Submitted:
17 July 2024
Posted:
18 July 2024
Read the latest preprint version here
Abstract
Keywords:
1. Introduction
1.1. Brief Description of the Aims

1.2. State–of-the-Arts
- Last but not least, some legal information about drone flight and civil aviation can be found that should be considered during the study (see [21]).
2. Preliminary Studies
2.1. Studies About the Drone Energy Consumption

- practically: by direct measuring of the amps consumed by different parts of the drone.
- theoretically: with calculations of the energy consumptions of the parts.
- Hovering motion: Equilibrium conditions for hovering: mg=F1+ F2+ F3+ F4; and all moments = 0;
- 2.
- Rise/fall motion: Conditions for operations: mg < F1+ F2+ F3+ F4 = rise; mg > F1+ F2+ F3+ F4 = fall; and all moments = 0;
- 3.
- Yaw motion: conditions for hovering mg = F1+ F2+ F3+ F4 ; and all moments ≠ 0;
- 4.
- Pitch / Roll motion: conditions for hovering mg < F1+ F2+ F3+ F4 ; moments ≠ 0;
- aerodynamic forces: friction and drag of propellers rotating in air
- secondary aerodynamic effects: blade flapping, ground effect, local flow fields
- inertial counter torques: gravitation, acting at the center, affect the rotation of propellers.
- gyroscopic effect: change in the orientation of drone body and plane rotation of propellers
3. The Energy Evaluation

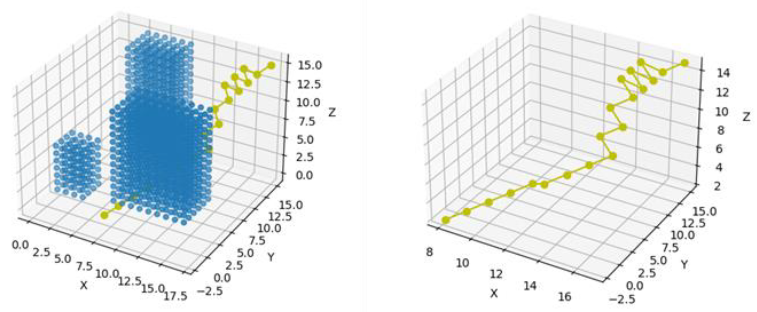
4. Environment Description and Work Space Partitioning
- keep the altitude of 120 [m]
- keep at least 30[m] away from other people
- keep the drone in line-of-sight
5. Creating the Polygonal Graph over the Work Space
5.1. The Weighting Mechanism of the Graph, Calculations of the Weights of Nodes and Edges
5.1.1. The Energy Demand Calculation of the Node

5.1.2. The Final Weighting Calculation of the Path
6. Possible Graph-Search Procedures, Surveying and Comparison the Effectivity of Different Optimal Path Planning Methods

7. Calculation the Resulting Velocity and Energy Demand of the Drone
,
and has to be considered, and added to the final calculation of the energy
demand of the node. 8. Completing the Algorithm and the Flowchart of the Process

9. Results and Analysis
10. Conclusions
. Author Contributions
Funding
Institutional Review Board Statement
Informed Consent Statement
Data Availability Statement
Acknowledgments
Conflicts of Interest
Appendix A


Appendix B



References
- Gušavac, B.A.; Martić, M.; Popović, M.; Savić, G. Agricultural Route Efficiencies, based on Data Envelopment Analysis (DEA). Acta Polytechnica Hungarica, Vol. 20, No. 10, (2023), pp. 73-88.
- Anatomy of A Drone - What's inside a DJI Phantom Drone, https://www.dronefly.com/the-anatomy-of-a-drone (accessed on 04. November 2022).
- Drone design – Calculations and Assumptions, https://tytorobotics.com, (accessed on 22 October 2022).
- Working Principle and Components of Drone, https://cfdflowengineering.com/working-principle-and-components-of-drone/ , (accessed on 22 October 2022).
- Working Principle and Components of Drone, https://cfdflowengineering.com/working-principle-and-components-of-drone/ , (accessed on 22 October 2022).
- Working Principle and Components of Drone, https://cfdflowengineering.com/working-principle-and-components-of-drone/ , (accessed on 22 October 2022).
- Pandya, G. Basics of Unmanned Aerial Vehicles, Publisher: Notion Press, CIT Colony, Mylapore, India, 2021, ISBN 978—1-63745-387-2.
- Abel J.P. Gomez; I. Voiculescu; J. Jorge; B. Wyvill; C. Galbraiht Spatial Partitioning Methods. In Implicit Curves and Surfaces: Mathematics, Data Structures and Algorithms, Publisher: Springer, London, 2009; pp. 187-225. [CrossRef]
- Sabry, F. Exploring Binary Space Partitioning: Foundations and Applications in Computer Vision. In Binary Space Partitioning, Publisher: One Billion Knowledgeable, 2024.
- Fabrice Jaillet, Claudio Lobos. Fast Quadtree/Octree adaptive meshing and re-meshing with linear mixed elements. In Engineering with Computers, ff10.1007/s00366-021-01330-wff. ffhal-03161623, 2021.
- MathWorks, octree - partitioning 3D points into spatial subvolumes, https://www.mathworks.com/matlabcentral/fileexchange/40732-octree-partitioning-3d-points-into-spatial-subvolumes, (accessed on 04. November 2022).
- MathWorks, exportOccupancyMap3D, https://www.mathworks.com/help/nav/ref/exportoccupancymap3d.html, (accessed on 04. November 2022).
- Sanches-Lopez, J. L.; Wang, M.; Olivares-Mendez, M.A.; Molina, M.; Voos, H. A Real-Time 3D Path Planning Solution for Collision-Free Navigation of Multirotor Aerial Robots in Dynamic Environments, Journal of Intelligent & Robotic Systems 2018, Vol. 93, pp. 33-53. [CrossRef]
- Lifen, L.; Ruoxin, B. S.; Shuandao, C. L.; Jiang, D.W. Path planning for UAVS Based on Improved Artificial Potential Field Method through Changing the Repulsive Potential Function; In Proceedings of the 2016 IEEE Chinese Guidance, Navigation and Control Conference, https:/doi.org/10.1109/CGNCC.2016.7829099, 2016, pp. 2011-2015. [CrossRef]
- Chen, X.; Zhang, J. The Three-dimension Path Planning of UAV Based on Improved Artificial Potential Field in Dynamic Environment; In Proceedings of the 2013 Fifth International Conference on Intelligent Human-Machine Systems and Cybernetics, 2013, pp. 144-147. [CrossRef]
- Boyu Zhou, Fei Gao, Jie Pan, and Shaojie S. Robust Real-time UAV Replanning Using Guided Gradient-based Optimization and Topological Paths; In Proceeding of the 2020 IEEE International Conference on Robotics and Automation (ICRA), Paris, France, 2020, pp. 1208-1214. [CrossRef]
- F. Samaniego, J. Sanchis, S. Garcia-Nieto, R. Simarro. Smooth 3D Path Planning by Means of Multiobjective Optimization for Fixed-Wing UAVs. MDPI, Electronics 2020, 9(1), 51. [CrossRef]
- Sanches-Lopez J.L., Wang M., Olivares-Mendez, Miguel A., Molina, Martin, Voos, Holger A Real-Time 3D Path Planning Solution for Collision-Free Navigation of Multirotor Aerial Robots in Dynamic Environments Journal of Intelligent & Robotic Systems, 2019. [CrossRef]
- Francis Colas, Srivatsa Mahesh, François Pomerleau, Ming Liu, Roland Siegwart. 3D path planning and execution for search and rescue ground robots. In IEEE/RSJ International Conference on Intelligent Robots and Systems (IROS), 2013, Tokyo, Japan. pp. 722–727. hal-01143103, 2015. [CrossRef]
- Ahmed G., Sheltami T., Mahmoud A., Yasar A. Energy-Efficient UAVs Coverage Path Planning Approach. CMES, 2023, vol.136, no.32022, pp. 3239-3263. [CrossRef]
- EASA. Drone Regulatory System, Understanding European Drone Regulations and the Aviation Regulatory System, EU and MS regulatory governance. https://www.easa.europa.eu/en/domains/drones-air-mobility/drones-air-mobility-landscape/Understanding-European-Drone-Regulations-and-the-Aviation-Regulatory-System (accessed on 16. jun 2024.).
- Thomas Kirschstein. Comparison of energy demands of drone-based and ground-based parcel delivery services. Elsevier, Transportation Research Part D Vol 78, (2020) 102209. [CrossRef]
- Çabuk, U.C.; Tosun, M.; Jacobsen, R.H.; Dagdeviren, O. A Holistic Energy Model for Drones. In 2020 28th Signal Processing and Communications Applications Conference (SIU), Gaziantep, Turkey, 2020, pp. 1-4. [CrossRef]
- Al-sudany, H.N.; Lantos, B. Extended Linear Regression and Interior Point Optimization for Identification of Model Parameters of Fixed Wing UAVs. Acta Polytechnica Hungarica, Vol. 21, No. 6, (2024), pp. 69-88.









Disclaimer/Publisher’s Note: The statements, opinions and data contained in all publications are solely those of the individual author(s) and contributor(s) and not of MDPI and/or the editor(s). MDPI and/or the editor(s) disclaim responsibility for any injury to people or property resulting from any ideas, methods, instructions or products referred to in the content. |
© 2024 by the authors. Licensee MDPI, Basel, Switzerland. This article is an open access article distributed under the terms and conditions of the Creative Commons Attribution (CC BY) license (http://creativecommons.org/licenses/by/4.0/).