Submitted:
18 July 2024
Posted:
19 July 2024
You are already at the latest version
Abstract

Keywords:
Introduction
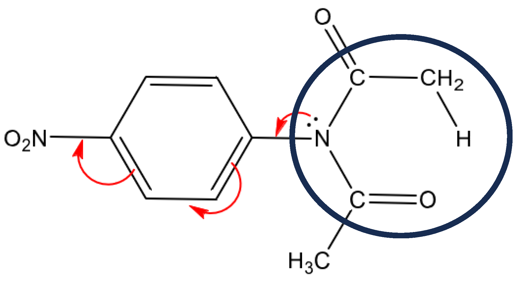
3. RESULTS and DISCUSSION

4. Conclusions
Supplementary Materials
5. Acknowledgement
References
- Soheil M, Alireza F.: Acetamide, Editor(s): Philip Wexler, Encyclopedia of Toxicology (Fourth Edition), Academic Press, 2024, 39-42. [CrossRef]
- Kuroda Y, Saito Y, Machida K, Uno T. Infrared dichroism and out-of-plane vibrations of trans-cis diacetamide and its C- and N-deuterated derivatives. Spect. Acta Part Mol. Spectrosc. 1973, 29, 411–21. [CrossRef]
- Kuroda Y, Saito Y, Machida K, Uno T. Infrared spectra of trans-cis diacetamide and its C- and Ndeuterated compounds. Spectrochim Acta Part Mol. Spectrosc. 1971, 27, 1481–93. [CrossRef]
- K. L. Gallaher and S.H. Batter. Structure of diacetamide. Reference amido structures for polypeptide conformation analysis. J. Chem. Sot., Faraday Trans. 1975, 2, 1423–1435. [CrossRef]
- Ramondo F, Nunziante Cesaro S, Bencivenni L. Effects of intermolecular hydrogen bonding on the molecular structure and vibrational spectrum of diacetamide. J. Mol. Struct. 1993, 291, 219–44. [CrossRef]
- Matias, P. M. , Jeffrey, G. A., & Ruble, J. R. Structures of the E, Z (cis–trans) isomer of diacetamide and the 1: 1 complex with acetamide at 123 K. Ab-initio molecular orbital calculations on the Z, Z (trans–trans), E, Z (cis–trans) and E, E (cis–cis) isomers of diacetamide. Acta Cryst. Section B: Structural Science 1988, 44, 516–522. [Google Scholar] [CrossRef]
- Mohammednoor Altarawneha and Khaled Altarawneh. A theoretical study on the bimolecular reactions encountered in the pyrolysis of acetamide. J. Phys. Org. Chem. 2012, 25 431–436. [CrossRef]
- Q. Almeida-Neto FW, Castro Matos MG, Marinho EM, Marinho MM, Róseo Paula Pessoa Bezerra de Menezes R, Sampaio TL, et al. In silico study of the potential interactions of 4′-acetamidechalcones with protein targets in SARS-CoV-2. Biochem. Biophys Res. Commun. 2021, 537, 71–7. [CrossRef]
- Hariyono P, Dwiastuti R, Yusuf M, Salin NH, Hariono M. 2-Phenoxyacetamide derivatives as SARSCoV-2 main protease inhibitor: In silico studies. Results Chem. 2022, 4, 100263. [CrossRef]
- C. D. Hurd, The Pyrolysis of Carbon Compounds, ACS Monograph Series No. 50, The Chemical Catalog Co., New York, 1929.
- Irwin, WJ. Analytical pyrolysis an overview. J Anal Appl Pyrolysis. 1979, 1, 89–122. [Google Scholar] [CrossRef]
- Ericsson, Inger; Lattimer, Robert P. Pyrolysis nomenclature. J. Anal. Appl. Pyrol., 1989, 14, 219–221. [CrossRef]
- Uden, P. Nomenclature and terminology for analytical pyrolysis (IUPAC Recommendations 1993. Pure and Appl. Chem. 1993, 65, 2405–2409. [Google Scholar] [CrossRef]
- Moldoveanu, S. Pyrolysis of organic molecules with applications to health and environment. Tech Instrum. Anal Chem. 2010, 28, 1–724. [Google Scholar]
- Al-Awadi NA, Al-Omran FA. Gas-phase kinetics of N-substituted diacetamide. Int J Chem Kinet. 1994, 26, 951–954. [CrossRef]
- Gaussian 16, Revision C.01, Frisch, M. J.; Trucks, G. W.; Schlegel, H. B.; Scuseria, G. E.; Robb, M. A.; Cheeseman, J. R.; Scalmani, G.; Barone, V.; Petersson, G. A.; Nakatsuji, H.; Li, X.; Caricato, M.; Marenich, A. V.; Bloino, J.; Janesko, B. G.; Gomperts, R.; Mennucci, B.; Hratchian, H. P.; Ortiz, J. V.; Izmaylov, A. F.; Sonnenberg, J. L.; Williams-Young, D.; Ding, F.; Lipparini, F.; Egidi, F.; Goings, J.; Peng, B.; Petrone, A.; Henderson, T.; Ranasinghe, D.; Zakrzewski, V. G.; Gao, J.; Rega, N.; Zheng, G.; Liang, W.; Hada, M.; Ehara, M.; Toyota, K.; Fukuda, R.; Hasegawa, J.; Ishida, M.; Nakajima, T.; Honda, Y.; Kitao, O.; Nakai, H.; Vreven, T.; Throssell, K.; Montgomery, J. A., Jr.; Peralta, J. E.; Ogliaro, F.; Bearpark, M. J.; Heyd, J. J.; Brothers, E. N.; Kudin, K. N.; Staroverov, V. N.; Keith, T. A.; Kobayashi, R.; Normand, J.; Raghavachari, K.; Rendell, A. P.; Burant, J. C.; Iyengar, S. S.; Tomasi, J.; Cossi, M.; Millam, J. M.; Klene, M.; Adamo, C.; Cammi, R.; Ochterski, J. W.; Martin, R. L.; Morokuma, K.; Farkas, O.; Foresman, J. B.; Fox, D. J. Gaussian, Inc., Wallingford CT, 2016.
- G09 Keywords: DFT Methods (nctu.edu.tw) and Gaussian 16 | Gaussian.com.
- Schuchardt KL, Didier BT, Elsethagen T, Sun L, Gurumoorthi V, Chase J, et al. Basis Set Exchange: A Community Database for Computational Sciences. J Chem Inf. Model. 2007, 47, 104552. [CrossRef]
- Lu T, Chen F. Multiwfn: A multifunctional wavefunction analyzer. J Comput Chem. 2012, 33, 580–92. [CrossRef]
- Lefebvre, C. , Rubez G. , Khartabil H., Boisson JC., Contreras-García J., Hénon E. "Accurately extracting the signature of intermolecular interactions present in the NCI plot of the reduced density gradient versus electron density” Phys. Chem. Chem. Phys 2017, 19, 17928–17936. [Google Scholar] [CrossRef]
- C. Lefebvre, H. Khartabil, J.-C. Boisson, J. Contreras-García, J.-P. Piquemal, E. Hénon"Independent Gradient Model: a new approach for probing strong and weak interactions in molecules from wave function calculations" Chem. Phys Chem 2018, 19, 724–735. [CrossRef]
- M. Ponce-Vargas, C. Lefebvre, J.-C. Boisson, E. Hénon. "Atomic Decomposition Scheme of Noncovalent Interactions Applied to Host–Guest Assemblies" J. Chem. Inf. Model. 2020, 60, 268–278. [Google Scholar] [CrossRef]
- J. Klein, H. Khartabil, J.-C. Boisson, J. Contreras-García, J.-P. Piquemal, E. Hénon "New Way for Probing Bond Strength" J. Phys. Chem. A 2020, 124, 1850–1860. [CrossRef]
- C. Lefebvre, H. Khartabil, and E. Hénon. "New insight into atomic-level interpretation of interactions in molecules and reacting systems" Phys. Chem. Chem. Phys. 2023, 25, 11398–11409. [Google Scholar] [CrossRef]
- C. Lefebvre, J. Klein, H. Khartabil, J.-C. Boisson, E. Hénon. "IGMPlot: A program to identify, characterize, and quantify molecular interactions" J. Comp. Chem. 2023, 44, 1750–1766. [Google Scholar] [CrossRef]
- Demeter Tzeli, Athanassios A. Tsekouras, Mind the basis set superposition error, Chem. Phys. Lett. 496, 1–3,2010, 42-45. [CrossRef]
- Reed, A. E, Curtis L. A. & Weinhold F. Intermolecular interactions from a natural bond orbital, donor-acceptor viewpoint, Chem. Rev. 1988, 88, 899–926. [Google Scholar] [CrossRef]










| X | Log A (s)-1 | Ea (kJ mol-1) | 104 k (s-1) |
|---|---|---|---|
| Hydrogen | 11.9 ± 0.4 | 151.3 ± 2.7 | 532.9 |
| Phenyl | 12.8 ± 0.6 | 185.7 ± 7.5 | 4.3 |
| 4-nitrophenyl | 12.8 | 192.0 | 1.0 |
| Properties |
ΔG (kJ/mol) |
ΔS (J/Kmol) | Ea (kJ/mol) | |
| Basis set | ||||
| B3Pw91 | 6-311+G(3df,2p) | 163.67 | -18.00 | 155.34 |
| 6-311+G(3df,2p) * | 164.30 | -17.10 | 156.52 | |
| Def2-TZVP | 165.00 | -17.67 | 159.39 | |
| X3LYP | Def2-TZVP | 169.02 | -17.77 | 163.35 |
| 6-311+G(3df,2p) | 167.83 | -17.10 | 162.56 | |
| B1LYP | Def2-TZVP | 172.22 | -17.66 | 166.62 |
| 6-311+G(3df,2p) | 171.19 | -17.12 | 163.39 | |
| LC-BLYP | Def2-TZVP | 186.757 | -18.00 | 180.95 |
| 6-311+G(3df,2p) | 185.84 | -17.94 | 177.55 | |
| CAM-B3LYP | Def2-TZVP | 176.625 | -17.70 | 175.99 |
| 6-311+G(3df,2p) | 175.65 | -17.24 | 167.78 | |
| ωB97XD | Def2-TZVP | 177.733 | -18.16 | 171.84 |
| M062-X | Def2-TZVP | 175.415 | -13.72 | 172.17 |
| Properties | ΔG (kJ/mol) | ΔS (J/Kmol) | Ea (kJ/mol) |
| Experimental | 165.05 | -31.23 | 154.0 |
| X3LYP | 189.00 | -14.00 | 185.61 |
| ωB97XD | 201.96 | -10.55 | 200.62 |
| M062-X | 191.44 | -6.57 | 192.49 |
| LC-BLYP | 216.88 | -8.13 | 216.99 |
| CAM-B3LYP | 199.59 | -11.61 | 202.61 |
| B3PW91 | 187.67 | -11.53 | 185.75 |
| B1LYP | 192.30 | -14.88 | 188.37 |
| NX(COCH3)2 X = Cl | |||
| X3LYP | 158.04 | -15.30 | 153.85 |
| (158.02) * | (-17.07) * | (152.75) * | |
| B1LYP | 161.95 | -15.61 | 157.58 |
| NX(COCH3)2 X = CH3 | |||
| B1LYP | 167.82 | -7.07 | 168.57 |
| Tipo | Grades | |||||||||
| 90 | 100 | 110 | 120 | 130 | 140 | 150 | 160 | 170 | 180 | |
| Labels | NBO charges | |||||||||
| N1 | -0.557 | -0.557 | -0.556 | -0.554 | -0.552 | -0.551 | -0.550 | -0.549 | -0.550 | -0.551 |
| C14 | 0.152 | 0.152 | 0.150 | 0.150 | 0.150 | 0.150 | 0.151 | 0.150 | 0.153 | 0.154 |
| Bond | IBSI | |||||||||
| N1-C14 | 1.099 | 1.109 | 1.135 | 1.159 | 1.181 | 1.210 | 1.211 | 1.224 | 1.252 | 1.272 |
| NBO charges | ||||||||||
| C2 | 0.715 | 0.715 | 0.714 | 0.714 | 0.714 | 0.715 | 0.716 | 0.721 | 0.728 | 0.737 |
| Bond | IBSI | |||||||||
| N1-C2 | 1.204 | 1.203 | 1.201 | 1.194 | 1.185 | 1.170 | 1.150 | 1.120 | 1.081 | 1.048 |
| NBO charges | ||||||||||
| C7 | 0.721 | 0.721 | 0.722 | 0.722 | 0.722 | 0.722 | 0.721 | 0.719 | 0.715 | 0.708 |
| Bond | IBSI | |||||||||
| N1-C7 | 1.192 | 1.192 | 1.192 | 1.196 | 1.199 | 1.199 | 1.203 | 1.214 | 1.234 | 1.265 |
| Parameters | ΔG (kJ/mol) | ΔS (J/Kmol) | Ea (kJ/mol) |
|---|---|---|---|
| Experimental | 189.11 | -14.00 | 185.70 |
| B1LYP | |||
| 6-31G | 175.79 | -1.51 | 177.36 |
| 6-311G | 167.19 | -5.34 | 166.46 |
| 6-31G(d,) | 178.14 | -7.17 | 176.31 |
| 6-31+G(d) | 175.14 | -7.38 | 173.19 |
| 6-31G+G(d,p) | 161.58 | -5.81 | 160.57 |
| 6-31G+G(d,p) BSSE | 168.46 | -7.88 | 166.21 |
| Def2-TZVP | 160.79 | -22.36 | 152.37 |
| B3Pw91 | |||
| 6-31G | 171.39 | 17.61 | 186.95 |
| 6-31G(d) | 173.54 | -0.76 | 178.07 |
| 6-311+G(2d,2p) | 154.48 | 1.36 | 160.29 |
| 6-311+G(3df,2p) | 151.98 | 3.27 | 156.42 |
| LC-BLYP | |||
| Def2-TZVP | 183.98 | -4.14 | 186.48 |
| Parameters | ΔG (kJ/mol) | ΔS (J/Kmol) | Ea (kJ/mol) |
|---|---|---|---|
| Experimental | 189.11 | -14.00 | 185.70 |
| p-nitro | |||
| X3LYP | 157.110 | -22.97 | 148.32 |
| B3Pw91 | 294.038 | -11.32 | 292.26 |
| LC-BLYP | 182.877 | -8.92 | 182.51 |
| m-nitro | |||
| X3LYP | 158.176 | -24.66 | 148.38 |
| B3Pw91 | 294.636 | -9.67 | 293.83 |
| LC-BLYP | 183.113 | -7.49 | 183.61 |
| Point | Donor NBO (i) | Acceptor NBO (j) | E (2) kcal/mol |
IBSI | |||
|---|---|---|---|---|---|---|---|
| N1-C2 | N1-C7 | N1-C14 | N24-C21 | ||||
| 01 (BTS) | LP (1)N1 | BD*(2) C2 - O12 | 15.70 | 1.030 | |||
| LP (1)N1 | BD*(1) C14 - C15 | 4.75 | 1.216 | ||||
| LP (3)O26 | BD*(2) N24 - O25 | 173.79 | 1.105 | ||||
| 02 | LP (1)N1 | BD*(2) C2 - O12 | 14.88 | 0.991 | |||
| LP (1)N1 | BD*(1) C14 - C15 | 4.88 | 1.227 | ||||
| LP (3)O26 | BD*(2) N24 - O25 | 173.63 | 1.105 | ||||
| 03 | LP (1)N1 | BD*(2) C2 - O12 | 12.45 | 0.877 | |||
| LP (1)N1 | BD*(1) C14 - C15 | 5.02 | 1.238 | ||||
| LP (3)O26 | BD*(2) N24 - O25 | 173.51 | 1.104 | ||||
| 04 | LP (1)N1 | BD*(2) C2 - O12 | 10.26 | 0.787 | |||
| LP (1)N1 | BD*(1) C14 - C15 | 4.94 | 1.245 | ||||
| LP (3)O26 | BD*(2) N24 - O25 | 173.6 | 1.102 | ||||
| (ST) | LP (1)N1 | BD*(1) C7 – C8 | 9.75 | 1.621 | |||
| LP (1)N1 | BD*(2) C14 - C16 | 16.81 | 1.293 | ||||
| LP (3)O26 | BD*(2) N24 - O25 | 172.62 | 1.107 | ||||
|
06 (ATS) |
LP (1)N1 | BD*(1) C7 - O13 | 8.62 | 1.689 | |||
| LP (1)N1 | BD*(1) C14 - C15 | 19.04 | 1.328 | ||||
| LP (3)O26 | BD*(2) N24 - O25 | 170.83 | 1.120 | ||||
| 07 | LP (1)N1 | BD*(1) C7 - O13 | 8.86 | 1.692 | |||
| LP (1)N1 | BD*(1) C14 - C15 | 19.22 | 1.325 | ||||
| LP (3)O26 | BD*(2) N24 - O25 | 170.69 | 1.120 | ||||
| 08 | LP (1)N1 | BD*(1) C7 - O13 | 9.09 | 1.692 | |||
| LP (1)N1 | BD*(1) C14 - C15 | 19.30 | 1.317 | ||||
| LP (3)O26 | BD*(2) N24 - O25 | 170.59 | 1.120 | ||||
Disclaimer/Publisher’s Note: The statements, opinions and data contained in all publications are solely those of the individual author(s) and contributor(s) and not of MDPI and/or the editor(s). MDPI and/or the editor(s) disclaim responsibility for any injury to people or property resulting from any ideas, methods, instructions or products referred to in the content. |
© 2024 by the authors. Licensee MDPI, Basel, Switzerland. This article is an open access article distributed under the terms and conditions of the Creative Commons Attribution (CC BY) license (https://creativecommons.org/licenses/by/4.0/).