Submitted:
12 February 2024
Posted:
13 February 2024
You are already at the latest version
Abstract
Keywords:
1. Introduction
2. Results and Discussion
2.1. Thermogravimetry
- Reaction between two molecules of NMF to yield N-methyl-diformylamine and gaseous methylamine. This path does not require any further reagent and might occur even in pure NMF.
- Reaction with trace water (or any nucleophilic impurities, e.g., alcohols), which yields formic acid (or its derivates) and methylamine.
2.2. Vapor Pressure
2.3. Enthalpies of Vaporization
2.4. Liquid Heat Capacities
2.5. Ideal Gas Heat Capacities
2.6. Selection of Recommended Data for NMF and DMF Using SimCor Method
3. Materials and Methods
3.1. Samples Description
3.2. Thermogravimetry
3.3. Vapor Pressures
3.4. Heat Capacity Measurements
3.5. Theoretical Calculations
3.6. Simultaneous Treatment of Vapor Pressures and Related Thermal Data (SimCor Method)
4. Conclusions
Supplementary Materials
Author Contributions
Funding
Institutional Review Board Statement
Informed Consent Statement
Data Availability Statement
Conflicts of Interest
Sample Availability
References
- Fulem, M.; Růžička, K.; Červinka, C.; Bazyleva, A.; Della Gatta, G. Thermodynamic study of alkane-α,ω-diamines – Evidence of odd–even pattern of sublimation properties. Fluid Phase Equilibria. 2014, 371, 93–105. [Google Scholar] [CrossRef]
- Štejfa, V.; Chun, S.; Pokorný, V.; Fulem, M.; Růžička, K. Thermodynamic study of acetamides. J Mol Liq. 2020, 319. [Google Scholar] [CrossRef]
- Pokorný, V.; Červinka, C.; Štejfa, V.; Havlín, J.; Růžička, K.; Fulem, M. Heat Capacities of l-Alanine, l-Valine, l-Isoleucine, and l-Leucine: Experimental and Computational Study. J Chem Eng Data. 2020, 65, 1833–1849. [Google Scholar] [CrossRef]
- Pokorný, V.; Štejfa, V.; Havlín, J.; Fulem, M.; Růžička, K. Heat Capacities of L-Cysteine, L-Serine, L-Threonine, L-Lysine, and L-Methionine. Molecules 2023, 28. [Google Scholar] [CrossRef]
- Štejfa, V.; Pokorný, V.; Lieberzeitová, E.; Havlín, J.; Fulem, M.; Růžička, K. Heat Capacities of N-Acetyl Amides of Glycine, L-Alanine, L-Valine, L-Isoleucine, and L-Leucine. Molecules 2023, 28. [Google Scholar] [CrossRef] [PubMed]
- Basma N, Cullen PL, Clancy AJ, Shaffer MSP, Skipper NT, Headen TF et al. The liquid structure of the solvents dimethylformamide (DMF) and dimethylacetamide (DMA). Mol Phys. 2019, 117, 3353–3363. [CrossRef]
- Ahlers, J.; Lohmann, J.; Gmehling, J. Binary Solid−Liquid Equilibria of Organic Systems Containing Different Amides and Sulfolane. J Chem Eng Data. 1999, 44, 727–730. [Google Scholar] [CrossRef]
- Smirnova, N.N.; Tsvetkova, L.Y.; Bykova, T.A.; Marcus, Y. Thermodynamic properties of N,N-dimethylformamide and N,N-dimethylacetamide. J Chem Thermodyn. 2007, 39, 1508–1513. [Google Scholar] [CrossRef]
- González, J.A. Thermodynamics of mixtures containing a very strongly polar compound: V – application of the extended real associated solution model to 1-Alkanol + Secondary Amide Mixtures. Phys Chem Liq. 2004, 42, 159–172. [Google Scholar] [CrossRef]
- Mitzel TM. N-Methylformamide. Encyclopedia of Reagents for Organic Synthesis (EROS). Wiley; 2009. p. 1-5. [CrossRef]
- Comins DL, Joseph SP. N,N-Dimethylformamide. Encyclopedia of Reagents for Organic Synthesis (EROS). Wiley; 2001. p. 1-4. [CrossRef]
- Bipp, H.; Kieczka, H. Formamides. Ullmann’s Encyclopedia of Industrial Chemistry. 2012, 1-12. [CrossRef]
- Heinrich, J.; Ilavský, J.; Surový, J. Temperature Dependence of N-Methylformamide Vapour Pressure, Liquid-Vapour Equilibrium of the N-Methylformamide-Water System (in Slovak). Chemické zvesti. 1961, 15, 414–418. [Google Scholar]
- Sköld, R.; Suurkuusk, J.; Wadsö, I. Thermochemistry of solutions of biochemical model compounds 7. Aqueous solutions of some amides, t-butanol and pentanol. J Chem Thermodyn. 1976, 8, 1075–1080. [Google Scholar] [CrossRef]
- Rouw, A.; Somsen, G. Solvation and hydrophobic hydration of alkyl-substituted ureas and amides in NN-dimethylformamide + water mixtures. J Chem Soc, Faraday Trans 1: Phys Chem Cond Phases. 1982, 78, 3397–3408. [Google Scholar] [CrossRef]
- Barone, G.; Castronuovo, G.; Della Gatta, G.; Elia, V.; Iannone, A. Enthalpies of vaporization of seven alkylamides. Fluid Phase Equilibria. 1985, 21, 157–164. [Google Scholar] [CrossRef]
- Zaitseva, K.V.; Zaitsau, D.H.; Varfolomeev, M.A.; Verevkin, S.P. Vapour pressures and enthalpies of vaporisation of alkyl formamides. Fluid Phase Equilibria. 2019, 494, 228–238. [Google Scholar] [CrossRef]
- Bendová, L.; Jurečka, P.; Hobza, P.; Vondrášek, J. Model of Peptide Bond−Aromatic Ring Interaction: Correlated Ab Initio Quantum Chemical Study. J Phys Chem B. 2007, 111, 9975–9979. [Google Scholar] [CrossRef]
- Biswas, S.; Mallik, B.S. Probing the vibrational dynamics of amide bands of N-methylformamide, N, N-dimethylacetamide, and N-methylacetamide in water. Computational and Theoretical Chemistry. 2020, 1190, 113001. [Google Scholar] [CrossRef]
- Andrushchenko V, Matějka P, Anderson DT, Kaminský J, Horníček J, Paulson LO et al. Solvent Dependence of the N-Methylacetamide Structure and Force Field. J Phys Chem A. 2009, 113, 9727–9736. [CrossRef]
- Reimann, M.; Kaupp, M. Evaluation of an Efficient 3D-RISM-SCF Implementation as a Tool for Computational Spectroscopy in Solution. J Phys Chem A. 2020, 124, 7439–7452. [Google Scholar] [CrossRef]
- Konicek, J.; Wadsö, I. Thermochemical Properties of Some Carboxylic Acids, Amines, and N-Substituted Amides in Aqueous Solution. Acta Chem Scand. 1971, 25, 1541–1551. [Google Scholar] [CrossRef]
- Kortüm, G.; Biedersee, H.V. Dampf/Flüssigkeit-Gleichgewichte (Siedediagramme) binärer Systeme hoher relativer Flüchtigkeit. Wasser/N-Methylacetamid, Wasser/N-Methylformamid und N-Methylformamid/N-Methylacetamid. Chemie-Ing-Techn 1970, 42, 552–560. [Google Scholar] [CrossRef]
- NIST Standard Reference Database 1A, NIST Mass Spectral Libraries [database on the Internet]. NIST. 2023. Accessed: 2024-01-22. Accessed.
- Fulem M, Růžička K, Morávek P, Pangrác J, Hulicius E, Kozyrkin B et al. Vapor Pressure of Selected Organic Iodides. J Chem Eng Data. 2010, 55, 4780–4784. [CrossRef]
- Čenský, M.; Roháč, V.; Růžička, K.; Fulem, M.; Aim, K. Vapor pressure of selected aliphatic alcohols by ebulliometry. Part 1. Fluid Phase Equilibria. 2010, 298, 192–198. [Google Scholar] [CrossRef]
- Shealy, G.S.; Sandler, S.I. Vapor-liquid equilibrium for four mixtures containing N,N-dimethylformamide. J Chem Eng Data. 1985, 30, 455–459. [Google Scholar] [CrossRef]
- Blanco, B.; Beltrán, S.; Cabezas, J.L.; Coca, J. Phase Equilibria of Binary Systems Formed by Hydrocarbons from Petroleum Fractions and the Solvents N-Methylpyrrolidone and N,N-Dimethylformamide. 1. Isobaric Vapor−Liquid Equilibria. J Chem Eng Data. 1997, 42, 938–942. [Google Scholar] [CrossRef]
- Wang, C.; Li, H.; Zhu, L.; Han, S. Isothermal and isobaric vapor + liquid equilibria of N,N-dimethylformamide + n-propanol + n-butanol. Fluid Phase Equilibria. 2001, 189, 119–127. [Google Scholar] [CrossRef]
- Muñoz, R.; Montón, J.B.; Burguet, M.C.; de la Torre, J. Phase equilibria in the systems isobutyl alcohol+N,N-dimethylformamide, isobutyl acetate+N,N-dimethylformamide and isobutyl alcohol+isobutyl acetate+N,N-dimethylformamide at 101.3;kPa. Fluid Phase Equilibria 2005, 232, 62–69. [Google Scholar] [CrossRef]
- Ushakov, V.S.; Sedov, S.M.; Knyazev, B.A.; Kuchkaev, B.I. The thermodynamic properties of N-methylformamide. Zh Fiz Khim. 1996, 70, 1573–1577. [Google Scholar]
- Zielkiewicz J (Vapour+liquid) equilibria in (N-methylformamide+methanol+water) at the temperature 31315, K. J Chem Thermodyn. 1996, 28, 887–894. [CrossRef]
- Zielkiewicz J (Vapour + liquid) equilibria in (N-methylformamide + ethanol + water) at the temperature 31315, K. J Chem Eng Data. 1997, 29, 229–237. [CrossRef]
- Zielkiewicz, J. Excess Molar Volumes and Excess Gibbs Energies in N-Methylformamide + Water, or + Methanol, or + Ethanol at the Temperature 303. 15 K. J Chem Eng Data. 1998, 43, 650–652. [Google Scholar] [CrossRef]
- Harris, R.A.; Wittig, R.; Gmehling, J.; Letcher, T.M.; Ramjugernath, D.; Raal, J.D. Vapor−Liquid Equilibria for Four Binary Systems at 363. 15 K: N-Methylformamide + Hexane, + Benzene, + Chlorobenzene, and + Acetonitrile. J Chem Eng Data. 2003, 48, 341–343. [Google Scholar] [CrossRef]
- Chen, W.-K.; Lee, K.-J.; Chang, C.-M.J.; Ko, J.-W.; Lee, L.-S. Vapor-liquid equilibria and density measurement for binary mixtures of o-xylene+NMF, m-xylene+NMF and p-xylene+NMF at 333. 15 K, 343.15 K and 353.15 K from 0 kPa to 101.3 kPa. Fluid Phase Equilib. 2010, 291, 40–47. [Google Scholar] [CrossRef]
- Li, R.; Meng, X.; Liu, X.; Gao, J.; Xu, D.; Wang, Y. Separation of azeotropic mixture (2, 2, 3, 3-Tetrafluoro-1-propanol + water) by extractive distillation: Entrainers selection and vapour-liquid equilibrium measurements. J Chem Thermodyn. 2019, 138, 205–210. [Google Scholar] [CrossRef]
- Ivanova, T.M.; Geller, B.E. Properties of the Dimethylformamide-Water System. 2. Vapor Density and Osmotic Pressure of the Aqueous Solutions. Zh Fiz Khim. 1961, 35, 1221–1229. [Google Scholar]
- Gopal, R.; Rizvi, S.A. Vapour Pressures of some Mono- and Di-Alkyl Substituted Aliphatic Amides at Different Temperatures. J Ind Chem Soc. 1968, 45, 13–16. [Google Scholar]
- Quitzsch, K.; Strittmatter, D.; Geiseler, G. Studien zur Thermodynamik binärer Flüssigkeitsgemische mit homologen Formamiden VIII. Die binären Systeme R-Heptan(l)/Dimethylformamid(2) und n-Heptan(l)/Diäthylformamid(2). Zeitschrift für Physikalische Chemie. 1969, 240, 107–126. [Google Scholar] [CrossRef]
- Myasnikova, L.F.; Shmelev, V.A.; Vaisman, I.L.; Bushinskii, V.I.; Novokhatka, D.A. Temperature dependence of the vapor-pressure of dimethylformamide and its aqueous solutions. Zh Prikl Khim (Leningrad). 1974, 47, 2604–2606. [Google Scholar]
- Bludilina, V.I.; Baev, A.K.; Matveev, V.K.; Gaidym, I.L.; Shcherbina, E.I. Thermodynamic study of the evaporation of dimethylformamide, N-methylpyrrolidone and tetrahydrofurfuryl alcohol. Zh Fiz Khim. 1979, 53, 1052–1053. [Google Scholar]
- Agarwal, R.S.; Bapat, S.L. Solubility characteristics of R22-DMF refrigerant-absorbent combination. Int J Refrig. 1985, 8, 70–74. [Google Scholar] [CrossRef]
- Wilding, W.V.; Wilson, L.C.; Wilson, G.M. Vapor liquid equilibrium measurements on five binary mixtures. Fluid Phase Equilibria. 1987, 36, 67–90. [Google Scholar] [CrossRef]
- Polishchuk, A.P.; Luk’yanchikova, I.A.; Sergeev, E.N.; Rumyantsev, E.M. Thermodynamic study of the dimethylformamide-ethylene glycol monobutyl ether-ammonium nitrate system. Izv Vyssh Uchebn Zaved, Khim Khim Tekhnol. 1988, 31, 48–52. [Google Scholar]
- Marzal, P.; Gabaldon, C.; Seco, A.; Monton, J.B. Isobaric Vapor-Liquid Equilibria of 1-Butanol + N,N-Dimethylformamide and 1-Pentanol + N,N-Dimethylformamide Systems at 50.00 and 100.00 kPa. J Chem Eng Data. 1995, 40, 589–592. [Google Scholar] [CrossRef]
- Cui, X.; Chen, G.; Han, X. Experimental Vapor Pressure Data and a Vapor Pressure Equation for N,N-Dimethylformamide. J Chem Eng Data. 2006, 51, 1860–1861. [Google Scholar] [CrossRef]
- Messow, U.; Quitzsch, K.; Seyffert, U.; Geiseler, G. Studies on Thermodynamics of Binary-Liquid Mixtures with Homolog Formamides .10. Binary-Systems Benzene(1) and N-Methylformamide(2), Tetrachloromethane(1) and N-Methylformamide(2), Cyclohexane(1) and N-Methylformamide(2), and Heptane(1) and N-Methylformamide(2). Z Phys Chem-Leipzig. 1974, 255, 947–968. [Google Scholar]
- Barone, G.; Della Gatta, G.; Elia, V. Direct Determination of Enthalpies of Vaporization of Liquid Compounds by a Miniaturized Effusion Cell Adapted to a Commercial Microcalorimeter. J Therm Anal. 1984, 29, 763–772. [Google Scholar] [CrossRef]
- Majer, V.; Svoboda, V. International Union of Pure and Applied Chemistry Chemical Data Series; No. 32: Enthalpies of Vaporization of Organic Compounds; Blackwell Scientific: Oxford, UK, 1985. [Google Scholar]
- Herrig, S.; Thol, M.; Harvey, A.H.; Lemmon, E.W. A Reference Equation of State for Heavy Water. J Phys Chem Ref Data 2018, 47. [Google Scholar] [CrossRef]
- Acree, W.; Chickos, J.S. Phase Transition Enthalpy Measurements of Organic and Organometallic Compounds. Sublimation, Vaporization and Fusion Enthalpies From 1880 to 2015. Part 1. C1− C10. J Phys Chem Ref Data 2016, 45. [Google Scholar] [CrossRef]
- Panneerselvam, K.; Antony, M.P.; Srinivasan, T.G.; Vasudeva Rao, P.R. Enthalpies of vaporization of N,N-dialkyl monamides at 298.15 K. Thermochimica Acta. 2009, 495, 1–4. [Google Scholar] [CrossRef]
- Koutek, B.; Mahnel, T.; Řehák, K.; Pokorný, V.; Fulem, M.; Růžička, K. Regression against Temperature of Gas–Liquid Chromatography Retention Factors. Van’t Hoff Analysis. J Chem Eng Data. 2020, 65, 3109–3120. [Google Scholar] [CrossRef]
- Koutek B, Pokorný V, Mahnel T, Štejfa V, Řehák K, Fulem M et al. Estimating Vapor Pressure Data from Gas–Liquid Chromatography Retention Times: Analysis of Multiple Reference Approaches, Review of Prior Applications, and Outlook. J Chem Eng Data. 2022, 67, 2017–2043. [CrossRef]
- de Visser C, Somsen G. Molar Heat Capacities of Binary Mixtures of Water and Some Amides at 298.15 K. Z Phys Chem Neue Folge 1974, 92, 159–162. [CrossRef]
- Bonner, O.D.; Cerutti, P.J. The partial molar heat capacities of some solutes in water and deuterium oxide. J Chem Thermodyn. 1976, 8, 105–112. [Google Scholar] [CrossRef]
- de Visser C, Pel P, Somsen G. Volumes and heat capacities of water andN-methylformamide in mixtures of these solvents. J Sol Chem. 1977, 6, 571–580. [CrossRef]
- Kolker, A.M.; Kulikov, M.V.; Krestov, A.G. Volumes and heat capacities of binary non-aqueous mixtures. Part 1. The systems acetonitrile—formamide and acetonitrile—N-methylformamide. Thermochimica Acta. 1992, 211, 61–72. [Google Scholar] [CrossRef]
- Sharma, V.K.; Dua, R. Topological and thermodynamic investigations of mixtures containing o-chlorotoluene and lower amides. J Chem Thermodyn. 2014, 71, 182–195. [Google Scholar] [CrossRef]
- Sharma, V.K.; Dua, R.; Sharma, D. Topological Investigations of Excess Heat Capacities of Binary and Ternary Liquid Mixtures Containing o-Chlorotoluene, Amides and Cyclohexane at 298.15, 303.15 and 308.15 K. J Sol Chem. 2015, 44, 1452–1478. [Google Scholar] [CrossRef]
- Kolker, A.M.; Kulikov, M.V.; Krestov, A.G. Volumes and heat capacities of binary non-aqueous mixtures. Part 2. The systems acetonitrile-N,N-dimethylformamide and acetonitrile-hexamethylphosphoric triamide. Thermochimica Acta. 1992, 211, 73–84. [Google Scholar] [CrossRef]
- Vittal Prasad, T.E.; Rajiah, A.; Prasad, D.H.L. Heat Capacity of Toluene + Dimethyl Formamide Mixtures. Phys Chem Liq. 1994, 27, 215–218. [Google Scholar] [CrossRef]
- Checoni, R.F.; Volpe, P.L.O. Measurements of the Molar Heat Capacities and Excess Molar Heat Capacities for Water + Organic Solvents Mixtures at 288.15 K to 303.15 K and Atmospheric Pressure. J Sol Chem. 2010, 39, 259–276. [Google Scholar] [CrossRef]
- Shokouhi, M.; Jalili, A.H.; Hosseini-Jenab, M.; Vahidi, M. Thermo-physical properties of aqueous solutions of N,N-dimethylformamide. J Mol Liq. 2013, 186, 142–146. [Google Scholar] [CrossRef]
- Tyczyńska, M.; Jóźwiak, M.; Komudzińska, M.; Majak, T. Effect of temperature and composition on the volumetric, acoustic and thermal properties of N,N-dimethylformamide + propan-1-ol mixture. J Mol Liq. 2019, 290, 111124. [Google Scholar] [CrossRef]
- Komudzińska, M.; Tyczyńska, M.; Jóźwiak, M.; Burakowski, A.; Gliński, J. Volumetric, acoustic and thermal properties of aqueous N,N-dimethylformamide system. Effect of temperature and composition. J Mol Liq. 2020, 300, 112321. [Google Scholar] [CrossRef]
- Tyczynska, M.; Dentkiewicz, A.; Jozwiak, M. Thermodynamic and Thermal Analyze of N,N-Dimethylformamide + 1-Butanol Mixture Properties Based on Density, Sound Velocity and Heat Capacity Data. Molecules 2023, 28. [Google Scholar] [CrossRef]
- Popov, E.M.; Zheltova, V.N.; Kogan, G.A. Vibrational spectra and force fields of the simplest amides. Zh Strukt Khim. 1970, 11, 1053–1060. [Google Scholar] [CrossRef]
- Shin S, Kurawaki A, Hamada Y, Shinya K, Ohno K, Tohara A et al. Conformational behavior of N-methylformamide in the gas, matrix, and solution states as revealed by IR and NMR spectroscopic measurements and by theoretical calculations. J Mol Struct. 2006, 791, 30–40. [CrossRef]
- Frenkel, M.L. Thermodynamics of organic compounds in the gas state. TRC data series. College Station, Tex.: Thermodynamics Research Center College Station, Tex.; 1994.
- Suzuki, I. Infrared Spectra and Normal Vibrations of N-Methylformamides HCONHCH-3, HCONDCH-3, DCONDCH-3, AND DCONDCH-3. Bull Chem Soc Jpn. 1962, 35, 540–551. [Google Scholar] [CrossRef]
- Glushko, A.S.; Kabo, G.Y.; Frenkel, M.L. Thermodynamic properties of amides Zh Prikl Khim (Leningrad). 1985, 587, 447–450. [Google Scholar]
- Jao, T.C.; Scott, I.; Steele, D. The Vibrational-Spectra of Amides - Dimethyl Formamide. J Mol Spectrosc. 1982, 92, 1–17. [Google Scholar] [CrossRef]
- Růžička, K.; Majer, V. Simple and controlled extrapolation of vapor pressures toward the triple point. AIChE Journal. 1996, 42, 1723–1740. [Google Scholar] [CrossRef]
- Tsonopoulos, C. Empirical correlation of second virial coefficients. AIChE J. 1974, 20, 263–272. [Google Scholar] [CrossRef]
- Wilson LC, Jasperson LV, VonNiederhausern D, Giles NF, Ihmels C. DIPPR Project 851 – Thirty Years of Vapor–Liquid Critical Point Measurements and Experimental Technique Development. J Chem Eng Data. 2018, 63, 3408–3417. [CrossRef]
- Kessler, M.; Povarov, J.M.; Gorbanev, A.I. Dipole moment of N-Methylformamid. Chem Zentralblatt. 1967, 138, 445–488. [Google Scholar] [CrossRef]
- McClellan, A.L. Tables of experimental dipole moments. Volume 2. El Cerrito, CF: Rahara Enterprises; 1974.
- Meija J, Coplen TB, Berglund M, Brand WA, Bièvre PD, Gröning M et al. Atomic weights of the elements 2013 (IUPAC Technical Report). Pur Appl Chem. 2016, 88, 265–291. [CrossRef]
- Newell DB, Cabiati F, Fischer J, Fujii K, Karshenboim SG, Margolis HS et al. The CODATA 2017 values of h, e, k, and NA for the revision of the SI. Metrologia. 2018, 55, L13–L6. [CrossRef]
- Štejfa, V.; Vojtíšková, O.; Pokorný, V.; Rohlíček, J.; Růžička, K.; Fulem, M. Heat capacities of active pharmaceutical ingredients nifedipine, griseofulvin, probucol, and 5,5-diphenylhydantoin. J Therm Anal Calorimetry. 2024, submitted.
- Höhne, G.W.H.; Flammersheim, H.-J.; Hemminger, W. Differential scanning calorimetry; Springer: Berlin, 2003. [Google Scholar]
- Irikura, K.K.; Frurip, D.J. Computational thermochemistry: prediction and estimation of molecular thermodynamics; American Chemical Society: Washington, DC, USA, 1998. [Google Scholar]
- East, A.L.L.; Radom, L. Ab initio statistical thermodynamical models for the computation of third-law entropies. J Chem Phys. 1997, 106, 6655–6674. [Google Scholar] [CrossRef]
- Pfaendtner, J.; Yu, X.; Broadbelt, L.J. The 1-D hindered rotor approximation. Theor Chem Acc. 2007, 118, 881–898. [Google Scholar] [CrossRef]
- Štejfa, V.; Fulem, M.; Růžička, K. First-principles calculation of ideal-gas thermodynamic properties of long-chain molecules by R1SM approach—Application to n-alkanes. J Chem Phys. 2019, 150. [Google Scholar] [CrossRef] [PubMed]
- Frisch MJ, Trucks GW, Schlegel HB, Scuseria GE, Robb MA, Cheeseman JR et al. Gaussian 16 Revision B.01. Wallingford, CT: Gaussian, Inc.; 2016.
- Grimme, S.; Antony, J.; Ehrlich, S.; Krieg, H. A consistent and accurate ab initio parametrization of density functional dispersion correction (DFT-D) for the 94 elements H-Pu. J Chem Phys. 2010, 132, 154104. [Google Scholar] [CrossRef] [PubMed]
- Becke, A.D. Density-functional thermochemistry. III. The role of exact exchange. J Chem Phys. 1993, 98, 5648–5652. [Google Scholar] [CrossRef]
- Červinka, C.; Fulem, M.; Růžička, K. Evaluation of Accuracy of Ideal-Gas Heat Capacity and Entropy Calculations by Density Functional Theory (DFT) for Rigid Molecules. Journal of Chemical and Engineering Data. 2012, 57, 227–232. [Google Scholar] [CrossRef]
- Červinka, C.; Fulem, M.; Růžička, K. Evaluation of Uncertainty of Ideal-Gas Entropy and Heat Capacity Calculations by Density Functional Theory (DFT) for Molecules Containing Symmetrical Internal Rotors. Journal of Chemical & Engineering Data. 2013, 58, 1382–1390. [Google Scholar] [CrossRef]
- Pitzer, K.S.; Gwinn, W.D. Energy Levels and Thermodynamic Functions for Molecules with Internal Rotation I. Rigid Frame with Attached Tops. J Chem Phys. 1942, 10, 428–440. [Google Scholar] [CrossRef]
- Marston, C.C.; Balintkurti, G.G. The Fourier Grid Hamiltonian Method for Bound-State Eigenvalues and Eigenfunctions. J Chem Phys. 1989, 91, 3571–3576. [Google Scholar] [CrossRef]
- Červinka, C.; Fulem, M.; Štejfa, V.; Růžička, K. Analysis of Uncertainty in the Calculation of Ideal-Gas Thermodynamic Properties Using the One-Dimensional Hindered Rotor (1-DHR) Model. Journal of Chemical & Engineering Data. 2017, 62, 445–455. [Google Scholar] [CrossRef]
- King, M.B.; Al-Najjar, H. Method for correlating and extending vapor pressure data to lower temperatures using thermal data. Vapor pressure equations for some n-alkanes at temperatures below the normal boiling point. Chem Eng Sci. 1974, 29, 1003–1011. [Google Scholar] [CrossRef]
- Pokorný, V.; Štejfa, V.; Klajmon, M.; Fulem, M.; Růžička, K. Vapor Pressures and Thermophysical Properties of 1-Heptanol, 1-Octanol, 1-Nonanol, and 1-Decanol: Data Reconciliation and PC-SAFT Modeling. J Chem Eng Data. 2021, 66, 805–821. [Google Scholar] [CrossRef]
- Mahnel, T.; Štejfa, V.; Maryška, M.; Fulem, M.; Růžička, K. Reconciled thermophysical data for anthracene. J Chem Thermodyn. 2019, 129, 61–72. [Google Scholar] [CrossRef]
- Cox, E.R. Hydrocarbon vapor pressures. Ind, Eng Chem 1936, 28, 613–616. [Google Scholar] [CrossRef]

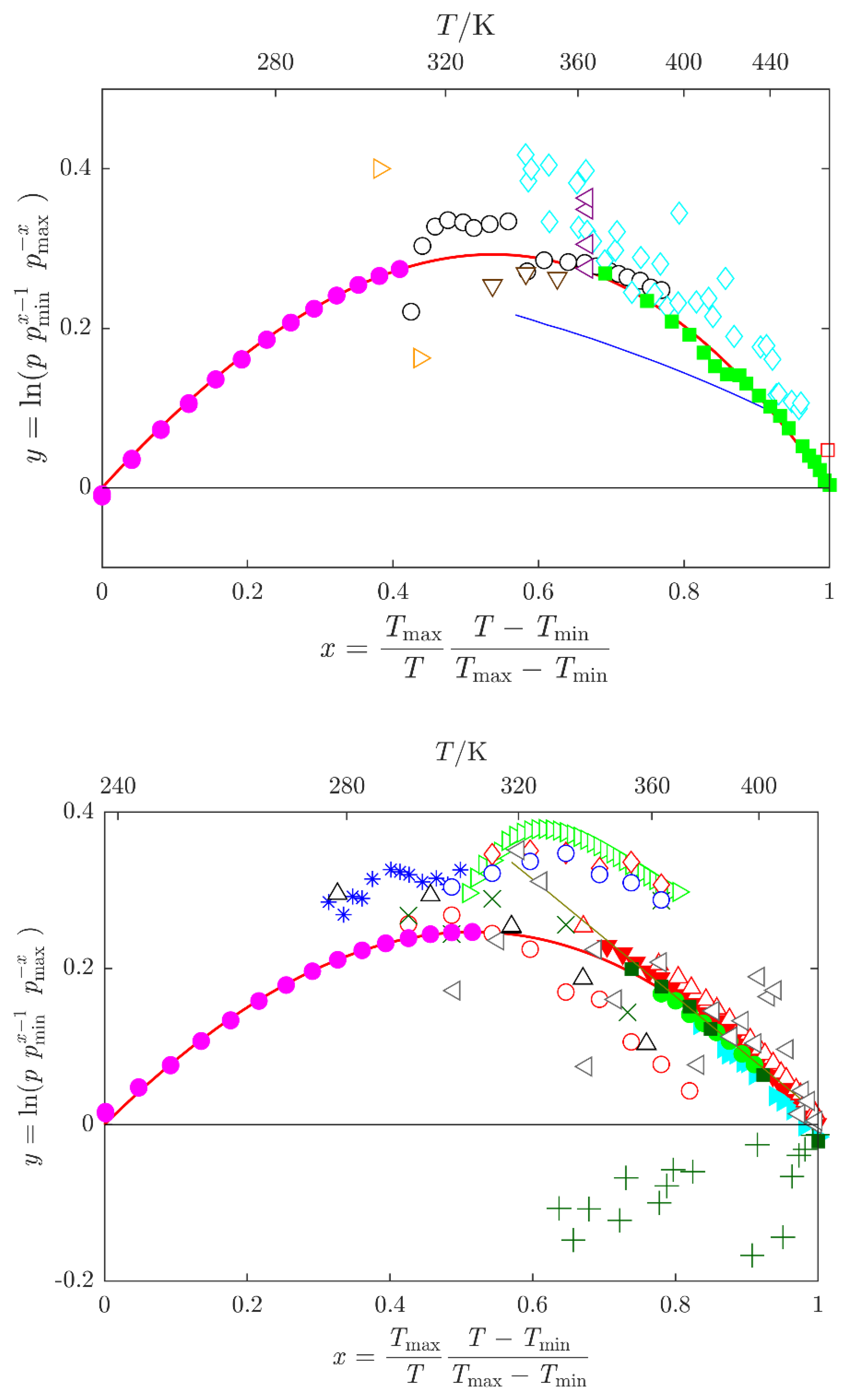
; this work; green
, Heinrich et al. [13]; green
; Shealy and Sandler [27]; cyan
, Blanco et al. [28]; dark green
, Wang et al. [29]; red
, Muñoz et al. [30];Other datasets: cyan
, Kortüm and Biedersee [23]; black
, blue
, Ushakov et al. [31]; orange
, Zielkiewicz [32,33,34]; violet
, Harris et al. [35]; brown
, Chen et al. [36]; red
, Li et al. [37]; grey
, Ivanova and Geller [38]; blue
, Gopal et al. [39]; black
, Quitzsch et al.[40]; dark green
, Myasnikova et al. [41] (partially displayed); olive
, Bludilina et al. [42]; red
; Agarwal and Bapat [43]; olive
, Wilding et al. [44]; red
, Polishchuk et al. [45]; red
, Marzal et al. [46]; green
, Cui et al. [47]; blue
; Zaitseva et al. [17]; red
, data obtained by SimCor method.
; this work; green
, Heinrich et al. [13]; green
; Shealy and Sandler [27]; cyan
, Blanco et al. [28]; dark green
, Wang et al. [29]; red
, Muñoz et al. [30];Other datasets: cyan
, Kortüm and Biedersee [23]; black
, blue
, Ushakov et al. [31]; orange
, Zielkiewicz [32,33,34]; violet
, Harris et al. [35]; brown
, Chen et al. [36]; red
, Li et al. [37]; grey
, Ivanova and Geller [38]; blue
, Gopal et al. [39]; black
, Quitzsch et al.[40]; dark green
, Myasnikova et al. [41] (partially displayed); olive
, Bludilina et al. [42]; red
; Agarwal and Bapat [43]; olive
, Wilding et al. [44]; red
, Polishchuk et al. [45]; red
, Marzal et al. [46]; green
, Cui et al. [47]; blue
; Zaitseva et al. [17]; red
, data obtained by SimCor method.
, this work; red
, Sköld et al. [14] ; green
, Smirnova et al. [8]; Other data sets: black
, de Visser and Somsen [56] ; black
, Bonner and Cerutti [57] ; black
, de Visser et al. [58]; black
, Kolker et al. [59,62]; magenta
, Sharma and Dua [60,61]; blue
, Prasad et al. [63]; magenta
, Checoni and Volpe [64]; red
, Shokouhi et al. [65]; red
, Tyczyńska et al. [66,67]; blue
, Tyczyńska et al. [68].
, this work; red
, Sköld et al. [14] ; green
, Smirnova et al. [8]; Other data sets: black
, de Visser and Somsen [56] ; black
, Bonner and Cerutti [57] ; black
, de Visser et al. [58]; black
, Kolker et al. [59,62]; magenta
, Sharma and Dua [60,61]; blue
, Prasad et al. [63]; magenta
, Checoni and Volpe [64]; red
, Shokouhi et al. [65]; red
, Tyczyńska et al. [66,67]; blue
, Tyczyńska et al. [68].
, Heinrich et al. [13]; cyan
, Kortüm and Biedersee [23]; black
, blue
, Ushakov et al. [31]; orange
, Zielkiewicz [32,33,34]; violet
, Harris et al. [35]; brown
, Chen et al. [36]; red
, Li et al. [37]; magenta
; this work; grey
, Ivanova and Geller [38]; blue
, Gopal et al. [39]; black
, Quitzsch et al.[40]; dark green
, Myasnikova et al. [41] (partially displayed); olive
, Bludilina et al. [42]; red
; Agarwal and Bapat [43]; green
; Shealy and Sandler [27]; olive
, Wilding et al. [44]; red
, Polishchuk et al. [45]; red
, Marzal et al. [46]; cyan
, Blanco et al. [28]; dark green
, Wang et al. [29]; red
, Muñoz et al. [30]; green
, Cui et al. [47]; blue
; Zaitseva et al. [17];
, absolute deviations. Data sets represented by filled symbols were used in the SimCor method.
, Heinrich et al. [13]; cyan
, Kortüm and Biedersee [23]; black
, blue
, Ushakov et al. [31]; orange
, Zielkiewicz [32,33,34]; violet
, Harris et al. [35]; brown
, Chen et al. [36]; red
, Li et al. [37]; magenta
; this work; grey
, Ivanova and Geller [38]; blue
, Gopal et al. [39]; black
, Quitzsch et al.[40]; dark green
, Myasnikova et al. [41] (partially displayed); olive
, Bludilina et al. [42]; red
; Agarwal and Bapat [43]; green
; Shealy and Sandler [27]; olive
, Wilding et al. [44]; red
, Polishchuk et al. [45]; red
, Marzal et al. [46]; cyan
, Blanco et al. [28]; dark green
, Wang et al. [29]; red
, Muñoz et al. [30]; green
, Cui et al. [47]; blue
; Zaitseva et al. [17];
, absolute deviations. Data sets represented by filled symbols were used in the SimCor method.

| T / K | pb/ Pa | T / K | pb / Pa | T / K | pb / Pa |
| N-methylformamide | |||||
| 248.35 | 0.323 | 268.22 | 2.685 | 288.19 | 16.21 |
| 248.35 | 0.322 | 268.22 | 2.684 | 293.18 | 24.36 |
| 248.35 | 0.322 | 273.21 | 4.321 | 293.18 | 24.36 |
| 253.26 | 0.566 | 273.21 | 4.319 | 293.18 | 24.36 |
| 253.26 | 0.565 | 273.22 | 4.322 | 298.17 | 36.02 |
| 253.26 | 0.566 | 278.21 | 6.844 | 298.17 | 36.02 |
| 258.25 | 0.973 | 278.21 | 6.841 | 298.17 | 36.02 |
| 258.25 | 0.973 | 278.21 | 6.844 | 303.15 | 52.44 |
| 258.25 | 0.972 | 283.20 | 10.63 | 303.15 | 52.45 |
| 263.24 | 1.634 | 283.20 | 10.63 | 303.15 | 52.44 |
| 263.24 | 1.632 | 283.20 | 10.63 | 308.14 | 75.34 |
| 263.24 | 1.634 | 288.19 | 16.21 | 308.14 | 75.33 |
| 268.22 | 2.684 | 288.19 | 16.21 | 308.15 | 75.38 |
| N,N-dimethylformamidee | |||||
| 238.15 | 3.847 | 263.15 | 39.95 | 288.15 | 264.71 |
| 238.16 | 3.844 | 263.15 | 39.96 | 288.15 | 264.77 |
| 238.16 | 3.841 | 263.15 | 39.96 | 288.15 | 264.85 |
| 243.15 | 6.390 | 268.15 | 60.26 | 293.15 | 369.48 |
| 243.16 | 6.389 | 268.15 | 60.27 | 293.15 | 369.48 |
| 243.16 | 6.392 | 268.15 | 60.26 | 293.16 | 369.49 |
| 248.15 | 10.37 | 273.15 | 89.36 | 298.15 | 508.91 |
| 248.15 | 10.38 | 273.15 | 89.37 | 298.15 | 508.93 |
| 248.15 | 10.38 | 273.15 | 89.37 | 298.15 | 508.74 |
| 253.15 | 16.60 | 278.15 | 130.35 | 303.15 | 691.81 |
| 253.15 | 16.59 | 278.15 | 130.33 | 303.15 | 691.79 |
| 253.15 | 16.59 | 278.15 | 130.35 | 303.15 | 691.83 |
| 258.15 | 25.97 | 283.15 | 187.19 | 308.15 | 930.12 |
| 258.15 | 25.99 | 283.15 | 187.2 | 308.15 | 929.99 |
| 258.15 | 25.98 | 283.15 | 187.17 | 308.16 | 929.99 |
| Year | Reference a | N b | (Tmin – Tmax) / K | (pmin – pmax) / Pa | Method |
| N-methylformamide | |||||
| 1961 | Heinrich et al. [13] | 19 | 370-472 | 2653-100405 | Ebulliometry |
| 1970 | Kortüm and Biedersee [23] | 33 | 343-456 | 773-101000 | Ebulliometry |
| 1974 | Messow et al. [48] | 19 | 311-391 | 89-6920 | Isoteniscope |
| 1996 | Ushakov et al. [31] | Sc | 340-440 | 532-39312 | Static |
| 1996-8 | Zielkiewicz [32,33,34] | 3 | 303,313 | 60,95 | Static |
| 2003 | Harris et al. [35] | 4 | 363 | 1950-2130 | Static |
| 2010 | Chen et al. [36] | 3 | 333-353 | 370-1150 | Static/dynamic |
| 2019 | Li et al. [37] | 1 | 471 | 101325 | Ebulliometry |
| 2024 | This work | 39 | 248-308 | 0.3-75 | Static |
| N,N-dimethylformamided | |||||
| 1961 | Ivanova and Geller [38] | 22 | 304-425 | 666-101325 | Ramsay Young |
| 1968 | Gopal et al. [39] | 7 | 303-363 | 733-14532 | Static |
| 1969 | Quitzsch et al.[40] | 5 | 278-358 | 141-9775 | Isoteniscope |
| 1974 | Myasnikova et al. [41] | 17 | 331-426 | 2266-101325 | Ebulliometry |
| 1979 | Bludilina et al. [42] | Sc | 318-423 | 1784-95906 | Static. |
| 1985 | Agarwal and Bapat [43] | 6 | 313-353 | 1366-14818 | Static |
| 1985 | Shealy and Sandler [27]e | 8 | 363-398 | 11900-44740 | Ebulliometry |
| 1987 | Wilding et al. [44] | 6 | 293-363 | 380-14520 | Static. |
| 1988 | Polishchuk et al. [45] | 9 | 293-373 | 376-17091 | Static |
| 1995 | Marzal et al. [46] | 20 | 338-425 | 4600-100780 | Ebulliometry |
| 1997 | Blanco et al. [28] | 13 | 376-426 | 21400-101310 | Ebulliometry |
| 2001 | Wang et al. [29] | 6 | 353-426 | 8660-101300 | Ebulliometry |
| 2005 | Muñoz et al. [30] | 26 | 346-426 | 6300-101200 | Ebulliometry |
| 2006 | Cui et al. [47] | 32 | 307-369 | 922-18806 | Static |
| 2019 | Zaitseva et al. [17] | 12 | 276-305 | 123-847 | Gas saturation |
| 2024 | This work | 45 | 238-308 | 4-930 | Static |
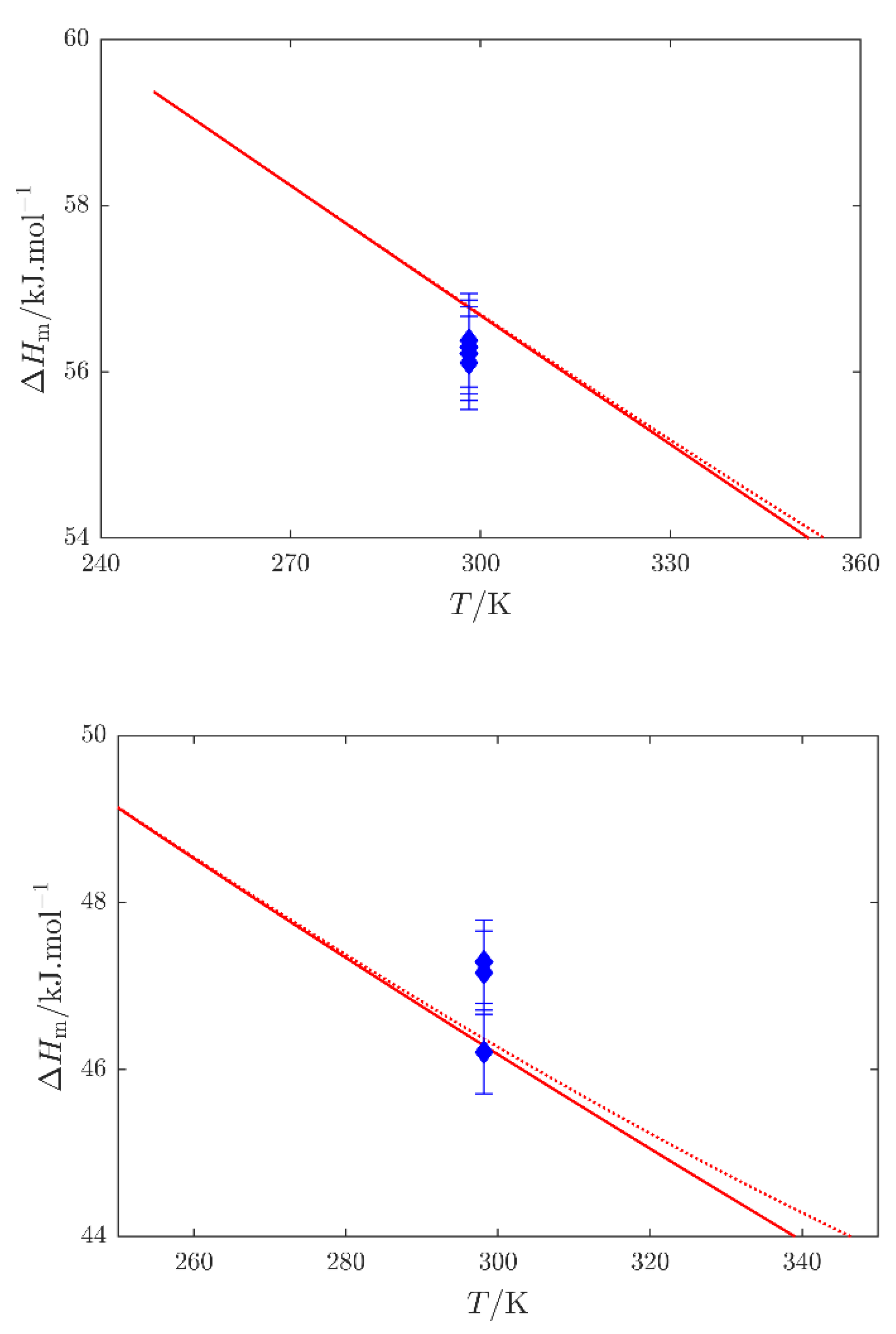
| Compound | N-methylformamide | N,N-dimethylformamide | N,N-dimethylformamide |
| Literature | Barone et al. [16] | Barone et al. [16] | Panneerselvam et al. [53] |
| Method | Calorimetry | Calorimetry | GLC |
| psat /kPa | 0.036 | 0.509 | 0.509 |
| exp. | 56.38 | 47.16 | 47.45 |
| 56.11 | 47.29 | 46.31 | |
| 56.22 | 46.21 | 46.80 | |
| 56.30 | 46.56 | ||
| 46.60 | |||
| avg. | 56.25 ±0.12 | 46.89 ±0.59 | 46.65 ±0.45 |
| Mean rel. dev. | ±0.20% | ±1.26% | ±0.97% |
| Year | Reference a | Nb | (Tmin-Tmax)/K | 100ur()c | Method |
| N-methylformamide | |||||
| 1974 | de Visser and Somsen [56] | 1 | 298.15 | 0.7 J/mol/K | Isoperibol |
| 1976 | Bonner and Cerutti [57] | 1 | 298.15 | 1.0 | Isoperibol |
| 1976 | Sköld et al. [14] | 1 | 298.15 | 0.2 J/mol/K | Drop |
| 1977 | de Visser et al. [58] | 1 | 298.15 | 1.0 | Isoperibol |
| 1992 | Kolker et al. [59] | 4 | 283-328 | 0.05 | “Adiabatic”d |
| 2014 | Sharma and Dua [60,61] | 3 | 298-308 | 0.3 | Tian Calvet |
| 2024 | This work | 11 | 250-300 | 0.6 | Tian-Calvete |
| N,N-dimethylformamidee | |||||
| 1974 | de Visser and Somsen [56] | 1 | 298.15 | 0.3 J/mol/K | Isoperibol |
| 1976 | Bonner and Cerutti [57] | 1 | 298.15 | 1.0 | Isoperibol |
| 1992 | Kolker et al. [62] | 6 | 283-323 | 0.05 | “Adiabatic”d |
| 1994 | Prasad et al. [63] | 4 | 293-323 | nosp | DTA |
| 2007 | Smirnova et al. [8] | 57 | 216-302 | 0.3 | Adiabatic |
| 2010 | Checoni and Volpe [64] | 4 | 288-303 | nosp | solution |
| 2013 | Shokouhi et al. [65] | 6 | 303-353 | 0.2 | Hot wire |
| 2014 | Sharma and Dua [60,61] | 3 | 298-308 | 0.3 | Tian Calvet |
| 2019 | Tyczyńska et al. [66,67] | 6 | 293-318 | 0.2 | Tian-Calvet |
| 2023 | Tyczyńska et al. [68] | 6 | 293-318 | 0.2 | Tian-Calvet |
| T / K | / J·K−1·mol−1 | T / K | / J·K−1·mol−1 | T / K | / J·K−1·mol−1 |
| 250.0 | 115.9 | 270.0 | 119.0 | 290.0 | 122.8 |
| 255.0 | 116.5 | 275.0 | 120.0 | 295.0 | 123.6 |
| 260.0 | 117.2 | 280.0 | 120.9 | 300.0 | 124.4 |
| 265.0 | 118.0 | 285.0 | 121.9 |
| N-Methylformamide | N,N-Dimethylformamide | |||||||
| T/K | − | − | ||||||
| 100 | 42.5 | 234.6 | 38.6 | 196.0 | 53.6 | 242.7 | 40.4 | 202.3 |
| 150 | 49.2 | 253.0 | 40.9 | 212.2 | 65.4 | 266.8 | 46.9 | 219.9 |
| 200 | 56.3 | 268.1 | 43.5 | 224.6 | 74.5 | 286.9 | 52.7 | 234.2 |
| 210 | 57.8 | 270.9 | 44.1 | 226.8 | 76.2 | 290.5 | 53.8 | 236.8 |
| 220 | 59.3 | 273.6 | 44.7 | 229.0 | 77.9 | 294.1 | 54.8 | 239.3 |
| 230 | 60.8 | 276.3 | 45.2 | 231.1 | 79.6 | 297.6 | 55.8 | 241.8 |
| 240 | 62.4 | 278.9 | 45.8 | 233.1 | 81.3 | 301.0 | 56.9 | 244.2 |
| 250 | 63.9 | 281.5 | 46.4 | 235.1 | 83.1 | 304.4 | 57.9 | 246.5 |
| 250 | 63.9 | 281.5 | 46.4 | 235.1 | 83.1 | 304.4 | 57.9 | 246.5 |
| 260 | 65.5 | 284.0 | 47.0 | 237.0 | 84.8 | 307.7 | 58.9 | 248.8 |
| 270 | 67.1 | 286.5 | 47.6 | 238.9 | 86.7 | 310.9 | 59.9 | 251.1 |
| 273.15 | 67.6 | 287.2 | 47.8 | 239.4 | 87.2 | 311.9 | 60.2 | 251.7 |
| 280 | 68.7 | 289.0 | 48.2 | 240.7 | 88.5 | 314.1 | 60.9 | 253.2 |
| 290 | 70.3 | 291.4 | 48.9 | 242.5 | 90.4 | 317.3 | 61.9 | 255.4 |
| 298.15 | 71.6 | 293.3 | 49.4 | 243.9 | 91.9 | 319.7 | 62.6 | 257.1 |
| 300 | 71.9 | 293.8 | 49.5 | 244.3 | 92.3 | 320.4 | 62.8 | 257.5 |
| 310 | 73.5 | 296.2 | 50.2 | 246.0 | 94.2 | 323.4 | 63.8 | 259.6 |
| 320 | 75.1 | 298.5 | 50.8 | 247.7 | 96.2 | 326.4 | 64.8 | 261.6 |
| 330 | 76.7 | 300.8 | 51.5 | 249.4 | 98.2 | 329.4 | 65.8 | 263.6 |
| 340 | 78.4 | 303.2 | 52.1 | 251.0 | 100.2 | 332.4 | 66.8 | 265.6 |
| 350 | 80.0 | 305.4 | 52.8 | 252.6 | 102.2 | 335.3 | 67.8 | 267.6 |
| 360 | 81.6 | 307.7 | 53.5 | 254.2 | 104.2 | 338.2 | 68.7 | 269.5 |
| 370 | 83.2 | 310.0 | 54.2 | 255.8 | 106.2 | 341.1 | 69.7 | 271.4 |
| 380 | 84.7 | 312.2 | 54.9 | 257.3 | 108.3 | 344.0 | 70.7 | 273.3 |
| 390 | 86.3 | 314.4 | 55.6 | 258.8 | 110.3 | 346.8 | 71.7 | 275.1 |
| 400 | 87.9 | 316.6 | 56.3 | 260.3 | 112.3 | 349.6 | 72.7 | 276.9 |
| 500 | 102.4 | 337.8 | 63.5 | 274.3 | 131.9 | 376.8 | 82.6 | 294.2 |
| 600 | 115.0 | 357.5 | 70.6 | 286.9 | 149.6 | 402.5 | 92.3 | 310.1 |
| 700 | 125.8 | 376.0 | 77.4 | 298.6 | 165.0 | 426.7 | 101.6 | 325.1 |
| 800 | 135.0 | 393.4 | 83.8 | 309.6 | 178.3 | 449.6 | 110.4 | 339.2 |
| 900 | 142.9 | 409.8 | 89.8 | 320.0 | 189.8 | 471.3 | 118.6 | 352.7 |
| 1000 | 149.8 | 425.2 | 95.3 | 329.9 | 199.7 | 491.8 | 126.2 | 365.6 |
| Compound | A0 | A1·103 | A2·106 | Tref/K | pref/Paa | (Tmin-Tmax)/K | σp/Pab |
| N-Methylformamide | 2.8557046 ± 0.0012520 |
−1.0672816 ±0.0104324 |
0.79531683 ±0.02584536 |
472.3457 ±0.0903 |
100000 | 248 - 473 | 152 |
| N,N-Dimethylformamide | 2.8526857 ± 0.0009345 |
−1.5975105 ± 0.0083250 |
1.5729198 ±0.0203733 |
425.1013 ±0.0263 |
100000 | 215 - 427 | 441 |
| Compound | CAS number | Supplier | Prufication method | Mole fraction purity | Mass fraction water content |
| N-Methylformamide | 123-39-7 | Aldrich | Distillation, molecular sieves | 0.988a, 0.9990b | 30·10-6 d |
| N,N-Dimethylformamide | 68-12-2 | Aldrich | Vapor pressure measurements | 0.9999a; 1.0000b,c | 30·10-6 e |
Disclaimer/Publisher’s Note: The statements, opinions and data contained in all publications are solely those of the individual author(s) and contributor(s) and not of MDPI and/or the editor(s). MDPI and/or the editor(s) disclaim responsibility for any injury to people or property resulting from any ideas, methods, instructions or products referred to in the content. |
© 2024 by the authors. Licensee MDPI, Basel, Switzerland. This article is an open access article distributed under the terms and conditions of the Creative Commons Attribution (CC BY) license (http://creativecommons.org/licenses/by/4.0/).
