Transformations (1992–2004):
Phase V: Metropolitan Development (2008–2028):
1.2. Land Surface Temperature (LST) and Surface Urban Heat Island (SUHI)
1.3. Objectives and Article Structure
2. Study Area, Materials and Methods
2.1. Study Area
- a)
- Paris (Olympic city on 2024): Paris is the capital and largest city of France. According to estimated figures, its population as of January 2023 was 2,102,650 residents, and it covers an area of more than 760 km2. The City of Paris is also the centre of the Île-de-France region, or Paris Region, with an official estimated population of 12,271,794 inhabitants on the same date [66]. The administrative boundaries of the Île-de-France Department were used to delimit the Paris urban AOI polygon [64].
- a)
- The Olympic facilities AOI polygon was manually digitized based on the official venue [63], which includes several facilities such as the Stade de France, the Centre acquatique, Roland Garros, Paris la Défense Arena, Paris Bercy Arena, Arena Paris Sud, Champ-de-Mars Arena, Parc des Princes, La Concorde, and the Olympic Village, with an overall area of 4 km2. The Olympic urban planning configuration can be categorized as clustered [3] (Figure 2a).
- b)
- Tokyo (Olympic city on 2020 but celebrated on 2021 due to COVID-19): Tokyo, the capital and largest city of Japan, is home to over 14 million residents as of January 2023, spanning an area of more than 633 km2. It serves as the centre of the Greater Tokyo Area, which has an official estimated population of over 40 million residents as of 2023 [67]. The administrative limits of some municipalities of the Tokyo Metropolitan Area were used for the delimitation of the Tokyo urban AOI area [64]. These were Adachi, Arakawa, Bunkyo, Chiyoda, Chuo, Edogawa, Itabashi, Katsushika, Kita, Koto, Meguro, Minato, Nakano, Nerima, Ota, Setagaya, Shibuya, Shinagawa, Shinjuku, Suginami, Sumida, Taito and Toshima.
- b)
- The Olympic facilities AOI polygon was manually digitized based on the official venue [63], which includes the Olympic Stadium, Tokyo Stadium, the Tokyo Metropolitan Gymnasium, the Equestrian Park, the Nippon Budokan, the Ariake complex, the Sea Forest waterway, and the Olympic Village, with an overall area of 6 km2. The Olympic urban planning configuration can be categorized as polycentric [3] (Figure 2b).
- c)
- Rio de Janeiro (Olympic city on 2016): Rio de Janeiro is the capital of the state of Rio de Janeiro and the second-most-populous city in Brazil (after São Paulo), with an official estimated population of 6,211,223 residents as of 2022 in an area of more than 1203 km2 [68]. The City of Rio de Janeiro is the centre of Rio Metropolitan Area, with an official estimated population of 12,500,00 inhabitants on 2023 [67]. The administrative limits of the Rio de Janeiro Municipality were used for the delimitation of the Rio urban AOI area [64].
- c)
- The Olympic facilities AOI polygon was manually digitized based on the official venue [63], including facilities such as the Maracaná Stadium, the Deodoro complex, the Copacabana complex, and the Barra complex, including the Olympic Village, with an overall area of 3 km2. The Olympic urban planning configuration can be categorized as peripherical [3] (Figure 2c).
- d)
- Beijing (Olympic city on 2008): Beijing is the capital and largest city of China, with an official estimated population of more than 22 million residents [69] in 2023. The Beijing Municipality (Zhixiashì), situated in the Dongsheng and Tongzhou districts. The administrative limits of these districts, and Hadian, Chaoyang, Fengtai and Shijingshan, were used for the delimitation of the Beijing urban AOI area, covering an area of more than 1369 km2 [64].
- d)
- The Olympic facilities AOI polygon was manually digitized based on the official venue [63], including facilities such as the National Stadium, the National Aquatics Centre, the Olympic Sports Centre and Gymnasium, the Workers Stadium, the Workers indoor arena, the Olympic Village, and the Dongfeng Sports Park, with an overall area of 25 km2. The Olympic urban planning configuration can be categorized as polycentric [3] (Figure 2d).
- e)
- Sydney (Olympic city on 2000): Sydney is the most populous city in Australia and the capital city of the state of New South Wales. There is an official estimated population of 5,450,496 residents as of 2023 in a metropolitan area of more than 1003 km2 [70]. The administrative limits of some municipalities of North South Wales were used for the delimitation of the Sydney urban AOI area, covering 392 km2. These were Ashfield, Auburn, Bankstown, Botany Bay, Burwood, Canada Bay, Canterbury, Hurstville, Kogarah, Leichhardt, Marrickville, Radwick, Rockdale, Starthfield, Sydney, Waverley and Woollahra.
- e)
- The Olympic facilities AOI polygon was manually digitized based on the official venue [63], focusing on the Sydney Olympic Parc facilities, including among others the Stadium Australia, the Sydney Baseball Stadium, the International Archery Park and the Sydney International Aquatic Centre, and the Olympic Village, with an overall area of 4 km2. The Olympic urban planning configuration can be categorized as peripherical [3] (Figure 2e).
- f)
- Barcelona (Olympic city on 1992): Barcelona is the second-most populous municipality of Spain and the capital of the autonomous community of Catalonia. With a population of 1.6 million within city limits, its urban area is home to around 5.8 million people [71]. The administrative limits of the Barcelona County (comarca del Barcelonès) were used for the delimitation of the Barcelona urban AOI area, with an area of 146 km2.
- f)
- The Olympic facilities AOI polygon was manually digitized based on the official venue [63], focusing on the Olympic Ring facilities, including among others the Estadi Olímpic, the Baseball Stadium, the Palau Sant Jordi, Picornell Aquatic Centre, and containing other locations such as the Nou Camp Stadium and the Olympic Village, with an overall area of 3 km2. The Olympic urban planning configuration can be categorized as clustered [3] (Figure 2f).
- g)
- Seoul (Olympic city on 1988): Seoul is the capital and largest city of South Korea, with an official estimated population of 9,635,445 million residents as of 1 January 2024 [72] in an area of more than 605 km2. The administrative limits of the Seoul Capital Metropolitan City (Seoul Teukbyeolsi) were used for the delimitation of the Seoul urban AOI area.
- g)
- The Olympic facilities AOI polygon was manually digitized based on the official venue [63], focusing on the Olympic Park facilities, including among others the Olympic Gymnastic Hall, the Tennis Centre, the Olympic Velodrome, and the Jamsil Seoul Sports Complex, including among others the Baseball Stadium, the Seoul Olympic Stadium and the Olympic Village, with an overall area of 2 km2. The Olympic urban planning can be categorized as monocentric [3] (Figure 2g).
- h)
- Montreal (Olympic city on 1976): Montreal is the second-most populous city of Canada and the capital of the province of Quebec. With a population of 1,762,949 inhabitants in 2021, its metropolitan urban area is home to 4,291,732 people [73]. The administrative limits of the Champlain, Communauté-Urbaine-de-Montréal and Laval municipalities were used for the delimitation of the Montreal urban AOI area, covering 894 km2.
- h)
- The Olympic facilities AOI polygon was manually digitized based on the official venue [63], with a focus on the Montreal Olympic Park facilities, including among others the Olympic Stadium, the Olympic Velodrome, the Olympic Pool, the Botanical Garden and the Olympic Village, with an overall area of 2 km2. The Olympic urban planning can be categorized as monocentric [3] (Figure 2h).
2.2 Materials
| Satellite | Sensor | Band name | Spectral region | Band name | Sensor | Satellite |
|---|---|---|---|---|---|---|
|
Landsat-8 and Landsat-9 |
OLI | SR_B2 | Blue | SR_B1 | TM / ETM+ | Landsat-4 Landsat-5 and Landsat-7 |
| OLI | SR_B3 | Green | SR_B2 | |||
| OLI | SR_B4 | Red | SR_B3 | |||
| OLI | SR_B5 | Near infrared | SR_B4 | |||
| OLI | SR_B6 | Shortwave infrared 1 | SR_B5 | |||
| OLI | SR_B7 | Shortwave infrared 2 | SR_B7 | |||
| TIRS | ST_B10 | Thermal | ST_B6 |
2.3. Methods
2.3.1. Cloud Computing Processing
- 1.
- Import the data: First, it is necessary to import the Collection 2 tier 1 Level 2 collections for each Landsat mission, the AOI of each city polygon (AOI_CITY), and the AOI of each city Olympic facilities (AOI_CITY_OLYMPIC_FACILITES).
- 2.
- Define data ranges for each Olympic city: To capture the essential influence of the Olympic urban planning to the city, we search images five years after the event with some exceptions (see Table 3). The 5-year period was set to analyze the consolidated Olympic urban planning without including further changes and following remote sensing time-series references [83].
- 3.
- Create an Image Collection for each Olympic city and print the list of images filtered: It has assembled a set of images by selecting and filtering from a satellite collection based on each city’s AOI, data range, and cloud cover over land of less than 5% (this value allows a minimum of five images in all the analysed cities). In some cases, the data range overlaps two satellite missions, in which case a merged collection is created from both sources. To minimize radiometric artifacts, the collection is filtered selecting a single WRS Path-Row further, when the city AOI fits in a single WRS tile.
- 4.
- Cloud masking: After identifying the image collection for each city, the images are subjected to masking to eliminate any pixels that have been flagged as representing cloud, cloud shadow, or snow. By doing so, the resulting data is more robust to obtain a synthetic surface reflectance and surface temperature image.
- 5.
- Calculate the synthetic median image for all the bands and clip to AOI of the city polygon: With the purpose to generate a single image for each Olympic city that captures its thermal climate, a median value is calculated for all the images within the 5-year period. Employing the median as a centrality statistic for the creation of an annual synthetic image is based on the following considerations:
- The generation of synthetic images through the median of multiple annual or seasonal images is a widely used method in remote sensing, with the aim of obtaining a single, representative, and interannually comparable dataset, thereby creating a time series [83].
- Using the median in place of the mean is a statistical approach that exhibits reduced sensitivity to extreme values (outliers).
- Due to the variability in the dates of cloud-free satellite images and the inherent differences that arise between years, it is not possible to directly compare the data on a seasonal basis. To account for this, the creation of an annual synthetic image is undertaken.
- 6.
- Calculate the Land Surface Temperature in Kelvin (LST (K)) the Normalized Land Surface Temperature (NLST), the Difference Vegetation Index (NDVI) and Normalized Difference Built-Up Index (NDBI):
- 7.
- Where LST is the resulting Land Surface Temperature (in Kelvin units), DN is the Digital Number of the Landsat satellite image thermal band (Band 6 for L4, L5, L7 and Band 10 for L8 and L9). Scale and offset parameters are obtained from Collection 2 metadata.
- NLST: However, as previously exposed, a SUHI refers to the difference in LST between an urban area and its surrounding non-urban area. In this study, we examine urban areas that exhibit diverse morphologies and urban climates. Consequently, we employ local normalization to adjust the LST of each city, transforming the values to a non-dimensional range between –1 and 1 [eq. 2]. We use scaling to range technique [84] modified by using as minimum and as maximum the percentile 0.01 and the percentile 99.99 respectively to exclude possible outliers in the LST of a given AOI.
- 8.
- Where NLST is the resulting Normalized Land Surface Temperature (dimensionless [−1 to 1]) and LST is the input image obtained from [eq.1]. LSTmin and LSTmax are not purely the minimum and maximum LST values, are the percentile 0.01 and the percentile 99.99 to exclude possible outliers in the LST of a given AOI. Note that the scaling gives 0 to 1 value, and it is applied additional scale (x2) and translating (−1) factors, dimensioning the result to the desired [−1 to 1] range.
- 9.
- Where NDVI is the resulting Normalized Difference Vegetation Index (dimensionless [−1 to 1]), NIR is the Near Infrared band DN value of the Landsat satellite image (Band 4 for L4, L5, L7 and Band 5 for L8 and L9), and RED is the red band DN value of the Landsat satellite image (Band 3 for L4, L5, L7 and Band 4 for L8 and L9).
- NDBI: The NDBI is an index well correlated with the urban heat increase, being a good indicator to analyze the urban planning influence in the SUHI [Herrera, Sfakianaki] [eq. 4].
- 10.
- Where NDBI is the resulting Normalized Difference Built-Up Index (dimensionless [−1 to 1]), SWIR1 is the Short Wave Infrared highest frequency band DN value of the Landsat satellite image (Band 5 for L4, L5, L7 and Band 6 for L8 and L9), and NIR is the Near Infrared band DN value of the Landsat satellite image (Band 4 for L4, L5, L7 and Band 5 for L8 and L9).
- 11.
- Map visualization: The visualization of the Landsat image is accomplished with a SWIR2–NIR–SWIR1 band combination. The LST, the NLST, the NDVI and the NDBI are visualized with its corresponding palette and stretching values. The visualization is key to identify the spatial context and SUHI effects of the Olympic facilities, and to identify possible artifacts due to processing errors.
- 12.
- Spatial statistics: After processing remote sensing data, it becomes possible to extract quantitative information. Statistics such as the mean, the median, the standard deviation and the interquartile range can show the first results about the trends of the LST behavior, both for the overall city AOI and the Olympic facilities AOI.
- 13.
- Export synthetic images to drive: The aim was to enhance the analysis of spatial data by exporting the images to a GIS desktop application. To achieve this, we exported the synthetic median image, which encompassed the optical bands, LST, NDVI, NDBI, and NLST, in GeoTIFF file format. Geometrically, the exportation was clipped by the city AOI limits, at 30 m pixel size and in the corresponding EPSG code (WGS84 datum UTM zone projection).
2.3.2. GIS Analysis and Visualization
3. Results and discussion
- The list of images used to calculate the median image for each urban area: For every city, a list is generated that displays the quantity of images incorporated within the image collection utilized for the calculation of the synthetic median image. Each feature constitutes an image, complete with its associated metadata and attributes, including the acquisition dates or the cloud cover over land.
- Basic statistics: For each city there are printed some basic statistics, such as the AOI of the city area (km2), AOI of the Olympic facilities area (km2), the AOI of the city median LST (K), the AOI of the city LST standard deviation (K), the AOI of the Olympic facilities median LST (K), the AOI of the Olympic facilities LST standard deviation (K). These statistics are beneficial for a preliminary approach of the Olympic facilities’ LST in relation to the overall city LST.
- The tasks to export the images: For each city it is tasked the exportation of the synthetic median image. The exported image consists of ten bands (blue, green, red, NIR, SWIR1, SWIR2, Thermal, LST, NLST, NDVI and NDBI). The image is clipped by the AOI of the city, at a pixel size of 30 m. It is also georeferenced with a projected coordinate system corresponding to its WGS84/UTM zone EPSG code. The file format is GeoTIFF.
- The limits of the Olympic facilities: These limits were loaded from a shapefile and are available for all the users.
- The Landsat median synthetic image: For a good visualization of the image, and given the urban nature of the AOI, it is used a SWIR2 – NIR – SWIR1 combination. This layer is not visible by default (it can be activated from the legend).
- The median NDBI image: For a good visualization of the NDBI, it is used a palette where green colours correspond to the less urbanized pixels, and red colours to the more urbanized pixels. Although the data range is [–1 to 1], the visualization is stretched to [–0.25 to 0.25]. This layer is not visible by default (it can be activated from the legend).
- The median NDVI image: For a good visualization of the NDVI, it is used a palette where green colours correspond to the pixels with more vegetation, and red colours to the pixels with less vegetation. Although the data range is [–1 to 1], the visualization is stretched to [–0.25 to 0.25]. This layer is not visible by default (it can be activated from the legend).
- The median NLST image: For a good visualization of the NLST, it is used a palette where purple colours correspond to the pixels with less relative temperature, and red colours to the pixels with more relative temperature. This layer is not visible by default (it can be activated from the legend).
- The median LST image: For a good visualization of the LST, it is used a palette where purple colours correspond to the pixels with less relative temperature, and red colours to the pixels with more relative temperature. The data range is variable for each city, and therefore the visualization is stretched individually. This layer is not visible by default (it can be activated from the legend).
3.1. Mapping and Statistical Characterization of the Olympic Venues in Relation to its Hosting City
3.2. Thermal Transects: Sampling the Impact of the Olympic Facilities in Its Hosting Cities.
- The Paris transect has a SW to NE direction and a length of 25035 m. It was designed to sample the UHI from the point A (X: 444248, Y: 5401311) to the point B (X: 455585, Y: 5423867, EPSG: 32631) by crossing les Champs de Mars, le Montage Olympique des Invalides, the Sena River and St. Denis Stadium. In the latter, there is a peak in the NLST transect graph, indicating a hotspot in this location in relation to the Paris UHI, while in the Invalides, there is a relative green spot (Figure 8a). The clustered location of the venues, added to the combination with gardens, promotes the balancing of the heat emission of Olympic buildings.
- The Tokyo transect has a SW to NE direction with a length of 30511 m and was designed to cross the UHI from the point A (X: 375100, Y: 3941580) to the point B (X: 398083, Y: 3961660, EPSG: 32654). The sample starts at the Tama River, crosses the Yoyogi Park, the Japan National Stadium, the Tokyo Dome, the Arakawa River and finishes at the Mizumoto Park. The thermal peak is located over the Stadium and the Dome (Figure 8b). The high surface temperature reached by the Olympic building covers, added to its huge dimensions, leads to the result of an important hotspot within the city, but they are located within a green area that mitigates the heating effects.
- The Rio transect has a SW to NE direction with a length of 44230 m and it was designed to sample the UHI from the point A (X: 645756, Y:7450883) to the point B (X: 686856, Y: 7467220, EPSG: 32723). The line starts at the Portinho River estuary, crosses the Pedra Branca Park, the Olympic Village and the Barra Olimpica venue, the Tijuca National Park, and the Rio city overlapping the Maracaná Stadium. The thermal peak is located over Barra Olímpica and a secondary peak is found over Maracaná, evidencing that these kind of Olympic infrastructures are some of the higher heat emissaries in the city. The exuberant and dense vegetation of the Rio area increases the contrast between the concreted urbanized areas and its surrounding forests. This effect is still greater in the case of the Barra complex, in a peripherical location (Figure 8c).
- The Beijing transect has a S to N direction and a length of 30723 m. It was designed to cross the UHI from the point A (X: 447915, Y: 4401850) to the point B (X: 447895, Y:4432570, EPSG: 32650), starting at the Nanyuan residential district, crossing the Temple of Heaven complex, the Olympic village, the Beijing National Stadium and finishing at the Olympic Park. The coolest locations are the Olympic Park, which has a large vegetated and gardened area, and the Temple of Heaven, while the hottest is the Beijing National Stadium (Figure 8d).
- The Sydney transect has a NW to SE direction and a length of 23108 m. It was designed to cross the UHI from the point A (X: 318740, Y: 62548990) to the point B (X: 339180, Y: 6244130, EPSG: 32756). The segment starts at the Duck River, crosses the Olympic Park thorough the Accor Stadium, the residential areas of Haberfield, Macdonaldtown, Kensington and end at the sea close to South Coogee. In the case of this urban area, the extensive and low-density neighborhoods with many green spaces, contrasts with the Olympic Stadium and the central and dense downtown, where are the thermal peaks (Figure 8e). Nevertheless, the Olympic Park contains green areas and water bodies balancing the building heat.
- The Barcelona transect has a SW to NE direction and a length of 20317 m. It was designed to cross the UHI from the point A (X: 426010, Y: 4575085) to the point B (X: 438315, Y: 4591235, EPSG: 32631). The transect starts at the Llobregat River, crosses the industrial area of Mercabarna, the Olympic Ring by the Montjuïc Olympic Stadium, the densely populated old city, the Eixample, the Besós River and finishes in Badalona. The highest surface temperature is in the industrial area, and the Olympic Ring has low relative temperatures due to its vegetated park areas, such as the Botanic Garden located near to the Palau Sant Jordi and the Olympic Stadium. Similarly to the other cities, the lowest relative temperatures are over the water bodies (Figure 8f).
- The Seoul transect has a W to E direction and a length of 28530 m and it was designed to cross the UHI from the point A (X: 307545, Y: 4153195) to the point B (X: 336050, Y: 4154110, EPSG: 32652). It starts at the Bucheon Ecoaprk, crosses the densely populated areas of Dorim-Dong and Noryangjing-Dong, overlaps the Han River, enters to the Jamsil Olympic complex and the Olympic Park (where the Olympic Stadium is located), and ends at the limit with Gyeonggi-Do. As expected, the Han River presents the lowest relative surface temperatures, and the higher are located on dense urban areas and over the Olympic Stadium (Figure 8g).
- The Montreal transect has a W to E direction and a length of 28522 m. It was designed to cross the UHI from the point A (X: 605630, Y: 5030500) to the point B (X: 617910, 5056230, EPSG: 32618). Starts at the Boulevard La Salle close to the Pont Honoré-Mercier, cresses the Canal de Lachine, overlaps the residential area of Westmount, the Parc du Mont-Royal, the neighborhood of Angus, the Olympique Parc de Montral and the Stade Olympique, the low-density neighborhood of Anjou, the industrial area at East Montreal, and ends near the Île Du-Tricentenaire. The higher relative surface temperatures are found on the dense residential areas, and also it is observed a peak just over the Olympic Park; it is worth noting that the Botanic Garden, located next to the Olympic Park, and were took place the Marathon, is one of the places with lower relative surface temperature in the inner urban area. Also, the Parc du Mont-Royal and the Canal de Lachine water body are the lower thermal emissaries (Figure 8h).

3.3. City Land Surface Temperatures Related to the Olympic Factilites Land Surface Temperatures.
- Results for Paris city and its Olympic area, show a reduced interquartile range (IQR) of the NLST within the overall Paris urban in comparison to the Olympic area. This, added to a higher variability of temperatures within the Olympic area as seen in the wider distance between the minimum and the maximum, indicates that the Olympic facilities contribute to slightly increase the overall LST in the Paris urban area. The clustered location of the Olympic facilities along of the city can explain this reduced effect of hotspot in relation with its surrounded heavily urbanized area (Figure 9a).
- Findings for Tokyo city and its Olympic area, reveal a comparable IQR of the NLST within the Olympic area in comparison to the overall Tokyo urban area. The variability of temperatures within the Olympic area is also similar to the overall city, as seen in the similar distance between the minimum and the maximum. However, the median and the average LST is significantly lower in the Olympic facilities, demonstrating a strong contribution to reducing the overall LST in the Tokyo urban area. The polycentric location of the Olympic facilities along of the city can explain this effect of green spot in relation with its surrounded heavily urbanized area (Figure 9b).
- Rio city and its Olympic area, show a lower variability of the NLST in the Olympic area in relation with the overall Rio urban area as seen in the lower distance between the minimum and the maximum and between the 1st and 3rd quartile. In this case the NLST minimum, median and average values within the Olympic area are significantly higher than those in the overall Rio urban area, thus the Olympic facilities contribute to increasing the overall LST. The location of the Olympic area in the periphery of the city can explain this effect of hotspot in relation to its less heavily urbanized surrounding (Figure 9c).
- Beijing city and its Olympic area, demonstrate a shorter IQR of the NLST within the Olympic area when compared to the overall Beijing urban area. Additionally, the variability of temperatures within the Olympic area is also lower than in the overall city, as seen in the similar distance between the minimum and the maximum values. However, both the median and the average LST are lower in the Olympic facilities, showing a strong contribution to reducing the overall LST in the Beijing urban area. The fact that the Olympic facilities are located in a polycentric manner throughout the city can account for this green spot effect in relation to its surrounding heavily urbanized area (Figure 9d).
- Sydney city and its Olympic area indicate a higher variability of the NLST in the Olympic area when compared to the broader Sydney urban area. This is evident in the wider distance between the minimum and the maximum values, as well as between the 1st and 3rd quartiles. In this case the NLST median and average values within the Olympic area are much higher than in the overall urban area, thus the Olympic facilities contribute to increase the overall LST. The median and average NLST values within the Olympic area are notably higher than in the overall urban area. As a result, the Olympic facilities contribute to an increase in the overall LST. The median value is positioned closer to the bottom of the box, and the whisker on the upper end of the box is shorter, indicating a clearly negative skew in the distribution. This skew can be attributed to the mix of green spaces and hot areas within the Olympic Park. The location of the Olympic area on the periphery of the city can explain the hotspot effect, which is related to its surrounding less densely urbanized area (Figure 9e).
- The results reveals that the IQR of NLST in Barcelona’s Olympic area is shorter than in the city overall. Additionally, the variability of temperatures within the Olympic area is lower than in the rest of the city, as evidenced by the proximity of the minimum and maximum temperatures. However, the median and average LST is lower in the Olympic facilities, which significantly contributes to reducing the overall LST in the urban area of Barcelona. The fact that the Olympic facilities are clustered in a particular location within the city can explain this effect of a green spot in relation to the heavily urbanized area surrounding it (Figure 9f).
- The analysis of data for Seoul city and its Olympic area reveals a reduction in the IQR of the NLST within the Olympic area compared to the overall Seoul urban area. Additionally, there is a decrease in temperature variability within the Olympic area, as evidenced by the smaller distance between the minimum and maximum values. However, despite these findings, the average and median values, as well as the higher position of the 1st and 3rd quartiles, suggest that the Olympic facilities have led to an increase in the overall LST in the Seoul urban area. This effect can be attributed to the monocentric location of the Olympic facilities within the city and the urbanized surroundings, which creates a hot spot in relation to the overall urbanized area (Figure 9g).
- Similarly to Seoul, the data for Montreal, indicates a narrowing of the IQR of the NLST within the Olympic area as compared to the broader Montreal urban area. Additionally, the temperature variability in the Olympic Park is lower, as shown by the smaller distance between the minimum and maximum values. However, the average and median values, as well as the higher position of the 1st and 3rd quartile, suggest that the Olympic venues have contributed to an overall increase in the LST in the Montreal urban area. The central location of the Olympic facilities within the city and its urbanized surroundings can explain this effect of a hot spot in relation to the overall urbanized area (Figure 9h).

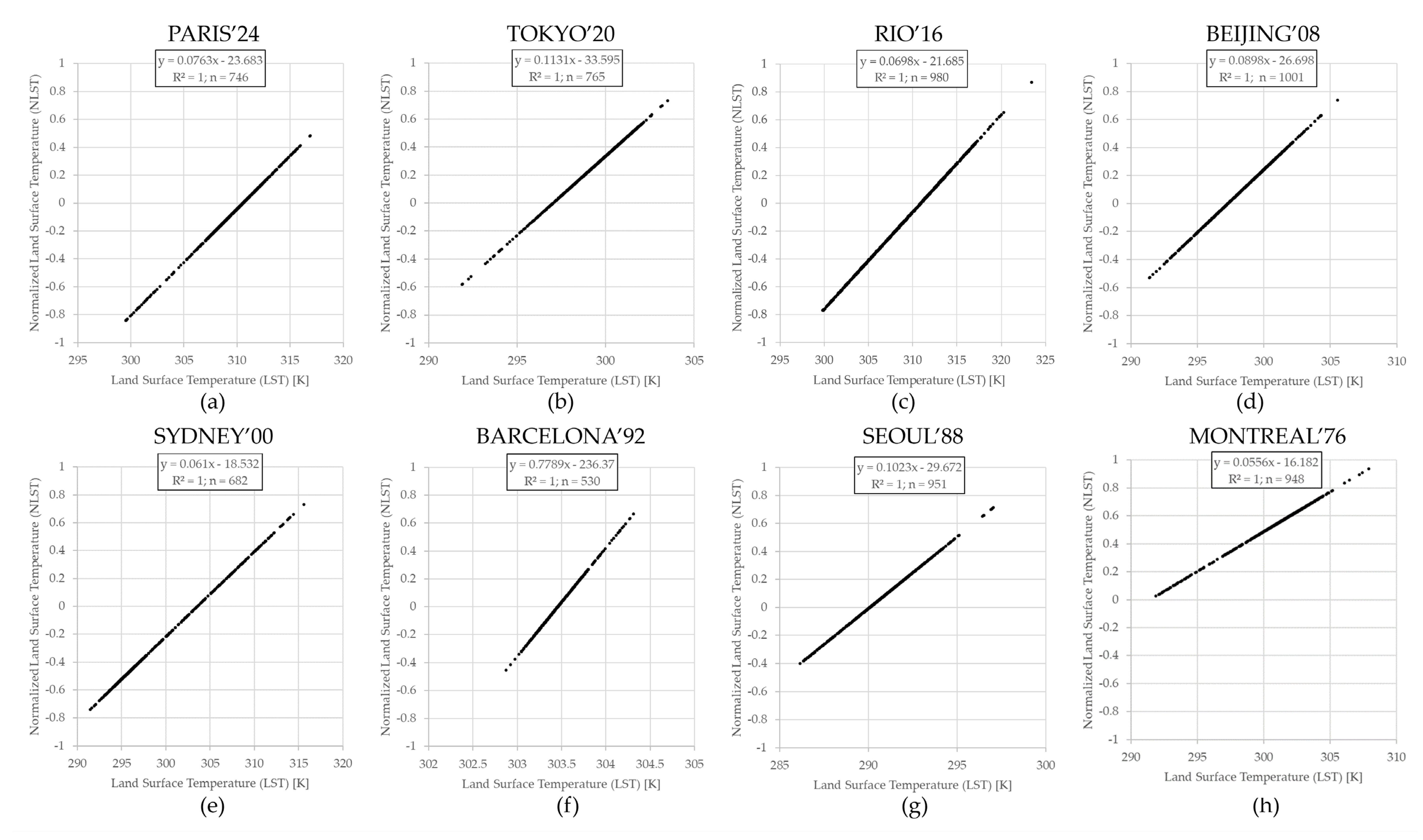
3.3. NLST Validation
3.4. Towards a Sustainable Olympic Game Planning? Surface Thermal Mitigation Strategies
4. Conclusions
Supplementary Materials
Author Contributions
Funding
Data Availability Statement
Acknowledgments
Conflicts of Interest
References
- Malfas, M.; Theodoraki, E.; Houlihan, B. Impacts of the Olympic Games as mega-events. Proceedings of the Institution of Civil Engineers - Municipal Engineer 2004, 157, 209–220. [CrossRef]
- della Sala, V. The Olympic Village and the Olympic Urbanism: Perception and Expectations of Olympic Specialists. Bollettino della Società Geografica Italiana 2022, 5, 51–64. [Google Scholar] [CrossRef]
- della Sala, V. The Olympic Villages and Olympic urban planning. Analysis and evaluation of the impact on territorial and urban planning (XX-XX I centuries). 2022, Doctoral thesis. UAB. POLITO. Available online: http://hdl.handle.net/10803/687631 (accessed on 14 May 2024).
- della Sala, V. Olympic Games and expectations: The factor analysis model about Olympic Urbanism and Olympic Villages. In: Sociologia e ricerca sociale, Franco Angeli: Milano, 2023, 132, 3, 127–147.
- della Sala, V. Olympic Games: Between Expectations and Fears. Factor Analysis Model Applied to Olympic Urbanism and Olympic Villages. Rivista Internazionale di Scienze Sociali 2024, 132, 55–86. [Google Scholar]
- Roche, M. Mega-Events and Micro-Modernisation: On the Sociology of the New Urban Tourism. British Journal of Sociology 1992, 43, 563–600. [Google Scholar] [CrossRef]
- Roche, M. Mega-events and Modernity: Olympics and Expos in the Growth of Global C. Routledge: London. 2000.
- Roche, M. Olympic and Sport Mega-Events as Media-Events: Reflections on the Globalisation paradigm. Symposium A Quarterly Journal in Modern Foreign Literatures 2002, 1–12. Available online: https://citeseerx.ist.psu.edu/document?repid=rep1&type=pdf&doi=1bbe07c9a1b53747a55c8db4d220a4072428faf8 (accessed on 14 May 2024).
- Roche, M. The Olympics and the Development of "Global Society". In: M. De Moragas, C. Kennett, N. Puig, The Legacy of the Olympic Games, Document of the Olympic Museum, International Olympic Committee, Lausanne, 2003.
- Roche, M. Mega-Events and Modernity Revisited: Globalization and the Case of the Olympics. The Sociological Review 2006, 54, 27–40. [Google Scholar] [CrossRef]
- Rose, A.K.; M. Spiegel. The Olympic Effect. National Bureau of Economic Research, 2009. Available online: https://www.nber.org/system/files/working_papers/w14854/w14854.pdf (accessed on 14 May 2024).
- Essex, S.; Chalkley, B. Olympic games: Catalyst of urban change. Leisure Studies 1998, 17, 187–206. [Google Scholar] [CrossRef]
- Dunn, M.K.; McGuirk, M.P. Hallmark events. In: Staging the Olympics: The Event and its Impacts, Cashman, R. and Hughes, A. Eds. Centre for Olympic Studies, UNSW, Sydney, 1999.
- Moragas, M. Olympic villages: a hundred years of urban planning and shared experiences: International Symposium on Olympic Villages. In: Centre d’Estudis Olímpics i de l’Esport Universitat Autònoma de Barcelona; Olympic Museum (Ed.), Olympic Villages Hundred Years of Urban Planning and Shared Experiences. Lausanne, 1996.
- Georgiadis, K.; Theodorikakos, P. The Olympic Games of Athens: 10 years later. Sport in Society 2015, 19, 817–827. [Google Scholar] [CrossRef]
- Jia, H.; Lu, Y.; Yu, S. L.; Chen, Y. Planning of LID-BMPs for urban runoff control: The case of Beijing Olympic Village. Separation and Purification Technology 2012, 84, 112–119. [Google Scholar] [CrossRef]
- Imrie, R.; Lees, L.; Raco, M. Regenerating London: Governance, Sustainability and Community in a Global City. Routledge: London. 2008.
- Cook, I. G.; Miles, S. Beijing 2008: Chapter taken from Olympic Cities. Routledge Online Studies on the Olympic and Paralympic Games, 1(36), 340–358. 2012.
- Bokaie, M.; Zarkesh, M.K.; Arasteh, P.D.; Hosseini, A. Assessment of Urban Heat Island based on the relationship between land surface temperature and Land Use/ Land Cover in Tehran. Sustainable Cities and Society 2016, 23, 94–104. [Google Scholar] [CrossRef]
- Fashae, O.A.; Adagbasa, E.G.; Olusola, A.O.; Obateru, R.O. Land use/land cover change and land surface temperature of Ibadan and environs, Nigeria. Environ. Monit. Assess. 2020, 192, 109. [Google Scholar] [CrossRef] [PubMed]
- IPCC [Intergovernmental Panel on Climate Change]. Glossary. In: Climate Change 2022 – Impacts, Adaptation and Vulnerability: Working Group II Contribution to the Sixth Assessment Report of the Intergovernmental Panel on Climate Change. Cambridge University Press; 2023:2897-2930. [CrossRef]
- European Environment Agency. Urban adaptation in Europe: How cities and towns respond to climate change. Publications Office of the European Union 2020. Available online: https://data.europa.eu/doi/10.2800/324620 (accessed on 14 May 2024).
- Santamouris, M. Urban climate change: Reasons, magnitude, impact, and mitigation. In: Urban Climate Change and Heat Islands. Riccardo Paolini, Matthaios Santamouris, Eds.; Elsevier: Amsterdam, Netherlands 2023; pp. 1–27. [CrossRef]
- Chun, B.; Guldmann, J.-M. Impact of greening on the urban heat island: Seasonal variations and mitigation strategies. Computers, Environment and Urban Systems 2018, 71, 165–176. [Google Scholar] [CrossRef]
- Dwivedi, A.; Mohan, B.K. Impact of green roof on micro climate to reduce Urban Heat Island. Remote Sensing Applications: Society and Environment 2018, 10, 56–69. [Google Scholar] [CrossRef]
- Leal Filho, W.; Wolf, F.; Castro-Díaz, R.; Li, C.; Ojeh, V.N.; Gutiérrez, N.; Nagy, G.J.; Savić, S.; Natenzon, C.E.; Quasem Al-Amin, A.; et al. Addressing the Urban Heat Islands Effect: A Cross-Country Assessment of the Role of Green Infrastructure. Sustainability 2021, 13, 753. [Google Scholar] [CrossRef]
- Herath, H.M.P.I.K.; Halwatura, R.U.; Jayasinghe, G.Y. Evaluation of green infrastructure effects on tropical Sri Lankan urban context as an urban heat island adaptation strategy. Urban Forestry & Urban Greening 2018, 29, 212–222. [Google Scholar] [CrossRef]
- Herrera-Gómez, S.S.; Quevedo-Nolasco, A.; Pérez-Urrestarazu, L. The role of green roofs in climate change mitigation: A case study in Seville (Spain). Building and Environment 2017, 123, 575–584. [Google Scholar] [CrossRef]
- Abdulateef, M.F.; Al-Alwan, H.A.S. The effectiveness of urban green infrastructure in reducing surface urban heat island: Baghdad city as a case study. Ain Shams Engineering Journal 2022, 13, 101526. [Google Scholar] [CrossRef]
- Maimaitiyiming, M.; Ghulam, A.; Tiyip, T.; Pla, F.; Latorre-Carmona, P.; Halik, Ü.; Sawut, M.; Caetano, M. Effects of green space spatial pattern on land surface temperature: Implications for sustainable urban planning and climate change adaptation. ISPRS J. Photogramm. Remote Sens. 2014, 89, 59–66. [Google Scholar] [CrossRef]
- Andrade, H.; Vieira, R. A climatic study of an urban green space: The Gulbenkian Park in Lisbon (Portugal). Finisterra: Revista Portuguesa de Geografia 2007, 42, 27–46. [Google Scholar] [CrossRef]
- Jiang, J.; Tian, G. Analysis of the impact of Land use/Land cover change on Land Surface Temperature with Remote Sensing. Procedia Environmental Sciences 2010, 2, 571–575. [Google Scholar] [CrossRef]
- Tran, H.; Uchihama, D.; Ochi, S.; Yasuoka, Y. Assessment with satellite data of the urban heat island effects in Asian mega cities. International Journal of Applied Earth Observation and Geoinformation 2006, 8, 34–48. [Google Scholar] [CrossRef]
- Yang, J.; Yu, Q.; Gong, P. Quantifying air pollution removal by green roofs in Chicago. Atmospheric Environment 2008, 42, 7266–7273. [Google Scholar] [CrossRef]
- Battista, G.; Evangelisti, L.; Guattari, C.; De Lieto Vollaro, E.; De Lieto Vollaro, R.; Asdrubali, F. Urban Heat Island Mitigation Strategies: Experimental and Numerical Analysis of a University Campus in Rome (Italy). Sustainability 2020, 12, 7971. [Google Scholar] [CrossRef]
- Shashua-Bar, L.; Hoffman, M.E.; Tzamir, Y. Integrated thermal effects of generic built forms and vegetation on the UCL microclimate. Building and Environment 2006, 41, 343–354. [Google Scholar] [CrossRef]
- Wong, N.H.; Cheong, D.K. W.; Yan, H.; Soh, J.; Ong, C.L.; Sia, A. The effects of rooftop garden on energy consumption of a commercial building in Singapore. Energy and Buildings 2003, 35, 353–364. [Google Scholar] [CrossRef]
- Yang, B.; Liu, H.; Kang, E.L. Traffic restrictions during the 2008 Olympic Games reduced urban heat intensity and extent in Beijing. Commun Earth Environ 2022, 105–115. [Google Scholar] [CrossRef]
- Vicente-Salar, R.; Castelló-Bueno, M.; Logan, S.; Padró, J.-C. Efecto de los usos y las cubiertas del suelo y las políticas ambientales en el comportamiento de las temperaturas superficiales en campus universitarios. El caso de la Universitat Autònoma de Barcelona. Documents d’Anàlisi Geogràfica 2024, 70, 261–289. [Google Scholar] [CrossRef]
- Cai, G.; Liu, Y.; Du, M. Impact of the 2008 Olympic Games on urban thermal environment in Beijing, China from satellite images.
- Sustainable Cities and Society 2017, 32, 212–225. [CrossRef]
- Do, J.; Ahn, S.; Kang, J. Urbanization effect of mega sporting events using sentinel-2 satellite images: The case of the pyeongchang olympics. Sustainable Cities and Society 2021, 74, 103158. [Google Scholar] [CrossRef]
- Tu, Y.; Chen, B.; Yang, J.; Xu, B. Olympic effects on reshaping urban greenspace of host cities. Landscape and Urban Planning 2023, 230, 104615. [Google Scholar] [CrossRef]
- AEMET [Agencia Estatal de Meteorología]. Redes de observación de superficie y en altura. Redes de observación de superficie y en altura. Available online: www.aemet.es/ca/idi/observacion/observacion_convencional (accessed on 14 May 2024).
- METEOCAT [Servei Meteorològic de Catalunya]. Dades d’estacions meteorològiques automàtiques de Catalunya: Mapa d’estacions automàtiques. Available online: https://www.meteo.cat/observacions/xema (accessed on 14 May 2024).
- EUMETSAT [European Organization for the Exploitation of Meteorological Satellites]. Meteosat series. Available online: https://www.eumetsat.int/our-satellites/meteosat-series (accessed on 14 May 2024).
- NASA [National Aeronautics and Space Administration]. ARSET - Satellite Remote Sensing for Urban Heat Islands. Available online: https://appliedsciences.nasa.gov/get-involved/training/english/arset-satellite-remote-sensing-measuring-urban-heat-islands-and (accessed on 14 May 2024).
- Maharjan, M.; Aryal, A.; Man Shakya, B.; Talchabhadel, R.; Thapa, B.R.; Kumar, S. Evaluation of Urban Heat Island (UHI) Using Satellite Images in Densely Populated Cities of South Asia. Earth 2021, 2, 86–110. [Google Scholar] [CrossRef]
- Xian, G.; Gallo, K. Islas de Calor Urbano Observadas a partir de una Serie Temporal de Datos de Teledetección. Applied Remote Sensing Training Program National Aeronautics and Space Administration 2020. Available online: https://appliedsciences.nasa.gov/sites/default/files/2020-11/UHI_Part3_Xian_Span.pdf (accessed on 14 May 2024).
- Del Pozo, S.; Landes, T.; Nerry, F.; Kastendeuch, P.; Najjar, G.; Philipps, N.; Lagüela, S. UHI estimation based on aster and MODIS satellite imagery: first results on Strasbourg city, France. The International Archives of the Photogrammetry, Remote Sensing and Spatial Information Sciences 2020, XLIII-B3-2020, 799–805. [Google Scholar] [CrossRef]
- Soto-Soto, J.E.; Garzon-Barrero, J.; Jimenez-Cleves, G. Análisis de islas de calor urbano usando imágenes Landsat caso de estudio Armenia-Colombia 1996-2018. Revista Espacios 2020, 41, 9. Available online: https://www.revistaespacios.com/a20v41n08/a20v41n08p09.pdf (accessed on 14 May 2024).
- Aragón, J.A.; Rodríguez, E.D.; Varon, G.A.; Sánchez, G.A. Análisis de islas de calor por medio de imágenes satelitales y sistemas de información geográficos en el área urbana de la Sabana de Bogotá. Geographicalia 2020, 72, 39–64. [Google Scholar] [CrossRef]
- Sucapuca Mamani, R.O.; Choquehuanca Soto, J.D.; Pelinco Ruedas, E. Islas de calor urbano mediante imágenes satelitales en la ciudad de Juliaca durante el año 2019. Ciencia & Desarrollo 2022, 21, 10–28. [Google Scholar] [CrossRef]
- USGS [United States Geological Survey] (2022). Landsat Series. Available online: https://www.usgs.gov/landsat-missions (accessed on 14 May 2024).
- Sobrino, J.A.; Jiménez-Muñoz, J. Land surface temperature retrieval from thermal infrared data: An assessment in the context of the Surface Processes and Ecosystem Changes Through Response Analysis (SPECTRA) mission. Journal of Geophysical Research 2005, 110, D16103. [Google Scholar] [CrossRef]
- Ermida, S.L.; Soares, P.; Mantas, V.; Göttsche, F.-M.; Trigo, I.F. Google Earth Engine Open-Source Code for Land Surface Temperature Estimation from the Landsat Series. Remote Sens. 2020, 12, 1471. [Google Scholar] [CrossRef]
- Hidalgo-García, D.; Arco-Díaz, J. Spatial and Multi-Temporal Analysis of Land Surface Temperature through Landsat 8 Images: Comparison of Algorithms in a Highly Polluted City (Granada). Remote Sens. 2021, 13, 1012. [Google Scholar] [CrossRef]
- Sheng, L.; Tang, X.; You, H.; Gu, Q.; Hu, H. Comparison of the urban heat island intensity quantified by using air temperature and Landsat land surface temperature in Hangzhou, China. Ecological Indicators 2017, 72, 738–746. [Google Scholar] [CrossRef]
- Yi, T.; Wang, H.; Liu, C.; Li, X.; Wu, J. Thermal comfort differences between urban villages and formal settlements in Chinese developing cities: A case study in Shenzhen. Science of The Total Environment 2022, 853, 158283. [Google Scholar] [CrossRef] [PubMed]
- Mohamadi, B.; Chen, S.; Balz, T.; Gulshad, K.; McClure, S.C. Normalized Method for Land Surface Temperature Monitoring on Coastal Reclaimed Areas. Sensors 2019, 19, 4836. [Google Scholar] [CrossRef] [PubMed]
- Peres, L.; de Lucena, A.J.; Rotunno, O.; de Almeida, J.R. The urban heat island in Rio de Janeiro, Brazil, in the last 30 years using remote sensing data. IJAEO 2018, 64, 104–116. [Google Scholar] [CrossRef]
- Amiri, R.; Weng, Q.; Alimohammadi, a.; Alavipanah, S.K. Spatial–temporal dynamics of land surface temperature in relation to fractional vegetation cover and land use/cover in the Tabriz urban area, Iran. Remote Sensing of Environment 2009, 113, 2606–2617. [Google Scholar] [CrossRef]
- Haashemi, S.; Weng, Q.; Darvishi, A.; Alavipanah, S.K. Seasonal Variations of the Surface Urban Heat Island in a Semi-Arid City. Remote Sens. 2016, 8, 352. [Google Scholar] [CrossRef]
- International Olympic Committee (IOC). Olympic Games. Available online: https://olympics.com/en/olympic-games (accessed on 14 May 2024).
- Global Administrative Boundaries (GADM). GADM maps and data. Available online: https://gadm.org/ (accessed on 14 May 2024).
- QGIS plugins. HCMGIS. Available online: https://plugins.qgis.org/plugins/HCMGIS/ (accessed on 14 May 2024).
- Institut National de la statistique et des Études Économiques (INSEE). Estimation de la population au 1ᵉʳ janvier 2023 Séries par région, département, sexe et âge. Available online: https://www.insee.fr/fr/statistiques/1893198 (accessed on 14 May 2024).
- City Population. Major agglomerations of the world. Available online: https://www.citypopulation.de/en/world/agglomerations/ (accessed on 14 May 2024).
- Instituto Brasileiro de Geografia e Estatística (IBGE). Cidades e Estados: Rio de Janeiro. Available online: https://www.ibge.gov.br/cidades-e-estados/rj/rio-de-janeiro.html (accessed on 14 May 2024).
- The People’s Government of Beijing Municipality. Beijing Population. Available online: https://english.beijing.gov.cn/beijinginfo/facts/202006/t20200601_1912283.html (accessed on 14 May 2024).
- Australian Bureau of Statistics (ABS). Population Projections, Australia. Available online: https://www.abs.gov.au/statistics/people/population/regional-population/2022-23 (accessed on 14 May 2024).
- Statistical Institute of Catalonia (IDESCAT). Barcelona (Barcelonès). Available online: https://www.idescat.cat/emex/?lang=en&id=080193 (accessed on 14 May 2024).
- Seoul Metropolitan Government. City Overview. Available online: https://english.seoul.go.kr/seoul-views/meaning-of-seoul/4-population/ (accessed on 14 May 2024).
- Statistics Canada. Census Profile, 2021 Census of Population. Available online: https://www12.statcan.gc.ca/census-recensement/2021/dp-pd/prof/index.cfm?Lang=E (accessed on 14 May 2024).
- USGS [United States Geological Survey] (2023a). What are the band designations for the Landsat satellites? Available online: https://www.usgs.gov/faqs/what-are-band-designations-landsat-satellites (accessed on 14 May 2024).
- USGS [United States Geological Survey] (2023b). Landsat 7. Available online: https://www.usgs.gov/landsat-missions/landsat 7 (accessed on 14 May 2024).
- Earth Engine Data Catalog (2024a). USGS Landsat 4 Level 2, Collection 2, Tier 1. Available online: https://developers.google.com/earth-engine/datasets/catalog/LANDSAT_LT04_C02_T1_L2 (accessed on 14 May 2024).
- Earth Engine Data Catalog (2024b). USGS Landsat 5 Level 2, Collection 2, Tier 1. Available online: https://developers.google.com/earth-engine/datasets/catalog/LANDSAT_LT05_C02_T1_L2 (accessed on 14 May 2024).
- Earth Engine Data Catalog (2024c). USGS Landsat 7 Level 2, Collection 2, Tier 1. Available online: https://developers.google.com/earth-engine/datasets/catalog/LANDSAT_LE07_C02_T1_L2 (accessed on 14 May 2024).
- Earth Engine Data Catalog (2024d). USGS Landsat 8 Level 2, Collection 2, Tier 1. Available online: https://developers.google.com/earth-engine/datasets/catalog/LANDSAT_LC08_C02_T1_L2 (accessed on 14 May 2024).
- Earth Engine Data Catalog (2024e). USGS Landsat 9 Level 2, Collection 2, Tier 1. Available online: https://developers.google.com/earth-engine/datasets/catalog/LANDSAT_LC09_C02_T1_L2 (accessed on 14 May 2024).
- NASA [National Aeronautics and Space Administration]. Landsat Science: The Worldwide Reference System. Available online: https://landsat.gsfc.nasa.gov/about/the-worldwide-reference-system/ (accessed on 14 May 2024).
- USGS [United States Geological Survey] (2023a). Landsat Collection 2 Surface Temperature. Available online: www.usgs.gov/landsat-missions/landsat-collection-2-surface-temperature (accessed on 14 May 2024).
- Díaz-Delgado, R.; Pons, X. Spatial patterns of forest fires in Catalonia (NE of Spain) along the period 1975–1995: analysis of vegetation recovery after fire. Forest Ecology and Manag. 2001, 147, 67–74. [Google Scholar] [CrossRef]
- Google Developers. Machine Learning Foundational Courses: Normalization. Available online: https://developers.google.com/machine-learning/data-prep/transform/normalization (accessed on 14 May 2024).
- Skelhorn, C.; Lindley, S.; Levermore, G. The impact of vegetation types on air and surface temperatures in a temperate city: A fine scale assessment in Manchester, UK. Landscape and Urban Planning 2014, 121, 129–140. [Google Scholar] [CrossRef]
- QGIS Development Team. QGIS Geographic Information System 3.32. Open-Source Geospatial Foundation Project. Available online: http://qgis.osgeo.org (accessed on 14 May 2024).
- Sfakianaki, A.; Pagalou, E.; Pavlou, K.; Santamouris, M.; Assimakopoulos, M.N. Theoretical and experimental analysis of the thermal behaviour of a green roof system installed in two residential buildings in Athens, Greece. International Journal of Energy Research 2009, 33, 1059–1069. [Google Scholar] [CrossRef]
- QGIS plugins. Profile Tool. Available online: https://plugins.qgis.org/plugins/profiletool/ (accessed on 14 May 2024).
- Kumari, P.; Kapur, S.; Garg, V.; Kumar, K. Effect of Surface Temperature on Energy Consumption in a Calibrated Building: A Case Study of Delhi. Climate 2020, 8, 71. [Google Scholar] [CrossRef]
- Fung, W.; Lam, K.; Hung, W.; Pang, S.; Lee, Y. Impact of urban temperature on energy consumption of Hong Kong. Energy 2006, 31, 2623–2637. [Google Scholar] [CrossRef]
- Susca, T.; Gaffin, S.R.; Dell’Osso, G.R. Positive effects of vegetation: Urban heat island and green roofs. Environmental Pollution 2011, 159, 2119–2126. [Google Scholar] [CrossRef] [PubMed]
- Kim, J.; Lee, S. Y.; Kang, J. Temperature Reduction Effects of Rooftop Garden Arrangements: A Case Study of Seoul National University. Sustainability 2020, 12, 6032. [Google Scholar] [CrossRef]
- Razzaghmanesh, M.; Beecham, S.; Salemi, T. The role of green roofs in mitigating Urban Heat Island effects in the metropolitan area of Adelaide, South Australia. Urban Forestry & Urban Greening 2016, 15, 89–102. [Google Scholar] [CrossRef]
- Jia, X.; Dukes, M.D.; Miller, G.L. Temperature Increase on Synthetic Turf Grass. World Environmental and Water Resources Congress 2007, 1–20. [Google Scholar] [CrossRef]
- Thoms, A. W.; Brosnan, J. T.; Zidek, J. M.; Sorochan, J. C. Models for Predicting Surface Temperatures on Synthetic Turf Playing Surfaces. Procedia Engineering 2014, 72, 895–900. [Google Scholar] [CrossRef]
- Guo, A.; He, T.; Yue, W.; Xiao, W.; Yang, J.; Zhang, M.; Li, M. Contribution of urban trees in reducing land surface temperature: Evidence from China’s major cities. International Journal of Applied Earth Observation and Geoinformation 2023, 125, 103570. [Google Scholar] [CrossRef]
- Balany, F.; Ng, A.W.; Muttil, N.; Muthukumaran, S.; Wong, M.S. Green infrastructure as an urban heat island mitigation strategy—A review. Water 2020, 12, 3577. [Google Scholar] [CrossRef]
- De Ridder, K.; Maiheu, B.; Lauwaet, D.; Daglis, I.A.; Keramitsoglou, I.; Kourtidis, K.; Manunta, P.; Paganini, M. Urban Heat Island Intensification during Hot Spells—The Case of Paris during the Summer of 2003. Urban Sci. 2017, 1, 3. [Google Scholar] [CrossRef]
- Ngarambe, J.; Santamouris, M.; Yun, G.Y. The Impact of Urban Warming on the Mortality of Vulnerable Populations in Seoul. Sustainability 2022, 14, 13452. [Google Scholar] [CrossRef]
- Mirzaei, P.; Olsthoorn, D.; Torjan, M.; Haghighat, F. Urban neighborhood characteristics influence on a building indoor environment. Sustainable Cities and Society 2015, 19, 403–417. [Google Scholar] [CrossRef]
- USGS [United States Geological Survey]. Landsat Collection 2 known issues. Available online: https://www.usgs.gov/landsat-missions/landsat-collection-2-known-issues#ST (accessed on 14 May 2024).
- Pons, X.; Cea, C.; González-Guerrero, O.; Cristóbal, J. Consideraciones sobre la colección 2 de Landsat. In: XX Congreso de la Asociación Española de Teledetección. Eds. Caballero, I.; Navarro, G.; Barbero, L; Gómez-Enri, J. 2024, Cádiz, Spain.








| Olympic game city |
Olympic year |
AOI urban area (km2) |
Olympic urban planning |
|---|---|---|---|
| Paris’24 | 2024 | 760 | Phase V / Cluster |
| Tokyo’20 | 2021 | 633 | Phase V / Polycentric |
| Rio’16 | 2016 | 1203 | Phase V / Periphery |
| London’12 | 2012 | 1568 | Phase V / Monocentric |
| Beijing’08 | 2008 | 1369 | Phase V / Polycentric |
| Athens’04 | 2004 | 274 | Phase IV / Periphery |
| Sydney’00 | 2000 | 392 | Phase IV / Periphery |
| Atlanta’96 | 1996 | 351 | Phase IV / Monocentric |
| Barcelona’92 | 1992 | 146 | Phase IV / Cluster |
| Seoul’88 | 1988 | 605 | Phase III / Monocentric |
| Los Angeles’84 | 1984 | 3721 | Phase III / Cluster |
| Moscow’80 | 1980 | 1053 | Phase III / Polycentric |
| Montreal’76 | 1976 | 894 | Phase III / Monocentric |
| Munich’72 | 1972 | 310 | Phase III / Monocentric |
| Olympic game | Satellite | WRS2 Path-Row | Start date | End date | N images |
|---|---|---|---|---|---|
| Paris’24 | L8 and L9 | 199-26 | 01/01/2023 | 31/07/2024 | 10 |
| Tokyo’20 | L8 and L9 | 107-35 | 01/01/2020 | 31/12/2024 | 7 |
| Rio’16 | L8 | 217-76 | 01/01/2016 | 31/12/2020 | 17 |
| London’12 | L8 | 201-24 | 11/04/2013 | 31/12/2016 | 5 |
| Beijing’08 | L5 | 123-32 | 01/01/2008 | 31/12/2012 | 19 |
| Athens’04 | L5 | 183-34 | 01/01/2004 | 31/12/2008 | 26 |
| Sydney’00 | L5 and L7 | 089-84 | 01/01/2000 | 31/12/2004 | 30 |
| Atlanta’96 | L5 | 019-37 | 01/01/1996 | 31/12/2000 | 30 |
| Barcelona’92 | L5 | 197-31 | 01/01/1992 | 31/12/1996 | 17 |
| Seoul’88 | L4 and L5 | 116-34 | 01/01/1988 | 31/12/1992 | 21 |
| Los Angeles’84 | L4 and L5 | 041-36 & 37 | 01/01/1984 | 31/12/1988 | 41 |
| Moscow’80 | L4 and L5 | 178-21 | 16/07/1982 | 16/07/1987 | 5 |
| Montreal’76 | L4 and L5 | 014-28 | 16/07/1982 | 16/07/1987 | 12 |
| Munich’72 | L4 and L5 | 193-26 & 27 | 16/07/1982 | 16/07/1987 | 10 |
| LST(K) | NLST | NDVI | NDBI | Pixel count | ||||||||||
|---|---|---|---|---|---|---|---|---|---|---|---|---|---|---|
| Mean | Median | Std. Dev. | Mean | Median | Std. Dev. | Mean | Median | Std. Dev. | Mean | Median | Std. Dev. | |||
| Paris ’24 |
AOI City | 308.54 | 309.13 | 3.81 | –0.15 | –0.10 | 0.29 | 0.22 | 0.20 | 0.12 | –0.07 | –0.05 | 0.09 | 1285931 |
| AOI Olympic | 309.15 | 308.94 | 3.00 | –0.11 | –0.12 | 0.23 | 0.18 | 0.17 | 0.12 | –0.06 | –0.06 | 0.08 | 5955 | |
| Difference | –0.61 | 0.19 | 0.82 | –0.05 | 0.02 | 0.06 | 0.18 | 0.17 | 0.12 | –0.01 | 0.00 | 0.01 | 1279976 | |
| Tokyo ’20 |
AOI City | 303.79 | 304.56 | 2.81 | 0.24 | 0.30 | 0.26 | 0.09 | 0.08 | 0.07 | –0.02 | –0.01 | 0.04 | 867511 |
| AOI Olympic | 300.97 | 300.94 | 2.59 | –0.03 | –0.04 | 0.24 | 0.20 | 0.21 | 0.11 | –0.07 | –0.07 | 0.07 | 7776 | |
| Difference | 2.83 | 3.62 | 0.21 | 0.27 | 0.34 | 0.02 | –0.11 | –0.13 | –0.04 | 0.06 | 0.06 | –0.02 | 859735 | |
| Rio ’16 |
AOI City | 307.85 | 307.88 | 4.07 | –0.17 | –0.16 | 0.29 | 0.23 | 0.25 | 0.12 | –0.07 | –0.07 | 0.10 | 1446446 |
| AOI Olympic | 311.81 | 311.94 | 2.28 | 0.12 | 0.12 | 0.16 | 0.12 | 0.08 | 0.11 | –0.01 | 0.00 | 0.07 | 3154 | |
| Difference | –3.96 | –4.06 | 1.79 | –0.29 | –0.28 | 0.13 | 0.11 | 0.17 | 0.01 | –0.06 | –0.07 | 0.03 | 1443292 | |
| Beijing ’08 |
AOI City | 298.01 | 298.25 | 2.32 | 0.06 | 0.08 | 0.21 | 0.09 | 0.09 | 0.04 | 0.00 | 0.00 | 0.03 | 1988537 |
| AOI Olympic | 296.42 | 296.32 | 1.85 | –0.08 | –0.09 | 0.17 | 0.10 | 0.09 | 0.05 | –0.02 | –0.02 | 0.03 | 36896 | |
| Difference | 1.60 | 1.93 | 0.47 | 0.14 | 0.17 | 0.04 | 0.00 | –0.01 | 0.00 | 0.02 | 0.02 | 0.01 | 1951641 | |
| Sydney ’00 |
AOI City | 296.39 | 295.62 | 3.38 | –0.47 | –0.52 | 0.22 | 0.15 | 0.15 | 0.08 | –0.02 | –0.02 | 0.06 | 525933 |
| AOI Olympic | 296.37 | 296.14 | 3.76 | –0.47 | –0.49 | 0.24 | 0.15 | 0.16 | 0.09 | –0.05 | –0.04 | 0.07 | 5895 | |
| Difference | 0.02 | –0.52 | –0.38 | 0.00 | –0.03 | –0.02 | 0.00 | –0.01 | –0.01 | 0.03 | 0.02 | –0.02 | 520038 | |
| Barcelona ’92 |
AOI City | 303.85 | 304.44 | 3.97 | –0.02 | 0.02 | 0.30 | 0.11 | 0.08 | 0.07 | 0.00 | 0.01 | 0.06 | 217207 |
| AOI Olympic | 303.14 | 303.09 | 1.82 | –0.07 | –0.08 | 0.14 | 0.15 | 0.16 | 0.06 | –0.04 | –0.04 | 0.05 | 4474 | |
| Difference | 0.71 | 1.34 | 2.15 | 0.05 | 0.10 | 0.16 | –0.04 | –0.07 | 0.01 | 0.04 | 0.05 | 0.01 | 212733 | |
| Seoul ’88 |
AOI City | 290.35 | 290.69 | 2.46 | –0.03 | 0.01 | 0.24 | 0.08 | 0.06 | 0.05 | 0.00 | 0.00 | 0.03 | 850246 |
| AOI Olympic | 292.40 | 292.28 | 1.43 | 0.17 | 0.16 | 0.14 | 0.09 | 0.08 | 0.04 | 0.00 | 0.00 | 0.02 | 2970 | |
| Difference | –2.05 | –1.59 | 1.03 | –0.20 | –0.15 | 0.10 | –0.01 | –0.02 | 0.01 | 0.00 | 0.00 | 0.01 | 847276 | |
| Montreal ’76 |
AOI City | 298.62 | 299.38 | 3.91 | 0.41 | 0.45 | 0.22 | 0.22 | 0.22 | 0.12 | –0.08 | –0.07 | 0.07 | 1421374 |
| AOI Olympic | 299.11 | 298.44 | 2.52 | 0.44 | 0.40 | 0.14 | 0.27 | 0.32 | 0.13 | –0.10 | –0.12 | 0.06 | 2967 | |
| Difference | –0.49 | 0.93 | 1.39 | –0.03 | 0.04 | 0.08 | –0.05 | –0.10 | –0.01 | 0.02 | 0.05 | 0.00 | 1418407 | |
Disclaimer/Publisher’s Note: The statements, opinions and data contained in all publications are solely those of the individual author(s) and contributor(s) and not of MDPI and/or the editor(s). MDPI and/or the editor(s) disclaim responsibility for any injury to people or property resulting from any ideas, methods, instructions or products referred to in the content. |
© 2024 by the authors. Licensee MDPI, Basel, Switzerland. This article is an open access article distributed under the terms and conditions of the Creative Commons Attribution (CC BY) license (http://creativecommons.org/licenses/by/4.0/).
