Submitted:
25 July 2024
Posted:
25 July 2024
You are already at the latest version
Abstract
Keywords:
1. Introduction
2. Results
2.1. Expression Pattern of FaNPR Gene Family after Transient Silencing and Overexpression of the FaNPR3 Members in Strawberry Fruit
2.2. The Silencing of FaNPR3 Genes in Strawberry Fruit Reduced Fruit Tissue Damage after C. acutatum Inoculation
2.3. Analysis of Defense Related Genes in Strawberry Fruit Silenced in FaNPR3 Genes
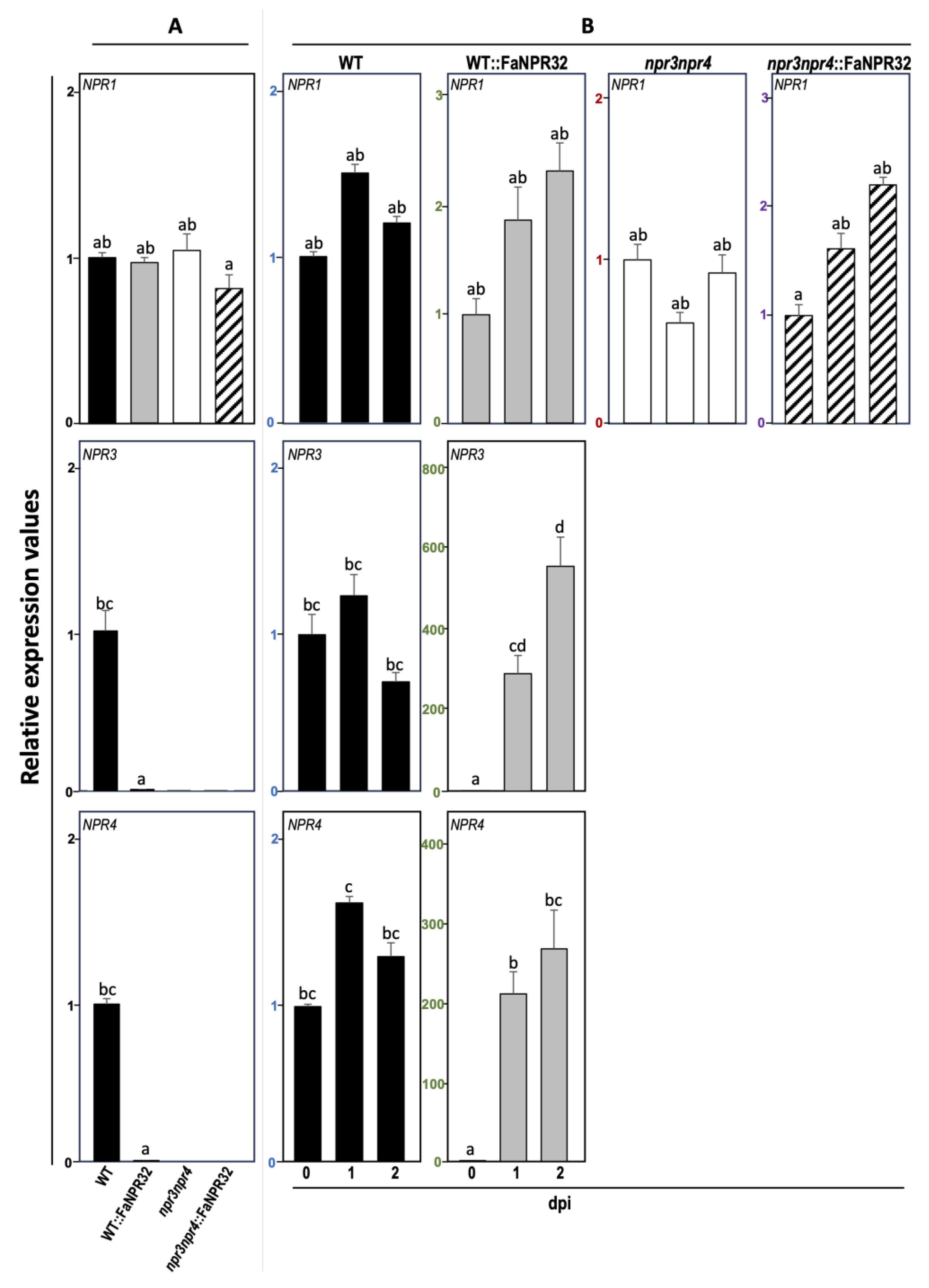
2.4. The Strawberry FaNPR3.2 Gene Complements the Arabidopsis Atnpr3npr4 Double Mutant Disease Resistance Phenotype
2.5. Changes in the expression profile of defence-related genes in Arabidopsis
3. Discussion
3.1. Members of the FaNPR3 Clade Negatively Modulate Strawberry Fruit Resistance Against Colletotrichum acutatum
3.2. FaNPR3.2 Negatively Modulates Resistance in Arabidopsis
3.3. Silencing of FaNPR3 Members in Strawberry Fruit Downregulates FaWRKY19 and FaWRKY24 Gene Expression
3.4. Resistance to Pseudomonas syringae in Arabidopsis Plants Overexpressing FaNPR3.2 is Uncoupled from PRs Gene Expression
4. Materials and Methods
4.1. Biological Material, Growing Conditions, and Pathogen and Elicitor Treatments
4.2. Plasmid Construction for Silencing and Overexpressing FaNPR3 Genes
4.3. Agroinfiltration of Strawberry Fruit and Experimental Design
4.4. Stable Transformation of Arabidopsis Plants
4.5. Arabidopsis Infection Assay with Pseudomonas syringae
4.6. RNA Extraction and Real-Time qPCR
4.7. Assessment and Statistical Analysis after Pathogen Infection
5. Conclusions
Supplementary Materials
Author Contributions
Funding
Acknowledgments
Conflicts of Interest
References
- Mezzetti, B.; Giampieri, F.; Zhang, Y.-t.; Zhong, C.-f. Status of strawberry breeding programs and cultivation systems in Europe and the rest of the world. Journal of Berry Research 2018, 8, 205. [Google Scholar] [CrossRef]
- Battino, M.; Beekwilder, J.; Denoyes-Rothan, B.; Laimer, M.; McDougall, G.J.; Mezzetti, B. Bioactive compounds in berries relevant to human health. Nutrition Reviews 2009, 67, S145. [Google Scholar] [CrossRef] [PubMed]
- Giampieri, F.; Alvarez-Suarez, J.M.; Cordero, M.D.; Gasparrini, M.; Forbes-Hernandez, T.Y.; Afrin, S.; Santos-Buelga, C.; González-Paramás, A.M.; Astolfi, P.; Rubini, C.; et al. Strawberry consumption improves aging-associated impairments, mitochondrial biogenesis and functionality through the AMP-activated protein kinase signaling cascade. Food Chemistry 2017, 234, 464. [Google Scholar] [CrossRef] [PubMed]
- Chen, T.; Shi, N.; Afzali, A. Chemopreventive Effects of Strawberry and Black Raspberry on Colorectal Cancer in Inflammatory Bowel Disease. Nutrients 2019, 11, 1261. [Google Scholar] [CrossRef] [PubMed]
- Lucioli, S.; Pastorino, F.; Nota, P.; Ballan, G.; Frattarelli, A.; Fabbri, A.; Forni, C.; Caboni, E. Extracts from Cell Suspension Cultures of Strawberry (Fragaria x ananassa Duch): Cytotoxic Effects on Human Cancer Cells. Molecules 2019, 24, 1738. [Google Scholar] [CrossRef] [PubMed]
- Maas, J.L. Compendium of Strawberry Diseases, 2nd ed.; Maas, J.L., Ed.; APS Press, The American phytopathological Society: St. Paul, 1998. [Google Scholar]
- Prusky, D.; Freeman, S.; Dickman, M.B. Colletotrichum: Host Specificity, Pathology, and Host-pathogen Interaction; APS Press, 2000. [Google Scholar]
- Freeman, S.; Horowitz, S.; Sharon, A. Pathogenic and Nonpathogenic Lifestyles in Colletotrichum acutatum from Strawberry and Other Plants. Phytopathology® 2001, 91, 986. [Google Scholar] [CrossRef] [PubMed]
- Garrido, C.; Carbú, M.; Fernández-Acero, F.; Gonzalez Rodriguez, V.E.; Cantoral, J. New insight in the study of strawberry fungal pathogens. G3-Genes Genomes Genetics 2011, 5, 24–39. [Google Scholar]
- Ji, Y.; Li, X.; Gao, Q.-H.; Geng, C.; Duan, K. Colletotrichum species pathogenic to strawberry: discovery history, global diversity, prevalence in China, and the host range of top two species. Phytopathology Research 2022, 4, 42. [Google Scholar] [CrossRef]
- López-Aranda, J.M.; Domínguez, P.; Miranda, L.; de los Santos, B.; Talavera, M.; Daugovish, O.; Soria, C.; Chamorro, M.; Medina, J.J. Fumigant Use for Strawberry Production in Europe: The Current Landscape and Solutions. International Journal of Fruit Science 2016, 16, 1. [Google Scholar] [CrossRef]
- Shulaev, V.; Sargent, D.J.; Crowhurst, R.N.; Mockler, T.C.; Folkerts, O.; Delcher, A.L.; Jaiswal, P.; Mockaitis, K.; Liston, A.; Mane, S.P.; et al. The genome of woodland strawberry (Fragaria vesca). Nature Genetics 2011, 43, 109. [Google Scholar] [CrossRef]
- Edger, P.P.; Poorten, T.J.; VanBuren, R.; Hardigan, M.A.; Colle, M.; McKain, M.R.; Smith, R.D.; Teresi, S.J.; Nelson, A.D.L.; Wai, C.M.; et al. Origin and evolution of the octoploid strawberry genome. Nature Genetics 2019, 51, 541. [Google Scholar] [CrossRef] [PubMed]
- Folta, K.M.; Barbey, C.R. The strawberry genome: a complicated past and promising future. Horticulture Research 2019, 6. [Google Scholar] [CrossRef] [PubMed]
- Cockerton, H.M.; Karlström, A.; Johnson, A.W.; Li, B.; Stavridou, E.; Hopson, K.J.; Whitehouse, A.B.; Harrison, R.J. Genomic Informed Breeding Strategies for Strawberry Yield and Fruit Quality Traits. Frontiers in Plant Science 2021, 12. [Google Scholar] [CrossRef] [PubMed]
- Qiao, Q.; Edger, P.P.; Xue, L.; Qiong, L.; Lu, J.; Zhang, Y.; Cao, Q.; Yocca, A.E.; Platts, A.E.; Knapp, S.J.; et al. Evolutionary history and pan-genome dynamics of strawberry (Fragaria spp.). Proceedings of the National Academy of Sciences 2021, 118, e2105431118. [Google Scholar] [CrossRef] [PubMed]
- Lazzeri, L.; Baruzzi, G.; Malaguti, L.; Antoniacci, L. Replacing methyl bromide in annual strawberry production with glucosinolate-containing green manure crops. Pest Management Science 2003, 59, 983. [Google Scholar] [CrossRef] [PubMed]
- Samtani, J.B.; Ajwa, H.A.; Weber, J.B.; Browne, G.T.; Klose, S.; Hunzie, J.; Fennimore, S.A. Evaluation of non-fumigant alternatives to methyl bromide for weed control and crop yield in California strawberries (Fragaria ananassa L.). Crop Protection 2011, 30, 45. [Google Scholar] [CrossRef]
- Koron, D.; Sonjak, S.; Regvar, M. Effects of non-chemical soil fumigant treatments on root colonisation with arbuscular mycorrhizal fungi and strawberry fruit production. Crop Protection 2014, 55, 35. [Google Scholar] [CrossRef]
- Ugolini, L.; Martini, C.; Lazzeri, L.; D’Avino, L.; Mari, M. Control of postharvest grey mould (Botrytis cinerea Per.: Fr.) on strawberries by glucosinolate-derived allyl-isothiocyanate treatments. Postharvest Biology and Technology 2014, 90, 34. [Google Scholar] [CrossRef]
- Giovannini, D.; Brandi, F.; Lanteri, A.P.; Lazzeri, L.; Maltoni, M.L.; Matteo, R.; Minuto, A.; Sbrighi, P.; Stagno, F.; Baruzzi, G. Non-Chemical Soil Fumigation for Sustainable Strawberry Production in Southern Italy. Agronomy 2021, 11, 1678. [Google Scholar] [CrossRef]
- Alaphilippe, A.; Casagrande, M.; Varlet, M.; Laurens, F. Friendly Fruit Outcomes: Environment-friendly innovations in strawberry production; hal-03467291; Inrae, 2021. [Google Scholar]
- Datta, A. Genetic engineering for improving quality and productivity of crops. Agriculture & Food Security 2013, 2, 15. [Google Scholar] [CrossRef]
- Qaim, M.; Kouser, S. Genetically modified crops and food security. PloS one 2013, 8, e64879. [Google Scholar] [CrossRef] [PubMed]
- Parisi, C.; Tillie, P.; Rodríguez-Cerezo, E. The global pipeline of GM crops out to 2020. Nature Biotechnoly 2016, 34, 31. [Google Scholar] [CrossRef]
- ISAAA. Global Status of Commercialized Biotech/GM Crops in 2019: Biotech Crops Drive Socio-Economic Development and Sustainable Environment in the New Frontier. 2019.
- Database, I.s.G.A. GM Approval Database. 2024.
- Asao, H.; Nishizawa, Y.; Arai, S.; Sato, T.; Hirai, M.; Yoshida, K.; Shinmyo, A.; Hibi, T. Enhanced Resistance against a Fungal Pathogen Sphaerotheca humuli in Transgenic Strawberry Expressing a Rice Chitinase Gene. Plant Biotechnology 1997, 14, 145–149. [Google Scholar] [CrossRef]
- Asao, H.; Arai, S.; Nishizawa, Y. Environmental risk evaluation of transgenic strawberry expressing a rice chitinase gene. Journal of Bioscience and Bioengineering 2003, 95, 206. [Google Scholar] [CrossRef]
- Chalavi, V.; Tabaeizadeh, Z.; Thibodeau, P. Enhanced Resistance to Verticillium dahliae in Transgenic Strawberry Plants Expressing a Lycopersicon chilense Chitinase Gene. Journal of the American Society for Horticultural Science jashs 2003, 128, 747. [Google Scholar] [CrossRef]
- Schestibratov, K.A.; Dolgov, S.V. Transgenic strawberry plants expressing a thaumatin II gene demonstrate enhanced resistance to Botrytis cinerea. Scientia Horticulturae 2005, 106, 177. [Google Scholar] [CrossRef]
- Vellicce, G.R.; Ricci, J.C.D.; Hernández, L.; Castagnaro, A.P. Enhanced Resistance to Botrytis cinerea Mediated by the Transgenic Expression of the Chitinase Gene ch5B in Strawberry. Transgenic Research 2006, 15, 57. [Google Scholar] [CrossRef]
- Qin, Y.; Teixeira da Silva, J.A.; Zhang, L.; Zhang, S. Transgenic strawberry: State of the art for improved traits. Biotechnology Advances 2008, 26, 219. [Google Scholar] [CrossRef]
- Mercado, J.A.; Barceló, M.; Pliego, C.; Rey, M.; Caballero, J.L.; Muñoz-Blanco, J.; Ruano-Rosa, D.; López-Herrera, C.; de los Santos, B.; Romero-Muñoz, F.; et al. Expression of the β-1,3-glucanase gene bgn13.1 from Trichoderma harzianum in strawberry increases tolerance to crown rot diseases but interferes with plant growth. Transgenic Research 2015, 24, 979. [Google Scholar] [CrossRef]
- Palomo-Ríos, E.; Quesada, M.A.; Matas, A.J.; Pliego-Alfaro, F.; Mercado, J.A. The History and Current Status of Genetic Transformation in Berry Crops. In The Genomes of Rosaceous Berries and Their Wild Relatives; Hytönen, T., Graham, J., Harrison, R., Eds.; Springer International Publishing: Cham, 2018; pp. 139–160. [Google Scholar]
- Rommens, C.M. Intragenic Crop Improvement: Combining the Benefits of Traditional Breeding and Genetic Engineering. Journal of Agricultural and Food Chemistry 2007, 55, 4281. [Google Scholar] [CrossRef]
- Sticklen, M. Transgenic, Cisgenic, Intragenic and Subgenic Crops. Advances Crop Science Technology 2015, 3. [Google Scholar] [CrossRef]
- Thapa, B.; Joshi, T.; Jangid, K.; Basnet, P. Cisgenesis: Genetic engineering introduced spark to traditional breeding methods. Research Environment Life Science 2015, 8, 757. [Google Scholar]
- Limera, C.; Sabbadini, S.; Sweet, J.B.; Mezzetti, B. New Biotechnological Tools for the Genetic Improvement of Major Woody Fruit Species. Frontiers in Plant Science 2017, 8. [Google Scholar] [CrossRef] [PubMed]
- Súnico, V.; Higuera, J.J.; Molina-Hidalgo, F.J.; Blanco-Portales, R.; Moyano, E.; Rodríguez-Franco, A.; Muñoz-Blanco, J.; Caballero, J.L. The Intragenesis and Synthetic Biology Approach towards Accelerating Genetic Gains on Strawberry: Development of New Tools to Improve Fruit Quality and Resistance to Pathogens. Plants 2022, 11, 57. [Google Scholar] [CrossRef] [PubMed]
- Cordova, L.G.; Amiri, A.; Peres, N.A. Effectiveness of fungicide treatments following the Strawberry Advisory System for control of Botrytis fruit rot in Florida. Crop Protection 2017, 100, 163. [Google Scholar] [CrossRef]
- Amil-Ruiz, F.; Blanco-Portales, R.; Munoz-Blanco, J.; Caballero, J.L. The Strawberry Plant Defense Mechanism: A Molecular Review. Plant and Cell Physiology 2011, 52, 1873. [Google Scholar] [CrossRef]
- Barbey, C.R.; Lee, S.; Verma, S.; Bird, K.A.; Yocca, A.E.; Edger, P.P.; Knapp, S.J.; Whitaker, V.M.; Folta, K.M. Disease Resistance Genetics and Genomics in Octoploid Strawberry. G3 Genes, Genomes, Genetics 2019, 9, 3315. [Google Scholar] [CrossRef] [PubMed]
- Encinas-Villarejo, S.; Maldonado, A.M.; Amil-Ruiz, F.; de los Santos, B.; Romero, F.; Pliego-Alfaro, F.; Munoz-Blanco, J.; Caballero, J.L. Evidence for a positive regulatory role of strawberry (Fragaria x ananassa) FaWRKY1 and Arabidopsis AtWRKY75 proteins in resistance. Journal of Experimental Botany 2009, 60, 3043. [Google Scholar] [CrossRef] [PubMed]
- Amil-Ruiz, F.; Garrido-Gala, J.; Gadea, J.; Blanco-Portales, R.; Munoz-Merida, A.; Trelles, O.; de los Santos, B.; Arroyo, F.T.; Aguado-Puig, A.; Romero, F.; et al. Partial Activation of SA- and JA-Defensive Pathways in Strawberry upon Colletotrichum acutatum Interaction. Frontiers in Plant Science 2016, 7. [Google Scholar] [CrossRef]
- Amil-Ruiz, F.; Encinas-Villarejo, S.; Munoz-Blanco, J.; Caballero, J.L.; De Los Santos, B.; Romero, F.; Munoz-Mérida, A.; Trelles, O.; Mercado, J.A.; Pliego-Alfaro, F. Distinctive transcriptome response of two strawberry (Fragaria x ananassa) cultivars to Colletotrichum acutatum infection; Acta Horticulturae 2012, 929, 47, WOS:000314786100005.
- Garrido-Gala, J.; Higuera, J.J.; Muñoz-Blanco, J.; Amil-Ruiz, F.; Caballero, J.L. The VQ motif-containing proteins in the diploid and octoploid strawberry. Scientific Reports 2019, 9, 4942. [Google Scholar] [CrossRef]
- Higuera, J.J.; Garrido-Gala, J.; Lekhbou, A.; Arjona-Girona, I.; Amil-Ruiz, F.; Mercado, J.A.; Pliego-Alfaro, F.; Muñoz-Blanco, J.; López-Herrera, C.J.; Caballero, J.L. The Strawberry FaWRKY1 Transcription Factor Negatively Regulates Resistance to Colletotrichum acutatum in Fruit Upon Infection. Frontiers in Plant Science 2019, 10, 17. [Google Scholar] [CrossRef]
- Bai, Y.; Li, Z.; Zhu, J.; Chen, S.; Dong, C.; Gao, Q.; Duan, K. Unraveling NPR-like Family Genes in Fragaria spp. Facilitated to Identify Putative NPR1 and NPR3/4 Orthologues Participating in Strawberry-Colletotrichum fructicola Interaction. Plants 2022, 11, 1589. [Google Scholar] [CrossRef] [PubMed]
- Garrido-Gala, J.; Higuera, J.J.; Rodríguez-Franco, A.; Muñoz-Blanco, J.; Amil-Ruiz, F.; Caballero, J.L. A Comprehensive Study of the WRKY Transcription Factor Family in Strawberry. Plants-Basel 2022, 11, 26. [Google Scholar] [CrossRef] [PubMed]
- Caro, M.D.P.; Pott, D.M.; Tomas-Grau, R.H.; Perato, M.; Albornoz, P.L.; Díaz-Ricci, J.C.; Osorio, S.; Salazar, S.M.; Moschen, S. Defence responses triggered during the plant-pathogen interaction between strawberry (Fragaria x ananassa) and Colletotrichum acutatum. Plant Stress 2023, 10, 100219. [Google Scholar] [CrossRef]
- Lee, M.B.; Han, H.; Lee, S. The role of WRKY transcription factors, FaWRKY29 and FaWRKY64, for regulating Botrytis fruit rot resistance in strawberry (Fragaria × ananassa Duch.). BMC Plant Biology 2023, 23, 420. [Google Scholar] [CrossRef]
- Zhou, P.; Zavaliev, R.; Xiang, Y.; Dong, X. Seeing is believing: Understanding functions of NPR1 and its paralogs in plant immunity through cellular and structural analyses. Current Opinion in Plant Biology 2023, 73, 102352. [Google Scholar] [CrossRef]
- Zavaliev, R.; Dong, X. NPR1, a key immune regulator for plant survival under biotic and abiotic stresses. Molecular Cell 2024, 84, 131. [Google Scholar] [CrossRef]
- Zhang, Y.; Cheng, Y.T.; Qu, N.; Zhao, Q.; Bi, D.; Li, X. Negative regulation of defense responses in Arabidopsis by two NPR1 paralogs. The Plant Journal 2006, 48, 647. [Google Scholar] [CrossRef]
- Després, C.; DeLong, C.; Glaze, S.; Liu, E.; Fobert, P.R. The Arabidopsis NPR1/NIM1 Protein Enhances the DNA Binding Activity of a Subgroup of the TGA Family of bZIP Transcription Factors. The Plant Cell 2000, 12, 279. [Google Scholar] [CrossRef] [PubMed]
- Zhang, Y.; Fan, W.; Kinkema, M.; Li, X.; Dong, X. Interaction of NPR1 with basic leucine zipper protein transcription factors that bind sequences required for salicylic acid induction of the PR-1 gene. Proceedings of the National Academy of Sciences 1999, 96, 6523. [Google Scholar] [CrossRef]
- Zhou, J.-M.; Trifa, Y.; Silva, H.; Pontier, D.; Lam, E.; Shah, J.; Klessig, D.F. NPR1 Differentially Interacts with Members of the TGA/OBF Family of Transcription Factors That Bind an Element of the PR-1 Gene Required for Induction by Salicylic Acid. Molecular Plant-Microbe Interactions® 2000, 13, 191. [Google Scholar] [CrossRef] [PubMed]
- Ding, Y.; Sun, T.; Ao, K.; Peng, Y.; Zhang, Y.; Li, X.; Zhang, Y. Opposite Roles of Salicylic Acid Receptors NPR1 and NPR3/NPR4 in Transcriptional Regulation of Plant Immunity. Cell 2018, 173, 1454–e1415. [Google Scholar] [CrossRef] [PubMed]
- Fu, Z.Q.; Yan, S.; Saleh, A.; Wang, W.; Ruble, J.; Oka, N.; Mohan, R.; Spoel, S.H.; Tada, Y.; Zheng, N.; et al. NPR3 and NPR4 are receptors for the immune signal salicylic acid in plants. Nature 2012, 486, 228. [Google Scholar] [CrossRef] [PubMed]
- Liu, L.; Sonbol, F.-M.; Huot, B.; Gu, Y.; Withers, J.; Mwimba, M.; Yao, J.; He, S.Y.; Dong, X. Salicylic acid receptors activate jasmonic acid signalling through a non-canonical pathway to promote effector-triggered immunity. Nature Communications 2016, 7, 13099. [Google Scholar] [CrossRef]
- Makandar, R.; Essig, J.S.; Schapaugh, M.A.; Trick, H.N.; Shah, J. Genetically Engineered Resistance to Fusarium Head Blight in Wheat by Expression of Arabidopsis NPR1. Molecular Plant-Microbe Interactions® 2006, 19, 123. [Google Scholar] [CrossRef] [PubMed]
- Malnoy, M.; Jin, Q.; Borejsza-Wysocka, E.E.; He, S.Y.; Aldwinckle, H.S. Overexpression of the Apple MpNPR1 Gene Confers Increased Disease Resistance in Malus × domestica. Molecular Plant-Microbe Interactions® 2007, 20, 1568. [Google Scholar] [CrossRef] [PubMed]
- Meur, G.; Budatha, M.; Srinivasan, T.; Rajesh Kumar, K.R.; Dutta Gupta, A.; Kirti, P.B. Constitutive expression of Arabidopsis NPR1 confers enhanced resistance to the early instars of Spodoptera litura in transgenic tobacco. Physiologia Plantarum 2008, 133, 765. [Google Scholar] [CrossRef] [PubMed]
- Wally, O.; Jayaraj, J.; Punja, Z.K. Broad-spectrum disease resistance to necrotrophic and biotrophic pathogens in transgenic carrots (Daucus carota L.) expressing an Arabidopsis NPR1 gene. Planta 2009, 231, 131. [Google Scholar] [CrossRef]
- Lin, W.-C.; Lu, C.-F.; Wu, J.-W.; Cheng, M.-L.; Lin, Y.-M.; Yang, N.-S.; Black, L.; Green, S.K.; Wang, J.-F.; Cheng, C.-P. Transgenic tomato plants expressing the Arabidopsis NPR1 gene display enhanced resistance to a spectrum of fungal and bacterial diseases. Transgenic Research 2004, 13, 567. [Google Scholar] [CrossRef]
- Zhang, X.; Francis, M.I.; Dawson, W.O.; Graham, J.H.; Orbović, V.; Triplett, E.W.; Mou, Z. Over-expression of the Arabidopsis NPR1 gene in citrus increases resistance to Citrus canker. European Journal of Plant Pathology 2010, 128, 91. [Google Scholar] [CrossRef]
- Silva, K.J.P.; Mahna, N.; Mou, Z.; Folta, K.M. NPR1 as a transgenic crop protection strategy in horticultural species. Horticulture Research 2018, 5, 15. [Google Scholar] [CrossRef] [PubMed]
- Gurr, S.J.; Rushton, P.J. Engineering plants with increased disease resistance: what are we going to express? Trends Biotechnology 2005, 23, 275. [Google Scholar] [CrossRef] [PubMed]
- Chern, M.; Fitzgerald, H.A.; Canlas, P.E.; Navarre, D.A.; Ronald, P.C. Overexpression of a Rice NPR1 Homolog Leads to Constitutive Activation of Defense Response and Hypersensitivity to Light. Molecular Plant-Microbe Interactions® 2005, 18, 511. [Google Scholar] [CrossRef] [PubMed]
- Xu, G.; Yuan, M.; Ai, C.; Liu, L.; Zhuang, E.; Karapetyan, S.; Wang, S.; Dong, X. uORF-mediated translation allows engineered plant disease resistance without fitness costs. Nature 2017, 545, 491. [Google Scholar] [CrossRef] [PubMed]
- Shu, L.-J.; Liao, J.-Y.; Lin, N.-C.; Chung, C.-L. Identification of a strawberry NPR-like gene involved in negative regulation of the salicylic acid-mediated defense pathway. PLOS ONE 2018, 13, e0205790. [Google Scholar] [CrossRef] [PubMed]
- Wang, W.; Withers, J.; Li, H.; Zwack, P.J.; Rusnac, D.-V.; Shi, H.; Liu, L.; Yan, S.; Hinds, T.R.; Guttman, M.; et al. Structural basis of salicylic acid perception by Arabidopsis NPR proteins. Nature 2020, 586, 311. [Google Scholar] [CrossRef] [PubMed]
- Wang, X.; Gao, Y.; Yan, Q.; Chen, W. Salicylic acid promotes autophagy via NPR3 and NPR4 in Arabidopsis senescence and innate immune response. Acta Physiologiae Plantarum 2016, 38, 241. [Google Scholar] [CrossRef]
- Eulgem, T.; Somssich, I.E. Networks of WRKY transcription factors in defense signaling. Special Issue on Biotic Interactions Current Opinion in Plant Biology 2007, 10, 366. [Google Scholar] [CrossRef] [PubMed]
- Birkenbihl, R.P.; Liu, S.; Somssich, I.E. Transcriptional events defining plant immune responses. 38 Biotic interactions 2017 2017, 38, 1. [Google Scholar] [CrossRef]
- Zheng, Z.; Qamar, S.A.; Chen, Z.; Mengiste, T. Arabidopsis WRKY33 transcription factor is required for resistance to necrotrophic fungal pathogens. The Plant Journal 2006, 48, 592. [Google Scholar] [CrossRef]
- Zhang, W.; Zhao, F.; Jiang, L.; Chen, C.; Wu, L.; Liu, Z. Different Pathogen Defense Strategies in Arabidopsis: More than Pathogen Recognition. Cells 2018, 7, 252. [Google Scholar] [CrossRef] [PubMed]
- Tao, Z.; Liu, H.; Qiu, D.; Zhou, Y.; Li, X.; Xu, C.; Wang, S. A Pair of Allelic WRKY Genes Play Opposite Roles in Rice-Bacteria Interactions. Plant Physiology 2009, 151, 936. [Google Scholar] [CrossRef]
- Zheng, Z.; Mosher, S.L.; Fan, B.; Klessig, D.F.; Chen, Z. Functional analysis of Arabidopsis WRKY25 transcription factor in plant defense against Pseudomonas syringae. BMC Plant Biology 2007, 7, 2. [Google Scholar] [CrossRef] [PubMed]
- Glazebrook, J. Contrasting Mechanisms of Defense Against Biotrophic and Necrotrophic Pathogens. Annual Review of Phytopathology 2005, 43, 205. [Google Scholar] [CrossRef]
- Zeier, J.; Pink, B.; Mueller, M.J.; Berger, S. Light conditions influence specific defence responses in incompatible plant–pathogen interactions: uncoupling systemic resistance from salicylic acid and PR-1 accumulation. Planta 2004, 219, 673. [Google Scholar] [CrossRef] [PubMed]
- Aerts, N.; Pereira Mendes, M.; Van Wees, S.C.M. Multiple levels of crosstalk in hormone networks regulating plant defense. The Plant Journal 2021, 105, 489. [Google Scholar] [CrossRef]
- Maier, F.; Zwicker, S.; Hückelhoven, A.; Meissner, M.; Funk, J.; Pfitzner, A.J.P.; Pfitzner, U.M. NONEXPRESSOR OF PATHOGENESIS-RELATED PROTEINS1 (NPR1) and some NPR1-related proteins are sensitive to salicylic acid. Molecular Plant Pathology 2011, 12, 73. [Google Scholar] [CrossRef]
- Aharoni, A.; O’Connell, A.P. Gene expression analysis of strawberry achene and receptacle maturation using DNA microarrays. Journal of Experimental Botany 2002, 53, 2073. [Google Scholar] [CrossRef]
- Karimi, M.; Inzé, D.; Depicker, A. GATEWAY vectors for Agrobacterium-mediated plant transformation. Trends Plant Science 2002, 7, 193. [Google Scholar] [CrossRef]
- Koncz, C.; Martini, N.; Mayerhofer, R.; Koncz-Kalman, Z.; Körber, H.; Redei, G.P.; Schell, J. High-frequency T-DNA-mediated gene tagging in plants. Proceedings of the National Academy of Sciences 1989, 86, 8467. [Google Scholar] [CrossRef]
- Clough, S.J.; Bent, A.F. Floral dip: a simplified method for Agrobacterium -mediated transformation of Arabidopsis thaliana. The Plant Journal 1998, 16, 735. [Google Scholar] [CrossRef] [PubMed]
- Maldonado, A.M.; Doerner, P.; Dixon, R.A.; Lamb, C.J.; Cameron, R.K. A putative lipid transfer protein involved in systemic resistance signalling in Arabidopsis. Nature 2002, 419, 399. [Google Scholar] [CrossRef] [PubMed]
- Alvarez, M.a.E.; Pennell, R.I.; Meijer, P.-J.; Ishikawa, A.; Dixon, R.A.; Lamb, C. Reactive Oxygen Intermediates Mediate a Systemic Signal Network in the Establishment of Plant Immunity. Cell 1998, 92, 773. [Google Scholar] [CrossRef] [PubMed]
- Livak, K.J.; Schmittgen, T.D. Analysis of Relative Gene Expression Data Using Real-Time Quantitative PCR and the 2−ΔΔCT. Methods. 2001, 25, 402. [Google Scholar] [CrossRef]
- Amil-Ruiz, F.; Garrido-Gala, J.; Blanco-Portales, R.; Folta, K.M.; Munoz-Blanco, J.; Caballero, J.L. Identification and Validation of Reference Genes for Transcript Normalization in Strawberry (Fragaria x ananassa) Defense Responses. Plos One 2013, 8. [Google Scholar] [CrossRef]








Disclaimer/Publisher’s Note: The statements, opinions and data contained in all publications are solely those of the individual author(s) and contributor(s) and not of MDPI and/or the editor(s). MDPI and/or the editor(s) disclaim responsibility for any injury to people or property resulting from any ideas, methods, instructions or products referred to in the content. |
© 2024 by the authors. Licensee MDPI, Basel, Switzerland. This article is an open access article distributed under the terms and conditions of the Creative Commons Attribution (CC BY) license (http://creativecommons.org/licenses/by/4.0/).
