Submitted:
22 July 2024
Posted:
23 July 2024
You are already at the latest version
Abstract
Keywords:
1. Introduction
2. The Hamiltonian
3. Poynting’s Theorem
4. Absorption
5. Master Equation for Amplification
6. Fluorescence
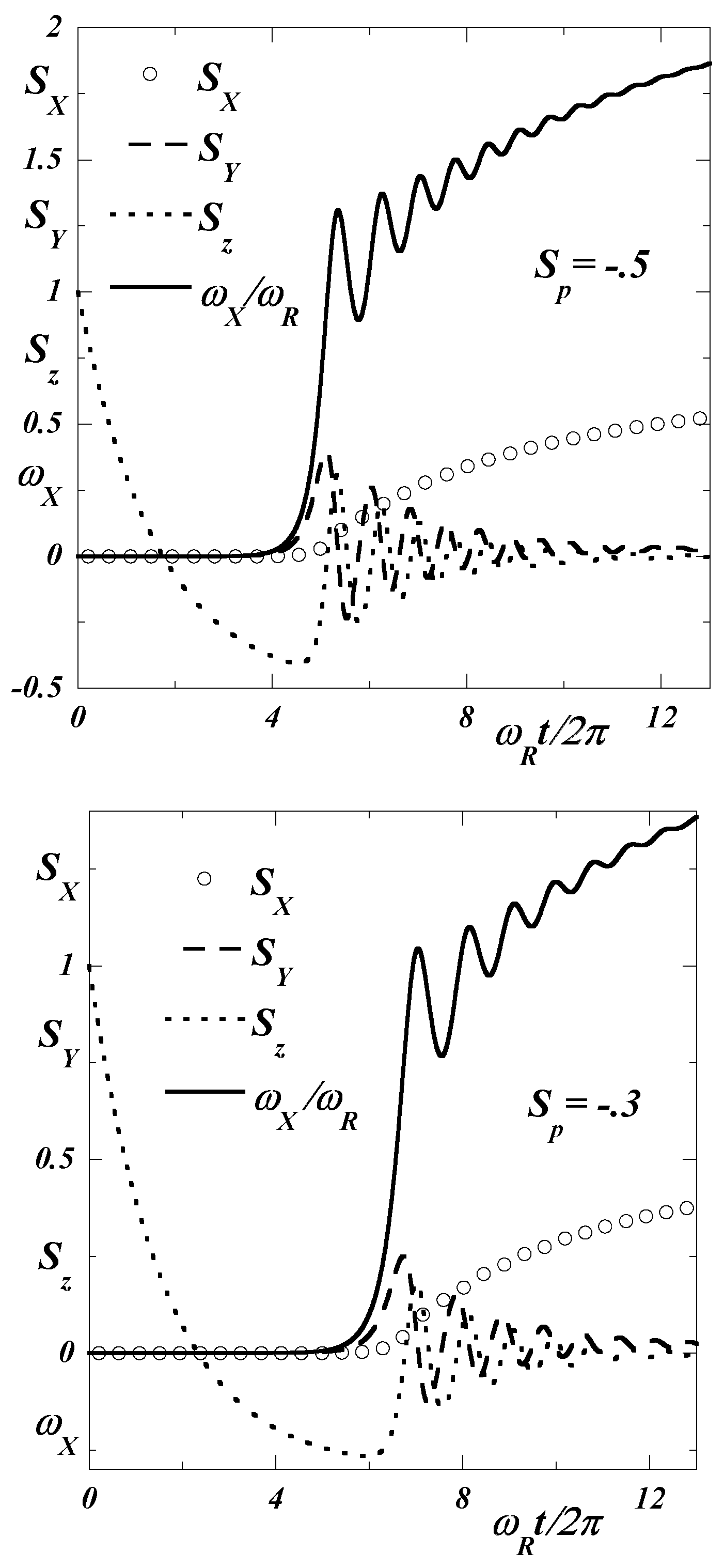
7. Laser Effect
8. Conclusion
References
- Haken H. and Wolf H.C., The Physics of Atoms and Quanta, Springer Verlag (2000).
- Cagnac B. and Faroux J.P., Lasers, Interaction lumière-atomes, EDP Sciences (2002).
- Yariv A., Quantum Electronics, John Wiley (1989).
- Abragam A., Principles of Nuclear Magnetism, Oxford Press (1961).
- Szeftel J. et al., Opt.Comm., 282 (2009) 602.
- Lamb W.E., Phys.Rev., 134 (1964) A1429. [CrossRef]
- Eberly J. H. et al., Phys.Rev.Lett., 44 (1980) 1323. [CrossRef]
- Brune M. et al., Phys.Rev.Lett., 762 (1996) 1800.




Disclaimer/Publisher’s Note: The statements, opinions and data contained in all publications are solely those of the individual author(s) and contributor(s) and not of MDPI and/or the editor(s). MDPI and/or the editor(s) disclaim responsibility for any injury to people or property resulting from any ideas, methods, instructions or products referred to in the content. |
© 2024 by the authors. Licensee MDPI, Basel, Switzerland. This article is an open access article distributed under the terms and conditions of the Creative Commons Attribution (CC BY) license (http://creativecommons.org/licenses/by/4.0/).