Preprint
Article

This version is not peer-reviewed.

Comparative Effect of Fish Feeds on the Growth and Survival Rate of the Redbreast Tilapia (Coptodon rendalli) under Intensive Culture Conditions

A peer-reviewed article of this preprint also exists.

Submitted:

22 July 2024

Posted:

23 July 2024

You are already at the latest version

Abstract
This study compares the effects of three supplementary diets—Egg yolk, Artemia, and Commercial pellets with 48% crude protein—on the growth performance and survival rate of red-breast tilapia (Coptodon rendalli) under intensive culture conditions at the Kamutjonga Inland Fisheries Institute in the Kavango East region of Namibia. The study was conducted from December 2023 to January 2024, using a complete randomized design replicated three times. Results showed that fish fed with Commercial pellets exhibited the highest specific growth rate (1.39±0.80%) com-pared to Egg yolk (0.94±0.54%) and Artemia (0.33±0.19%). Commercial pellets also had the best survival rate (254 ± 146.66), compare to Egg York and Artemia (70.47±40.69;33±19.05) respective-ly. However, egg yolk had the best feed conversion ratio (204±117.74), compared to Commercial (219 ± 127.17) and Artemia (254±146.66). Critical water quality parameters were maintained within acceptable survival ranges for C. rendalli across all treatments. These findings highlight the importance of dietary protein content in optimizing the growth and survival of C. rendalli under intensive culture conditions and provide insights for effective feeding strategies. However, Commercial pellets are expensive and inaccessible to small-scale fish farmers. As an alternative, egg yolk emerged as a viable and affordable feed option, promoting fish growth and sup-porting the establishment of small-scale fish farming practices in the region.
Keywords: 
;  ;  ;  ;  ;  

1. Introduction

The aquaculture industry in Africa is experiencing significant growth, driven by the rising demand for fish as a protein source and the need for sustainable food production systems. However, one of the most pressing challenges faced by fish farmers across the continent is the high cost and limited availability of quality fish feeds [1]. Traditional fish feeds, primarily composed of fishmeal and oil, are becoming increasingly expensive and unsustainable due to overfishing and environmental concerns. Consequently, there is a growing interest in the utilization of alternative fish feeds, which can provide a cost-effective and sustainable solution for aquaculture [2,3]
Research into alternative fish feeds has identified several promising sources, including plant-based ingredients, agricultural by-products, and insect meals. Studies have shown that these alternatives can partially or wholly replace traditional fishmeal without compromising various fish species’ growth performance and health. For instance, a study by [4] highlighted the potential of plant proteins, such as soybean meal and corn gluten meal, as viable alternatives to fishmeal in aqua feeds. Similarly, research conducted by [5] demonstrated that insect meal, particularly from black soldier fly larvae, could serve as a sustainable protein source for aquaculture.
Adopting alternative fish feeds is particularly critical due to the region’s economic and environmental conditions in Africa [6]. Sub-Saharan Africa, in particular, faces challenges such as limited access to high-quality fishmeal, high feed costs, and fluctuating availability of raw materials. As a result, fish farmers are increasingly turning to locally available resources to formulate cost-effective feeds. For example, a study by [7] in Kenya evaluated agricultural by-products, such as rice bran and cottonseed cake, in tilapia diets, which effectively promote fish growth and reduce feed costs.
Among the various aquatic species cultivated worldwide, tilapia has emerged as one of the most prominent culture target species, owing to its hardy nature, rapid growth, and widespread consumer acceptance. Among the various species cultivated [8], the Redbreast Tilapia (C. rendalli) holds significant potential due to its adaptability to different environmental conditions and its preference for local diets, particularly in Sub-Saharan Africa [9,10]. The cultivation of C. rendalli has gained attention in recent years, as it offers a promising avenue for enhancing food security and livelihood opportunities in many developing regions [11]. This fish species is known for its resilience, tolerance to a wide range of water quality parameters, and ability to thrive in fresh and brackish environments [8]. The growth and survival rate of aquaculture species such as C. rendalli can be significantly influenced by various factors, among which the type of feed plays a pivotal role [5,12].
Type of feed does not only affects the physiological and health status of the cultured fish but also impacts the economic viability of aquaculture operations, given that feed costs represent a substantial portion of total production expenses [13]. Previous studies in Sub-haram Africa have investigated the effects of different feed types on tilapia species, revealing varied outcomes in terms of growth performance, feed conversion ratios, and overall health indicators [14]. However, research focusing specifically on C. rendalli, particularly within the Namibian context, remains limited [15]. Thus, this study aims to explore the effect of various feed types on the growth and survival rate of C. rendalli under intensive culture. By examining the efficacy of locally available feed ingredients against Commercial feeds, this research seeks to identify cost-effective and sustainable fish feed that can enhance the productivity of C. rendalli and boost aquaculture in Namibia.

2. Materials and Methods

2.1. Study Site

The experiment was carried out at the Kamutjonga Inland Fisheries Institute (KIFI), located in the Mukwe Constituency in the Kavango East Region. As per the National Development Plan 2 (NDP 2), a decision was made to construct a Freshwater Research Institute that would serve both Namibia and the Southern African Development Community (SADC) as a whole. The Institute serves as a research, training, and capacity building institution for scholars, students, and aspiring freshwater aquaculture farmers.
The institute’s reliable water supply, easy access to cultural facilities, and tilapia breeding makes it appropriate for the research. Poverty and limited resource access are significant challenges for Kavango East. These challenges are frequently more severe in rural areas, where most of the population thrives [16]. Despite these challenges, the region is distinguished by its breathtaking scenery, which includes vast savannahs, wetlands, and the meandering Okavango River. The Okavango River and its associated ecosystem are critical to the region’s inhabitants’ livelihoods. The river supports various flora and fauna, including numerous fish species. Fish are crucial to the local economy and food security. They provide income and nutrition to the riparian communities along the riverbank [17].

2.2. Experimental Design and Layout

A Completely Randomized Block Design (CRB) was employed for this study to evaluate the effects of three types of fish feed on growth performance of C. rendalli. The experiment utilized three sets of treatment tanks, each corresponding to one of the fish feeds under study: Egg yolk, Artemia, and Commercial pellets. Each feed type was replicated three times, resulting in a total of nine replicated tanks of 200 cm × 50 cm × 50 cm. Specifically, three tanks were designated for feed type A (Egg york) three for feed type B (Artemia), and three for feed type C (Commercial pellets). This experimental setup ensured that each feed type was tested under identical conditions, thereby minimizing the impact of external variables and facilitating a robust comparison of the growth performance across the different feeds. The replication of treatments allowed for more precise estimation of treatment effects and better control of experimental error.

2.3. Stocking of Fish

A batch of 315 individual C. rendalli, weighing 0.026 g and measuring 14.8 mm total length on average, were sourced from an onsite hatchery and transferred into holding tanks for acclimation. After a week of acclimation, individual C. rendalli were randomly selected and stocked in experimental tanks A-C, as depicted in Figure 2. Each experimental tank was stocked with 35 individual C. rendalli from the same cohort. A static recirculating system was used where 50% of water was changed and renewed weekly with river water. All tanks were aerated and siphoned daily to remove fecal waste. Critical water parameters such as temperature, dissolved oxygen, pH and Ammonia were monitored throughout the experiment.

2.4. Feeding Trial Experiment

The experiment was conducted for 28 days, from November to December 2023. Experimental fish were fed three (3) times a day at 9 am., 2 pm and 5 pm respectively. The ingredients of each feed type are summarized in Table 1. These values serve as fundamental knowledge for evaluating the dietary impact on the growth and development of C. rendalli during the experiment.
Table 1. Proximate ingredient composition of Egg yolk, Artemia and Commercial pellet diets under the feeding trial experiment for C. rendalli.
Table 1. Proximate ingredient composition of Egg yolk, Artemia and Commercial pellet diets under the feeding trial experiment for C. rendalli.
Parameters Egg yolk Artemia Commercial pellet
Energy (KJ) 616 23.5 16
Protein (%) 16 23 48
Carbohydrates (%) 1 0.4 6
Total Fat (%) 8 0.3 6
Sodium (%) 3 21 11

2.5. Determination of Fish Growth Performance

The experiment was carried out over four consecutive weeks in four successive sampling periods from day 0, day 7, day 14, day 21, and 28. On each sampling day, five (5) individual fish were randomly sampled from each tank and measured body length in millimeters and average wet weights in grams. Each fish’s weight (g) was measured using an analytical balance scale, while the total length (cm) was measured using a meter ruler. Mortality was visually assessed and recorded daily to monitor the survival rate of C. rendalli throughout the experimentation phase.
The growth performance parameters of C. rendalli were calculated as follows;
R e l a t i v e   w e i g h t   g a i n ( % ) = F i n a l   w e i g h t ( g ) i n i t i a l   w e i g h t ( g ) × 100
S p e c i f i c   g r o w t h   r a t e   ( % d a y ) = f i n a l   w e i g h t i n i t i a l   w e i g h t o f   d a y s × 100
T h e   f o o d   c o n v e r s i o n   r a t i o   w a s   c a l c u l a t e d   a s   f o l l o w s   ( F C R ) = f e e d   g i v e n   t o   f i s h w e i g h t   g a i n
While survival rate was calculated as follows;
S u r v i v a l   r a t e   ( % ) = n u m b e r   o f   f i s h   h a r v e s t e d n u m b e r   o f   f i s h   s t o c k e d × 100

2.6. Data Analysis and Presentation

Morphometric data on weight and length were subjected to a normality test using the Shapiro-Wilk test and constant variance test using Levene’s test. With confirmation of normal distribution and none violation of homoskedasticity assumption, a parametric Fisher’s one-way analysis of variance (ANOVA) was employed to assess statistical differences in the growth rates of C. rendalli fed with three different feed types. A post-hoc using Tukey test was subsequently applied to identify the sources of variation and determine which feed types were significantly different from each other. Data computation and analysis were performed using R, following a Completely Randomized Design with the specified statistical model:
Y i j = μ + τ i + ε i j
where: Y i j = jth replicate observation for the ith feed
μ = overall mean
τ i = effect of ith feed effect
ε i j = error associated with the jth replicate for the ith feed

3. Results

3.1 Growth Performance of C. rendalli by Feed Type

The initial mean sizes and mean weights of all experimental fish under study were uniform among the three feed treatments, affirming they were sourced from the same cohort (Table 2). The Commercial pellet-fed group attained the highest Specific Growth Rate (SGR) (1.39 ± 0.80%) compared to Egg yolk (0.94 ± 0.54%) and Artemia (0.325 ± 0.19%). Similarly, the fish that were fed with a Commercial pellet diet attained the highest final weight (0.43 ± 0.01 g) compared to Egg yolk (0.30 ± 0.02g) and Artemia (0.13 ± 0.01g) fed group (Table 2). Likewise, the fish that were fed with a Commercial pellet diet exhibited the highest total weight gain (0.39 ± 0.01 g), followed by Egg yolk (0.26 ± 0.02 g) and Artemia (0.09 ± 0.02 g) fed groups (Table 2).
Table 2. Growth performance parameters of C. rendalli under the feed trial experiment.
Table 2. Growth performance parameters of C. rendalli under the feed trial experiment.
Parameter Egg Yolk Artemia Commercial pellets
Initial weight (g) 0.037 ± 0.010 0.037 ± 0.010 0.037 ± 0.010
SGR (%) 0.94 ± 0.54 0.325 ± 0.19 1.39 ± 0.80
Final weight (g) 0.307 ± 0.014 0.128 ± 0.007 0.427 ± 0.010
Total weight gain (g) 0.270 ± 0.014 0.091 ± 0.014 0.390 ± 0.010
Weight gain/day 0.009 ± 0.007 0.003 ± 0.000 0.014 ± 0.007

3.2. Growth Performance of C. rendalli by Sampling Week and Feed Type

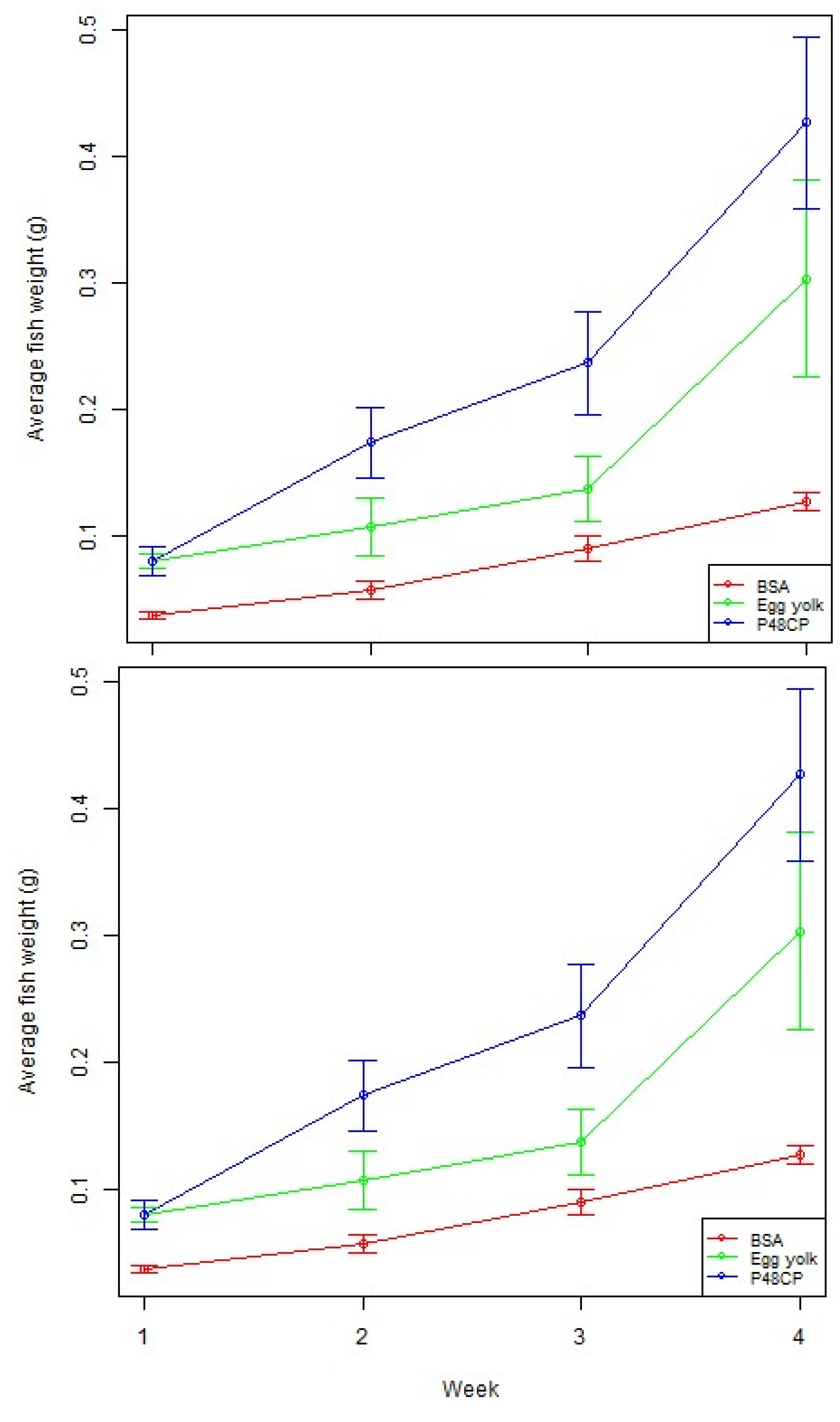
The ANOVA results revealed significant differences in the average length and weight of C. rendalli across the different dietary treatments throughout the study (Table 4 & Figure 1). In each week, the p-values were below 0.05, indicating that the type of feed had a statistically significant effect on the growth outcomes of the fish. In week 1: The average length (0.024) and weight(0.011) of C. rendalli showed significant differences among the dietary treatments. In week 2: The p-values for average length and weight were 0.023 and 0.024, indicating that the dietary effects on these growth parameters continued during the second week of the experiment. Week 3: This week exhibited the most significant differences, with p-values of 0.005 for both length and weight, highlighting a strong influence of diet on growth outcomes. Week 4: At the end of the study period, the p-values were 0.014 for length and 0.033 for weight, suggesting that dietary differences continued to significantly affect the growth parameters of the fish until the end of the experiment.
Figure 1. Weekly changes in average weight (g) and length (mm) of C. rendalli under the feed trial experiment.
Figure 1. Weekly changes in average weight (g) and length (mm) of C. rendalli under the feed trial experiment.
Preprints 112973 g001
Table 4. Weekly variations in average length (mm) and average weight (g) of C. under the feed trial experiment.
Table 4. Weekly variations in average length (mm) and average weight (g) of C. under the feed trial experiment.
Week 1 Week 2 Week 3 Week 4
Source of variation DF Average length (mm) Average weight (g) Average length (mm) Average weight (g) Average length (mm) Average weight (g) Average length (mm) Average weight (g)
Feeds 2 18.72** 0.004** 40.880** 0.021** 47.567*** 0.043*** 0.136** 120.596**
Error 6 7.65 0.001 16.080 0.008 28.613 0.015 0.064 38.267
Total 8 26.38 0.005 56.960 0.0290 76.16 0.058 0.200 158.862
p-value 0.024 0.011 0.023 0.24 0.005 0.005 0.014 0.033

3.3. Feed Conversion Ratios and Survival Rates of C. rendalli

The Feed Conversion Ratio (FCR) results varied among the three experimental diet treatments (Table 3). Experimental fish fed with Egg yolk had an FCR value of 204 ± 117.74, which is more efficient than 219 ± 127.17 for Commercial pellet and 254 ± 146.66 for Artemia diets (Table 3). In terms of survival rates, Experimental fish that were fed with a Commercial pellet diet revealed the highest survival rates, 76.19 ± 43.99%, compared to egg yolk (70.47 ± 40.69%) and Artermia (33 ± 19.05%) fed groups.
Table 3. Feed Conversion Ratio and survival rate of C. rendalli fed with different feed diets.
Table 3. Feed Conversion Ratio and survival rate of C. rendalli fed with different feed diets.
Parameter Egg Yolk Artemia Commercial pellets
FCR 204 ± 117.74 254 ± 146.66 219 ± 127.17
Survival (%) 70.47 ± 40.69 33 ± 19.05 76.19 ± 43.99

3.4. Water Quality Parameters

Mean temperature ranged between 28.01°C and 28.14°C, with no significant differences observed among the three supplementary diet treatments (Table 4). This implies that the experimental setup maintained a relatively stable temperature, which is important for the fish’s physiological processes and overall well-being. Dissolved Oxygen (DO) levels varied among the diets, ranging from 8.08 mg/L to 8.59 mg/L. However, the differences observed were not statistically significant. Adequate DO concentrations are crucial for the survival and growth of fish, as they require oxygen for respiration. The recorded DO levels suggest that the tanks were adequately aerated, ensuring a favorable oxygen supply to support the metabolic needs of C. rendalli. The pH values ranged from 7.36 to 7.45 across the different diet treatments, however these variations were not significant. Water pH plays a vital role in maintaining proper physiological functions and the overall health of aquatic organisms. The recorded pH values indicate that the tanks provided a relatively neutral environment, generally considered suitable for C. rendalli. Ammonia levels were relatively low but yet maintained in the same range among the three supplementary diet treatments (Table 4). High ammonia concentrations can harm fish health, as ammonia is toxic and can negatively impact their metabolism and overall well-being.
Table 4. Water quality parameters by feed type monitored during the feed trial experiment for C. rendalli.
Table 4. Water quality parameters by feed type monitored during the feed trial experiment for C. rendalli.
Parameter Egg Yolk Brine shrimp Powder 48% crude protein
Temperature ( ̊C) 28.14 ± 0.03 28.01 ± 0.01 28.11 ± 0.02
DO ( mg/L) 8.59 ± 0.05
8.29 ± 0.02
8.08 ± 0.03
Ph. 7.45 ± 0.01
7.36 ± 0.01
7.38 ± 0.00
Ammonia (NH3,/mg/L) 0.01 ± 0.01 0.01 ± 0.01 0.01 ± 0.01

4. Discussion

4.1 Water Parameters

Water quality is a fundamental aspect of successful aquaculture, significantly affecting its growth. Survival and overall health of fish. This study showed no variation in critical water parameters (i.e., temperature, Oxygen, pH, and Amonia) among the three feed treatments. The consistency in water parameters ensured that any observed differences in growth rates were primarily attributable to the nutritional quality of the feeds rather than environmental factors. Thus, the plausible influence of water quality on fish growth performance was ruled out with confidence. For reporting purposes, the average temperature ranged from 28.01 °C to 28.14 °C, and this was within the optimal temperature range between 27 °C to 30 °C as reported by [18]. These stable temperatures values ensured that the metabolic and physiological functions of the fish were not adversely affected by temperature, providing a conducive environment for growth in the broader context of aquaculture. This is mainly because, any sudden changes in water temperature may result in thermal shock and subsequent mortalities.
Dissolved oxygen (DO) levels were within the recommended range for maintaining fish health and promoting efficient feed conversion as reported by Hoseinifar et al. (2019). Low oxygen levels can lead to hypoxia, causing stress, reduced feed intake, and impaired growth. Maintaining high DO levels typically involves aeration systems, which are essential in intensive aquaculture settings. The use of an aerator ensures that oxygen levels remain sufficient to meet the demands of a high-density fish population, thereby supporting growth and reducing the risk of hypoxic conditions.
The pH levels ranged between 7.36 and 7.45 and were within the ideal levels of 6.7 to 9.5 recommended for Tilapia growth, facilitating optimal enzymatic activity and metabolic processes [18]. Water pH is a critical parameter as it influences various biochemical processes in fish, including enzyme activity and ion regulation. The consistency in pH across treatments indicates a stable aquatic environment conducive to fish health. Maintaining a stable pH is essential in aquaculture. This initiative prevents stress and physiological disruptions. Extreme pH levels can cause gill damage and affect the fish’s ability to regulate body functions.
Ammonia levels remained low due to the daily siphoning of the tanks, preventing the accumulation of waste and leftover feed. Ammonia levels ranged from 0.2 to 2 mg/l and were within the recommendable thresholds for supporting aquatic life [18]. The values are comparable to those observed by [18] in C. rendalli fed with maize bran and Amaranths hybridus leaves, demonstrating the effectiveness of daily tank maintenance in controlling ammonia levels [18] also reports that low ammonia levels are beneficial as they are quickly utilized by phytoplankton and aquatic macrophysics, minimizing the risk of ammonia toxicity.

4.2. Growth Performance of C. rendalli

The study revealed significant differences (P<0.05) in the growth rates of C. rendalli fed with three different supplementary diets. Experimental fish that were fed with the Commercial pellet and chicken Egg yolk diet exhibited the highest growth rates of C. rendalli compared to Artemia fed group. These variations may be attributed to feed quality as reported by [18]. The superior nutrient composition of a Commercial diet, with a high protein content of 48% and the rich nutrient profile of chicken egg yolk, may be allied to enhanced growth rates of C. rendalli in this study. The balanced nutrient profile of a Commercial feed diet ensures that the fish receives an adequate supply of vitamins and minerals, promoting optimal health and efficient nutrient absorption. For instance [18], emphasized on the role of balanced diets in enhancing growth performance, while [18] highlighted the potential of alternative protein sources like insect meal in supporting healthy fish development. Protein is a fundamental component of fish diets, providing the essential amino acids necessary for muscle development and overall fish growth. Higher protein diets result in better growth performance in tilapia as they promote faster growth rates and better feed conversion. Thus, it can be deduced that, the high nutrient density and better digestibility of the Commercial pellets and Egg yolk diet facilitated more efficient nutrient uptake and conversion into biomass, leading to higher weight gains and final total weights. In addition, the Commercial diet feed’s higher digestibility and nutrient density likely contributed to the enhanced growth rates observed, as the fish could more effectively convert the feed into body mass.

4.3. Feed Conversion Ratios (FCR)

The feed conversion ratio is a key performance indicator in aquaculture, reflecting the efficiency with which fish convert feed into biomass. The feed conversion ratio (FCR) was significantly different (P<0.05) among the three feed treatments. Experimental fish fed with Egg york revealed the most efficient FCR, followed Commercial diet and Artemia. The superior FCR observed for the Egg york can be attributed to its high protein content and balanced nutrient profile, which optimizes nutrient utilization and minimizes waste. For instance, [1] and [5] have underscored the importance of high-quality feeds in achieving optimal FCR, highlighting the direct relationship between feed composition and feed. Efficient FCR is crucial for aquaculture’s economic viability as it reduces feed costs and improves profitability.

4.4 Survival Rates

Survival rate is a critical metric in aquaculture, reflecting the overall health and viability of the fish population under different feeding regimes. The survival rates of C. rendalli varied significantly (P<0.05) among the different feed treatments. The highest survival rates were observed in fish that were fed with a Commercial diet and chicken Egg yolk, which were significantly higher than those fed with Artemia. The high survival rates associated with experimental fish fed with a Commercial diet and Egg yolk can be attributed to the excellent acceptability and high nutritional value of these feeds, which supported better overall health and reduced mortality. The observed survival rates in this study were higher than those reported by [20], further emphasizing the importance of feed quality and acceptability in the survival of C. rendalli. These finding aligns with the study conducted by [20], who reported that high-quality, well-accepted feeds result in better survival rates in juvenile fish. It is more likely that good water quality is crucial for reducing stress and preventing diseases, thus supporting higher survival rates. High survival rates are essential for the economic sustainability of aquaculture operations. Reduced mortality means that more fish reach market size, improving the overall yield and profitability of the farm. Thus, proper nutrition plays a crucial role in maintaining fish health and reducing the incidence of diseases and mortality. Conversely, the lower survival rate in fish fed with the Artemia diet may be attributed to poor feed acceptability and increased cannibalism. The rapid decrease in fish population that was fed with Artemia suggests that, this feed is not well accepted by juvenile C. rendalli, leading to higher high mortalities.

4.5. Implications for Aquaculture

The general outcomes of this study revealed that a Commercial diet with 48% crude protein promoted the best growth performance in C.rendalli. This feed consistently outperformed chicken egg yolk and Artemia in terms of specific growth rate (SGR), weight gain, and feed conversion ratio (FCR). The supremacy of this Commercial diet was attributed to its high protein content, which is crucial for the growth and development of the fish. Thus, the findings of this study have significant implications for aquaculture practices, mainly in the context of feed selection and cost management. Regarding feed selection, while the Commercial diet offers the best growth performance and feed efficiency, its high cost may be prohibitive for small-scale farmers. Chicken Egg yolk, on the other hand, provides a cost-effective and readily available alternative that still supports good growth and high survival rates. This feed demonstrated considerable efficacy in promoting healthy fish growth and maintaining high survival rates, making it a viable alternative for farmers who need to minimize production costs. Egg yolk can significantly reduce reliance on expensive Commercial feeds, allowing small-scale farmers to sustain their operations more economically. Using chicken egg yolk as a feed in integrated aquaculture systems presents a sustainable and economical approach to fish farming. Integrated aquaculture involves combining fish farming with other agricultural practices, such as poultry farming, to create a system where the by-products of one enterprise serve as inputs for another. In this scenario, farmers can raise fish and poultry on the same farm, using the egg yolk produced by the chickens to feed the fish. This integration reduces feed costs and enhances resource efficiency and sustainability. Integrated aquaculture systems can provide multiple benefits. First, they ensure a continuous supply of fresh egg yolk throughout the year, offering a steady and reliable source of nutrition for the fish. This consistency is crucial for maintaining stable growth rates and high survival rates in the fish population. Second, by utilizing egg yolks that might otherwise be discarded, integrated systems minimize waste and promote environmental sustainability. Integrated aquaculture systems can improve farm productivity and profitability. Farmers can generate multiple income streams by diversifying their production, reducing financial risk and increasing economic resilience. This approach also reduces dependence on external feed suppliers; it can also integrate aquaculture to create a balanced and efficient farming system that promotes the strengths of both poultry and fish farming.

5. Conclusions

This study emphasises the crucial significance of water quality and feed composition in aquaculture, specifically for the growth and well-being of C. rendalli. Through the maintenance of consistent water parameters in all treatments, we were able to firmly ascribe the observed differences in growth to the nutritional content of the diets. Fish that were provided with a Commercial diet displayed the highest rates of growth whilst Egg york had the most efficient feed conversion ratios (FCR), emphasising the advantages of a well-balanced nutrient profile with a high protein content. The feedl consisting of chicken Egg yolk also demonstrated substantial growth and excellent survival rates, providing a cost-efficient substitute for commercially available diets. These discoveries have important consequences for aquaculture practices. Although Commercial diets offer optimal growth performance, their exorbitant price can be a barrier for small-scale producers. The utilisation of chicken Egg yolk as a cost-effective and easily obtainable substitute promotes favourable development and increased survival rates, hence offering a feasible solution for minimising production expenses. By incorporating chicken egg yolk into aquaculture systems, the practice of fish farming becomes more sustainable and cost-effective. This is achieved by reducing the need for costly Commercial feeds and improving the efficiency of resource utilisation. Therefore, it is crucial to prioritise the optimisation of feed selection and the maintenance of steady water quality in order to ensure the successful growth and health of C. rendalli in aquaculture.

Author Contributions

Conceptualization, EKS, KH, KKM and MK; methodology, KH and KKM ; software, K.H. and MK; validation, EKS, SKA and KH.; formal analysis, KH, MK.; investigation, MK ; resources, MK, and EKS.; writing—original draft preparation, KH and MK; writing—review and editing, KH, EKS,KKM, TII and SKA; visualization, K.H. ; project administration, MK; funding acquisition, EKS,KKM and KH. All authors have read and agreed to the published version of the manuscript.

Funding

This research was funded by the University of Namibia and The APC was funded by Government of the Federal Republic of Germany through the German Financial Cooperation implemented by KfW and supported by PEM Consult GmbH

Institutional Review Board Statement

Ethical Clearance was issued by the University of Namibia Ethics Committee (REC), No KMC0022 in accordance with the University of Namibia’s Research Ethics Policy and Guidelines.

Data Availability Statement

The raw data supporting the conclusions of this article will be made available by the authors on request.

Acknowledgments

The authors sincerely thank the University of Namibia for the financial support that made this research possible. We are very grateful to Iipinge Emiliana, Mutero Ludwina, and Lydia Julius, who helped in data collection; the Kamutjonga Inland Fisheries Institute (KIFI) is acknowledged for providing working facilities to accomplish this study. Finally, we want to acknowledge everyone else who pitched in and helped make this research a success.

Conflicts of Interest

The authors declare no conflicts of interest.

References

  1. Mitra, A. Thought of Alternate Aquafeed: Conundrum in Aquaculture Sustainability? In Proceedings of the Proceedings of the Zoological Society; Springer, 2021; Vol. 74, pp. 1–18.
  2. Gatlin III, D.M.; Barrows, F.T.; Brown, P.; Dabrowski, K.; Gaylord, T.G.; Hardy, R.W.; Herman, E.; Hu, G.; Krogdahl, Å.; Nelson, R. Expanding the Utilization of Sustainable Plant Products in Aquafeeds: A Review. Aquac. Res. 2007, 38, 551–579. [Google Scholar] [CrossRef]
  3. Jannathulla, R.; Rajaram, V.; Kalanjiam, R.; Ambasankar, K.; Muralidhar, M.; Dayal, J.S. Fishmeal Availability in the Scenarios of Climate Change: Inevitability of Fishmeal Replacement in Aquafeeds and Approaches for the Utilization of Plant Protein Sources. Aquac. Res. 2019, 50, 3493–3506. [Google Scholar] [CrossRef]
  4. Oliva-Teles, A.; Enes, P.; Couto, A.; Peres, H. Replacing Fish Meal and Fish Oil in Industrial Fish Feeds. Feed Feed. Pract. Aquac. 2022, 231–268. [Google Scholar]
  5. Oteri, M.; Di Rosa, A.R.; Lo Presti, V.; Giarratana, F.; Toscano, G.; Chiofalo, B. Black Soldier Fly Larvae Meal as Alternative to Fish Meal for Aquaculture Feed. Sustainability 2021, 13, 5447. [Google Scholar] [CrossRef]
  6. Hecht, T.; Moehl, J.F.; Halwart, M.; Subasinghe, R.P. Regional Review on Aquaculture Development: Sub-Saharan Africa-2005; Food and Agriculture Organization of the United Nations Rome, Italy, 2006.
  7. Munguti, J.M.; Musa, S.; Orina, P.S.; Kyule, D.N.; Opiyo, M.A.; Charo-Karisa, H.; Ogello, E.O. An Overview of Current Status of Kenyan Fish Feed Industry and Feed Management Practices, Challenges and Opportunities. 2014.
  8. Dubey, S.K.; Trivedi, R.K.; Chand, B.K. Culture Possibilities of Certain Brackishwater Species at Freshwater: A Climate Change Adaptation Strategy for Salinity Intrusion Prone Areas of Indian Sundarban Delta. Aquac. Stud. 2021, 22. [Google Scholar] [CrossRef]
  9. Geletu, T.T.; Tang, S.; Xing, Y.; Zhao, J. Ecological Niche and Life-History Traits of Redbelly Tilapia (Coptodon Zillii, Gervais 1848) in Its Native and Introduced Ranges. Aquat. Living Resour. 2024, 37, 2. [Google Scholar] [CrossRef]
  10. Jere, A. Diet Overlap and Feeding Preference of Oreochromis Niloticus (Linnaeus, 1758) versus Two Native Cichlids of the Upper Kabompo River, Northwest of Zambia. Authorea Prepr. 2021. [Google Scholar]
  11. Samaddar, A. Recent Trends on Tilapia Cultivation and Its Major Socioeconomic Impact among Some Developing Nations: A Review. Asian J. Fish. Aquat. Res 2022, 8, 1–10. [Google Scholar] [CrossRef]
  12. Banda, R.; Musuka, C.G. Factors Attributed to Low Aquaculture Production in the Copperbelt Province of Zambia: A Case Study of Kitwe and Chingola Districts.
  13. Huntington, T.C.; Hasan, M.R. Fish as Feed Inputs for Aquaculture–Practices, Sustainability and Implications: A Global Synthesis. FAO Fish. Aquac. Tech. Pap. 2009, 518, 1–61. [Google Scholar]
  14. Rahman, M.H.; Alam, M.A.; Moniruzzaman, M.; Sultana, S.; Das, B.C. Effects of Different Feeding Frequencies on Growth Performance and Feed Conversion Ratio (FCR) of Tilapia, Oreochromis Niloticus. Asian J. Fish. Aquat. Res. 2023, 23, 49–57. [Google Scholar] [CrossRef]
  15. Simasiku, E.; Hay, C. The Significance of the Sikunga Fish Protected Area towards Fisheries Conservation in the Zambezi River, Namibia. Afr. J. Ecol. 2023, 61, 354–367. [Google Scholar] [CrossRef]
  16. Likuwa, K.M. Colonialism and the Development of the Contract Labour System in Kavango. Re-Viewing Resist. Namibian Hist. 2015; 105–126. [Google Scholar]
  17. Strohbach, B.J. Vegetation of the Okavango River Valley in Kavango West, Namibia. Biodivers. Ecol. 2013, 5, 321–339. [Google Scholar] [CrossRef]
  18. Kikamba, E.; Kang’ombe, J. Growth Performance of Red Breasted Tilapia (Coptodon Rendalli) Fed Maize Bran and Amaranthus Hybridus Leaves under Pond Culture. Mediterr. Aquac. J. 2022, 9, 38–45. [Google Scholar] [CrossRef]
  19. Hoseinifar, S.H.; Zou, H.K.; Van Doan, H.; Harikrishnan, R.; Yousefi, M.; Paknejad, H.; Ahmadifar, E. Dissolved Oxygen Level and Stocking Density Effects on Growth, Feed Utilization, Physiology, and Innate Immunity of Nile Tilapia, Oreochromis Niloticus. Fish Shellfish Immunol. 2019, 94, 705–710. [Google Scholar] [CrossRef] [PubMed]
  20. Gingerich, A.J.; Cooke, S.J.; Hanson, K.C.; Donaldson, M.R.; Hasler, C.T.; Suski, C.D.; Arlinghaus, R. Evaluation of the Interactive Effects of Air Exposure Duration and Water Temperature on the Condition and Survival of Angled and Released Fish. Fish. Res. 2007, 86, 169–178. [Google Scholar] [CrossRef]
Disclaimer/Publisher’s Note: The statements, opinions and data contained in all publications are solely those of the individual author(s) and contributor(s) and not of MDPI and/or the editor(s). MDPI and/or the editor(s) disclaim responsibility for any injury to people or property resulting from any ideas, methods, instructions or products referred to in the content.
Copyright: This open access article is published under a Creative Commons CC BY 4.0 license, which permit the free download, distribution, and reuse, provided that the author and preprint are cited in any reuse.
Prerpints.org logo

Preprints.org is a free preprint server supported by MDPI in Basel, Switzerland.

Subscribe

Disclaimer

Terms of Use

Privacy Policy

Privacy Settings

© 2026 MDPI (Basel, Switzerland) unless otherwise stated