Submitted:
15 July 2024
Posted:
16 July 2024
You are already at the latest version
Abstract
Keywords:
1. Introduction
2. Photon-Lepton/Hadron Interactions Inside the Jet Frame
2.1. Black-Body Spectrum of the Accretion Disk
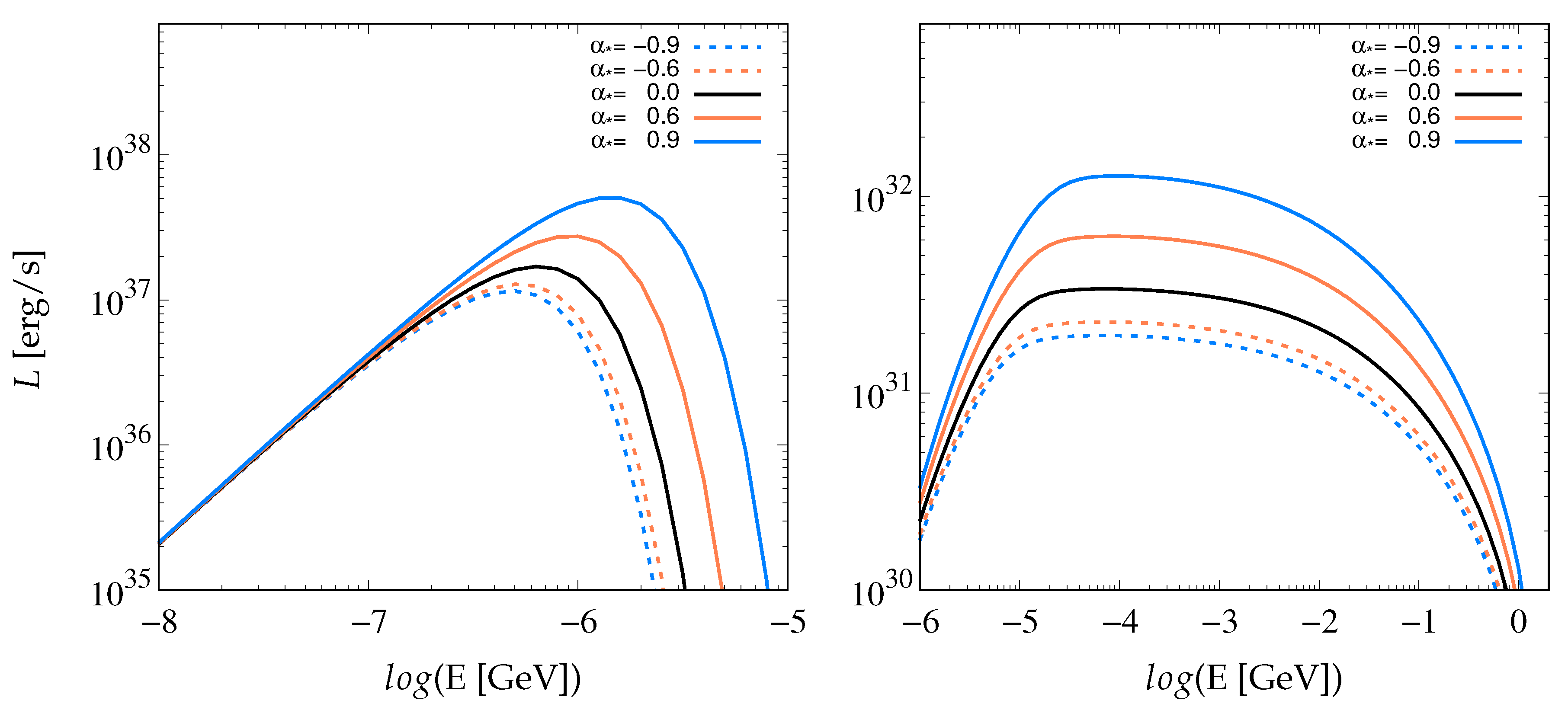
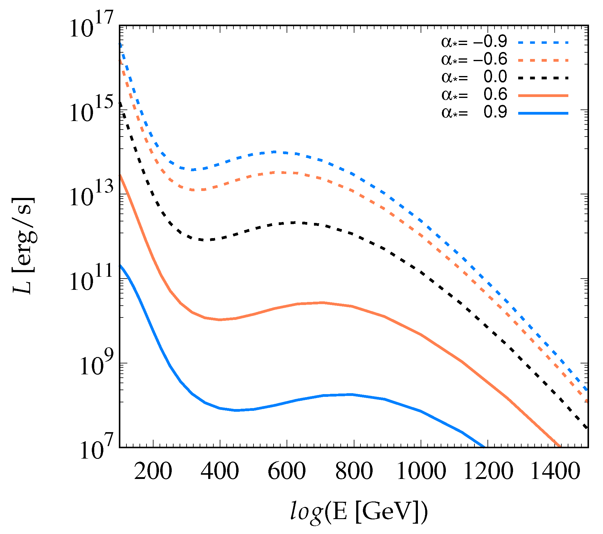
3. Results
4. Conclusions
Author Contributions
Funding
Data Availability Statement
Conflicts of Interest
References
- Saikia, P.; Russell, D.M.; Bramich, D.M.; Miller-Jones, J.C.A.; Baglio, M.C.; Degenaar, N. Lorentz Factors of Compact Jets in Black Hole X-Ray Binaries. Astrophys. J. 2019, 887, 21. [Google Scholar] [CrossRef]
- Punsly, B. Models of the compact jet in GRS 1915+105. Monthly Notices of the Royal Astronomical Society 2011, 418, 2736–2743. [Google Scholar] [CrossRef]
- Papavasileiou, T.; Kosmas, O.; Sinatkas, I. Simulations of Neutrino and Gamma-Ray Production from Relativistic Black-Hole Microquasar Jets. Galaxies 2021, 9. [Google Scholar] [CrossRef]
- Papavasileiou, T.; Kosmas, O.; Sinatkas, I. Studying the Spectral Energy Distributions Emanating from Regular Galactic XRBs. Universe 2023, 9. [Google Scholar] [CrossRef]
- Aartsen, M.G.; et al. Neutrino astronomy with the next generation IceCube Neutrino Observatory. 2019, arXiv:astro-ph.HE/1911.02561. [Google Scholar]
- Cherenkov Telescope Array Consortium.; et al. Science with the Cherenkov Telescope Array 2019. [CrossRef]
- Papavasileiou, T.V.; Kosmas, O.T.; Sinatkas, I. Prediction of gamma-ray emission from Cygnus X-1, SS 433, and GRS 1915+105 after absorption. Astron. Astrophys. 2023, in press. [Google Scholar] [CrossRef]
- Qin, Y.; Shu, X.; Yi, S.; Wang, Y.Z. Hypercritical Accretion for Black Hole High Spin in Cygnus X-1. Research in Astronomy and Astrophysics 2022, 22, 035023. [Google Scholar] [CrossRef]
- Kelner, S.R.; Aharonian, F.A.; Bugayov, V.V. Energy spectra of gamma rays, electrons, and neutrinos produced at proton-proton interactions in the very high energy regime. Phys. Rev. D 2006, 74, 034018. [Google Scholar] [CrossRef]
- Gierliński, M.; Zdziarski, A.A.; Poutanen, J.; Coppi, P.S.; Ebisawa, K.; Johnson, W.N. Radiation mechanisms and geometry of Cygnus X-1 in the soft state. Mon. Not. R. Astron. Soc. 1999, 309, 496–512. [Google Scholar] [CrossRef]


| XRB Parameter | Symbol | Value | Units |
|---|---|---|---|
| Black hole mass | 20 | ||
| Secondary stellar mass | 15 | ||
| Distance to Earth | d | 2 | kpc |
| XRB inclination | i | 30 | ∘ |
| Jet Lorentz factor | - | ||
| Mass accretion rate | 0.07 | ||
| Dimensionless spin parameter | - | ||
| Jet’s emitting region height | z | cm |
Disclaimer/Publisher’s Note: The statements, opinions and data contained in all publications are solely those of the individual author(s) and contributor(s) and not of MDPI and/or the editor(s). MDPI and/or the editor(s) disclaim responsibility for any injury to people or property resulting from any ideas, methods, instructions or products referred to in the content. |
© 2024 by the authors. Licensee MDPI, Basel, Switzerland. This article is an open access article distributed under the terms and conditions of the Creative Commons Attribution (CC BY) license (http://creativecommons.org/licenses/by/4.0/).