Submitted:
15 July 2024
Posted:
16 July 2024
You are already at the latest version
Abstract
Keywords:
1. Introduction
2. Attenuation of Gamma-Ray Photons by Pair Production
3. Observational Constraints
4. Analysis Method
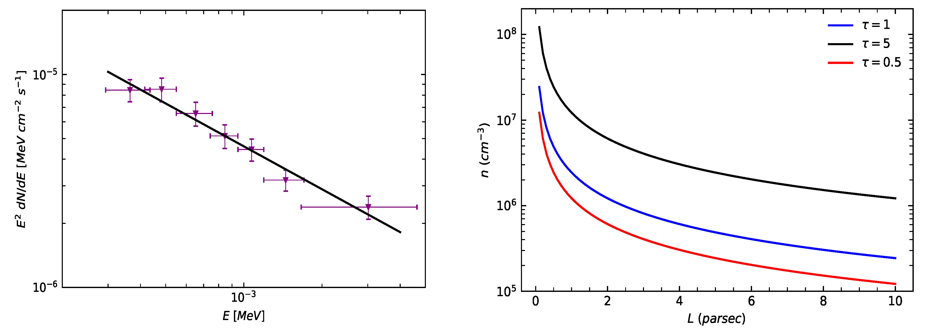
5. Results
6. Discussion and Conclusions
Author Contributions
Funding
Data Availability Statement
Acknowledgments
Conflicts of Interest
References
- Primack, J.R.; Bullock, J.S.; Somerville, R.S. Observational Gamma-ray Cosmology. In Proceedings of the High Energy Gamma-Ray Astronomy; Aharonian, F.A., Völk, H.J., Horns, D., Eds.; American Institute of Physics Conference Series; American Institute of Physics: College Park, MD, USA, 2005; Volume 745, pp. 23–33. [Google Scholar] [CrossRef]
- Dwek, E.; Krennrich, F. The extragalactic background light and the gamma-ray opacity of the Universe. Astropart. Phys. 2013, 43, 112–133. [Google Scholar] [CrossRef]
- Lauer, T.R.; Postman, M.; Spencer, J.R.; Weaver, H.A.; Stern, S.A.; Gladstone, G.R.; Binzel, R.P.; Britt, D.T.; Buie, M.W.; Buratti, B.J.; et al. Anomalous Flux in the Cosmic Optical Background Detected with New Horizons Observations. Astrophys. J. Lett. 2022, 927, L8. [Google Scholar] [CrossRef]
- Hauser, M.G.; Dwek, E. The Cosmic Infrared Background: Measurements and Implications. ARA&A 2001, 39, 249–307. [Google Scholar] [CrossRef]
- Madau, P.; Pozzetti, L. Deep galaxy counts, extragalactic background light and the stellar baryon budget. Mon. Not. R. Astron. Soc. 2000, 312, L9–L15. [Google Scholar] [CrossRef]
- Fazio, G.G.; Hora, J.L.; Allen, L.E.; Ashby, M.L.N.; Barmby, P.; Deutsch, L.K.; Huang, J.S.; Kleiner, S.; Marengo, M.; Megeath, S.T.; et al. The Infrared Array Camera (IRAC) for the Spitzer Space Telescope. ApJS 2004, 154, 10–17. [Google Scholar] [CrossRef]
- Frayer, D.T.; Huynh, M.T.; Chary, R.; Dickinson, M.; Elbaz, D.; Fadda, D.; Surace, J.A.; Teplitz, H.I.; Yan, L.; Mobasher, B. Spitzer 70 Micron Source Counts in GOODS-North. Astrophys. J. 2006, 647, L9. [Google Scholar] [CrossRef]
- Dole, H.; Lagache, G.; Puget, J.L.; Caputi, K.I.; Fernández-Conde, N.; Le Floc’h, E.; Papovich, C.; Pérez-González, P.G.; Rieke, G.H.; Blaylock, M. The cosmic infrared background resolved by Spitzer - Contributions of mid-infrared galaxies to the far-infrared background. A&A 2006, 451, 417–429. [Google Scholar] [CrossRef]
- Hauser, M.G.; Arendt, R.G.; Kelsall, T.; Dwek, E.; Odegard, N.; Weiland, J.L.; Freudenreich, H.T.; Reach, W.T.; Silverberg, R.F.; Moseley, S.H.; et al. The COBE Diffuse Infrared Background Experiment Search for the Cosmic Infrared Background. I. Limits and Detections. ApJ 1998, 508, 25–43. [Google Scholar] [CrossRef]
- Kashlinsky, A.; Mather, J.C.; Odenwald, S.; Hauser, M.G. Clustering of the Diffuse Infrared Light from the COBE DIRBE Maps. I. C(0) and Limits on the Near-Infrared Background. ApJ 1996, 470, 681. [Google Scholar] [CrossRef]
- Gispert, R.; Lagache, G.; Puget, J.L. Implications of the cosmic infrared background for light production and the star formation history in the Universe. A&A 2000, 360, 1–9. [Google Scholar] [CrossRef]
- Kashlinsky, A.; Odenwald, S. Clustering of the Diffuse Infrared Light from the COBE DIRBE Maps. III. Power Spectrum Analysis and Excess Isotropic Component of Fluctuations. ApJ 2000, 528, 74–95. [Google Scholar] [CrossRef]
- Franceschini, A.; Rodighiero, G.; Vaccari, M. Extragalactic optical-infrared background radiation, its time evolution and the cosmic photon-photon opacity. A&A 2008, 487, 837–852. [Google Scholar] [CrossRef]
- Gilmore, R.C.; Madau, P.; Primack, J.R.; Somerville, R.S.; Haardt, F. GeV gamma-ray attenuation and the high-redshift UV background. Mon. Not. R. Astron. Soc. 2009, 399, 1694–1708. [Google Scholar] [CrossRef]
- Finke, J.D.; Razzaque, S.; Dermer, C.D. Modeling the Extragalactic Background Light from Stars and Dust. ApJ 2010, 712, 238–249. [Google Scholar] [CrossRef]
- Kneiske, T.M.; Dole, H. A lower-limit flux for the extragalactic background light. Astron. Astrophys. 2010, 515, A19. [Google Scholar] [CrossRef]
- Domínguez, A.; Primack, J.R.; Rosario, D.J.; Prada, F.; Gilmore, R.C.; Faber, S.M.; Koo, D.C.; Somerville, R.S.; Pérez-Torres, M.A.; Pérez-González, P.; et al. Extragalactic background light inferred from AEGIS galaxy-SED-type fractions. MNRAS 2011, 410, 2556–2578. [Google Scholar] [CrossRef]
- Georganopoulos, M.; Finke, J.D.; Reyes, L.C. A Method for Setting Upper Limits to the Extragalactic Background Light with Fermi-Lat and Tev Observations of Blazars. Astrophys. J. Lett. 2010, 714, L157. [Google Scholar] [CrossRef]
- Ackermann, M.; Ajello, M.; Allafort, A.; Schady, P.; Baldini, L.; Ballet, J.; Barbiellini, G.; Bastieri, D.; Bellazzini, R.; Blandford, R.D.; et al. The Imprint of the Extragalactic Background Light in the Gamma-Ray Spectra of Blazars. Science 2012, 338, 1190. [Google Scholar] [CrossRef] [PubMed]
- Collaboration, H.E.S.S.; Abramowski, A.; Acero, F.; Aharonian, F.; Akhperjanian, A.G.; Anton, G.; Balenderan, S.; Balzer, A.; Barnacka, A.; Becherini, Y.; et al. Measurement of the extragalactic background light imprint on the spectra of the brightest blazars observed with H.E.S.S. A&A 2013, 550, A4. [Google Scholar] [CrossRef]
- Gould, R.J.; Schréder, G.P. Opacity of the Universe to High-Energy Photons. Phys. Rev. 1967, 155, 1408–1411. [Google Scholar] [CrossRef]
- Vassiliev, V. Extragalactic background light absorption signal in the TeV γ-ray spectra of blazars. Astropart. Phys. 2000, 12, 217–238. [Google Scholar] [CrossRef]
- Mankuzhiyil, N.; Persic, M.; Tavecchio, F. High-Frequency-Peaked Bl Lacertae Objects as Spectral Candles to Measure the Extragalactic Background Light in the Fermi and Air Cherenkov Telescopes Era. Astrophys. J. Lett. 2010, 715, L16. [Google Scholar] [CrossRef]
- Stecker, F.W.; de Jager, O.C. New Upper Limits on Intergalactic Infrared Radiation from High-Energy Astrophysics. ApJ 1993, 415, L71. [Google Scholar] [CrossRef]
- Dwek, E.; Krennrich, F. Simultaneous Constraints on the Spectrum of the Extragalactic Background Light and the Intrinsic TeV Spectra of Markarian 421, Markarian 501, and H1426+428. Astrophys. J. 2005, 618, 657. [Google Scholar] [CrossRef]
- Mazin, D.; Raue, M. New limits on the density of the extragalactic background light in the optical to the far infrared from the spectra of all known TeV blazars. A&A 2007, 471, 439–452. [Google Scholar] [CrossRef]
- Costamante, L.; Aharonian, F.; Horns, D.; Ghisellini, G. Constraining the cosmic background light with four BL Lac TeV spectra. New A Rev. 2004, 48, 469–472. [Google Scholar] [CrossRef]
- Kneiske, T.M.; Bretz, T.; Mannheim, K.; Hartmann, D.H. Implications of cosmological gamma-ray absorption. II. Modification of gamma-ray spectra. A&A 2004, 413, 807–815. [Google Scholar] [CrossRef]
- Aharonian, F.; Akhperjanian, A.; Bazer-Bachi, A.; Beilicke, M.; Benbow, W.; Berge, D.; Bernlöhr, K.; Boisson, C.; Bolz, O.; Borrel, V.; et al. A low level of extragalactic background light as revealed by γ-rays from blazars. Nature 2006, 440, 1018–1021. [Google Scholar] [CrossRef]
- Krennrich, F.; Dwek, E.; Imran, A. Constraints on Energy Spectra of Blazars based on Recent EBL Limits from Galaxy Counts. ApJ 2008, 689, L93. [Google Scholar] [CrossRef]
- Aharonian, F.A.; Khangulyan, D.; Costamante, L. Formation of hard very high energy gamma-ray spectra of blazars due to internal photon-photon absorption. MNRAS 2008, 387, 1206–1214. [Google Scholar] [CrossRef]
- Zacharopoulou, O.; Khangulyan, D.; Aharonian, F.A.; Costamante, L. Modeling the Hard TeV Spectra of Blazars 1ES 0229+200 and 3C 66A with an Internal Absorption Scenario. ApJ 2011, 738, 157. [Google Scholar] [CrossRef]
- Fermi-LAT Collaboration. ; Abdollahi, S.; Ackermann, M.; Ajello, M.; Atwood, W.B.; Baldini, L.; Ballet, J.; Barbiellini, G.; Bastieri, D.; Becerra Gonzalez, J.; et al. A gamma-ray determination of the Universe’s star formation history. Science 2018, 362, 1031–1034. [Google Scholar] [CrossRef]
- Abdo, A.A.; Ackermann, M.; Agudo, I.; Ajello, M.; Aller, H.D.; Aller, M.F.; Angelakis, E.; Arkharov, A.A.; Axelsson, M.; Bach, U.; et al. The Spectral Energy Distribution of Fermi Bright Blazars. ApJ 2010, 716, 30–70. [Google Scholar] [CrossRef]
- Böttcher, M.; Reimer, A.; Sweeney, K.; Prakash, A. Leptonic and Hadronic Modeling of Fermi-detected Blazars. ApJ 2013, 768, 54. [Google Scholar] [CrossRef]
- Gao, S.; Fedynitch, A.; Winter, W.; Pohl, M. Modelling the coincident observation of a high-energy neutrino and a bright blazar flare. Nat. Astron. 2019, 3, 88–92. [Google Scholar] [CrossRef]
- Böttcher, M.; Dermer, C.D.; Finke, J.D. The Hard VHE γ-Ray Emission in High-Redshift TeV Blazars: Comptonization of Cosmic Microwave Background Radiation in an Extended Jet? ApJ 2008, 679, L9. [Google Scholar] [CrossRef]
- Sitko, M.L.; Junkkarinen, V.T. Continuum and line fluxes of OJ 287 at minimum light. PASP 1985, 97, 1158–1162. [Google Scholar] [CrossRef]
- O’Brien, S. VERITAS detection of VHE emission from the optically bright quasar OJ 287. arXiv 2017, arXiv:1708.02160. [Google Scholar]
- Kushwaha, P.; Sahayanathan, S.; Singh, K.P. High energy emission processes in OJ 287 during 2009 flare. MNRAS 2013, 433, 2380–2388. [Google Scholar] [CrossRef]
- Kushwaha, P.; Gupta, A.C.; Wiita, P.J.; Pal, M.; Gaur, H.; de Gouveia Dal Pino, E.M.; Kurtanidze, O.M.; Semkov, E.; Damljanovic, G.; Hu, S.M.; et al. The ever-surprising blazar OJ 287: Multiwavelength study and appearance of a new component in X-rays. Mon. Not. R. Astron. Soc. 2018, 479, 1672–1684. [Google Scholar] [CrossRef]
- Arsioli, B.; Chang, Y. The γ-ray emitting region in low synchrotron peak blazars-Testing self-synchrotron Compton and external Compton scenarios. Astron. & Astrophys. 2018, 616, A63. [Google Scholar]
- Mazin, D.; Raue, M.; Behera, B.; Inoue, S.; Inoue, Y.; Nakamori, T.; Totani, T.; CTA Consortium. Potential of EBL and cosmology studies with the Cherenkov Telescope Array. Astropart. Phys. 2013, 43, 241–251. [Google Scholar] [CrossRef]
- Hillas, A.M.; Akerlof, C.W.; Biller, S.D.; Buckley, J.H.; Carter-Lewis, D.A.; Catanese, M.; Cawley, M.F.; Fegan, D.J.; Finley, J.P.; Gaidos, J.A.; et al. The Spectrum of Teravolt Gamma Rays from the Crab Nebula. ApJ 1998, 503, 744–759. [Google Scholar] [CrossRef]
- Komossa, S.; Grupe, D.; Parker, M.L.; Valtonen, M.J.; Gómez, J.L.; Gopakumar, A.; Dey, L. The 2020 April–June super-outburst of OJ 287 and its long-term multiwavelength light curve with Swift: Binary supermassive black hole and jet activity. Mon. Not. R. Astron. Soc. Lett. 2020, 498, L35–L39. [Google Scholar] [CrossRef]
- Kushwaha, P. BL Lac object OJ 287: Exploring a complete spectrum of issues concerning relativistic jets and accretion. J. Astrophys. Astron. 2022, 43, 79. [Google Scholar] [CrossRef]
- Kushwaha, P.; Gupta, A.C.; Wiita, P.J.; Gaur, H.; de Gouveia Dal Pino, E.M.; Bhagwan, J.; Kurtanidze, O.M.; Larionov, V.M.; Damljanovic, G.; Uemura, M.; et al. Multiwavelength temporal and spectral variability of the blazar OJ 287 during and after the 2015 December flare: A major accretion disc contribution. Mon. Not. R. Astron. Soc. 2017, 473, 1145–1156. [Google Scholar] [CrossRef]
- Kushwaha, P. A Multi-Wavelength View of OJ 287 Activity in 2015–2017: Implications of Spectral Changes on Central-Engine Models and MeV-GeV Emission Mechanism. Galaxies 2020, 8, 15. [Google Scholar] [CrossRef]
- Jorstad, S.G.; Marscher, A.P.; Lister, M.L.; Stirling, A.M.; Cawthorne, T.V.; Gear, W.K.; Gómez, J.L.; Stevens, J.A.; Smith, P.S.; Forster, J.R.; et al. Polarimetric Observations of 15 Active Galactic Nuclei at High Frequencies: Jet Kinematics from Bimonthly Monitoring with the Very Long Baseline Array. Astron. J. 2005, 130, 1418. [Google Scholar] [CrossRef]
- Lico, R.; Casadio, C.; Jorstad, S.G.; Gómez, J.L.; Marscher, A.P.; Traianou, E.; Kim, J.Y.; Zhao, G.Y.; Fuentes, A.; Cho, I.; et al. New jet feature in the parsec-scale jet of the blazar OJ 287 connected to the 2017 teraelectronvolt flaring activity. A&A 2022, 658, L10. [Google Scholar] [CrossRef]
- Singh, K.P.; Kushwaha, P.; Sinha, A.; Pal, M.; Agarwal, A.; Dewangan, G.C. Spectral States of OJ 287 blazar from Multiwavelength Observations with AstroSat. MNRAS 2022, 509, 2696–2706. [Google Scholar] [CrossRef]
- Kushwaha, P.; Pal, M.; Kalita, N.; Kumari, N.; Naik, S.; Gupta, A.C.; de Gouveia Dal Pino, E.M.; Gu, M. Blazar OJ 287 after First VHE Activity: Tracking the Reemergence of the HBL-like Component in 2020. Astrophys. J. 2021, 921, 18. [Google Scholar] [CrossRef]
- Foreman-Mackey, D.; Hogg, D.W.; Lang, D.; Goodman, J. emcee: The MCMC Hammer. PASP 2013, 125, 306. [Google Scholar] [CrossRef]
- Goodman, J.; Weare, J. Ensemble samplers with affine invariance. Commun. Appl. Math. Comput. Sci. 2010, 5, 65–80. [Google Scholar] [CrossRef]
- de Jager, O.C.; Stecker, F.W.; Salamon, M.H. Estimate of the intergalactic infrared radiation field from γ-ray observations of the galaxy Mrk421. Nature 1994, 369, 294–296. [Google Scholar] [CrossRef]
- Akaike, H. Information theory as an extension of the maximum likelihood principle–In: (Eds) BN Petrov, F. In Second International Symposium on Information Theory; Petrov, B.N., Csaki, F., Eds.; BNPBF Csaki Budapest: Academiai Kiado, 1973. [Google Scholar]
- Schwarz, G. Estimating the Dimension of a Model. Ann. Stat. 1978, 6, 461–464. [Google Scholar] [CrossRef]
- Burnham, K.; Anderson, D. Model Selection and Multimodel Inference. A Practical Information-Theoretic Approach; Springer: New York, NY, USA, 2004; p. 70. [Google Scholar] [CrossRef]
- Raftery, A.E. Bayesian Model Selection in Social Research. Sociol. Methodol. 1995, 25, 111–163. [Google Scholar] [CrossRef]
- Roychowdhury, A.; Meyer, E.T.; Georganopoulos, M.; Breiding, P.; Petropoulou, M. Circumnuclear Dust in AP Librae and the Source of Its VHE Emission. ApJ 2022, 924, 57. [Google Scholar] [CrossRef]
- Mukherjee, R.; VERITAS Collaboration. VERITAS Detection of VHE Emission from OJ 287. Astron. Telegr. 2017, 10051, 1. [Google Scholar]
- Mirzoyan, R. MAGIC detects very high energy gamma-ray emission from the blazar OT 081 (PKS 1749+096, 4C +09.57). Astron. Telegr. 2016, 9267, 1. [Google Scholar]
- Manganaro, M.; et al. MAGIC and H.E.S.S. detect VHE gamma rays from the blazar OT081 for the first time: A deep multiwavelength study. PoS, 2021. [Google Scholar] [CrossRef]
- Hofmann, W. Very High Energy gamma-ray emission from AP Lib detected by H.E.S.S. Astron. Telegr. 2010, 2743, 1. [Google Scholar]
- Sanchez, D.A.; Giebels, B.; Fortin, P.; Horan, D.; Szostek, A.; Fegan, S.; Baczko, A.K.; Finke, J.; Kadler, M.L.; Kovalev, Y.Y.; et al. From radio to TeV: The surprising spectral energy distribution of AP Librae. MNRAS 2015, 454, 3229–3239. [Google Scholar] [CrossRef]
- Gréaux, L.; Biteau, J. TeV bayesian study of the extragalactic background light. arXiv 2023, arXiv:2304.00808. [Google Scholar] [CrossRef]
- Genaro, M.; Stuani Pereira, L.A.; de Matos Pimentel, D.R.; Moura Santos, E. Simultaneously unveiling the EBL and intrinsic spectral parameters of gamma-ray sources with Hamiltonian Monte Carlo. J. Cosmology Astropart. Phys. 2024, 2024, 020. [Google Scholar] [CrossRef]
- Acharya, B.; Actis, M.; Aghajani, T.; Agnetta, G.; Aguilar, J.; Aharonian, F.; Ajello, M.; Akhperjanian, A.; Alcubierre, M.; Aleksić, J.; et al. Introducing the CTA concept. Astropart. Phys. 2013, 43, 3–18. [Google Scholar] [CrossRef]
- Cherenkov Telescope Array Consortium; Agudo, I.; Al Samarai, I.; Alfaro, R.; Alfaro, J.; Alispach, C.; Alves Batista, R.; Amans, J.P.; Amato, E.; et al. Science with the Cherenkov Telescope Array; World Scientific: Singapore, 2019. [Google Scholar] [CrossRef]
| 1 | TeVCat: online catalog for TeV astronomy; see http://tevcat.uchicago.edu accessed on 22nd November 2023. |




| Name | Abbreviation | Function | Parameters to Evaluate |
|---|---|---|---|
| Power Law | PL | , | |
| Parabola | PB | ||
| Polynomial | PM |
| Model: (Case) | Parameters | AIC | BIC | ||
|---|---|---|---|---|---|
| PL: (i) |
|
0.434 | −249.740 | −247.938 | |
| PB: (i) |
|
1.204 | −248.970 | −247.168 | |
| PM |
|
0.431 | −247.546 | −243.941 | |
| PL: (ii) |
|
0.218 | −248.858 | −246.154 | |
| PB: (ii) |
|
0.208 | −248.867 | −246.163 |
Disclaimer/Publisher’s Note: The statements, opinions and data contained in all publications are solely those of the individual author(s) and contributor(s) and not of MDPI and/or the editor(s). MDPI and/or the editor(s) disclaim responsibility for any injury to people or property resulting from any ideas, methods, instructions or products referred to in the content. |
© 2024 by the authors. Licensee MDPI, Basel, Switzerland. This article is an open access article distributed under the terms and conditions of the Creative Commons Attribution (CC BY) license (http://creativecommons.org/licenses/by/4.0/).
